EFFECTIVE SYNTHESIS OF OPTICALLY PURE MONO- AND BINUCULAR MACROCYCLIC POLYLACTONES FROM CASTOR OIL AND SEBACIC ACID
- Authors: Ishmuratov G.Y.1, Medvedeva N.I.1, Saitov K.M.1, Yakovleva M.P.1, Nazarov I.S.1, Tolstikov A.G.1
-
Affiliations:
- Ufa Institute of Chemistry, Ufa Federal Research Center of the Russian Academy of Sciences
- Issue: Vol 513, No 1 (2023)
- Pages: 5-10
- Section: CHEMISTRY
- URL: https://journal-vniispk.ru/2686-9535/article/view/252486
- DOI: https://doi.org/10.31857/S2686953522600738
- EDN: https://elibrary.ru/OCEWWO
- ID: 252486
Cite item
Full Text
Abstract
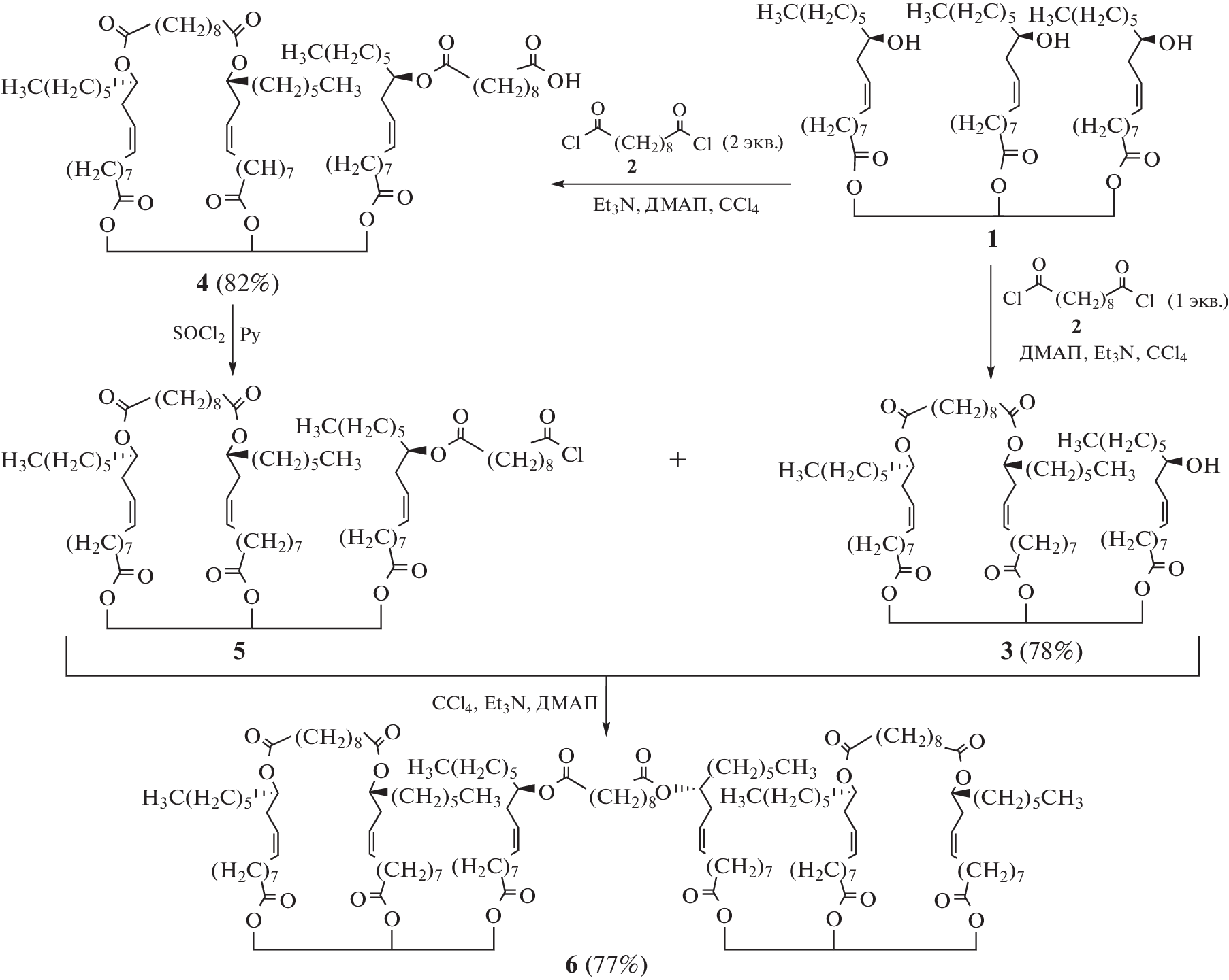
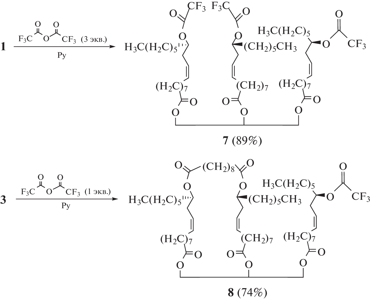
An effective synthesis of optically pure macrocyclic mono- and dinuclearpolylactones is proposed, based on the condensation of a natural triol – castor oil with sebacic acid dichloride, taken in ratios 1 : 1 or 1 : 2, in boiling carbon tetrachloride in the presence of triethylamine and the catalyst N,N-dimethylaminopyridine.
