Метилирование и аминирование солей 4Н-[1,2,3]триазоло[4,5-c][1,2,5]оксадиазола
- Авторы: Балабанова С.П.1, Воронин А.А.1, Чураков А.М.1, Кленов М.С.1, Тартаковский В.А.1
-
Учреждения:
- Институт органической химии им. Н.Д. Зелинского Российской академии наук
- Выпуск: Том 512, № 1 (2023)
- Страницы: 83-87
- Раздел: ХИМИЯ
- URL: https://journal-vniispk.ru/2686-9535/article/view/247185
- DOI: https://doi.org/10.31857/S2686953522600805
- EDN: https://elibrary.ru/ZGDGAZ
- ID: 247185
Цитировать
Полный текст
Аннотация
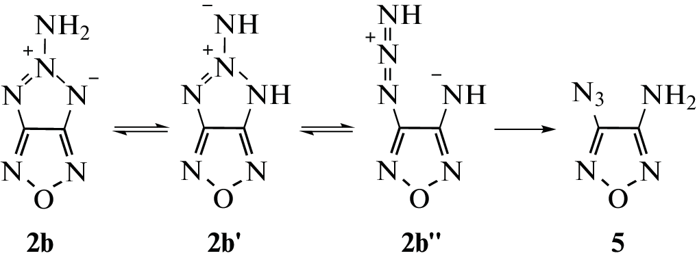
Впервые изучены реакции метилирования и аминирования солей (K+, Ag+, Et3NH+, DBUH+) 4Н-[1,2,3]триазоло[4,5-c][1,2,5]оксадиазола. Показано, что в реакции этих солей с MeI образуются два метилированных продукта, причем в случае К- и Et3N-солей 4- и 5-изомеры образуются в равных долях, а в случае Ag- и DBU-солей основным продуктом является 4-изомер. Найдено, что основным продуктом аминирования как K-, так и DBU-соли 4Н-[1,2,3]триазоло[4,5-c][1,2,5]оксадиазола O-(п-толилсульфонил)гидроксиламином является 4-азидо-3-амино-1,2,5-оксадиазол. Предложен механизм его образования в результате перегруппировки 5-амино-[1,2,3]триазоло[4,5-c][1,2,5]оксадиазола.
Ключевые слова
Об авторах
С. П. Балабанова
Институт органической химии им. Н.Д. Зелинского Российской академии наук
Email: voronin@ioc.ac.ru
Россия, 119991, Москва
А. А. Воронин
Институт органической химии им. Н.Д. Зелинского Российской академии наук
Автор, ответственный за переписку.
Email: voronin@ioc.ac.ru
Россия, 119991, Москва
А. М. Чураков
Институт органической химии им. Н.Д. Зелинского Российской академии наук
Email: voronin@ioc.ac.ru
Россия, 119991, Москва
М. С. Кленов
Институт органической химии им. Н.Д. Зелинского Российской академии наук
Email: voronin@ioc.ac.ru
Россия, 119991, Москва
В. А. Тартаковский
Институт органической химии им. Н.Д. Зелинского Российской академии наук
Email: voronin@ioc.ac.ru
Россия, 119991, Москва
Список литературы
- Gao H., Zhang Q., Shreeve J.M. // J. Mat. Chem. A. 2020. V. 8. № 8. P. 4193–4216. https://doi.org/10.1039/C9TA12704F
- Zelenov V.P., Lobanova A.A., Lyukshenko N.I., Sysolyatin S.V., Kalashnikov A.I. // Russ. Chem. Bull. 2008. V. 57. № 7. P. 1384–1389. https://doi.org/10.1007/s11172-008-0180-y
- Li X., Wang B., Li Y., Li H., Zhou C., Zhang Y., Lian P. // Chin J. Energy Mater. 2013. V. 21. P. 717–720. https://doi.org/10.3969/j.issn.1006-9941.2013.06.005
- Voronin A.A., Fedyanin I.V., Churakov, A.M., Pivkina A.N., Muravyev N.V., Strelenko Y.A., Klenov M.S., Lempert D.B., Tartakovsky V.A. // ACS Appl. Energ. Mat. 2020. V. 3. № 9. P. 9401–9407. https://doi.org/10.1021/acsaem.0c01769
- Voronin A.A., Balabanova S.P., Fedyanin I.V., Chura-kov A.M., Pivkina A.N., Strelenko Yu.A., Klenov M.S., Tartakovsky V.A. // Molecules. 2022. V. 27. № 19. P. 6287. https://doi.org/10.3390/molecules27196287
- Kaihoh T., Itoh T., Yamaguchi K., Ohsawa A. // J. Chem. Soc., Perkin Trans. 1. 1991. V. 8. P. 2045–2048. https://doi.org/10.1039/P19910002045
- Campbell C.D., Rees C.W. // J. Chem. Soc. C. 1969. V. 5. P. 742–747. https://doi.org/10.1039/J39690000742
- Knight D.W., Little P.B. // J. Chem. Soc., Perkin Trans. 1. 2000. V. 15. P. 2343–2355. https://doi.org/10.1039/B001834L
- Larina L.I., Milata V. // Magn. Reson. Chem. 2009. V. 47. P. 142–148. https://doi.org/10.1002/mrc.2366
- Klapötke T.M., Piercey D.G., Stierstorfer J. // Dalton Trans. 2012. V. 41. P. 9451–9459. https://doi.org/10.1039/C2DT30684K
- Rakitin O.A., Zalesova O.A., Kulikov A.S., Makhova N.N., Godovikova T.I., Khmel’nitskii L.I. // Russ. Chem. Bull. 1993. V. 42. № 11. P. 1865–1870. https://doi.org/10.1007/BF00699005
Дополнительные файлы










