Термоиндуцированное превращение трет-бутилпероксиэтиловых эфиров карбоновых кислот
- Авторы: Алейникова Т.П.1, Ваниев М.А.1, Селезнев А.А.1, Навроцкий В.А.1, Новаков И.А.1
-
Учреждения:
- Волгоградский государственный технический университет
- Выпуск: Том 516, № 1 (2024)
- Страницы: 3-7
- Раздел: ХИМИЯ
- URL: https://journal-vniispk.ru/2686-9535/article/view/268402
- DOI: https://doi.org/10.31857/S2686953524030017
- EDN: https://elibrary.ru/ZJPGLC
- ID: 268402
Цитировать
Полный текст
Аннотация
Исследованы особенности термолиза трет-бутилпероксиэтиловых эфиров карбоновых кислот (CH₃)₃COOCH(CH₃)OC(O)R. На основании идентификации продуктов реакции и анализа кинетических параметров впервые доказан факт одновременного превращения четырех связей (O–O, C–O, C–C и C–H) в молекуле эфира с образованием двух молекул [RC(O)OH и CO] и двух свободных радикалов [(CH₃)₃CO• и •CH₃], которые в условиях эксперимента не вступают в реакцию перекрестного обрыва, а отрывают атом водорода от растворителя. Свидетельством согласованного (одновременного) превращения четырех связей являются низкие (по сравнению с энергией диссоциации связей) значения энергии активации и предэспоненциального множителя, а также отрицательные величины энтропии активации.
Полный текст
ВВЕДЕНИЕ
Эфиры α-оксиалкилпероксидов известны давно [1] и по-прежнему интересуют исследователей в качестве генераторов свободных радикалов, иницирующих вулканизацию насыщенных эластомеров, а эфиры метакриловой кислоты эффективны в качестве сомономеров и инициаторов радикальной полимеризации [2].
Особый интерес представляют реакции термолиза трет-бутилпероксиэтиловых эфиров карбоновых кислот (ТБПЭ) с фиксированным трет-бутилпероксиэтильным радикалом и изменяющимся ацильным фрагментом (CH₃)₃COOCH(CH₃)OC(O)R, где R = CH₃, (CH₂)₂CH₃, CH(CH₃)₂, C(CH₃)₃, (CH₂)₇CH₃, C₁₀H₁₅ (1-адамантил) и C₆H₅, которые обсуждались в работе [3]. В ряду упомянутых эфиров наблюдается изокинетическая компенсационная зависимость, свидетельствующая о неизменности механизма согласованного распада O–O- и C–O-связей, основанного на относительно низких величинах энергии активации, отрицательных значениях энтропии активации (за исключением R = C₆H₅) и независимости константы скорости распада от вязкости среды.
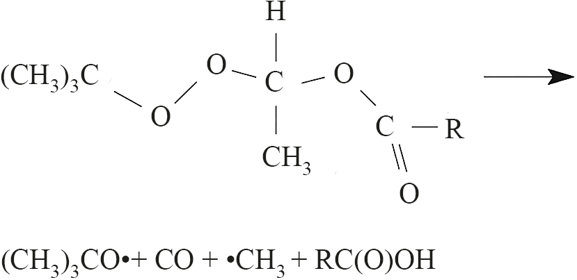
Механизм их термолиза, предложенный в работе [3], следует считать гипотетическим, потому что он не объясняет причину изменения валентности третичного атома углерода с образованием монооксида углерода, хотя этот оксид является одним из основных продуктов термолиза обсуждаемых молекул (схема 1).
Схема 1
На основании вышеизложенного возникла необходимость более детального анализа структуры ТБПЭ с дополнительным акцентом на незамеченный ранее в работе [3] реакционный центр, которым представляется третичный атом углерода и связанный с ним атом водорода. Можно предположить, что этот водород, “окруженный” четырьмя атомами кислорода, два из которых в пероксидной группе и два в сложноэфирной (один из них карбонильный), не остается безучастным к нековалентному взаимодействию. Предполагается, что он должен участвовать в организации нековалентной связи с кислородом (но с каким?), и это не может не проявиться при термолизе эфиров. В соответствии с вышеизложенным целью данного исследования является анализ структуры ТБПЭ и ее влияния на механизм термического превращения пероксидов.
