Doped silicon nanoparticles. A review
- Authors: Bubenov S.S.1, Dorofeev S.G.1
-
Affiliations:
- Lomonosov Moscow State University
- Issue: Vol 514, No 1 (2024)
- Pages: 3-26
- Section: CHEMISTRY
- URL: https://journal-vniispk.ru/2686-9535/article/view/256427
- DOI: https://doi.org/10.31857/S2686953524010011
- ID: 256427
Cite item
Full Text
Abstract
Doped silicon nanoparticles combine availability and biocompatibility of the material with a wide variety of functional properties. In this review, the methods of fabrication of doped silicon nanoparticles are discussed, the prevalent of those being chemical vapor deposition, annealing of substoichiometric silicon compounds, and diffusion doping. The data are summarized for the attained impurity contents, in the important case of phosphorus it is shown that impurity, excessive with respect to bulk solubility, is electrically inactive. The patterns of intraparticle impurity distributions are presented, that were studied in the previous decade with highly-informative techniques of atom probe tomography and solid-state NMR. Prospective optical and electrical properties of doped silicon nanoparticles are reviewed, significant role of the position of the impurities is exemplified with plasmonic behavior.
Full Text
ОГЛАВЛЕНИЕ
- Введение 3
- Получение легированных наночастиц кремния 4
2.1. Химическое осаждение из газовой фазы 4
2.2. Диспропорционирование соединений кремния при термическом отжиге 7
2.3. Диффузионное легирование, абляция, коллоидный синтез 11
- Свойства легированных наночастиц кремния 14
3.1. Оптическое поглощение в УФ-видимой области 14
3.2. Оптическое поглощение в ИК-области, локализованный плазмонный резонанс 15
3.3. Фотолюминесценция 17
3.4. Электрический транспорт в легированных наночастицах кремния 19
- Заключение 21
- Список литературы 22
1. ВВЕДЕНИЕ
Кремний, как известно, не был материалом первого транзистора, но в дальнейшем он занял господствующую роль в микроэлектронике благодаря подходящему значению ширины запрещенной зоны и возможности глубокой очистки этого элементарного полупроводника, а способность образовывать прочную пленку пассивирующего оксида на поверхности укрепила эту его позицию. Сейчас, более чем полвека спустя, высокотехнологичные устройства настолько распространены, а процессы их производства настолько масштабированы, что все больше внимания приходится уделять доступности элементов, входящих в их состав (в качестве примера можно привести опасения относительно мировых запасов индия [1] и легкодоступного лития [2]). Повсеместная распространенность кремния, развитая кремниевая промышленность, долгие годы научных и технологических изысканий в настоящее время образуют прочный фундамент неиссякающего интереса исследователей к новым кремниевым материалам.
Нанотекстурирование способно придать кремнию новые функциональные свойства. Так, открытие Кэнхэмом (Canham) красной фотолюминесцении пористого кремния в 1990 г. [3] спровоцировало всплеск интереса к давно известному материалу. Для ряда других возможных применений наноразмерность кремниевых кристаллитов исследуется с целью купировать недостатки объемного материала. К примеру, известно, что сильнолегированный кремний обладает высокими значениями фактора термоэлектрической мощности (около 5 мВ мК–2), однако высокое значение теплопроводности понижает термоэлектрическую добротность ZT до неконкурентоспособного значения в 0.01 [4]. Переход к композитам с наночастицами производят с целью затруднить транспорт фононов за счет межзеренных границ, электропроводность при этом понижается не столь существенно.
Перспективность использования кремния в качестве материала анода в составе литийионных батарей основывается на высочайшем теоретическом значении удельной емкости в 3600 мА ч г–1. Существенную трудность представляет четырехкратное увеличение объема с нарушением механической целостности электрода, сопутствующее конверсионному переходу в Li15Si4. В то же время в нанокремнии за счет его пористой структуры расширение отдельных частиц не приводит к столь радикальному изменению геометрических размеров всего электрода в целом [5, 6].
Появление настоящего обзора мотивировано обнаружением новых функциональных свойств у легированных наночастиц кремния (нч-Si) в прошедшее десятилетие. В 2013 г. для сильнолегированных фосфором нч-Si продемонстрировано существование локализованного плазмонного резонанса (ЛПР) в ближней ИК-области [7], что открыло возможности для их использования в фотонике и плазмонике. В 2019 г. совместным легированием нч-Si бором и фосфором удалось расширить спектральный диапазон фотолюминесценции (ФЛ) частиц в инфракрасную область вплоть до 1450 нм, что повысило привлекательность материала для использования в качестве биомаркеров или для усиления сигнала в волоконно-оптических линиях связи [8].
В столь динамично развивающейся области знания нам нередко приходилось встречать сообщения, находящиеся в прямом противоречии друг с другом, что обусловило критический подход к обзору и тщательный отбор упоминаемых публикаций. Обзор ограничивается только нч-Si – “нульмерными” объектами, наноразмерными по всем трем пространственным координатам; будут рассмотрены как свободные наночастицы, так и композиты из нч-Si, включенных в изолятор. При отборе материала предпочтение сделано в пользу статей, где изменение функциональных свойств можно однозначно связать с проникновением примесей в наночастицы, или где это проникновение было непосредственно показано с помощью элементного анализа.
Наночастицы полупроводника термодинамически нестабильны, поэтому дефекты в них носят неравновесный характер. Таким образом, способ получения легированных наночастиц будет оказывать существенное влияние на состояние поверхности или интерфейса, распределение примесей, и, в конечном счете, на проявляемые функциональные свойства. Как следствие, мы предполагаем разумным вначале рассмотреть подходы к изготовлению легированных нч-Si и через связь с ними рассмотреть строение, свойства и возможные практическое применение получаемых объектов.
И прежде, чем перейти к изложению согласно этому плану, сделаем следующее замечание: легирование наночастиц подразумевает необычно высокие содержания примесей (СП) по сравнению с массивными кристаллами и микрокристаллами полупроводника. Если вся частица состоит из тысяч атомов кремния, то даже один атом примеси будет соответствовать СП в сотые доли процента, что находится в вырожденной области для легированного объемного материала. Когда СП в наночастицах доходит до десятков процентов, корректнее говорить об образовании твердых растворов, однако и для таких материалов можно встретить наименования “легированные” или “сверхлегированные” [9]. Зачастую, бо́льшая часть примеси в таком случае находится на поверхности частиц и оказывается электрически неактивна, поэтому об уровне легирования (УЛ) корректно говорить лишь в отношении той части примеси, которая придает наночастицам полезные свойства.
2. ПОЛУЧЕНИЕ ЛЕГИРОВАННЫХ НАНОЧАСТИЦ КРЕМНИЯ
2.1. Химическое осаждение из газовой фазы
Одним из наиболее распространенных способов получения легированных нч-Si является химическое осаждение из газовой фазы (ХОГФ). В абсолютном большинстве публикаций используется реакция пиролиза силана. Так, пиролиз на нити накаливания приводит к достаточно крупным (20–38 нм) частицам в форме октаэдров или усеченных октаэдров [10]. Однако же получения более чистого продукта диссоциации силана достигают не контактом с горячей поверхностью, а с помощью плазменного разряда, инициированного поглощением микроволнового излучения (плазменно-химическое осаждение из газовой фазы) [11], или за счет поглощения силаном интенсивного лазерного излучения с подходящей длиной волны (лазерно-индуцированное ХОГФ) [12, 13]. Эти пиролитические методики приводят к весьма похожим результатам – получаемый ансамбль приближенно сферических частиц, по данным масс-спектрометрии, обладает весьма широким логарифмически нормальным распределением по размерам с полной шириной на половине высоты в 30–60% [11, 12]. Средним размером получаемых частиц можно управлять, изменяя общее давление в реакторе, концентрацию силана в смеси SiH4/Ar, подводимую мощность; на состав поверхности можно повлиять дополнительным введением H2 в газовую смесь [8, 14]. Получаемые гидрогенизированные частицы содержат приповерхностный слой аморфного кремния вокруг кристаллического ядра. Это объясняется тем, что нуклеация и рост частиц происходят при быстром (порядка нескольких миллисекунд [15]) нагреве за счет случайно протекающих поверхностных реакций в условиях затрудненного теплообмена в газовой фазе. Флуктуации температуры сильнее проявляются у более мелких частиц из-за большей удельной площади поверхности. К тому же с уменьшением размера наночастиц существенно уменьшается их температура плавления (для нч-Si размером 4 нм она составляет всего 500°C [16]). Вследствие этих двух факторов для малых частиц достигаемые температуры оказываются достаточными для кристаллизации, в отличие от более крупных частиц, образующихся в результате роста [7]. Легирование происходит в процессе синтеза частиц за счет подмешивания в газовую смесь газа-прекурсора примеси, причем эта добавка не вызывает заметного изменения размера образующихся частиц [9, 17].
Синтетический метод можно охарактеризовать через доступное СП, который в случае наночастиц кремния определяют как:
(1)
где Nпримесь и NSi – это количества вещества примеси и кремния соответственно. Для примеси фосфора в качестве прекурсора в методиках ХОГФ удобно использовать фосфин. Полученные СП составляли от 2 до 18 ат. %, причем частицы сохраняли кристаллическую решетку кремния, по данным электронной [9] и рентгеновской дифракции [7, 18], примесей фосфидов кремния также не наблюдалось. Эффективность захвата примеси фосфора при относительно низком содержании фосфина в реакционной смеси (до 1 : 30 по отношению к силану) составляет около 100% [14, 15], однако исследованный диапазон соотношений количеств силана и фосфина простирается вплоть до эквимолярной смеси. При высоких содержаниях фосфина (1 : 20 и более по объему относительно силана) в наночастицы включается по разным данным только 20–60% всего фосфора [7, 15, 18].
Исследование спектров ЭПР легированных фосфором нч-Si в диапазоне СП до 1% и диапазоне среднего размера частиц от 4.3 до 30 нм показало, что фосфор присутствует в кристаллической решетке в качестве примеси замещения. В целом спектры для наночастиц аналогичны спектрам для монокристаллического кремния, сильнолегированного фосфором [19]. Элементное картирование методом сканирующей просвечивающей электронной микроскопии в темном поле с большим углом (HAADF-STEM) также подтверждает успешное легирование, поскольку положение фосфора повторяет положение кремния [18].
Несмотря на столь внушительную долю включенного фосфора, превышающую предел растворимости фосфора в объемном материале в десятки раз (~0.5 ат. % при 1200°C [20, стр. 763]), его электрическая активность оказывается невысока. Лишь 2–5% всех атомов фосфора являются источниками свободных носителей, по данным спектроскопии ЭПР [14]; моделирование локализованного плазмонного резонанса в сверхлегированных наночастицах приводит к доле активной примеси в 1% [9].
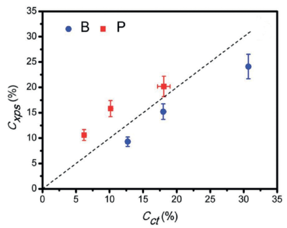
Для объяснения этого эффекта привлекают приповерхностную сегрегацию фосфора, наблюдаемую в нч-Si, полученных методом ХОГФ. Действительно, окисление легированных фосфором наночастиц кислородом воздуха с последующим стравливанием естественного окисла приводит к падению относительного содержания фосфора на 60–90% по результатам химического анализа методами масс-спектрометрии вторичных ионов (МСВИ) [14] и атомно-эмисионной спектроскопии с индуктивно связанной плазмой (АЭС-ИСП) [15] для слаболегированных частиц, рентгеновской фотоэлектронной спектроскопии (РФЭС) [18] и энергодисперсионной рентгеновской спектроскопии [7] – для сверхлегированных. В последнем случае часть фосфора оказывается утрачена даже при хранении в инертной атмосфере, что свидетельствует об очень слабой связи или о физической сорбции части примеси [7]. Расчет содержания фосфора в нч-Si, по данным РФЭС, приводит к завышенным значениям (рис. 1), что закономерно, учитывая то, что в этом методе анализа исследуется поверхность и приповерхностные слои глубиной до ~3 нм [18]. Все вышеперечисленное свидетельствует о том, что большая часть фосфора сконцентрирована в приповерхностном слое кремния. Поскольку примесь в таком виде не придает полезные свойства нч-Si, а лишь понижает устойчивость к окислению, от поверхностного фосфора целесообразно избавляться с помощью травления. В то же время с точки зрения функциональных свойств есть прямая корреляция между высокими СП непосредственно после синтеза и концентрацией носителей заряда – УЛ.
Рис. 1. Сравнение содержаний примесей (ат. %) бора и фосфора, определенных химическим титрованием (cct) и из спектров РФЭС (cxps); пунктирная линия соответствует совпадению определяемых значений. Публикуется с разрешения правообладателя [18]. Copyright 2015 John Wiley and Sons.
