Синтез 5,5-дизамещенных N-метил-1,3-оксазинанов, содержащих монотерпеновые фрагменты
- Авторы: Нечепуренко И.В.1, Волчо К.П.1, Салахутдинов Н.Ф.1
-
Учреждения:
- Федеральное государственное бюджетное учреждение науки Новосибирский институт органической химии им. Н.Н. Ворожцова Сибирского отделения Российской академии наук (НИОХ СО РАН)
- Выпуск: Том 512, № 1 (2023)
- Страницы: 75-82
- Раздел: ХИМИЯ
- URL: https://journal-vniispk.ru/2686-9535/article/view/247184
- DOI: https://doi.org/10.31857/S2686953522600283
- EDN: https://elibrary.ru/UYVBYE
- ID: 247184
Цитировать
Полный текст
Аннотация
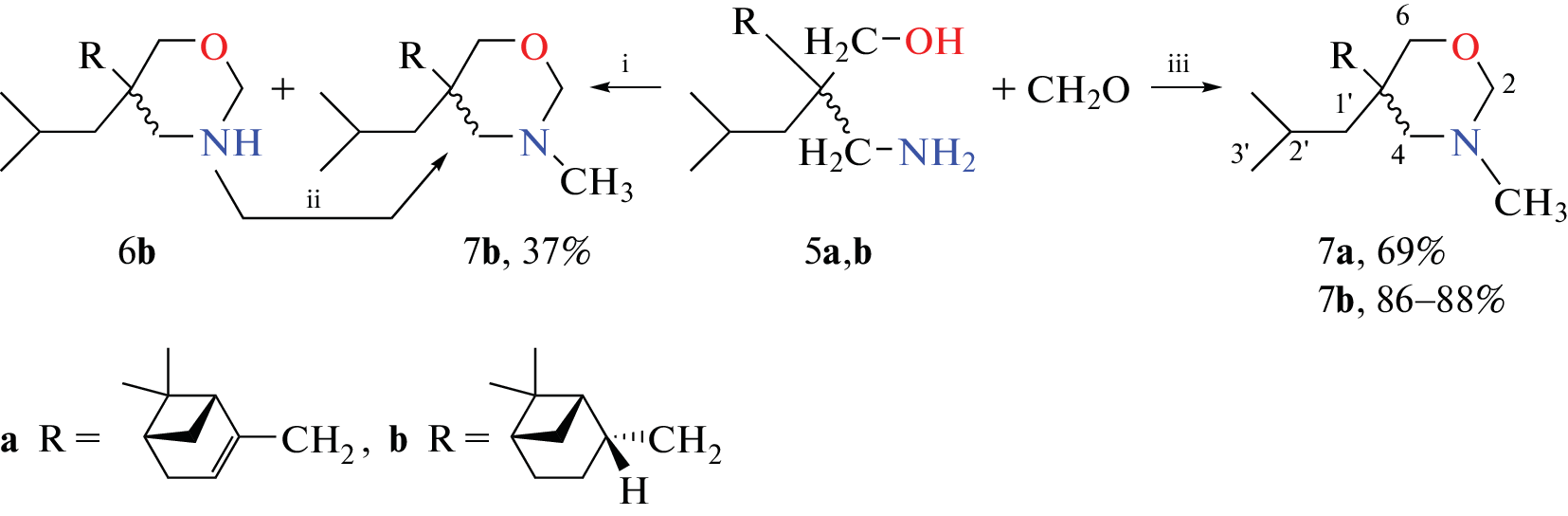
Разработан новый метод синтеза 5,5-дизамещенных N-метил-1,3-оксазинанов в виде смеси диастереомеров по положению 5, содержащих в положении 5 монотерпеновые и разветвленные алкильные заместители. 1,3-Оксазинаны впервые были получены при взаимодействии 2,2-замещенных 3‑аминопропан-1-олов с формальдегидом и боргидридами натрия в одну стадию.
Об авторах
И. В. Нечепуренко
Федеральное государственное бюджетное учреждение науки Новосибирский институт органической химииим. Н.Н. Ворожцова Сибирского отделения Российской академии наук (НИОХ СО РАН)
Автор, ответственный за переписку.