ЭКСПЕРИМЕНТАЛЬНАЯ ЧАСТЬ
ТБПЭ (CH₃)₃COOCH(CH₃)OC(O)R, где R = CH₃ (1), (CH₂)₂CH₃ (2), CH(CH₃)₂ (3), C(CH₃)₃ (4), (CH₂)₇CH₃ (5), C₁₀H₁₅ (1-адамантил) (6) и C₆H₅ (7) получены по реакции α-хлорэтил-трет-бутилпероксида с триэтиламмониевыми комплексами карбоновых кислот в растворе хлороформа, описанной в работе [1]. Термический распад пероксидов проводили в гексадекане марки “ч. д. а.” с массовой долей основного вещества не менее 99%. Анализ продуктов термического разложения ТБПЭ осуществляли методами, описанными в работе [3].
Кинетику термического распада соединений 1–7 в растворе гексадекана (концентрация пероксида 0.05–0.20 моль л⁻¹) изучали в интервале температур 383–413 К. Кинетический контроль за ходом реакции осуществляли по двум параметрам: по расходу активного кислорода методом иодометрического титрования и по накоплению соответствующей кислоты потенциометрическим титрованием 0.01 н раствором КОН в этаноле. В результате установлено, что реакции термолиза ТБПЭ характеризуются кинетическим уравнением первого порядка, а температурная зависимость константы скорости термолиза, например, пероксида 1, принимает вид: k = 1.58∙108∙e–92000/RT – и практически не изменяется в интервале концентраций 0.05–0.20 моль л⁻¹. Это значит, что термолиз ТБПЭ не осложняется их индуцированным распадом под действием образующихся радикалов, а продукты реакции не оказывают влияния на ее скорость. Энтропию активации рассчитывали по формуле:
Квантовохимический расчет структур ТБПЭ 1–7, являющихся гомологами и отличающихся заместителями в ацильной части, проводили на примере пероксида 1 с полной оптимизацией геометрии молекулы в газовой фазе гибридным методом функционала плотности В3LYP c использованием базиса 6-311++G (df, P) (пакет прикладных программ Gaussian 16. Revision C. 01). Конформационный анализ молекулы пероксида 1 осуществлялся путем искусственного поворота торсионного угла C2–O5–O6–C7 (рис. 1) с шагом 1° с фиксацией значения данного угла и расчетом энергии молекулы.
ОБСУЖДЕНИЕ РЕЗУЛЬТАТОВ
Строение наиболее устойчивого конформера пероксида 1 с нумерацией атомов, принятой в данной работе, представлено на рис. 1. Минимальное значение полной энергии конформера соответствует торсионному углу C2–O5–O6–C7, равному 175.5° ± 0.2°. Относительная энергия следующего по стабильности конформера составляла 20.8 кДж моль⁻¹.
Квантово-химический анализ структур ТБПЭ показал, что их свободное вращение в области значений торсионного угла 90°–280° практически не затруднено, они имеют неплоскостное (объемное) строение. Ацильный фрагмент молекул как обычно располагается в одной плоскости, а остальная ее часть находится почти в ортогональном положении к этой плоскости (рис. 1), что подтверждается величиной валентного угла O6–C7–H22 (105.7° ± 0.5°). Величина диэдрального угла C2–O5–O6– C7, составляющая 175.5°, является следствием специфических нековалентных взаимодействий, так как в их отсутствии этот угол практически для всех пероксидов находится в интервале 110° ± 25° [4]. Именно эта особенность отражается на положении атома водорода H22 у третичного атома углерода C7, который оказался равноудаленным от кислорода пероксидной группы О6 на 2.05 ± 0.01 Å и эфирного О9 на 2.06 ± 0.001 Å, но не карбонильного О11 (2.38 ± 0.05 Å) (рис. 1).
Рис. 1. Геометрическое строение оптимизированной структуры молекулы пероксида 1.
Для проверки гипотезы механизма термолиза проводилось сканирование поверхности потенциальной энергии 1 в направлении уменьшения расстояния между Н22 и эфирным атомом кислорода O9 с шагом 0.05 Å, с фиксацией расстояния между этими атомами и расчетом энергии молекулы.
На рис. 2 представлена конфигурация молекулы 1 с энергией относительно конформера (рис. 1) ΔЕ = 4.2 кДж моль⁻¹, у которой валентный угол O6–C7–H22 равен 91.5°, а расстояние между атомами Н22 и эфирным О9, который участвует в образовании карбоновой кислоты, составляет 0.99 Å.
Рис. 2. Структура одного из возможных конформеров молекулы пероксида 1.