В качестве альтернативных исходных соединений для плазмохимического синтеза легированных фосфором нч-Si были предложены тетрахлорсилан, водород и P(OCH3)3 [21]. Поверхность частиц при этом оказывается терминирована связями Si–H, Si–Cl, а также группами Si–O–Si вследствие взаимодействия с материалом реактора. Сведения о СП в данном случае отсутствуют, однако успешность легирования на качественном уровне подтверждается данными РФЭС, электрическая активность примеси констатируется на основе спектров ЭПР [21]. Использование органического прекурсора фосфора вызывает закономерные опасения о загрязнении продукта углеродом. На спектрах комбинационного рассеяния образцов не обнаружено колебаний, связанных с наличием углерода, но исключить возможность загрязнения только на этом основании невозможно.
В случае примеси бора наиболее исследованным прекурсором примеси является диборан. Исследованы образцы с содержанием примеси бора от 0.4 до 60 ат. % (данные АЭС-ИСП): тетраэдрическая “алмазная” структура сохраняется только при содержании примеси не более 42 ат. % [13, 22, 23]. Высокие СП отвечают образованию твердых растворов, при этом так же, как и в случае фосфора, концентрация носителей заряда коррелирует с СП. Эффективность, с которой примесь бора захватывается в частицы из газовой фазы, может составлять от 10 до 70% [14, 15, 18]. Такое различие может быть связано как со средним размером получаемых частиц, так и с нюансами плазмохимического процесса.
Рентгеновские фотоэлектронные спектры сверхлегированных частиц (СП равно 7%) позволяют установить присутствие атомов бора, координированных как четырьмя, так и тремя атомами кремния [17], из чего сделан вывод о наличии примеси бора на поверхности частиц или в приповерхностном слое. В противоположность фосфору, содержание бора в нч-Si, рассчитанное на основании данных РФЭС, оказывается заниженным (рис. 1) [10, 18]. По данным элементного анализа, масс-спектрометрии с индуктивно связанной плазмой (МС-ИСП), МСВИ и РФЭС доля бора в частицах после окисления воздухом и травления плавиковой кислотой либо возрастает, либо не меняется [14, 15, 18], что свидетельствует о том, что поверхностной сегрегации бора не происходит. Помимо обнаруженных поверхностных и приповерхностных положений, примесь представлена и в глубине кремниевых ядер, где ее концентрация может быть даже выше. Электрическая активность бора в нч-Si, согласно моделированию ЛПР, также выше – до 5.2% [9]. Элементное картирование подтверждает, что в образце бор ассоциирован с кремнием [18].
В случае бора также имели место исследования альтернативных прекурсоров примеси: BF3 и В(СН3)3. Сравнение этих двух исходных веществ позволило сделать однозначный выбор в пользу трифторида, использование триметилборана приводит к существенно меньшей кристалличности и к загрязнению продукта углеродом [24].
Данные РФЭС частично окисленных нч-Si свидетельствуют о том, что в случае сверхлегированных частиц большее содержание прекурсора примеси в газовой смеси способствует лучшему проникновению примеси вглубь наночастиц, по крайней мере для условий синтеза, описанных в источнике [18]. В случае фосфора это приводит к некоторому выравниванию радиального распределения, в случае бора – усугубляет различия между поверхностью и более глубинными слоями частицы.
Совместное легирование бором и фосфором нч-Si диаметром от 2.9 до 7.3 нм также было реализовано методом ХОГФ и охарактеризовано качественно с помощью энергодисперсионной рентгеновской спектроскопии. В данном случае внедрение примеси дополнительно подтверждается коллоидной растворимостью в донорных растворителях, характерной для присутствия атомов бора на поверхности. Моделирование люминесцентных свойств, по результатам полуэмпирических расчетов [25] при условии отсутствия ЛПР, позволяет оценить среднее число атомов бора в наночастицах в 5–10, а фосфора – в 5–20, что в пересчете на УЛ составляет около 0.3 и 0.5 ат. % соответственно. При этом заложенные количества бора и фосфора в реакторе в данном случае составляли 4 и 13 ат. % относительно кремния соответственно [8].
Во всех отношениях необыкновенный результат был получен при плазмохимическом пиролизе силана вместе с 2,2,5,5-тетраметилгептандионатом эрбия. За счет столь значительного Z-контраста между примесью и матрицей в просвечивающей электронной микроскопии высокого разрешения (ПЭМ ВР) оказалось возможным наблюдать отдельные атомы эрбия внутри нанокристаллов кремния. По данным РФЭС легированные эрбием нч-Si устойчивей к окислению кислородом воздуха – образующийся слой оксида на поверхности тоньше и содержит меньше кислорода. Достигнуты УЛ до 1 ат. %, что на два порядка превышает растворимость эрбия в объемном кремнии. Радиальное распределение примеси было исследовано с помощью жидкостного травления плавиковой кислотой: эрбий концентрируется в приповерхностных слоях наночастиц [26].
При формировании наночастиц в плазмохимическом синтезе ионы и радикалы примеси обладают высоким химическим потенциалом, который приводит к необратимому захвату примесей растущими частицами [16]. Вследствие этого удается вводить примеси до содержаний в десятки ат. %, а также легировать добавками, обладающими низким сродством к кремниевой матрице, такими как f-элементы.
К недостаткам ХОГФ, как метода получения легированных нч-Si, можно отнести однообразие доступного профиля примеси по глубине, низкую долю электрически активной примеси, а также рост двойникования в нанокристаллах по мере увеличения СП [7, 18]. Двойниковые границы могут рассеивать носители заряда, что понижает частоту максимума ЛПР и вызывает уширение его полосы [7, 9].
2.2. Диспропорционирование соединений кремния при термическом отжиге
В противоположность методу ХОГФ, при котором синтез частиц происходит за несколько миллисекунд, рассмотрим другой распространенный способ – отжиг пересыщенных твердых растворов кремния в различных диэлектрических средах (стеклообразных или керамических материалах) или соединений, в которых средняя степень окисления кремния меньше +4, – это нестехиометрическое (богатое кремнием) боро- силикатное стекло (БСС), фосфоросиликатное стекло (ФСС), борофосфорное силикатное стекло (БФСС), продукты смешения гидридсилсесквиоксана (HSiO1.5)n с борной и/или фосфорной кислотами [27, 28]; SiO, соосажденный в вакууме вместе с элементарным фосфором [29, 30]; а также нестехиометрические нитрид, оксинитрид или карбид кремния, в которые предварительно внедрена легирующая примесь. При таком отжиге пересыщенные твердые растворы распадаются, а соединения в промежуточных степенях окисления диспропорционируют. Формирование частиц и захват примеси типично происходят в течение 30–60 мин при температуре 850–1300°C в инертной атмосфере. Наиболее распространенным методом получения исходных материалов для отжига является магнетронное распыление из одной или нескольких мишеней. Прекурсоры для этих материалов [31–50] сведены в табл. 1; в этой же таблице приведены данные для второго по распространенности метода – ионной имплантации [51–61]. Также нестехиометрические стекла можно получать лазерной абляцией кремниевой мишени, покрытой P2O5, в атмосфере кислорода [62], и методом ХОГФ, окисляя смесь SiH4 и PH3/B2H6 кислородом [63] или CO2 [64]. Богатый кремнием оксинитрид получают методом ХОГФ из N2O и разбавленного аргоном силана с добавкой фосфина для легирования [65–69], богатый кремнием оксикарбид – из SiH4, CH4, CO2 и H2 с добавкой фосфина [70].
После отжига легированные нч-Si оказываются включенными в матрицу диэлектрика. Контролируемое напыление слоев диэлектрика между слоями, обогащенными кремнием, позволяет получать сверхрешетки из частиц. Такой способ изготовления обеспечивает бо́льшую монодисперсность ансамбля частиц и более равномерное распределение примеси [29, 41, 65]. Добавление прекурсора примеси вызывает размягчение стеклянной матрицы, что ведет к большей диффузионной длине атомов кремния в матрице во время отжига и к росту размера образующихся частиц [29, 34, 40], также при введении примеси в виде оксида на размер частиц влияет сопутствующее изменение кислородной нестехиометрии [34, 35]. Легирующая примесь распределяется между нч-Si и матрицей, что затрудняет исследование материала и однозначное описание его свойств. Так, легирование нч-Si в матрице нитрида сурьмой подтверждается малозаметным плечом в спектрах РФЭС, ростом проводимости образцов на несколько порядков, ростом концентрации носителей заряда в композите, определенной по эффекту Холла. В то же время даже эта комбинация признаков не позволяет ответить на вопрос о положении сурьмы на интерфейсе или внутри нч-Si [50].
Есть множество других убедительных примеров, подтверждающих легирование нч-Si, внедренных в матрицу: появление резонанса Фано для оптических фононов кремния в спектрах комбинационного рассеяния [31], появление сигналов поглощения на свободных носителях в ИК-спектрах [36], появление сигнала свободного электрона и линий сверхтонкого расщепления 31P в спектрах ЭПР [37, 62], кремниевое окружение примеси, по данным спектров РФЭС [71]. Возникновение тока между частицами в приложенном электрическом поле также подтверждает включение фосфора в нч-Si, если показано, что внедрение примеси в SiO2 не приводит к такому эффекту [66, 67].
Таблица 1. Прекурсоры и методы получения материалов для синтеза нч-Si
Метод получения | Материал | Прекурсоры | Ссылка |
Магнетронное распыление | Богатое кремнием БСС | Si + SiO2 + B2O3 | [31–33] |
Si + B + SiO2 | |||
Богатое кремнием ФСС | Si + ФСС | [36–38] | |
Si + SiO2 + P2O5 | |||
Si + SiO2 +PH3 | [34] | ||
Богатое кремнием БФСС | Si + SiO2 + ФСС + БСС | ||
Si + SiO2 + P2O5 + B2O3 | |||
Si + ФСС + B2O3 | [47] | ||
SiCx:P | Si:P + SiC | [48] | |
SiCx:B | Si + SiC:B | [49] | |
SiNx:Sb | Si + Si3N4 + Sb | [50] | |
Ионная имплантация | Богатое кремнием БСС | SiO2 + Si+ + B+ | |
Богатое кремнием ФСС | SiO2 + Si+ + P+ | ||
Богатое кремнием мышьяковое силикатное стекло | SiO2 + Si+ + As+ | ||
Композит нч-Si/Si(B)Ox | нч-Si/SiO2 + B+ | [56] | |
Композит нч-Si/Si(P)Ox | нч-Si/SiO2 + P+ | [57–60] | |
Композит нч-Si/Si(As)Ox | нч-Si/SiO2 + As+ | [61] |
Несмотря на убедительную демонстрацию легирования, химический анализ долгое время проводили только для композитов нч-Si/диэлектрик в целом, а УЛ высчитывали косвенным путем. К примеру, для частиц размером 3.5 нм в матрице оксинитрида для примеси предполагают распределение Пуассона, а также тушение ФЛ при включении даже единичного атома фосфора. Падение интенсивности ФЛ в такой модели приводит к УЛ до 0.9 ат. % для образца со средним содержанием фосфора во всем композите 1.75 ат. %. С учетом объемной доли наночастиц только ~15% от всей примеси в образце находится в нч-Si [65]. Предположение биномиального распределения примеси позволяет рассчитать ее содержание в наночастицах из интенсивности сигнала ЭПР, соответствующего частицам с лишь одним нескомпенсированным атомом примеси. Для частиц средним диаметром 5 нм таким образом было определено, что отношение числа носителей заряда к общему количеству примеси в образце равно 30% и УЛ составляет не менее 0.12 ат. % [39].
Прямую и детальную информацию о содержании и положении примеси оказалось возможным получить с помощью атомно-зондовой томографии (АЗТ) за счет латерального пространственного разрешения этого метода в 0.3–0.5 нм. Для малых содержаний фосфора в композите на уровне 0.06 ат. % распределение примеси после отжига оказывается случайным, при содержаниях на уровне 0.4–0.5 ат. % растворимость фосфора в матрице превышена, и примесь сегрегирует в образовавшихся нч-Si [29]. Для образцов нч-Si со средним диаметром 1.8–3.7 нм, включенных в матрицу оксида [29, 32] или оксинитрида [68, 69], 15–25% всей примеси фосфора находится внутри нанокристаллов, 30–35% – на интерфейсе, а 40–65% – в матрице. При исследовании более крупных частиц диаметром до 15 нм было обнаружено, что 60% всей примеси оказывается внедрено в кристаллические ядра [30]. Построение проксиграмм (гистограмм удаленности) визуализирует распределение примеси внутри нч-Si: в зависимости от условий синтеза концентрация фосфора либо проходит через максимум на интерфейсе [34, 68, 69], либо монотонно нарастает вглубь наночастиц [29, 32] (рис. 2а). Установлено достижимое СП в 11–12 ат. % для частиц в матрице оксида со средним диаметром от 2.5 до 15 нм; более высокие содержания фосфора приводили к образованию наночастиц фосфида кремния, по данным энергодисперсионной рентгеновской спектроскопии [29, 30]. В случае бора примесь концентрируется в матрице, а в самих кремниевых ядрах ее концентрация понижена (рис. 2б). Максимальное установленное СП составляет 1.0 ат. % для частиц в матрице оксида со средним диаметром 3.0 нм [32]. За счет получения информации об отдельных частицах в ансамбле оказывается возможным исследование корреляции размера частиц и содержания примеси. Однако в случае примеси бора явной зависимости не обнаружено [32], данные для примеси фосфора противоречивы [32, 68, 69].