About the authors
G. Yu. Ishmuratov
Ufa Institute of Chemistry, Ufa Federal Research Center of the Russian Academy of Sciences
Email: insect@anrb.ru
Russian Federation, 450054, Ufa
N. I. Medvedeva
Ufa Institute of Chemistry, Ufa Federal Research Center of the Russian Academy of Sciences
Email: insect@anrb.ru
Russian Federation, 450054, Ufa
K. M. Saitov
Ufa Institute of Chemistry, Ufa Federal Research Center of the Russian Academy of Sciences
Email: insect@anrb.ru
Russian Federation, 450054, Ufa
M. P. Yakovleva
Ufa Institute of Chemistry, Ufa Federal Research Center of the Russian Academy of Sciences
Author for correspondence.
Email: insect@anrb.ru
Russian Federation, 450054, Ufa
I. S. Nazarov
Ufa Institute of Chemistry, Ufa Federal Research Center of the Russian Academy of Sciences
Email: insect@anrb.ru
Russian Federation, 450054, Ufa
A. G. Tolstikov
Ufa Institute of Chemistry, Ufa Federal Research Center of the Russian Academy of Sciences
Email: insect@anrb.ru
Russian Federation, 450054, Ufa
References
- Ишмуратов Г.Ю., Яковлева М.П., Выдрина В.А., Денисова К.С., Саяхов Р.Р., Вильданова Р.Р., Вырыпаев Е.М., Толстиков А.Г. // Химия природ. соед. 2017. № 4. С. 528–530. https://doi.org/10.1007/s10600-017-2073-5
- Мингалеева Г.Р., Яковлева М.П., Денисова К.С., Ишмуратов Г.Ю. // Макрогетероциклы. 2020. Т. 13. № 1. С. 79–82. https://doi.org/10.6060/mhc190661m
- Sailakshmi G., Mitra T., Gnanamani A. // Prog. Biomat. 2013. V. 2. P. 11. https://doi.org/10.1186/2194-0517-2-11
- Pritchard C.D., Arnér K.M., Neal R.A., Neeley W.L., Bojo P., Bachelder E., Holz J., Watson N., Botchwey E.A., Langer R.S., Ghosh F.K.// Biomaterials. 2010. V. 31. № 8. P. 2153–2162. https://doi.org/10.1016/j.biomaterials.2009.11.074
- Mingrone G., Castagneto-Gissey L., Macé K. // Br. J. Clin. Pharmacol. 2013. V. 75. № 3. P. 671–676. https://doi.org/10.1111/j.1365-2125.2012.04177.x
- Niewolik D., Bednarczyk-Cwynar B., Ruszkowski P., Jaszcz K. // Proceedings. 2020. V. 67. № 1. P. 17 (1–6). https://doi.org/10.3390/ASEC2020-07558
- Выдрина В.А., Саяхов Р.Р., Яковлева М.П., Зилеева З.Р., Талипов Р.Ф., Ишмуратов Г.Ю. // Химия природ. соедин. 2021. № 4. С. 603–607. https://doi.org/10.1007/s10600-021-03454-3