Повышение температуры, судя по продуктам термораспада, например, пероксидов 1 и 7 (табл. 1), заставляет этот водород приближаться к эфирному кислороду, как показано на рис. 2, с одновременным ограничением амплитуды деформационных колебаний вплоть до выделения термодинамически стабильной молекулы карбоновой кислоты (уксусной для 1 или бензойной для 7). То есть наблюдается внутримолекулярная трансформация связей C7–H22 и C7–O9 у третичного углерода, в результате которой водород входит в молекулу кислоты в виде протона без образования свободных ионов. В результате электроны связи C7–H22 остаются на внешнем электронном слое третичного углерода, понижая его валентность с четырех до двух, а связь между водородом и кислородом в кислоте осуществляется за счет электронов связи C7–O9. Эти превращения подтверждаются продуктами термолиза обсуждаемых пероксидов в гексадекане (табл. 1).
Как видно из табл. 1, количества трет-бутанола, ацетона, оксида углерода и соответствующей ацильной части кислоты, например, для соединений 1 и 7, балансируются с исходной молекулой.
Таблица 1. Продукты термолиза в гексадекане при 403 К (моль/моль ТБПЭ)
ТБПЭ | Продукты термолиза | |||||
Трет-бутанол | Ацетон | Уксусная кислота | Бензойная кислота | Метан | Оксид углерода | |
1 | 0.98 | – | 1.00 | – | 1.02 | 0.98 |
7 | 0.99 | 0.02 | – | 1.00 | 1.09 | 0.99 |
Следует обратить внимание на соотношение объемов молекулы в исходном и переходном состояниях, о котором можно судить по величине энтропии активации [5]. Если активированный комплекс объемнее исходной молекулы, то энтропия активации переходного состояния составляет обычно 40–80 Дж моль⁻¹K⁻¹, если же этот комплекс компактнее исходной молекулы, то изменение энтропии активации принимает околонулевые или отрицательные значения [5, 6].
Термолиз эфиров с образованием двух свободных радикалов [(CH₃)₃CO• и •CH₃] и двух молекул [RC(O)OH и СО] кроме гомолиза O– O-связи сопровождается превращением трех связей (C7–H22, C7–C8 и С7–O8) у третичного углерода, который представляется главным реакционным центром, определяющим механизм термоиндуцированного превращения. При этом следует учитывать, что гомолитический разрыв связей O5–O6 и C7–C8 проходит в молекулах ТБПЭ с увеличением амплитуды валентных колебаний и это должно приводить к увеличению объема переходного состояния. Молекулы кислоты и оксида углерода образуются одновременно с внутримолекулярной трансформацией связей C7–H22 и C7–O9 только за счет ограничения амплитуды деформационных колебаний, а значит, с уменьшением объема активированного комплекса.
Изменение энтропийного фактора в ряду обсуждаемых эфиров, согласно данным табл. 2, характеризуется отрицательными величинами, за исключением 7, хотя и эта величина близка к нулевой. То есть ограничение амплитуды деформационных колебаний оказалось более значимым, по сравнению с увеличением амплитуды валентных колебаний, и это не противоречит представлению о неплоскостной структуре исходной молекулы.
Таблица 2. Энтропия активации ΔS# термолиза ТБПЭ в гексадекане
ТБПЭ | 1 | 2 | 3 | 4 | 5 | 6 | 7 |
ΔS#, Дж моль⁻¹K⁻¹ | –98.9 | –83.4 | –110.2 | –10.6 | –31.7 | –18.3 | 14.3 |
Необходимо также отметить, что в продуктах реакции нет метил-трет-бутилового эфира, а значит, одновременно образующиеся радикалы (CH₃)₃CO • и •CH₃ бесполезно не погибают в результате рекомбинации. Эти свободные радикалы в момент образования разделены в пространстве молекулой CO. Поэтому их взаимодействие оказывается не обязательным. Подобное явление наблюдается, когда осуществляется индуцированный распад пероксидов с участием растворителя [7]. При термолизе ТБПЭ образующиеся радикалы (CH₃)₃CO• и •CH₃, отрывая водород от субстрата или присоединяясь по двойной связи [1, 2], выполняют полезную работу. Величины кинетических и активационных параметров (табл. 3) демонстрируют признаки согласованного превращения четырех связей в молекуле [5].
Таблица 3. Кинетические и активационные параметры согласованного превращения молекулы пероксида 1 в гексадекане
Т, К | k × 104, c⁻¹ | А, c⁻¹ | Е#, кДж моль⁻¹ | Едисс. [4] | ||
по Оакт | по кислоте | связь | кДж моль⁻¹ | |||
383 | 0.95 ± 0.02 | 0.93 ± 0.03 | 1.58 × 108 | 92 | О–О | 200а |
393 | 1.88 ± 0.03 | 1.86 ± 0.04 | С–С | 330 | ||
403 | 3.76 ± 0.05 | 3.73 ± 0.03 | С–Н | 410 | ||
413 | 7.72 ± 0.06 | 7.22 ± 0.05 | С–О | 310 | ||
а Расчитанная Едисс. согласно [4], Едисс.(О–О) = 160–200 кДж моль⁻¹.