Совместное введение бора и фосфора в нестехиометрический оксид перед отжигом способствует включению обеих примесей в нч-Si. При отжиге богатого кремнием БФСС при 1250°C проксиграммы, построенные по данным атомно-зондовой микроскопии, выявили локальные максимумы концентрации бора и фосфора внутри наночастиц, причем максимум для бора был расположен ближе к поверхности (рис. 2в). Для того же образца установлено рекордное СП бора для частиц в матрице – 1.7 ат. %. Проведенный анализ кластеров показал, что с ростом температуры отжига уменьшается доля одиночных атомов бора и фосфора в наночастице и возрастает доля кластеров P–P и B–P. Бор и фосфор как элементы 13-ой и 15-ой групп соответственно способны как к зарядовой компенсации друг друга в кремнии, так и к компенсации размерных напряжений [32].
Рис. 2. Проксиграммы внедренных в оксидную матрицу нч-Si легированных бором (а), фосфором (б), совместно бором и фосфором (в). Ноль отсчета соответствует интерфейсу кремний/оксид, положительные значения отвечают кремниевым ядрам, отрицательные – диэлектрической матрице. Адаптировано с разрешения правообладателя [32]. Copyright 2016 American Chemical Society.
Нч-Si могут быть высвобождены из силикатной матрицы с помощью травления в 46%-й плавиковой кислоте в течение 1 ч. Элементное картирование HAADF-STEМ полученных образцов подтверждает, что и фосфор, и бор ассоциированы в образце с кремниевыми частицами [43]. Исследование состава высвобожденных из матрицы совместно-легированных нч-Si диаметром от 2.2 до 14.1 нм методом АЭС-ИСП обнаружило концентрации фосфора 1–4 ат. % и бора 10–20 ат. % [42]. Первый диапазон СП согласуется с соответствующим значением, определенным при помощи АЗТ для частиц в матрице, в то время как в случае бора наблюдается многократное превышение. Высокие концентрации примесей также подтверждаются данными энергодисперсионной рентгеновской спектроскопии (до 7.2 ат. % фосфора) и ИК-спектроскопии (до 28.1 ат. % бора) [43]. Для объяснения различия привлекают низкую чувствительность АЗТ к бору и преимущественное травление богатых фосфором слоев кремниевых ядер [32], хотя разумным представляется также учесть возможность восстановления бората на гидрогенизированной поверхности частиц в процессе травления. Уже высвобожденные совместно легированные нч-Si были вновь заключены в матрицу оксида кремния. СП в результате этого процесса возросло с 1.2 до ~2%, по данным АЗТ [72]; однако этого наблюдения недостаточно для полного объяснения различия содержания бора для частиц в матрице и высвобожденных частиц.
Легированные бором частицы после высвобождения из матрицы обладают достаточным ζ-потенциалом (от –30 до –40 мВ) для образования устойчивых коллоидов в метаноле и воде. Несмотря на окисление частиц метанолом или следами воздуха, очевидное из ИК-спектров, по данным ПЭМ ВР аморфный слой на поверхности частиц не обнаруживается. Уникальное золеобразование в отсутствие стабилизатора объясняют ионизацией приповерхностной примеси бора, находящейся в позиции замещения атома кремния [42, 43]. С другой стороны, решающую роль могут играть ионизированные поверхностные атомы бора. В гидрогенизированных нч-Si, таких как продукты синтеза ХОГФ или травления окисленных частиц в HF, согласно квантовохимическим расчетам методом DFT именно трехкоординированное положение бора на поверхности в виде В≡Si3, В≡(Si2H) или концевых группировок –ВH2 является наиболее энергетически выгодным [73]. В то же время весьма изящным способом с помощью кросс-поляризационного твердотельного ЯМР было показано, что в коллоидном растворе поверхностные атомы бора в нч-Si четырехкоординированы [28] вследствие присоединения оснований Льюиса – молекул растворителя, ионов F–. Это и приводит к образованию заряда на частицах.
Нестехиометрический оксид кремния также может быть получен методом ионной имплантации кремния в SiO2, при этом совместно с кремнием также можно внедрить в образец атомы бора, фосфора и мышьяка [51]. Для имплантации используются пучки ионов с энергией 7–200 кэВ [51, 57, 58], торможение которых в матрице приводит к нескольким атомным смещениям на каждый нм пробега, поэтому особое внимание уделяется пассивации дефектов после имплантации, что достигается отжигом в инертной атмосфере при температуре 1000–1200°C [51, 55, 57–59], импульсным лазерным отжигом [56, 61], отжигом при температуре 450–500°C в молекулярном [51, 58] или атомарном водороде [57].
Ионная имплантация в целом уступает магнетронному распылению при получении наночастиц в диэлектрической матрице и при их легировании за счет неоднородного профиля внедренных атомов. Из этой неоднородности следует пространственное распределение содержания и размеров нч-Si в матрице. Имплантация ионов мышьяка [53] и бора [52] перед отжигом не привела к изменению размера получаемых частиц, определенного с помощью метода АЗТ, внедрение же фосфора увеличило размер полученных частиц из-за изменения кинетики роста [53, 55]. Полученные частицы характеризовались довольно широким логарифмически нормальным распределением по размерам, что позволило установить зависимость концентрации примеси в частицах от размера на основании данных АЗТ, нормированных с помощью МСВИ и скорректированных на эффект локального увеличения. Внедрение 5 × 1015 см–2 примеси и 6 × 1016 см–2 кремния в оксид кремния с последующим отжигом при 1100°C в атмосфере азота привело к образованию ансамбля частиц размером от 1 до 6 нм. Концентрация примеси (фосфора или мышьяка) практически не зависела от размера частиц и составляла 5–6 ат. %, только в некоторых самых малых частицах диаметром меньше 1.5 нм концентрация заметно отличалась в бо́льшую сторону.
Здесь авторы считают нужным упомянуть гипотезу самоочищения наночастиц, постулирующую существование некоторого критического размера частиц, меньше которого примесный дефект принципиально термодинамически нестабилен. К примеру, ранние квантовохимические расчеты предсказывали критический размер в 2 нм при легировании гидрогенизированных нч-Si [74]. С другой стороны, в работах [75, 76] с чисто термодинамических позиций справедливо отмечено, что химические потенциалы компонентов системы невозможно изменять совершенно независимо. Для поддержания равновесия питательной среды со все меньшими наночастицами требуется все большее пересыщение, что в итоге приводит к уменьшению концентрации предшественника примеси вплоть до фактического отсутствия и сопутствующей термодинамической невозможности легирования. Для легирования нч-Si фосфором из расплава SiP был рассчитан критический размер в 1.3 нм. В то же время в других системах (к примеру, в оксиде кремния) растворимость компонентов может быть существенно ниже, что должно понижать критический размер, определенный таким образом. Вышеупомянутые результаты АЗТ для оксидной матрицы противоречат гипотезе самоочищения, не обнаруживая даже тренда на уменьшение СП с размером. Также не обнаруживается сегрегация примеси на интерфейсе Si/SiO2, которую считают признаком самоочищения [53]. Однако АЗТ не дает информации о фазовом составе наночастиц, поэтому определенные высокие содержания фосфора в случае частиц меньше 1.5 нм могут относиться к наночастицам фосфида кремния, особенно с учетом возросшей погрешности определения СП в столь малых частицах. К тому же, обработка данных АЗТ включает в себя моделирование, параметризация которого несколько изменяет вычисленные размеры частиц. Таким образом, вопрос о самоочищении нч-Si от фосфора остается дискуссионным.
Имплантация же бора приводит к совершенно отличным результатам: только 48% частиц содержали хотя бы один атом примеси, даже среди легированных частиц лишь примерно в каждой шестой СП превышало 2 ат. %. Преимущественно легировались более крупные частицы, в более мелких бор концентрировался на интерфейсе Si/SiO2: 4–10 атомов примеси находились на границе частиц в слое толщиной 5 Å [52].
Легирование нч-Si, полученных после совместной имплантации примеси и кремния, в случае примеси бора подтверждается тушением ФЛ даже после отжига имплантационных дефектов [51], а в случае примесей фосфора и мышьяка – выпрямляющим действием частиц в структурах металл–оксид–полупроводник. Следует отметить, что контрольный опыт с имплантацией только примеси не приводил к такому же росту проводимости [54].
Ионной имплантацией возможно внедрять примеси также и в готовые композиты Si/диэлектрическая матрица, однако уже при дозах в 3 × 1014 см–2 и более может наступать аморфизация частиц, а торможение ионов и сопутствующие атомные смещения создают пересыщение матрицы кремнием, способное вызывать кристаллизацию дополнительных нч-Si в образце и рост уже существующих нанокристаллов [60]. Все эти процессы затрудняют интерпретацию результатов спектроскопических исследований. В любом случае, после внедрения примеси требуется отжиг для удаления имплантационных дефектов [59]. Легирование нч-Si по такой методике в случае бора и мышьяка было доказано только косвенно за счет тушения ФЛ [56] и по небольшому изменению оптических констант по данным эллипсометрии [61] соответственно. Легирование фосфором было продемонстрировано напрямую с помощью АЗТ и наблюдения ЛПР [58].
Легирование в процессе образования нч-Si по реакции диспропорционирования кремниевых соединений позволяет получать ансамбли легированных частиц с низкой полидисперсностью. Достижимые УЛ фосфором сопоставимы с таковыми для метода ХОГФ, легирование бором затруднено из-за сегрегации примеси на интерфейсе Si/матрица.
2.3. Диффузионное легирование, абляция, коллоидный синтез
При диффузионном легировании наночастиц примесь поступает из пространственно удаленного источника, например из δ-слоев в напыленных планарных структурах. Так, были исследованы структуры SiO2/P–SiO2/SiO/SiO2, полученные электроннолучевым испарением [77], и SiNx/Sb/SiNx, полученные магнетронным распылением [78]. Если температура достаточна для диффузии примеси в матрице, то результат принципиально не отличался от метода отжига легированного нестехиометрического оксида, нитрида и т.д. [50, 78], в то время как при более низких температурах легирование не происходило. Так, для легирования в матрице оксида требуются температуры выше 900°C [79]. Легирование подтверждается РФЭС [77], по данным МСВИ, за счет сдвига профиля фосфора в образцах после отжига и совпадения его формы с таковой для кремния, а также изменением природы иона, которым в основном представлен фосфор, с PO2– на P– [79]. Количество введенной примеси регулируют, изменяя толщину δ-слоев. Больший интерес представляют методики, в которых диффузионному легированию подвергают уже готовые частицы. К примеру, такого можно достичь напылением δ-слоя P–SiO2 на планарную структуру, в которой отжигом уже был получен массив наночастиц в оксиде. Для предотвращения испарения примеси также наносили маскирующий слой оксида кремния поверх δ-слоя. Для проведения легирования в этих условиях достаточно температуры в 900°C. Если проводить легирующий отжиг при температуре ниже температуры роста частиц, то размер частиц остается практически неизменным. В то же время с помощью МСВИ можно пронаблюдать перераспределение фосфора и его концентрирование в слое нч-Si, а включение фосфора непосредственно в кремниевые частицы подтверждается РФЭС. Пересчет интегральной интенсивности на суммарный объем частиц в слое приводит к максимальному СП в 6 ат. %. Моделирование диффузии, захвата и высвобождения примеси позволило установить, что захват ограничивается только диффузионно и не предоставляет дополнительного барьера. Барьер диффузии фосфора в оксиде составляет 3.5 эВ, барьер высвобождения примеси из нч-Si – 4.4 эВ. Таким образом, определенная энергия связи примеси в наночастице в оксидной матрице оказалась равна 0.9 ± 0.1 эВ, что подтверждает термодинамическую природу высокой растворимости фосфора в нч-Si [80].
Схожая методика постсинтетического легирования была предложена для коллоидных нч-Si, высвобожденных из оксидной матрицы [81]. К золю гидрогенизированных частиц в безводном толуоле добавляли раствор борной кислоты в этаноле, а затем 15%-й раствор гидридсилсесквиоксана в метилизобутилкетоне для формирования маскирующего слоя, после чего сушили. Оптимальные условия для последующего отжига: температура 500°C, продолжительность 1 ч, восстановительная атмосфера – инертный газ с 5%-м содержанием H2. При температуре 600°C происходило спекание частиц. Размер легированных нч-Si по этой методике несколько уменьшается по сравнению с исходными за счет травления и расхода кремния на восстановление бора из оксида. Установленное с помощью МС-ИСП содержание примесей в оптимальных условиях зависит от размера исходных частиц и составляет 5.0, 3.8, 2.5 ат. % для частиц со средним диаметром 3.7, 4.4, 7.1 нм соответственно [81]. Этот эффект связывают с понижением доли аморфного (“квазикристаллического”) кремния в исходных частицах, полученных диспропорционированием гидридсилсесквиоксана, с увеличением их размера. Действительно, когда та же методика была опробована на частицах с высокой степенью кристалличности размером 6 нм [81], СП составило всего 0.5 ат. %, а данные РФЭС показали, что примесь находится в поверхностном слое, в противовес значительной доле четырехкоординированного кремнием бора в продуктах легирующих отжигов частично аморфизованных нч-Si. Распределение примеси было дополнительно охарактеризовано спектроскопией характеристических потерь энергии электронов с латеральным разрешением: при сканировании индивидуальной частицы зарегистрирован четкий максимум сигнала примеси, по форме и положению практически совпадающий с сигналом кремния [81]. Полученное содержание бора существенно превосходит таковое для других “термодинамических” методик. В то же время зависимость СП от размера частиц можно отнести к недостаткам подхода.
