MATHEMATICAL MODEL OF PLASMA TRANSFER IN A HELICAL MAGNETIC FIELD
- Authors: Lazareva G.G.1, Oksogoeva I.P.1, Sudnikov A.V.2
-
Affiliations:
- Рeoples Friendship University of Russia (RUDN University)
- Budker Institute of Nuclear Physics of Siberian Branch Russian Academy of Sciences (BINP SB RAS)
- Issue: Vol 514, No 1 (2023)
- Pages: 129-134
- Section: COMPUTER SCIENCE
- URL: https://journal-vniispk.ru/2686-9543/article/view/247109
- DOI: https://doi.org/10.31857/S2686954323600945
- EDN: https://elibrary.ru/ZDEUXI
- ID: 247109
Cite item
Full Text
Abstract
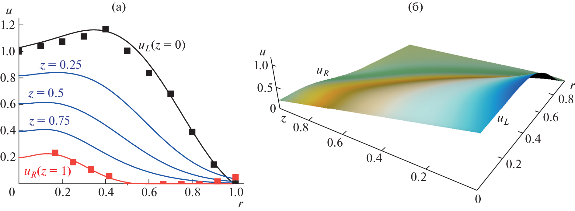
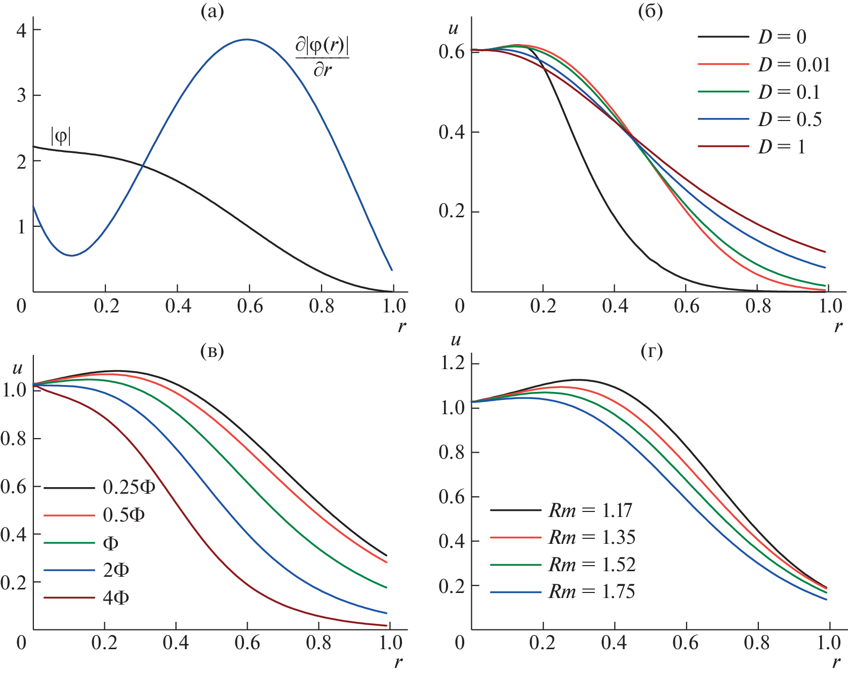
The paper presents the results of mathematical modeling of plasma transfer in a spiral magnetic field using new experimental data obtained at the SMOLA trap created at the Budker Institute of Nuclear Physics SB RAS. Plasma confinement in the trap is carried out by transmitting a pulse from a magnetic field with helical symmetry to a rotating plasma. New mathematical model is based on a stationary plasma transfer equation in an axially symmetric formulation. The distribution of the concentration of the substance obtained by numerical simulation confirmed the confinement effect obtained in the experiment. The dependences of the integral characteristics of the substance on the depth of corrugation of the magnetic field, diffusion and plasma potential are obtained.
About the authors
G. G. Lazareva
Рeoples Friendship University of Russia (RUDN University)
Author for correspondence.
Email: lazareva-gg@rudn.ru
Russian Federation, Moscow
I. P. Oksogoeva
Рeoples Friendship University of Russia (RUDN University)
Author for correspondence.
Email: oksogi@mail.ru
Russian Federation, Moscow
A. V. Sudnikov
Budker Institute of Nuclear Physics of Siberian Branch Russian Academy of Sciences (BINP SB RAS)
Author for correspondence.
Email: a.v.sudnikov@inp.nsk.su
Russian Federation, Novosibirsk
References
- Самарский А.А. Численные методы решения многомерных задач механики и физики // Ж. вычисл. матем. и матем. физ. 1980. Т. 20. № 6. С. 1416–1464.
- Брушлинский К.В., Савельев В.В. Магнитные ловушки для удержания плазмы // Матем. Моделирование. 1999. Т. 11. № 5. С. 3–36.
- Днестровский Ю.Н., Костомаров Д.П. Математическое моделирование плазмы // Серия “Компьютеры в физике”. М.: Физматлит, 1993.