Кинетические параметры термолиза ТБПЭ, как это видно из табл. 3, убедительно подтверждают факт одновременного разрыва нескольких связей. В частности, константы скорости термолиза k пероксида 1, определенные в интервале 383–413 К по расходу активного кислорода и по накоплению кислоты, практически совпадают. Энергия активации в 2–4 раза меньше энергии диссоциации разрывающихся связей [4], а величина предэкспоненты на 7–8 порядков меньше, чем при термическом распаде одной связи. Наконец, отрицательные величины ΔS# (–98.9 Дж моль⁻¹K⁻¹ для 1) убедительно подтверждают согласованное (одновременное) превращение четырех связей в молекулах ТБПЭ за счет термического воздействия. При этом понижение энергии активации объясняется ее компенсацией за счет образования термодинамически устойчивых молекул оксида углерода и соответствующей карбоновой кислоты.
Необходимо отметить, что явление одновременного распада нескольких связей характерно не только для пероксидов. Так, например, одновременный распад двух связей C–N в 2,2´-азоизобутиронитриле можно считать общеизвестным фактом [4]. Недавно также установлено, что при термическом воздействии проходит одновременный гомолитический распад C–S и S–Cl связей в сульфохлоридных группах [6, 8].
ВЫВОДЫ
Впервые анализ совокупности полученных экспериментальных результатов позволяет утверждать, что термолиз ТБПЭ проходит по двум реакционным центрам с участием связей O5–O6, C7–O9, C7–C8 и C7–H22, образуя оксид углерода и соответствующую карбоновую кислоту, а также два свободных радикала (CH₃)₃CO• и •CH₃, не вступающих в рекомбинацию, которые могут быть полезными в процессах структурирования полимеров и инициирования радикальной полимеризации.
БЛАГОДАРНОСТЬ
Авторы благодарят доцента кафедры “Технология синтетического каучука” Казанского национального исследовательского технологического университета Самуилова Александра Яковлевича за помощь в проведении квантово-химических расчетов.
КОНФЛИКТ ИНТЕРЕСОВ
Авторы заявляют об отсутствии конфликта интересов.
СОБЛЮДЕНИЕ ЭТИЧЕСКИХ НОРМ
Настоящая статья не содержит описания выполненных авторами исследований с использованием людей или животных в качестве объектов.
Об авторах
Т. П. Алейникова
Волгоградский государственный технический университет
Автор, ответственный за переписку.
Email: aleynikova_tp@vstu.ru
Россия, 400005 Волгоград
М. А. Ваниев
Волгоградский государственный технический университет
Email: aleynikova_tp@vstu.ru
Россия, 400005 Волгоград
А. А. Селезнев
Волгоградский государственный технический университет
Email: aleynikova_tp@vstu.ru
Россия, 400005 Волгоград
В. А. Навроцкий
Волгоградский государственный технический университет
Email: aleynikova_tp@vstu.ru
Россия, 400005 Волгоград
И. А. Новаков
Волгоградский государственный технический университет
Email: aleynikova_tp@vstu.ru
академик РАН
Россия, 400005 ВолгоградСписок литературы
- Алейникова Т.П., Навроцкий В.А. // ЖПХ. 2014. Т. 87. № 12. С. 1816–1827. https://doi org/10.1134/S1070427214120167
- Иванчев С.С. Радикальная полимеризация. Л.: Химия, 1985. с. 280.
- Кущ О.В., Опейда И.А., Туровский Н.А., Навроцкий В.А. // ЖФХ. 2005. Т. 79. № 8. С. 1406–1410.
- Антоновский В.Л., Хурсан С.Л. Физическая химия органических пероксидов. М.: ИКЦ Академкнига, 2003. 391 с.
- Денисов Е.Т. Кинетика гомогенных химических реакций. М.: Высшая школа, 1988. с. 391.
- Селезнев А.А., Навроцкий А.В., Сафронов С.А., Навроцкий В.А. // ЖПХ. 2023. Т. 96. № 5. С. 459–467. https://doi.org/10.31857/S004446182305002X
- Sandhiya L., Jangra H., Zipse H. // Angew. Chem., Int. Ed. 2020. V. 59. № 16. 6318. https://doi.org/10.1002/anie.201912382
- Навроцкий А.В., Степанов Г.В., Сафронов С.А., Гайдадин А.Н., Селезнев А.А., Навроцкий В.А., Новаков И.А. // ДАН. 2018. Т. 480. № 3. С. 297–299. https://doi.org/10.7868/S0869565218150082