Для диффузионного постсинтетического легирования коллоидных нч-Si, покрытых тонкой оболочкой оксида, можно использовать ампульный отжиг с газообразным прекурсором примеси [82, 83]. Для легирования фосфором в качестве источников примеси опробованы элементарный фосфор и фосфин [82]. Для протекания процесса необходима температура 700–1000°C, отжиг занимает от нескольких часов до нескольких суток, в зависимости от температуры. Количество вводимой примеси возможно регулировать за счет давления газообразного предшественника. Значительная часть примеси задерживается оксидом, в то же время содержание фосфора в кристаллических ядрах после отжига составляет от 0.19 до 2.0 ат. %. Отличительной чертой диффузионно легированных нч-Si является высокая доля ионизированной примеси, достигающая 34%. С точки зрения функциональных свойств легирование проявляет себя через ЛПР в ИК-области и через термоэлектрический эффект. Распределение примеси фосфора внутри кремниевых ядер достаточно равномерно, по данным рентгеноспектрального элементного картирования HAADF-STEM; рост частоты ЛПР при пошаговом травлении HF позволил предположить концентрирование легирующей добавки в глубинных слоях кремниевых ядер, по сравнению с приповерхностными [82]. Для легирования бором с помощью диборана сообщается о несколько меньшем достижимом СП, равном 0.25 ат. % [83].
Методом диффузионного легирования газообразным прекурсором в качестве весьма необычной для нанокремния примеси была исследована сера [84]. Так же, как и в случае фосфора, здесь наблюдается захват примеси поверхностным слоем оксида, максимальное достигнутое СП в кремниевых ядрах составило 0.5 ат. %, что на четыре порядка превышает растворимость серы в массивных кремниевых кристаллах. Пошаговое травление плавиковой кислотой показало, что распределение серы в кристаллических ядрах равномерно. Для прессованных таблеток из легированных частиц определили отрицательное и высокое по абсолютной величине значение коэффициента Зеебека, равное –1.7 мВ К–1, что подтвердило электрическую активность примеси. Прекурсором примеси в методике является элементарная сера, легирование происходит при температурах от 500 до 900°C [84]. Также проводили отжиги с элементарным селеном и теллуром при температуре 850°C в течение 5 ч, содержание примесей после травления составило около 0.6 ат. %. С точки зрения функциональных свойств успешное легирование подтверждается сильным предкраевым оптическим поглощением, характерным для сверхлегированного серой объемного кремния. Следует отметить, что отжиги с халькогенами при температурах выше 825°C приводят к перекристаллизации части материала с образованием микростержней [85]. В настоящий момент легирование из газовой фазы в большей степени развито для донорных примесей, предоставляющих удобные источники в виде летучих простых веществ.
Внедрение примеси в готовые частицы также было проведено электрохимически, травленая пластина со слоем пористого кремния была использована в качестве катода, а электролитом служил раствор LiCl в 99%-м этаноле. Предполагается, что литий в нч-Si является примесью внедрения, что согласуется с тем, что рентгеновская дифракция обнаружила рост параметра элементарной ячейки после легирования. Максимум ФЛ сместился в коротковолновую область, а время жизни люминесценции уменьшилось, что связывают с действием растягивающего напряжения на зонную структуру [86].
Методики диффузионного легирования позволяют разделить стадию синтеза и стадию внедрения примеси. Таким образом не изменяются условия синтеза, чувствительность продукта к которым с точки зрения среднего размера, полидисперсности, кристалличности, морфологии и выхода может быть весьма высока; не происходит загрязнения реактора примесью. Также постсинтетическое легирование совместимо со всеми методами получения нч-Si, в том числе с высокопроизводительными, такими как испарение поликристаллического кремния в аргоновом плазмотроне.
Для легирования нч-Si серой описана еще одна методика – лазерная абляция кремниевой пластины в среде сероуглерода [87]. Рентгеноспектральный элементный анализ показал в этом случае существенное загрязнение продукта углеродом и кислородом, а по микрофотографиям ПЭМ видно, что частицы имеют композитный характер. Тем не менее, повышенное оптическое поглощение в ИК-области в этом случае тоже наблюдалось [87].
В отличие от других наночастиц полупроводника, легирование нч-Si коллоидным методом практически не изучено. Легированные частицы, терминированные хлором, были получены при совместном восстановлении хлоридов фосфора и кремния магниевой пылью в глиме при 50°C [88]. Галоген на поверхности был переведен в октильную стабилизирующую группу действием реактива Гриньяра. Энергодисперсионная рентгеновская спектроскопия обнаружила высокое СП (до 5%) в полученных нч-Si. ЭПР-спектры образца содержали интенсивный сигнал при аномально высоком значении g-фактора 2.008, чему предлагаются возможные объяснения в виде неоднородного уширения из-за анизотропии g-фактора или уширения из-за прямого взаимодействия спинов ядер фосфора в кластерах [88].
Коллоидным методом также возможно легировать нч-Si переходными металлами: по реакции фазы Цинтля, содержащей примесь, с NH4Br [89, 90], или при совместном восстановлении хлорида металла с тетрахлорсиланом с помощью алюмогидрида лития в растворителе [91, 92]. Такими методиками можно получить весьма малые частицы размером 2.4–4.0 нм. Легирование Fe до СП 0.9 ат. % [89], Ni – до 0.6% [91], Cu – до 1.3 ат. % [92] подтверждается только химическими методами и изменением оптических свойств. Присутствие марганца на поверхности наночастиц подтверждается данными ЭПР на основании сверхтонкого расщепления сигнала от оборванных связей на секстет ядром металла [90], достигнуто СП до 0.6 ат. % [91].
3. СВОЙСТВА ЛЕГИРОВАННЫХ НАНОЧАСТИЦ КРЕМНИЯ
3.1. Оптическое поглощение в УФ-видимой области
Легирование нч-Si в первую очередь влияет на чувствительную электронную структуру, которую, в частности, можно исследовать с помощью оптического поглощения. При малых интенсивностях падающего света из всех особенностей спектра поглощения нч-Si в УФ-видимой области удобнее всего сначала выделить край поглощения. Со стороны области высоких энергий поверх края поглощения может присутствовать плечо, в области низких энергий край переходит в экспоненциально спадающий “хвост” поглощения. Рассеяние света также вносит в спектр свой вклад, который может усиливаться за счет процесса частичной агломерации, например, в случае окисленных нч-Si в полярных растворителях [17]. Край поглощения можно использовать для определения величины оптической энергетической щели Eопт. с помощью построения Тауца.
Неоднородность оптических свойств в ансамбле заставляет усомниться в применимости этой методики для нч-Si, поэтому в работе [93] был проведен подробный анализ влияния полидисперсности ансамблей на спектры поглощения. Включение распределения по размерам в модель приводит к появлению экспоненциального “хвоста” прикраевого поглощения, вклад которого при уменьшении размера частиц становится все более заметным, и для образцов со средним размером в 4.5 нм уже может несколько затруднить идентификацию краевого поглощения, которая, тем не менее, остается возможной.
Нч-Si, сверхлегированные бором, не подвержены агломерации и поэтому хорошо подходят для исследования спектроскопией поглощения. При построении в координатах для непрямозонных полупроводников на спектрах присутствует линейный участок; экстраполяция к пересечению с абсциссой позволяет вычислить энергию непрямого перехода. При варьировании СП бора от нуля до 31%, Eопт. уменьшается с 1.5 до 0.9 эВ. Плечо на крае поглощения ассоциируют с прямым межзонным переходом, его энергию оценивают из максимума производной спектра. При таком же росте УЛ энергия прямого перехода уменьшается с 3.58 до 3.06 эВ. Сдвиг в красную область спектра объясняют смещением зоны проводимости в направлении энергетической щели [17].
Влияние примесей элементов 13 и 15 групп Периодической системы, а также изоэлектронных примесей, на спектры поглощения нч-Si также изучено квантово-химическими расчетами методом DFT в следующих вариациях: DFT-GGA в приближении независимых частиц [94] и более пригодным для описания возбужденных состояний времяразрешенным методом в адиабатическом LDA [95, 96]. Для центрального положения единичного атома примесей из 13, 14 и 15 групп в гидрогенизированных частицах диаметром до 2.2 нм при расчетах не обнаружено существенного сдвига края поглощения по сравнению со спектрами нелегированных частиц [94], однако в низкоэнергетической области спектра присутствуют полосы, обусловленные переходами с участием примесных уровней, интенсивность этих полос уменьшается с ростом размера частиц [94, 96]. Для нч-Si диаметром 1.8 нм, одновременно содержащей бор и фосфор вблизи центра, поглощения на дефектных уровнях не наблюдается [94]. То же верно для нч-Si диаметром 1.4 нм, содержащих на поверхности 1 или 2 трехкоординированных атома фосфора, однако такое положение фосфора вызывает сдвиг края поглощения на 0.3–0.4 эВ в длинноволновую область [95, 96].
Один из немногих фактов, на котором сходятся все теоретические исследования, – это возможность пассивации оборванной связи в нанокремнии фосфором, в результате которой исчезают глубокие уровни и устанавливается электронная структура как у бездефектного материала. Так, при пассивации дефектной окисленной нч-Si поглощение при низких энергиях отсутствует, и спектр практически совпадает со спектром нелегированной частицы. При внедрении одного атома фосфора в бездефектную частицу (или второго атома фосфора в пассивированную) в приповерхностное положение из-за нечетного числа электронов в структуре появляются глубокие уровни. В электронном строении частицы с двумя атомами фосфора в приповерхностном положении нет глубоких примесных уровней, однако энергия межзонного перехода оказывается понижена на 0.17 эВ по сравнению с нелегированной частицей [95].
Легирование нч-Si переходными металлами, с другой стороны, оказывает заметное влияние и на форму спектра поглощения: появляется полоса в области 4.1–4.5 эВ [91], с ростом содержания примеси край поглощения сдвигается в красную область [92].
Также для примесей Mn, Ni, Cu были исследованы спектры наведенного поглощения; они существенно отличаются по форме от таковых для нелегированных нч-Si. Наведенное поглощение в экситонной области моментально (с характерным временем менее 100 фс) угасает во всех легированных образцах, что свидетельствует об образовании новых дефектных уровней и появлении соответствующих каналов релаксации [91].
Рис. 3. Время жизни нейтрального/заряженного биэкситона в нч-Si как функция размера: собственные частицы (черные символы), легированные фосфором (красные символы), легированные бором (голубые символы). Адаптировано с разрешения правообладателя [97]. Copyright 2019 American Chemical Society.
3.2. Оптическое поглощение в ИК-области, локализованный плазмонный резонанс
Методы нелинейной оптики незаменимы для прояснения процессов, происходящих в нч-Si. Так, во множестве теоретических работ вычисляли энергию связи носителя заряда с примесным атомом, получаемые значения не соответствовали представлениям об элементах 13 и 15 групп как о мелких примесях в нанокремнии. Утверждалось, что фосфор может быть мелким донором только в частицах диаметром более 20 нм [74]. Спектроскопия наведенного поглощения в ИК-области позволяет следить за динамикой носителей заряда, делокализованных внутри одной частицы. Для собственных наночастиц прямозонных и непрямозонных полупроводников время жизни биэкситона должно линейно возрастать с объемом частицы. Легированные фосфором нч-Si следуют этому тренду до ~50 нм3 (диаметр 4–5 нм), затем резко отклоняются от него в меньшую сторону (рис. 3), что однозначно подтверждает способность фосфора в нч-Si к ионизации при превышении некоторого критического размера. При исследовании легированных бором нч-Si диаметром от 3.5 нм такой критический размер не установлен, с другой стороны, дырки в исследованных образцах появлялись в результате поверхностного легирования в результате образования донорно-акцепторных аддуктов с растворителем, а не благодаря ионизации примеси замещения. Также из динамики релаксации экситона были рассчитаны характерные времена Оже-процессов: время жизни положительного триона составляет 0.7–3.6 нс, отрицательного заряженного – 13–17 нс [8, 97].