Email: niv@nioch.nsc.ru
Россия, 630090, Новосибирск
К. П. Волчо
Федеральное государственное бюджетное учреждение науки Новосибирский институт органической химииим. Н.Н. Ворожцова Сибирского отделения Российской академии наук (НИОХ СО РАН)
Email: niv@nioch.nsc.ru
Россия, 630090, Новосибирск
Н. Ф. Салахутдинов
Федеральное государственное бюджетное учреждение науки Новосибирский институт органической химииим. Н.Н. Ворожцова Сибирского отделения Российской академии наук (НИОХ СО РАН)
Email: niv@nioch.nsc.ru
Россия, 630090, Новосибирск
Список литературы
- Khuong-Huu F., Herlem-Gaulier D., Khuong-Huu M.Q., Stanislas E., Goutarel R. // Tetrahedron. 1966. V. 22. № 10. P. 3321–3327. https://doi.org/10.1016/S0040-4020(01)92518-9
- Choudhary M.I., Atta-ur-Rahman, Shamma M. // Phytochemistry. 1988. V. 27. № 5. P. 1561–1562. https://doi.org/10.1016/0031-9422(88)80246-2
- Lázár L., Fülöp F. 1,3-Oxazines and their benzo derivatives. In: Comprehensive heterocyclic chemistry III. Katritzky A., Ramsden Ch., Scriven E., Taylor R. (Eds.). V. 8. Elsevier Ltd., 2008. P. 395–400. https://doi.org/10.1016/B978-008044992-0.00705-7
- Pardin C., Pelletier J.N., Lubell W.D., Keillor J.W. // J. Org. Chem. 2008. V. 73. № 15. P. 5766–5775. https://doi.org/10.1021/jo8004843
- Knabe J., Buchheit W. // Arch. Pharm. 1985. V. 318. № 8. P. 727–735. https://doi.org/10.1002/ardp.19853180811
- Forró E., Fülöp F. // Tetrahedron: Asymmetry. 1999. V. 10. № 10. P. 1985–1993. https://doi.org/10.1016/S0957-4166(99)00189-5
- Корепин А.Г., Галкин П.В., Глушакова Н.М., Лоды-гина В.П., Еременко И.Л., Нефедов С.Е., Еремен-ко Л.Т. // Изв. АН. Сер. хим. 2001. № 9. С. 1553–1561. https://doi.org/10.1023/A:1013094720611
- Frasinyuk M.S., Bondarenko S.P., Khilya V.P., Liu Ch., Watt D.S., Sviripa V.M. // Org. Biomol. Chem. 2015. V. 13. № 4. P. 1053–1067. https://doi.org/10.1039/C4OB02137A
- Яровая О.И., Салахутдинов Н.Ф. // Усп. хим. 2021. Т. 90. № 4. С. 488–510. https://doi.org/10.1070/RCR4969
- Патрушева О.С., Волчо К.П., Салахутдинов Н.Ф. // Усп. хим. 2018. Т. 87. № 8. С. 771–796. https://doi.org/10.1070/RCR4810
- Salaverri N., Carli B., Gratal P.B., Marzo L., Alemán J. // Adv. Synth. Catal. 2022. V. 364. P. 1689–1694. Suppl. Inf. https://doi.org/10.1002/adsc.202200220
- Банина О.А., Судариков Д.В., Крымская Ю.В., Фролова Л.Л., Кучин А.В. // ХПС. 2015. № 2. С. 231–234. https://doi.org/10.1007/s10600-015-1257-0
- Demidova Yu.S., Suslov E.V., Simakova I.L., Mozhaj-cev E.S., Korchagina D.V., Volcho K.P., Salakhutdinov N.F., Simakov A., Murzine D.Yu. // J. Mol. Catal. A: Chem. 2017. V. 426. P. 60–67. https://doi.org/10.1016/j.molcata.2016.10.034
- Pascual C., Meier J., Simon W. // Helv. Chim. Acta. 1966. V. 49. № 1. P. 164–168. https://doi.org/10.1002/hlca.660490122
- Smith S.N., Craig R., Connon S.J. // Chem. Eur. J. 2020. V. 26. № 59. P. 13378–13382. https://doi.org/10.1002/chem.202003280
- Беккер Х., Беккерт Р., Бергер В., Гевальд К., Генц Ф., Глух Р., Домшке Г., Зайлер Э., Майер Р., Мец П., Мюллер К., Пафель Д., Фаигхенелъ Э., Фауст Ю., Фишер М., Хабихер В., Шветлик К., Шмидт Г., Шольберг К., Цеппенфельд Г. Органикум: в 2-х т. Пер. с нем., 4-е изд. Т. 2. М.: Мир, 2008. с. 125. (Becker H., Berger W., Domschke G., Fanghanel E., Faust J., Fischer M., Gentz F., Gewald K., Gluch R., Mayer R., Habicher W.D., Metz P., Muller K., Pavel D., Schmidt H., Schollberg K., Schwetlick K., Seiler E., Zeppenfeld G. Organikum. Organisch-chemisches Grundpraktikum. 22nd edn. Wiley-VCH GmbH, Weinheim, 2004. 914 p.)
- Ramachary D.B., Kishor M., Reddy Y.V. // Eur. J. Org. Chem. 2008. № 6. P. 975–993. Suppl. Inf. https://doi.org/10.1002/ejoc.200701014
Дополнительные файлы