- Бэдсел Ч., Ленгдон А. Физика плазмы и численное моделирование. М.: Энергоатомиздат, 1989.
- Сигов Ю.С. Вычислительный эксперимент: мост между прошлым и будущим физики плазмы. Избранные труды. М.: Физматлит, 2001.
- Березин Ю.А., Дудникова Г.И. Численные модели плазмы и процессы пересоединения. М.: Наука, 1985.
- Брушлинский К.В., Кондратьев И.А. Математические модели равновесия плазмы в тороидальных и цилиндрических магнитных ловушках // Препринты ИПМ им. М.В. Келдыша. 2018. 020. 20.
- Cohen B., Barnes D., Dawson J., Hammett G., Lee W., Kerbel G., Leboeuf J., Liewer P., Tajima T., Waltz R. The numerical tokamak project: simulation of turbulent transport // Comput. Phys. Commun. 1995. V. 87. I. 1–2. P. 1–15.
- Грубер Р., Дегтярев Л.М., Купер А., Мартынов А.А., Медведев С.Ю., Шафранов В.Д. Трехмерная модель равновесия плазмы с полоидальным представлением магнитного поля // Физика плазмы. 1996. Т. 22. № 3. С. 204.
- Бурдаков А.В., Поступаев В.В. Многопробочная ловушка: путь от пробкотрона Будкера к линейному термоядерному реактору // У.Ф.Н. 2018. Т. 188. № 6. С. 651–671.
- Bagryansky P.A., Beklemishev A.D., Postupaev V.V. Encouraging Results and New Ideas for Fusion in Linear Traps // J. Fusion Energy. 2019. V. 38. P. 162–181.
- Berendeev E.A., Dimov G.I., Dudnikova G.I., Ivanov A.V., Lazareva G.G., Vshivkov V.A. Mathematical and experimental simulation of a cylindrical plasma target trap with inverse magnetic mirrors // J. Plasma Phys. 2015. V. 81. I. 5.
- Перепёлкина А.Ю., Левченко В.Д., Горячев И.А. Трехмерный кинетический код CFHall для моделирования замагниченной плазмы // Матем. Моделирование. 2013. Т. 25. № 11. С. 98–110.
- Астерлин В.Т., Бурдаков А.В., Поступаев В.В. Моделирование динамики плотного излучающего плазменного сгустка для установки ГОЛ-3-II // Сиб. журн. индустр. матем. 1998. Т. 1. № 2. С. 45–50.
- Калиткин Н.Н., Костомаров Д.П. Математические модели физики плазмы (обзор) // Матем. моделирование. 2006. Т. 18. № 11. С. 67–94.
- Beklemishev A.D. Helicoidal System for Axial Plasma Pumping in Linear Traps // Fusion Sci. Technol. 2013. V. 63. № 1. P. 355–357.
- Postupaev V.V., Sudnikov A.V., Beklemishev A.D., Ivanov I.A. Helical mirrors for active plasma flow suppression in linear magnetic traps // Fusion Eng. Des. 2016. V. 106. P. 29–31.
- Sudnikov A.V., Ivanov I.A., Inzhevatkina A.A., Larichkin M.V., Lomov K.A., Postupaev V.V., Tolkachev M.S., Ustyuzhanin V.O. Plasma flow suppression by the linear helical mirror system // J. Plasma Phys. 2022. V. 88. № 1.
- Beklemishev A.D. Radial and axial transport in trap sections with helical corrugation// AIP Conference Proceedings. 2016. V. 1771.
- Lazareva G.G., Oksogoeva I.P., Sudnikov A.V. Mathematical Modeling of Plasma Transport in a Helical Magnetic Field // Lobachevskii J. Math. 2022. V. 43. № 10. P. 2685–2691.
- Брушлинский К.В., Жданова Н.С. Расчет осесимметричных МГД-течений в канале с внешним продольным магнитным полем // Ж. вычисл. матем. и матем. физ. 2006. Т. 46. № 3. С. 550–559.
- Sudnikov A.V., Beklemishev A.D., Postupaev V.V., Burdakov A.V., Ivanov I.A., Vasilyeva N.G., Kuklin K.N., Sidorov E.N. SMOLA device for helical mirror concept exploration // Fusion Eng. Des. 2017. V. 122. P. 86–93.
- Сковородин Д.И., Черноштанов И.С., Амиров В.Х. и др. Газодинамическая многопробочная ловушка ГДМЛ. Н.: Препринт ИЯФ им. Г.И. Будкера СО РАН, 2023.
- Самарский А.А., Николаев Е.С. Методы решения сеточных уравнений. М.: Наука, 1978.
- Самарский А.А., Мажукин В.И., Матус П.П., Шишкин Г.И. Монотонные разностные схемы для уравнений со смешанными производными// Матем. Моделирование. 2001. Т. 13. № 2. С. 17–26.
Supplementary files