Наличие делокализованных носителей заряда в частицах делает возможным появление особенности в спектре поглощения в виде одной или нескольких широких полос ЛПР. На форму полосы ЛПР оказывают влияние размер и форма частиц, их материал, диэлектрическая проницаемость окружающей среды [98]. Плазмонный резонанс проявляется лишь у сверхлегированных нч-Si, для которых предполагают вырожденный (металлический) характер, однако ЛПР наночастиц полупроводника существенно отличается от ЛПР наночастиц металла. Так, плазмонная полоса наночастиц полупроводника располагается в ИК-области, а не в видимом диапазоне, количество носителей заряда в наночастицах полупроводника можно менять независимо от размера, благодаря меньшему числу носителей в частице можно существенно и обратимо влиять на их концентрацию (следовательно, и на положение полосы) после синтеза частиц, иначе говоря, ЛПР наночастиц полупроводника может быть настроен динамически [99].
ЛПР является коллективным колебанием носителей заряда, для его появления необходимо, по разным оценкам, от 4 или от 10 носителей [58, 99]. Поскольку такие процессы весьма сложны, ЛПР чаще всего описывается в классическом приближении. К примеру, для сферических частиц используют аналитическое решение задачи о рассеянии Ми в квазистатическом приближении, а диэлектрическую функцию металлических (вырожденных) наночастиц описывают с помощью модели Друде. Для спектрального положения ωsp максимума ЛПР приближенно получают [7, 9, 100]:
(2)
где e – элементарный заряд, m* – эффективная масса носителей заряда, ε0 – диэлектрическая постоянная, ε∞ – высокочастотная диэлектрическая постоянная материала, εm – диэлектрическая проницаемость окружающей среды, Nc – концентрация носителей заряда.
Применимость такого классического подхода в целом и уравнения (2) в частности подтверждается расчетами в приближении сильно связанных валентных электронов (ПССВЭ) в варианте RPA (random phase approximation, приближение случайных фаз). Вычислительная сложность метода позволяет исследовать частицы размером до 4.0 нм, содержащие до 335 атомов фосфора или бора в позициях замещения атомов кремния. При малом количестве атомов примеси спектр поглощения представляет собой набор узких полос, соответствующих одноэлектронным возбуждениям примеси. Когда количество атомов фосфора в частице составляет ~10, появляется более высокоэнергетический вклад, соответствующий коллективному возбуждению, – ЛПР. При дальнейшем росте УЛ вклад ЛПР становится доминирующим. Расчетные положения максимумов поглощения действительно зависят от Nc1/2 и совпадают с предсказанными по уравнению (2) для частиц диаметром 4 нм и более. Другой важный результат квантово-химического расчета заключается в том, что большое количество дефектов оборванных связей в нч-Si не приводит к аналогичному коллективному колебанию; для получения ЛПР необходимо легирование нч-Si водородоподобными примесями [9, 71].
При описании ИК-спектров реальных образцов наночастиц приходится дополнять простейшую комбинацию уравнений. В теории Друде коэффициент затухания Г не зависит от частоты. Для такого случая основным каналом затухания плазмонных колебаний является электрон-электронное рассеяние, что весьма правдоподобно для наночастиц металлов, концентрация свободных носителей заряда в которых очень высока. Если Г постоянна, то интенсивность поглощения полосы ЛПР со стороны коротких волн нарастает как λ2, где λ – длина волны. В наночастицах полупроводника могут доминировать другие процессы затухания плазмонов, которые будут приводить к разным показателям степени при длине волны в спектральной зависимости поглощения: 1.5 для рассеяния на акустических фононах, 2.5 – на оптических фононах, 3 или 3.5 – на заряженных примесях [36]. Частотная зависимость Г приводит к асимметричной форме резонанса, в наночастицах полупроводника эту частотную зависимость упрощенно моделируют сигмоидной функцией [100, 101].
Рис. 4. ИК-спектры нч-Si с разным уровнем легирования: (а) частицы, синтезированные плазмохимически (на спектрах указан номинальный уровень легирования фосфором, заданный соотношением реагентов); (б) частицы, синтезированные лазерно-индуцированным пиролизом (для спектров указано содержание бора в частицах). Адаптировано с разрешения правообладателей [7] (Copyright 2013 American Chemical Society) и [13] (Copyright 2019 John Wiley and Sons).
При соблюдении одинаковых условий пиролитического синтеза частота ЛПР в нч-Si увеличивается вместе с СП. Для примеси фосфора удавалось получить резонанс с положением максимума от 0.07 до 0.3 эВ [7], для бора диапазон значений составляет 0.13–0.38 эВ [9, 13] (рис. 4). Распределение примесей и природа поверхностной пассивации оказывают влияние на наличие ЛПР. Частицы, сверхлегированные фосфором, изначально обладают ЛПР [7], но даже краткого контакта с воздухом достаточно, чтобы резонанс пропал из-за захвата носителей заряда дефектами, образовавшимися в процессе окисления. Продолжительное окисление приводит к более совершенному интерфейсу Si/SiOx, в результате чего плазмонный резонанс вновь появляется [9]. В случае примеси бора есть сообщения о том, что неокисленные нч-Si не проявляют ЛПР, однако даже следовые количества кислорода в сухом боксе при нагревании могут привести к появлению плазмонных свойств. После травления окисленных частиц, легированных фосфором, в пара́х плавиковой кислоты плазмонная полоса присутствует/появляется [9, 102], для бора данные противоречивы [17, 102]. ЛПР присутствует у диффузионно легированных фосфором нч-Si со слоем оксида на поверхности, а также сохраняется при травлении HF и при последующем окислении вследствие более равномерного радиального распределения примеси [82]. При высоких СП фосфора во включенных в диэлектрическую матрицу нч-Si ЛПР также удалось пронаблюдать [30, 58].
Моделирование ЛПР приводит к концентрации носителей заряда в нч-Si, сверхлегированных фосфором и бором до 1.05 × 1021 см–3 [7] и 4.9 × 1020 см–3 [17] соответственно. Если поделить эти значения на численную плотность атомов кремния в материале, то мы получим 0.01–0.02, что во много раз меньше СП, достигнутого в образцах. Доля активной примеси обычно находится на уровне одного или нескольких процентов [9, 30], однако при УЛ 0.4% для бора была зафиксирована доля активной примеси в 39% [13], для фосфора же относительно высокая доля 34% наблюдалась при диффузионном легировании до СП 0.95 ат. % [82]. В целом в случае фосфора не удавалось получить концентрацию носителей заряда, существенно превышающую растворимость примеси в монокристаллах Si, что может быть связано с объединением “избыточного” фосфора в электрически неактивные кластеры [58]. Подвижность носителей заряда внутри легированных частиц, определенная по ЛПР, составляет ~400 см2 В–1 с–1 для электронов и ~100 см2 В–1 с–1 для дырок, что сравнимо со значениями подвижности в монокристаллическом кремнии [9].
3.3. Фотолюминесценция
Легирование нч-Si водородоподобной примесью не приводит к новым значимым свойствам с точки зрения ФЛ. При введении фосфора в “термодинамический” синтез отжигом нестехиометрических соединений кремния для малых содержаний примеси интенсивность ФЛ возрастает из-за компенсации Pb-дефектов интерфейса [38]. Бо́льшие содержания фосфора в синтезе приводят к тушению ФЛ, что связывают с безызлучательной Оже-релаксацией [15, 36]. Присутствие любых количеств бора также приводит к значительному гашению, дополнительный вклад в которое могут вносить структурные напряжения, вызванные присутствием меньшего по размеру примесного атома [15, 35].
Легирование бором делает частицы более устойчивыми к окислению, а также к травлению HF. Присутствие бора на поверхности нч-Si или рядом с ней способствует коллоидной растворимости, в том числе и в плавиковой кислоте [44]. За счет этого возможно отделить легированные нч-Si, синтезированные в матрице, от собственных частиц и проанализировать спектры ФЛ первых. Легирование бором приводит к падению интенсивности ФЛ более чем в 1000 раз. Максимум люминесценции приходится на 1.14–1.2 эВ, однако полоса простирается в область низких энергий далеко за значение ширины запрещенной зоны для объемного материала. Следовательно, излучательный процесс происходит с участием акцепторных уровней примеси. Время релаксации ФЛ оказывается пониженным, по сравнению с собственными нч-Si, и составляет ~10 мкс [33].
Совместно легированные нч-Si ярко люминесцируют, энергия максимума ФЛ оказывается смещена в длинноволновую область на 400–500 мэВ относительно собственных наночастиц такого же размера, что согласуется с излучательным переходом между донорным и акцепторным уровнями близко расположенных фосфора и бора соответственно [8]. Таким образом, варьируя размер нч-Si, можно получить материал с эффективной люминесценцией в диапазоне 0.85–1.8 эВ, в то время как возможная энергия ФЛ собственных частиц ограничена снизу шириной запрещенной зоны кристаллического кремния. Полуэмпирические расчеты в ПССВЭ для гидрогенизированных частиц диаметром до 10.4 нм с усреднением по случайным конфигурациям атомов примеси предсказывают уменьшение энергетической щели в нч-Si с ростом количества бора и фосфора в них (рис. 5), причем в этой модели кластеры B → P оказывают лишь незначительное влияние на энергию межзонного перехода, а существенному понижению способствуют близко расположенные атомы примеси, не связанные непосредственно [25]. DFT-расчеты для малых частиц (1.4 нм) предсказывают существенное понижение энергетической щели для относительно нестабильных конфигураций с бо́льшим средним удалением атомов бора и фосфора в частице и относительно близким расположением атомов примеси одного сорта [103]. Экспериментально определенное время релаксации ФЛ совместно легированных частиц находится в диапазоне 10–100 мкс [8, 42], подтверждая результаты расчетов методом DFT с временны́м разрешением [103].
При совместном легировании только часть нч-Si содержит одинаковые количества активного фосфора и бора. Зарядовая и размерная компенсации примесей способствуют существенному понижению энергии образования частицы. Этот эффект особенно заметен для мелких частиц и приводит к повышенной доле идеально скомпенсированных частиц среди них по сравнению с чисто случайным распределением. Для частиц большего размера квантовый выход ФЛ падает со своего маща ксимального значения 12%, при том, что время жизни возбужденного состояния остается практически неизменным. Из этого следует возросшая доля нескомпенсированных частиц, “темных” из-за быстрой Ожерелаксации [42]. В то же время предполагают, что избыточный бор концентрируется на поверхности и не является источником носителей заряда [44], а избыточный фосфор не ионизуется при диаметре меньше некоего критического [8].
Спектры люминесценции отдельных частиц, легированных совместно бором и фосфором, обнаруживают большое спектральное уширение в 100–350 мэВ даже при температуре в 77 К, так что вполне логично заключить, что в каждой частице существует множество относительных конфигураций бора и фосфора, между уровнями которых и происходят излучательные переходы [45].
Нч-Si диаметром 2.5 нм, легированные переходными металлами и стабилизированные алкильными группами, обладают ФЛ с максимумом в области ~2.6 эВ [91]. Нелегированные частицы с тем же средним размером и составом поверхности характеризуются максимумом при 3.0 эВ [92]. Внедрение небольшого количества примеси на уровне одного-двух атомов на частицу не понижает квантовый выход ФЛ, он остается на уровне 15–20% [89–92]. Большее содержание (4–10 атомов) заметно снижает квантовый выход [89, 92].
Рис. 5. Величина энергетической щели для совместно легированных нч-Si разного диаметра с разным числом пар бор–фосфор, усредненная по случайным конфигурациям атомов примеси. Адаптировано с разрешения правобладателя [25]. Copyright 2018 American Physical Society.
При легировании нч-Si эрбием для характерной ФЛ этого катиона при 1540 нм в спектрах возбуждения зарегистрированы “межзонные” переходы кремния. Из зависимостей интенсивности ИК-люминесценции и времени разгорания ФЛ от светового потока возбуждающего излучения было определено сечение возбуждения, на уровне (1.2–1.3) × 10–17 см–2, что на четыре порядка превышает сечение возбуждения для отдельных ионов эрбия. Таким образом, действительно реализуется эффективная передача возбуждения с кремниевой матрицы на примесь [26].
3.4. Электрический транспорт в легированных наночастицах кремния
Протекание электрического тока на макроскопических масштабах подразумевает исследование свойств множества нч-Si в некотором диэлектрическом окружении. Это окружение может включать газ, естественный окисел на поверхности частиц, представлять собой матрицу, в которой частицы и были синтезированы. Как следствие, зачастую образцы нч-Si нуждаются в дополнительной обработке для появления заметной проводимости: рыхлые порошки подвергают давлению на уровне 200 атм [10], естественный окисел удаляют травлением плавиковой кислотой [19, 104]. Спекание нч-Si приводит к образованию микрокристаллических структур, в результате чего проводимость, очевидно, также возрастает [14, 105].
Из множества параметров, влияющих на проводимость, сначала рассмотрим плотность упаковки частиц – их объемную долю в композите – с точки зрения теории перколяции. Из DFT-расчетов известно, что для “прыжков” носителей между двумя нч-Si, разделенными оксидом кремния, необходимо расстояние менее 0.5 нм [106]. Для макроскопического тока необходима сеть таких “соприкасающихся” частиц в образце, которая появляется, когда объемная доля нч-Si превышает порог перколяции. Послепороговая проводимость находится в степенной зависимости от содержания кремния в полном согласии с теорией.
