Predictors of Self-Harm Types in Members of Online Communities: Age As a Moderating Variable
- Authors: Razvaliaeva A.Y.1, Polskaya N.A.2,3
- 
							Affiliations: 
							- Institute of Psychology of the Russian Academy of Sciences
- Moscow State University of Psychology & Education
- Scientific and Practical Center for Mental Health of Children and Adolescents named after G.E. Sukhareva
 
- Issue: Vol 3, No 4 (2022)
- Pages: 38-51
- Section: RESEARCH
- URL: https://journal-vniispk.ru/2712-7672/article/view/115502
- DOI: https://doi.org/10.17816/CP216
- ID: 115502
Cite item
Full Text
Abstract
BACKGROUND: Deliberate self-harm includes direct and indirect behaviors that cause harm to the body. Various manifestations of such behavior (e.g., non-suicidal self-injuries) are prevalent in adolescent and youth populations, and they often serve as precursors of subsequent suicidal behavior. The interpersonal dynamics that lead to self-harm behavior remain understudied. Interpersonal sensitivity, defined as an anticipation of criticism and fear of rejection in one’s relationships with other people, may become one such factor.
AIM: The present study was conducted to investigate the relationship between interpersonal sensitivity, psychopathological symptoms, and types of self-harm.
METHODS: The sample (n=804, 17–35 years, M=23.3±4.6 years) was recruited in online communities. A survey developed by the authors was used to measure the types of self-harm. Other measures included the Interpersonal Sensitivity Measure and Symptom Checklist-90-R.
RESULTS: It was discovered that superficial self-injuries could be related to more severe types of self-harm, destructive for the body on the whole (e.g., risk-taking, deprivation, fasting, substance abuse). Fear of rejection and psychopathological symptoms emerged as predictors of both superficial self-injuries and self-destructive behavior. Although younger respondents (17–19 years old) were more likely to inflict on themselves superficial self-injuries, those who scored high on fear of rejection were more likely to report more severe self-destructive behavior. Acute psychological distress elevated this risk for both younger and older participants (27–35 years old).
CONCLUSIONS: The results of the study point at the important role the dynamics of interpersonal relationships plays in perpetuating self-harm.
Full Text
INTRODUCTION
Self-harm is a problem that attracts the attention of researchers in various countries due to its prevalence, especially in adolescence and youth [1]. Self-harm encompasses different ways of injuring oneself, regardless of the underlying reasons or possible suicidal intent [2], such as non-suicidal self-injuries, self-poisoning, or disordered eating. Non-suicidal self-injuries are closely related to suicidal ideation, and they are thought to lead to active suicide planning and attempts [3–8].
One of the key psychological mechanisms that helps entrench self-harm is emotion dysregulation, which is defined as “high emotional vulnerability, plus an inability to control emotions”, and includes “high sensitivity to emotional stimuli, emotional intensity, and slow return to emotional baseline” [9]. Self-harm becomes a way to return one’s emotional state under one’s control and cope with emotional pain [10].
Unlike emotion dysregulation, the interpersonal factors of self-harm are less known [11]. Self-harm is associated with poorer attachment to parents and friends [12], bullying, and interpersonal stress [13]. It is more likely to emerge in adolescents whose parents are highly critical, rejecting, emotionally or physically abusive, or practicing severe punishments [13]. Traumatic attachment, i.e., attachment to the caregiver who is also the source of trauma, has been proposed as a significant risk factor of self-harm and eating disorders [14]. Ecological momentary assessment shows that arguments, criticism, and rejection precede self- harm urges, especially non-suicidal self-injury [15, 16]. In addition, a number of studies show that the perception of interpersonal relationships, operationalized by such constructs as interpersonal sensitivity and rejection sensitivity, is an important risk factor for various psychopathological symptoms and mental disorders such as depression, anxiety, bulimia, borderline personality disorder, body dysmorphic disorder, intimate relationship dissatisfaction, and loneliness [17–20].
The present study was conducted to analyze the relationship between interpersonal sensitivity, psychopathological symptoms, and self-harm types of different levels of severity. It was hypothesized that more severe self-harm would be associated with more psychopathological symptoms and higher interpersonal sensitivity. Interpersonal sensitivity was also hypothesized to be closely associated with psychopathological symptoms indicating the severity of the overall psychological distress.