Перенос электрона между частицами сопровождается энергетическим барьером зарядки частицы как конденсатора – эффект, называемый кулоновской блокадой. Также свой вклад в барьер может давать несоответствие энергетических уровней наночастиц разного размера вследствие эффекта квантово-размерного ограничения или легирования. Получаемая задача активируемого туннельного транспорта феноменологически соответствует прыжковому механизму с переменной длиной прыжка. Температурная зависимость проводимости описывается уравнением (3) [107]:
(3)
где σ0 – высокотемпературная проводимость, T0 – характеристическая температура, β – характеристическая экспонента. Для композитов гидрогенизированных легированных нч-Si коэффициент β в температурной зависимости проводимости (уравнение 3) равен 1/2, что соответствует механизму Эфроса–Шкловского. Кулоновский барьер, фигурирующий в этой модели, возникает из-за того, что большинство частиц оказываются заряжены. Это, в свою очередь, происходит вследствие перераспределения электронов для выравнивания химического потенциала в частицах с разным УЛ.
Для возможного перехода от изолирующих свойств к металлической проводимости с ростом концентрации носителей заряда на основе классических представлений был предложен аналог критерия Мотта. В случае кремния он формулируется как:
(4)
где Nc – концентрация носителей заряда, а r – радиус контактирующих граней. Для нч-Si диаметром 8 нм это приводит к оценке необходимой Nc = 5 × 1020 см–3. Учет необходимости туннелирования через слой диэлектрического материала может привести к тому, что металлический режим проводимости композита окажется недостижим вовсе.
В рамках теории Эфроса–Шкловского характеристическую температуру можно связать с длиной локализации электрона ξ:
(5)
где εr – эффективная диэлектрическая проницаемость композита, kB – постоянная Больцмана, e – элементарный заряд, C – безразмерная константа. Рассчитанная из экспериментальных данных длина локализации растет с УЛ, и при Nc = 2.8 × 1020 см–3 уже равна трем диаметрам наночастицы (для частиц размером 7–8 нм), что может свидетельствовать о близлежащем пороге металлической проводимости [108].
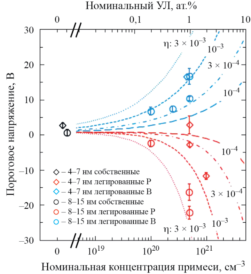
Пленки слаболегированных (при номинальном УЛ 1 ат. % и менее) гидрогенизированных нч-Si диаметром от 5 до 12 нм, нанесенные по технологии спин-коутинга в инертной атмосфере, могут быть использованы в качестве токопроводящего канала в полевом транзисторе. Отношение токов в открытом и закрытом состояниях находится в диапазоне 101–104. Получаемые каналы обладают n-типом проводимости как в случае примеси бора, так и в случае примеси фосфора, подвижность электронов находится на уровне 10–6–(5 × 10–4) см2 В–1 с–1. Легирование оказывает сильное влияние на пороговое напряжение, смещая его в положительную сторону в случае бора, и в отрицательную – в случае фосфора. Таким образом, бор проявляет себя как акцепторная примесь и понижает уровень Ферми, а фосфор, напротив, является донором, повышающим уровень Ферми. Из порогового напряжения можно, в предположении совпадения свойств нч-Si с объемным материалом, вычислить приближенно долю активной примеси, которая оказывается на уровне 0.01–1% (рис. 6). Высокий номинальный УЛ 10% приводит к невозможности управления с помощью внешнего поля как для фосфора, так и для бора, что объясняется вырожденной, металлической природой сильнолегированных нч-Si. Для малых частиц размером около 5 нм введение даже одного атома примеси приводит к значительному возрастанию концентрации примеси. Пленки из таких нч-Si состоят из смеси собственных и вырожденных частиц, что приводит к высоким значениям тока утечки [109].
Малые (1.8–4 нм) слаболегированные фосфором нч-Si, включенные в слои оксинитрида слоистой структуры оксинитрид/оксид кремния, не обнаруживают свободных носителей заряда, однако приложение сильного электрического поля высвобождает электроны и способствует их переносу в структуре, что выражается во вре́менном макроскопическом токе. Из средней длины пробега можно вычислить суммарный перенесенный заряд и отнести его к общему количеству частиц с тем, чтобы получить долю электрически активной примеси. Доля активной примеси растет с уменьшением размера частиц и достигает 7% для нч-Si диаметром 2.4 нм с СП 0.48 ат. % [66, 67]. В случае легированных бором нч-Si в матрице оксида перенесенный заряд в аналогичных условиях оказывается меньше, чем для собственных частиц. Диапазон исследованных размеров составил 2–5 нм, диапазон СП – 0.13–1.3 ат. % [63]. Следует отметить, что снижение значения тока во времени могло происходить и вследствие развития кулоновской блокады, из-за чего полученные величины электрической активности, возможно, были недооценены.
Рис. 6. Пороговое напряжение полевого транзистора с токопроводящим каналом из нч-Si разного размера в зависимости от номинального уровня легирования для примеси фосфора (красные символы) и бора (синие символы), а также из нелегированных частиц (черные символы). Линии соответствуют разным уровням электрической активности примеси η. Адаптировано с разрешения правообладателя [109]. Copyright 2014 American Chemical Society.
Состояние поверхности/интерфейса наночастиц оказывает влияние на проводимость. Спектроскопия электрически детектируемого ЭПР в случае легированных фосфором нч-Si показывает участие в транспорте Pb-центров и изолированных донорных атомов фосфора. Применение того же метода при освещении указывает на возможность рекомбинации фотогенерированных носителей заряда на дефектах оборванных связей [19]. Таким образом, внедрение фосфора может влиять на проводимость косвенно, за счет пассивации дефектов. Расчеты методом функций Грина для кремниевых наностержней предсказывают полную компенсацию оборванной связи атомом фосфора и восстановление баллистического режима транспорта [110].
Также косвенно на проводимость образцов наночастиц влияет изменение восстановительных свойств при легировании. Видимо, именно с образованием более толстого (0.3–0.5 нм) слоя естественного оксида и связано наблюдение пониженной проводимости легированных фосфором частиц [10]. В случае гидрогенизированных или слабоокисленных нч-Si легирование как фосфором, так и бором существенно улучшает проводимость [10, 19, 104].
Карбид кремния является более узкозонным изолятором по сравнению с оксидом, поэтому его применение в качестве диэлектрической матрицы улучшает электропроводность. Проводимость композита легированных бором нч-Si/SiC описана как флуктуационно-индуцированное туннелирование через диэлектрик между металлическими островками вблизи порога перколяции. Температурная зависимость проводимости в этой модели следующая [111]:
(6)
где σ0 – высокотемпературная проводимость, T0 и T1 – характеристические температуры, Т – температура.
Под действием высокого напряжения в композите из легированных нч-Si и матрицы SiC может установиться режим ограничения тока пространственным зарядом. Вольтамперная характеристика в этом случае определяется следующей зависимостью:
(7)
где I – ток, V – напряжение, a, b, m – подгоночные параметры. Температурная зависимость проводимости носит простой активационный характер [49, 104].
Пленки из нч-Si, совместно легированных бором и фосфором, нанесенные по технологии спин-коутинга из метанола, обладают проводимостью на уровне 10–6–10–7 См см–1, что сравнимо с проводимостью нелегированных частиц. Пленки обладают сенсорными свойствами по отношению к водяному пару, проводимость при давлении пара в 0.03 атм возрастает на восемь порядков по сравнению с проводимостью в сухой атмосфере [112].
Электрический транспорт в пленках нч-Si и композитах нч-Si/диэлектрик определяется в основном переносом носителей заряда между частицами, о чем говорит подвижность носителей заряда в композите, на 6 порядков уступающая таковой внутри частиц. Первоочередную роль для проводимости играет контакт между частицами и, как следствие, объемная доля полупроводникового материала.
4. ЗАКЛЮЧЕНИЕ
Внедрение примесей в нч-Si приводит к существенным изменениям их функциональных свойств. Изменение оптических свойств при легировании однозначно подтверждает электрическую активность примесей бора и фосфора в нч-Si диаметром более 4.5 нм. Легирование водородоподобной примесью одного сорта тушит ФЛ, однако в компенсированных частицах можно добиться эффективного испускания с максимумом от 0.85 эВ. При высоком УЛ фосфором или бором нч-Si обладают локализованным плазмонным резонансом в ближней ИК-области.
Транспортные измерения также подтверждают донорную (акцепторную) природу примеси фосфора (бора) в нч-Si. Легирование водородоподобной примесью существенно улучшает проводимость получаемых из частиц пленок и композитов.
Высокая проводимость необходима для использования наночастиц кремния в составе материала анода в литий-ионных батареях, сочетание ее с контролем типа проводимости позволяет применять легированные нч-Si в верхних поглощающих слоях фотоэлектрических элементов вместо аморфного кремния [24]. Легированные наночастицы кремния могут обладать сенсорными свойствами, и даже выступать в качестве катализатора дегидрирования алканов [22].
Все эти интригующие свойства нч-Si и области потенциального применения этого материала обуславливают интерес к детальному исследованию зависимости его свойств от количества и распределения примесей, состояния поверхности или интерфейса. Особого упоминания в этой связи заслуживает метод АЗТ, впервые примененный для нч-Si в прошлом десятилетии.
Результаты проведенных исследований противоречат первоначальным представлениям о самоочищении нч-Si от примесей: даже при легировании “термодинамическими” методами содержание примеси фосфора может достигать 12 ат. %, синтез методом ХОГФ позволяет получать и бо́льшие содержания. Растворимость бора в наночастицах оказалась невысокой, “сверхлегирование” можно осуществлять только плазменным пиролизным методом. Доля электрически активной водородоподобной примеси в любом случае оказывается невысока (менее 40%, типично – около 1–5%) и понижается с ростом СП. Примечательно, что достигнутые УЛ фосфором и бором для нч-Si существенно не превышают растворимости этих примесей в крупнокристаллическом кремнии. Избыточная в этом смысле примесь по всей видимости подвержена сегрегации на поверхности частиц или кластеризации в их объеме.
Применение легированных наночастиц кремния пока еще только начинается, тем не менее уже имеется ряд связанных с ним публикаций. Например, в работе [113] добавление 0.2% PH3 в SiH4 при изготовлении многослойной структуры нч-Si/SiO2 привело к росту оптического усиления лазерной среды на основе такой структуры в 1.6 раза. В то же время при увеличении концентрации фосфина до 1% на стадии изготовления структуры итоговое усиление было ниже, чем в отсутствие легирования. Авторы связывают это с пассивацией поверхностных дефектов нч-Si фосфором и увеличением потерь на Оже-эффект при дальнейшем увеличении его содержания. В работе [114] многослойную p-i-n-структуру нч-Si/SiO2 исследовали в качестве солнечного элемента. Структура состояла из 25 пар слоев, легированных бором, 10 нелегированных пар и 35 пар, легированных фосфором. Структура имела диодную вольт-амперную характеристику, электродвижущая сила такой структуры на свету составила 373 мВ, из-за большого числа диэлектрических слоев получаемый при этом ток весьма мал. При переходе к структуре нч-Si/SiC удается достичь приемлемую для практического использования плотность тока 19 мА см–2 при стандартном солнечном освещении [49]. В этой работе исследована структура из примерно 19 пар легированных бором слоев нч-Si/SiC на монокристаллической подложке из кремния n-типа. ЭДС такой структуры на свету достигала 463 мВ при эффективности преобразования 4.66%. Еще большая эффективность (13.4%) достигнута на структуре из 5 пар слоев нч-Si/SiO2, легированных бором, на подложке n-Si [115]. Интересно применение легированных фосфором нч-Si в качестве активного носителя наночастиц серебра для усиления комбинационного рассеяния (SERS, surface enhanced Raman spectroscopy), что позволило достичь предела обнаружения ДНК 1.5 мкг л–1[116].
Разработка новых и развитие существующих методик синтеза перспективны с точки зрения повышения электрической активности водородоподобных примесей, исследования экзотических для кремния допантов, получения совместно легированных бором и фосфором нч-Si в высокоэнергетических конфигурациях с еще более длинноволновой фотолюминесценцией.
СОБЛЮДЕНИЕ ЭТИЧЕСКИХ СТАНДАРТОВ
В данной работе исследования на человеке или животных не проводились.
КОНФЛИКТ ИНТЕРЕСОВ
Авторы данной работы заявляют об отсутствии конфликта интересов.
About the authors
S. S. Bubenov
Lomonosov Moscow State University
Author for correspondence.
Email: s.bubenov@gmail.com
Department of Chemistry
Russian Federation, 119991 MoscowS. G. Dorofeev
Lomonosov Moscow State University
Email: s.bubenov@gmail.com
Department of Chemistry
Russian Federation, 119991 MoscowReferences
- Duan H., Wang J., Liu L., Huang Q., Li. J. // Prog. Photovolt: Res. Appl. 2016. V. 24. P. 83–93. https://doi.org/10.1002/pip.2654
- Tarascon J.-M. // Nature Chem. 2010. V. 2. P. 510–510. https://doi.org/10.1038/nchem.680
- Canham L.T. // Appl. Phys. Lett. 1990. V. 57. № 10. P. 1046–1048. https://doi .org/10.1063/1.103561
- Narducci D., Giulio F. // Materials. 2022. V. 15. 1214. https://doi.org/10.3390/ma15031214
- Tang F., Tan Y., Jiang T., Zhou Y. // J. Mater. Sci. 2022. V. 57. P. 2803–2812. https://doi .org/10.1007/s10853-021-06679-3
- Long B., Zou Y., Li Z., Ma Z., Jiang W., Zou H., Chen H. // ACS Appl. Energy Mater. 2020. V. 3. № 6. P. 5572–5580. https://doi .org/10.1021/acsaem.0c00534
- Rowe D.J., Jeong J.S., Mkhoyan K.A., Kortshagen U.R. // Nano Lett. 2013. V. 13. P. 1317–1322. https://doi .org/10.1021/nl4001184
- Limpens R., Pach G.F., Neale N.R. // Chem. Mater. 2019. V. 31. P. 4426–4435. https://doi .org/10.1021/acs.chemmater.9b00810
- Zhou S., Pi X., Ni Z., Ding Y., Jiang Y., Jin C., Delerue C., Yang D., Nozaki T. // ACS Nano. 2015. V. 9. № 1. P. 378–386. https://doi .org/10.1021/nn505416r
- Scriba M.R., Britton D.T., Härting M. // Thin Solid Films. 2011. V. 519. P. 4491–4494. https://doi .org/10.1016/j.tsf.2011.01.330
- Knipping J., Wiggers H., Rellinghaus B., Roth P., Konjhodzic D., Meier C. // J. Nanosci. Nanotechnol. 2004. V. 4. P. 1039–1044. https://doi .org/10.1166/jnn.2004.149
- Ledoux G., Guillois O., Porterat D., Reynaud C., Huisken F., Kohn B., Paillard V. // Phys. Rev. B. 2000. V. 62. № 23. P. 15942–15951. https://doi .org/10.1103/PhysRevB.62.15942
- Rohani P., Banerjee S., Sharifi-Asl S., Malekzadeh M., Shahbazian-Yassar R., Billinge S.J.L., Swihart M.T. // Adv. Funct. Mater. 2019. V. 29. 1807788. https://doi .org/10.1002/adfm.201807788
- Lechner R., Stegner A.R., Pereira R.N., Dietmueller R., Brandt M.S., Ebbers A., Trocha M., Wiggers H., Stutzmann M. // J. Appl. Phys. 2008. V. 104. 053701. https://doi.org/10.1063/1.2973399
- Pi X.D., Gresback R., Liptak R.W., Campbell S.A., Kortshagen U. // Appl. Phys. Lett. 2008. V. 92. 123102. https://doi.org/10.1063/1.2897291
- Kortshagen U.R., Sankaran R.M., Pereira R.N., Girshick S.L., Wu J.J., Aydil E.S. // Chem. Rev. 2016. V. 116. P. 11061–11127. https://doi .org/10.1021/acs.chemrev.6b00039
- Zhou S., Ni Z., Ding Y., Sugaya M., Pi X., Nozaki T. // ACS Photonics. 2016. V. 3. № 3. P. 415–422. https://doi .org/10.1021/acsphotonics.5b00568
- Zhou S., Pi X., Ni Z., Luan Q., Jiang Y., Jin C., Nozaki T., Yang D. // Part. Part. Syst. Charact. 2015. V. 32. P. 213–221. https://doi .org/10.1002/ppsc.201400103
- Stegner A.R., Pereira R.N., Klein K., Lechner R., Dietmueller R., Brandt M.S., Stutzmann M., Wiggers H. // Phys. Rev. Lett. 2008. V. 100. 026803. https://doi.org/10.1103/PhysRevLett.100.026803
- Диаграммы состояния двойных металлических систем: Справочник. Т. 3. кн. 1. Лякишев Н.П. (ред.). М.: Машиностроение, 2001. 872 с.
- Zhou S., Ding Y., Pi X., Nozaki T. // Appl. Phys. Lett. 2014. V. 105. 183110. https://doi .org/10.1063/1.4901278
- Chen J., Rohani P., Karakalos S.G., Lance M.J., Toops T.J., Swihart M.T., Kyriakidou E.A. // Chem. Commun. 2020. V. 56. P. 9882–9885. https://doi .org/10.1039/D0CC02822C
- Ni Z., Pi X., Zhou S., Nozaki T., Grandidier B., Yang D. // Adv. Opt. Mater. 2016. V. 4. P. 700–707. https://doi.org/10.1002/adom.201500706
- Antognini L., Paratte V., Haschke J., Cattin J., Dréon J., Lehmann M., Senaud L.-L., Jeangros Q., Ballif C., Boccard M. // IEEE J. Photovolt. 2021. V. 11. № 4. P. 944–956. https://doi .org/10.1109/JPHOTOV.2021.3074072
- Delerue C. // Phys. Rev. B. 2018. V. 98. 045434. https://doi .org/10.1103/PhysRevB.98.045434
- Wang K., He Q., Yang D., Pi X. // Adv. Opt. Mater. 2022. V. 10. № 24. 2201831. https://doi .org/10.1002/adom.202201831
- Sugimoto H., Fujii M., Imakita K. // Nanoscale. 2014. V. 6. P. 12354–12359. https://doi .org/10.1039/c4nr03857f
- Milliken S., Cui K., Klein B.A., Cheong IT., Yu H., Michaelis V.K., Veinot J.G.C. // Nanoscale. 2021. V. 13. P. 18281–18292. https://doi .org/10.1039/d1nr05255a
- Trad F., Giba A.E., Devaux X., Stoffel M., Zhigunov D., Bouché A., Geiskopf S., Demoulin R., Pareige P., Talbot E., Vergnat M., Rinnert H. // Nanoscale. 2021. V. 13. P. 19617–19625. https://doi .org/ 10.1039/d1nr04765e
- Valdenaire A., Giba A.E., Stoffel M., Devaux X., Foussat L., Poumirol J.-M., Bonafos C., Guehairia S., Demoulin R., Talbot E., Vergnat M., Rinnert H. // ACS Appl. Nano Mater. 2023. V. 6. P. 3312–3320. https://doi .org/10.1021/acsanm.2c05088
- Kanzawa Y., Fujii M., Hayashi S., Yamamoto K. // Solid State Commun. 1996. V. 100. № 4. P. 227–230. https://doi.org/10.1016/0038-1098(96)00408-5
- Nomoto K., Sugimoto H., Breen A., Ceguerra A.V., Kanno T., Ringer S.P., Perez-Wurfl I., Conibeer G., Fujii M. // J. Phys. Chem. C. 2016. V. 120. P. 17845–17852. https://doi .org/10.1021/acs.jpcc.6b06197
- Sugimoto H., Fujii M., Fukuda M., Imakita K., Hayashi S. // J. Appl. Phys. 2011. V. 110. 063528. https://doi.org/10.1063/1.3642952
- Nomoto K., Cui X.-Y., Breen A., Ceguerra A.V., Perez-Wurfl I., Conibeer G., Ringer S.P. // Nanotechnology. 2022. V. 33. 075709. https://doi .org/10.1088/1361-6528/ac38e6
- Hao X.J., Cho E.-C., Flynn C., Shen Y.S., Conibeer G., Green M.A. // Nanotechnology. 2008. V. 19. 424019. https://doi .org/10.1088/0957-4484/19/42/424019
- Mimura A., Fujii M., Hayashi S., Kovalev D., Koch F. // Phys. Rev. B. 2000. V. 62. № 19. P. 12625–12627. https://doi.org/10.1103/PhysRevB.62.12625
- Sumida K., Ninomiya K., Fujii M., Fujio K., Hayashi S., Kodama M., Ohta H. // J. Appl. Phys. 2007. V. 101. 033504. https://doi .org/10.1063/1.2432377
- Fujii M., Mimura A., Hayashi S., Yamamoto K. // J. Appl. Phys. 2000. V. 87. № 4. P. 1855–1857. https://doi .org/10.1063/1.372103
- Almeida A.J., Sugimoto H., Fujii M., Brandt M.S., Stutzmann M., Pereira R.N. // Phys. Rev. B. 2016. V. 93. 115425. https://doi .org/10.1103/PhysRevB.93.115425
- Fujii M., Yamaguchi Y., Takase Y., Ninomiya K., Hayashi S. // Appl. Phys. Lett. 2004. V. 85. № 7. P. 1158–1160. https://doi .org/10.1063/1.1779955
- Fukuda M., Fujii M., Hayashi S. // J. Lumin. 2011. V. 131. P. 1066–1069. https://doi .org/10.1016/j.jlumin.2011.01.023
- Sugimoto H., Fujii M., Imakita K., Hayashi S., Akamatsu K. // J. Phys. Chem. C. 2013. V. 117. P. 11850–11857. https://doi .org/10.1021/jp4027767
- Sugimoto H., Fujii M., Imakita K., Hayashi S., Akamatsu K. // J. Phys. Chem. C. 2012. V. 116. P. 17969–17974. https://doi .org/10.1021/jp305832x
- Sugimoto H., Fujii M., Imakita K., Hayashi S., Akamatsu K. // J. Phys. Chem. C. 2013. V. 117. P. 6807–6813. https://doi .org/10.1021/jp312788k
- Kanno T., Sugimoto H., Fucikova A., Valenta J., Fujii M. // J. Appl. Phys. 2016. V. 120. 164307. https://doi .org/10.1063/1.4965986
- Hori Y., Kano S., Sugimoto H., Imakita K., Fujii M. // Nano Lett. 2016. V. 16. № 4. P. 2615–2620. https://doi .org/10.1021/acs.nanolett.6b00225
- Fujio K., Fujii M., Sumida K., Hayashi S., Fujisawa M., Ohta H. // Appl. Phys. Lett. 2008. V. 93. 021920. https://doi.org/10.1063/1.2957975
- Zeng Y., Dai N., Cheng Q., Huang J., Liang X., Song W. // Mater. Sci. Semicond. Process. 2013. V. 16. P. 598–604. https://doi .org/10.1016/j.mssp.2012.10.010
- Song D., Cho E.-C., Conibeer G., Flynn C., Huang Y., Green M.A. // Sol. Energy Mater. Sol. Cells. 2008. V. 92. P. 474–481. https://doi .org/10.1016/j.solmat.2007.11.002
- So Y.-H., Huang S., Conibeer G., Green M.A. // EPL. 2011. V. 96. 17011. https://doi .org/10.1209/0295-5075/96/17011
- Mathiot D., Khelifi R., Muller D., Duguay S. // Mater. Res. Soc. symp. proc. 2012. 1455. mrss12-1455-ii08-21. https://doi .org/10.1557/opl.2012.1238.
- Demoulin R., Muller D., Mathiot D., Pareige P., Talbot E. // Phys. Status Solidi RRL. 2020. V. 14. 2000107. https://doi.org/10.1002/pssr.202000107
- Demoulin R., Roussel M., Duguay S., Muller D., Mathiot D., Pareige P., Talbot E. // J. Phys. Chem. C. 2019. V. 123. P. 7381–7389. https://doi .org/10.1021/acs.jpcc.8b08620
- Khelifi R., Mathiot D., Gupta R., Muller D., Roussel M., Duguay S. // Appl. Phys. Lett. 2013. V. 102. 013116. https://doi.org/10.1063/1.4774266
- Yang P., Gwillaim R.M., Crowe I.F., Papachristodoulou N., Halsall M.P., Hylton N.P., Hulko O., Knights A.P., Shah M., Kenyon A.P. // Nucl. Instrum. Methods Phys. Res. B. 2013. V. 307. P. 456–458. https://doi .org/10.1016/j.nimb.2012.12.077
- Качурин Г.А., Черкова С.Г., Володин В.А., Марин Д.М., Тетельбаум Д.И., Becker H. // ФТП. 2006. Т. 40. № 1. С. 75–81.
- Murakami K., Shirakawa R., Tsujimura M., Uchida N., Fukata N., Hishita S.-I. // J. Appl. Phys. 2009. V. 105. 054307. https://doi .org/10.1063/1.3088871
- Zhang M., Poumirol J.-M., Chery N., Majorel C., Demoulin R., Talbot E., Rinnert H., Girard C., Cristiano F., Wiecha P.R., Hungria T., Paillard V., Arbouet A., Pécassou B., Gourbilleau F., Bonafos C. // Nanophotonics. 2022. V. 11. № 15. P. 3485–3493. https://doi.org/10.1515/nanoph-2022-0283
- Качурин Г.А., Яновская С.Г., Тетельбаум Д.И., Михайлов А.Н. // ФТП. 2003. Т. 37. № 6. С. 738–742.
- Zhang M., Poumirol J.-M., Chery N., Rinnert H., Giba A.E., Demoulin R., Talbot E., Cristiano F., Hungria T., Paillard V., Gourbilleau F., Bonafos C. // Nanoscale. 2023. V. 15. P. 7438–7449. https://doi .org/10.1039/D3NR00035D
- Ruffino F., Romano L., Carria E., Miritello M., Grimaldi M.G., Privitera V., Marabelli F. // J. Nanotechnol. 2012. V. 2012. 635705. https://doi .org/10.1155/2012/635705
- Makimura T., Yamamoto Y., Mitani S., Mizuta T., Li C.Q., Takeuchi D., Murakami K. // Appl. Surf. Sci. 2002. V. 197–198. P. 670–673. https://doi .org/10.1016/S0169-4332(02)00438-5
- Hiller D., López-Vidrier J., Gutsch S., Zacharias M., Wahl M., Bock W., Brodyanski A., Kopnarski M., Nomoto K., Valenta J., König D. // Sci. Rep. 2017. V. 7. 8337. https://doi .org/10.1038/s41598-017-08814-0
- Kobayashi H., Akaishi R., Kato S., Kurosawa M., Usami N., Kurokawa Y. // Jpn. J. Appl. Phys. 2020. V. 59. SGGF09. https://doi .org/10.7567/1347-4065/ab6346
- Gutsch S., Hartel A.M., Hiller D., Zakharov N., Werner P., Zacharias M. // Appl. Phys. Lett. 2012. V. 100. 233115. https://doi .org/10.1063/1.4727891
- Gutsch S., Laube J., Hiller D., Bock W., Wahl M., Kopnarski M., Gnaser H., Puthen-Veettil B., Zacharias M. // Appl. Phys. Lett. 2015. V. 106. 113103. https://doi .org/10.1063/1.4915307
- Hiller D., López-Vidrier J., Gutsch S., Zacharias M., Nomoto K., König D. // Sci. Rep. 2017. V. 7. 863. https://doi.org/10.1038/s41598-017-01001-1
- Nomoto K., Hiller D., Gutsch S., Ceguerra A.V., Breen A., Zacharias M., Conibeer G., Perez-Wurfl I., Ringer S.P. // Phys. Status Solidi RRL. 2017. V. 11. № 1. 1600376. https://doi .org/10.1002/pssr.201600376
- Gnaser H., Gutsch S., Wahl M., Schiller R., Kopnarski M., Hiller D., Zacharias M. // J. Appl. Phys. 2014. V. 115. 034304. https://doi .org/10.1063/1.4862174
- Shyam S., Das D. // J. Alloys Compd. 2021. V. 876. 160094. https://doi .org/10.1016/j.jallcom.2021.160094
- Pi X., Delerue C. // Phys. Rev. Lett. 2013. V. 111. 177402. https://doi .org/10.1103/PhysRevLett.111.177402
- Nomoto K., Sugimoto H., Cui X.-Y., Ceguerra A.V., Fujii M., Ringer S.P. // Acta Mater. 2019. V. 178. P. 186–193. https://doi .org/10.1016/j.actamat.2019.08.013
- Pi X., Chen X., Yang D. // J. Phys. Chem. C. 2011. V. 115. P. 9838–9843. https://doi .org/10.1021/jp111548b
- Chan T.-L., Tiago M.L., Kaxiras E., Chelikowsky J.R. // Nano Lett. 2008. V. 8. № 2. P. 596–600. https://doi .org/10.1021/nl072997a
- Bulyarskiy S.V., Svetukhin V.V. // Mater. Sci. Eng. B. 2021. V. 272. 115337. https://doi .org/10.1016/j.mseb.2021.115337
- Bulyarskiy S.V., Svetukhin V.V. // J. Nanopart. Res. 2020. V. 22. 361. https://doi .org/10.1007/s11051-020-05069-1
- Perego M., Bonafos C., Fanciulli M. // Nanotechnology. 2010. V. 21. 025602. https://doi .org/10.1088/0957-4484/21/2/025602
- Chen X., Yang P. // Int. J. Mod. Phys. B. 2017. V. 31. 1750110. https://doi .org/10.1142/S0217979217501107
- Perego M., Seguini G., Fanciulli M. // Surf. Interface Anal. 2013. V. 45. P. 386–389. https://doi .org/10.1002/sia.5001
- Perego M., Seguini G., Arduca E., Frascaroli J., De Salvador D., Mastromatteo M., Carnera A., Nicotra G., Scuderi M., Spinella C., Impellizzeri G., Lenardie C., Napolitani E. // Nanoscale. 2015. V. 7. P. 14469–14475. https://doi .org/10.1039/C5NR02584B
- Milliken S., Cheong IT., Cui K., Veinot J.G.C. // ACS Appl. Nano Mater. 2022. V. 5. P. 15785–15796. https://doi.org/10.1021/acsanm.2c03937
- Bubenov S.S., Dorofeev S.G., Eliseev A.A., Kononov N.N., Garshev A.V., Mordvinova N.E., Lebedev O.I. // RSC Adv. 2018. V. 8. P. 18896–18903. https://doi .org/10.1039/c8ra03260b
- Дорофеев С.Г., Кононов Н.Н., Бубенов С.С., Попеленский В.М., Винокуров А.А. // ФТП. 2022. Т. 56. № 2. С. 204–212. https://doi .org/10.21883/FTP.2022.02.51963.9727
- Popelensky V.M., Chernysheva G.S., Kononov N.N., Bubenov S.S., Vinokurov A.A., Dorofeev S.G. // Inorg. Chem. Commun. 2022. V. 141. 109602. https://doi .org/10.1016/j.inoche.2022.109602
- Vinokurov A., Popelensky V., Bubenov S., Kononov N., Cherednichenko K., Kuznetsova T., Dorofeev S. // Materials. 2022. V. 15. 8842. https://doi .org/10.3390/ma15248842
- Klimešová E., Kůsová K., Vacík J., Holý V., Pelant I. // J. Appl. Phys. 2012. V. 112. 064322. https://doi .org/10.1063/1.4754518
- Nastulyavichus A.A., Saraeva I.N., Rudenko A.A., Khmelnitskii R.A., Shakhmin A.L., Kirilenko D.A., Brunkov P.N., Melnik N.N., Smirnov N.A., Ionin A.A., Kudryashov S.I. // Part. Part. Syst. Charact. 2020. V. 37. 2000010. https://doi.org/10.1002/ppsc.202000010
- Baldwin R.K., Zou J., Pettigrew K.A., Yeagle G.J., Britt R.D., Kauzlarich S.M. // Chem. Commun. 2006. P. 658–660. https://doi.org/10.1039/B513330K
- Singh M.P., Atkins T.M., Muthuswamy E., Kamali S., Tu C., Louie A.Y., Kauzlarich S.M. // ACS Nano. 2012. V. 6. № 6. P. 5596–5604. https://doi .org/10.1021/nn301536n
- Zhang X., Brynda M., Britt R.D., Carroll E.C., Larsen D.S., Louie A.Y., Kauzlarich S.M. // J. Am. Chem. Soc. 2007. V. 129. P. 10668–10669. https://doi .org/10.1021/ja074144q
- McVey B.F.P., Butkus J., Halpert J.E., Hodgkiss J.M., Tilley R.D. // J. Phys. Chem. Lett. 2015. V. 6. № 9. P. 1573–1576. https://doi .org/10.1021/acs.jpclett.5b00589
- McVey B.F.P., König D., Cheng X., O’Mara P.B., Seal P., Tan X., Tahini H.A., Smith S.C., Gooding J.J., Tilley R.D. // Nanoscale. 2018. V. 10. № 33. P. 15600–15607. https://doi.org/10.1039/C8NR05071F
- Meier C., Gondorf A., Lüttjohann S., Lorke A. // J. Appl. Phys. 2007. V. 101. 103112. https://doi .org/10.1063/1.2720095
- Ramos L.E., Degoli E., Cantele G., Ossicini S., Ninno D., Furthmüller J., Bechstedt F. // Phys. Rev. B. 2008. V. 78. 235310. https://doi .org/10.1103/PhysRevB.78.235310
- Ni Z., Pi X., Yang D. // Phys. Rev. B. 2014. V. 89. 035312. https://doi.org/10.1103/PhysRevB.89.035312
- Pi X., Ni Z., Yang D., Delerue C. // J. Appl. Phys. 2014. V. 116. 194304. https://doi.org/10.1063/1.4901947
- Limpens R., Pach G.F., Mulder D.W., Neale N.R. // J. Phys. Chem. C. 2019. V. 123. P. 5782–5789. https://doi .org/10.1021/acs.jpcc.9b00223
- Kelly K.L., Coronado E., Zhao L.L., Schatz G.C. // J. Phys. Chem. B. 2003. V. 107. P. 668–677. https://doi .org/10.1021/jp026731y
- Faucheaux J.A., Stanton A.L.D., Jain P.K. // J. Phys. Chem. Lett. 2014. V. 5. P. 976–985. https://doi .org/10.1021/jz500037k
- Mendelsberg R.J., Garcia G., Li H., Manna L., Milliron D.J. // J. Phys. Chem. C. 2012. V. 116. P. 12226–12231. https://doi .org/10.1021/jp302732s
- Kriegel I., Rodríguez-Fernández J., Wisnet A., Zhang H., Waurisch C., Eychmüller A., Dubavik A., Govorov A.O., Feldmann J. // ACS Nano. 2013. V. 7. № 5. P. 4367–4377. https://doi .org/10.1021/nn400894d
- Kramer N.J., Schramke K.S., Kortshagen U.R. // Nano Lett. 2015. V. 15. P. 5597–5603. https://doi .org/10.1021/acs.nanolett.5b02287
- Somogyi B., Derian R., Štich I., Gali A. // J. Phys. Chem. C. 2017. V. 121. P. 27741–27750. https://doi .org/10.1021/acs.jpcc.7b09501
- Pereira R.N., Niesar S., You W.B., da Cunha A.F., Erhard N., Stegner A.R., Wiggers H., Willinger M.-G., Stutzmann M., Brandt M.S. // J. Phys. Chem. C. 2011. V. 115. P. 20120–20127. https://doi .org/10.1021/jp205984m
- Meseth M., Ziolkowski P., Schierning G., Theissmann R., Petermann N., Wiggers H., Benson N., Schmechel R. // Scr. Mater. 2012. V. 67. P. 265–268. https://doi .org/10.1016/j.scriptamat.2012.04.039
- Seino K., Bechstedt F., Kroll P. // Phys. Rev. B. 2012. V. 86. 075312. https://doi .org/10.1103/PhysRevB.86.075312
- Balberg I. // Physica E Low Dimens. Syst. Nanostruct. 2013. V. 51. P. 2–9. https://doi .org/10.1016/j.physe.2013.02.001
- Chen T., Reich K.V., Kramer N.J., Fu H., Kortshagen U.R., Shklovskii B.I. // Nat. Mater. 2016. V. 15. P. 299–303. https://doi .org/10.1038/nmat4486
- Gresback R., Kramer N.J., Ding Y., Chen T., Kortshagen U.R., Nozaki T. // ACS Nano. 2014. V. 8. № 6. P. 5650–5656. https://doi .org/10.1021/nn500182b
- Fernández-Serra M.-V., Adessi Ch., Blase X. // Nano Lett. 2006. V. 6. № 12. P. 2674–2678. https://doi .org/10.1021/nl0614258
- Huang J., Wang L., Sun H., Wang H., Gao M., Cheng W., Chen Z. // Mater. Sci. Semicond. Process. 2016. V. 47. P. 7–11. https://doi .org/10.1016/j.mssp.2016.01.005
- Sasaki M., Kano S., Sugimoto H., Imakita K., Fujii M. // J. Phys. Chem. C. 2016. V. 120. P. 195–200. https://doi .org/10.1021/acs.jpcc.5b05604
- Li D., Jiang Y., Liu J., Zhang P., Xu J., Li W., Chen K. // Nanotechnol. 2017. V. 28. 475704. https://doi .org/10.1088/1361-6528/aa852e
- Perez-Wurfl I., Hao X., Gentle A., Kim D.-H., Conibeer G., Green M.A. // Appl. Phys. Lett. 2009. V. 95. 153506. https://doi .org/10.1063/1.3240882
- Hong S.H., Kim Y.S., Lee W., Kim Y.H., Song J.Y., Jang J.S., Park J.H., Choi S.H., Kim K.J. // Nanotechnol. 2011. V. 22. № 42. 425203. https://doi .org/10.1088/0957-4484/22/42/425203
- Daoudi K., Columbus S., Falcão B.P., Pereira R.N., Peripolli S.B., Ramachandran K., Kacem H.H., Allagui A., Gaidi M. // Spectrochim. Acta A Mol.Biomol. Spectrosc. 2023. V. 290. 122262. https://doi .org/10.1016/j.saa.2022.122262
Supplementary files