METHODS
Procedure and sample
Data collection was conducted online in June–August, 2021. Invitations to participate in the study were posted on social media platforms in online psychological self-help and psychoeducation communities and public pages, as well as communities discussing unrelated topics. The participants filled out informed consent forms prior to starting the questionnaires, where they were informed that their responses would be used in aggregated form. Parental consent was not implemented due to the difficulties of securing it online; however, the minimal recommended participation age was set at 18, and participants were advised to opt out of the study if the questions made them uncomfortable. The question about age was formulated as an open-ended one (as opposed to using a scale with 18 as a minimum), specifically to elicit truthful answers from younger participants if they decided to take part in the study. Participants were not asked to leave their names or nicknames: however, an email address was required to proceed to the survey and questionnaires.
The overall sample consisted of 999 participants. The sample for the current paper included 804 participants aged 17–35. Participants who were younger than 17, older than 35, or provided improbable answers to the open-ended questions in the survey (see Measures and Supplement 1) were excluded. We decided to include 17-year-old participants, because they were old enough to assent to the study, as shown in previous studies on the ethical considerations of recruiting adolescents from online communities [21]. The demographic characteristics of the sample (age, gender, nationality, country of residence, and education level) are presented in Table 1.
Table 1. The sample characteristics (n=804)
| Sociodemographic characteristics | %, (n) | |
| Age | М=23.3, SD=4.6 | - | 
| 17–19 years old | 25.1% (n=202) | |
| 20–22 years old | 26.9% (n=216) | |
| 23–26 years old | 24.3% (n=195) | |
| 27–35 years old | 23.8% (n=191) | |
| Gender | Female | 82.1% (n=660) | 
| Male | 16.8% (n=135) | |
| Non-binary | 0.9% (n=7) | |
| Didn’t answer | 0.6% (n=2) | |
| Nationality | Russians | 74.4% (n=598) | 
| Other nationalities | 25.6% (n=206) | |
| Country of residence | Russian Federation | 79.9% (n=642) | 
| Other countries | 20.1% (n=162) | |
| Education | Higher education graduates or undergraduates | 67.4% (n=542) | 
| Comprehensive/vocational schools graduates | 32.2% (n=262) | |
Fifty-nine percent (n=474) of the participants reported having used mental health services. About half of them (n=268) reported having been diagnosed by a professional psychiatrist. The reported diagnoses could be predominantly attributed to three diagnostic clusters: affective disorders, personality disorders, and anxiety, dissociative, stress-related, and somatoform disorders. Additionally, 114 participants presumed that they had undiagnosed mental health problems.
Online community membership was distributed as follows: 214 participants (26.6%) enrolled in the study from communities focusing on mental health problems, including self-harm; 278 participants (34.6%) were recruited from psychoeducation and self-help groups, including Russian feminist support groups; 178 participants (22.1%) were from groups discussing education, creative activities, and volunteering; and 134 participants (16.7%) didn’t specify their online group and reported only the name of the social network (e.g., Telegram, vKontakte) or received personal invitations.
The distribution of the participants by age in different types of online communities is shown in Figure 1.
Figure 1. Age distribution in online communities.
An analysis of the relationship between age groups and online community membership with contingency tables showed that psychiatry-themed communities (where participants discussed self-harm and other mental health problems) were represented by younger participants, whereas participants from psychoeducation and self-help groups hued older (contingency coefficient — 0.43, p <0.001).
Measures
A survey developed by the authors was used to collect sociodemographic data, the history of using mental health services (including having an established or assumed diagnosis), attitude to one’s appearance (not analyzed in the current study), and characteristics of self-harm. The question analyzed in the present paper (“How did you harm yourself?”) was open-ended and yielded short descriptions of the self-harm methods used by the participants. The answers were qualitatively analyzed by two experts and used to distinguish between groups of participants with different self-harm behaviors. A full qualitative analysis of self-harm methods and subjective reasons was described elsewhere (unpublished data). For the full text of the survey, see Supplement 1.
The Russian Three-factor version of the Interpersonal Sensitivity Measure [17, 20] was used to explore interpersonal sensitivity. The original version of the scale was developed by P. Boyce and G. Parker in 1989; it was validated in a Russian sample in 2021 by A. Razvaliaeva and N. Polskaya. The Measure contains 22 items assessed on a 4-point Likert scale (“very like me”, “moderately like me”, “moderately unlike me”, “absolutely unlike me”). The tool measures the fear of rejection, dependence on others’ appreciation, and interpersonal worry (sum scores). Internal consistency of the scales (Cronbach’s α) in the current sample varied from 0.75 to 0.87.
To assess the psychopathological symptoms and distress, the study used the Russian version of the Symptom Checklist-90-Revised [22, 23], originally developed by L. Derogatis in the 1970s and validated in a Russian sample by N. Tarabrina in 2001. The Checklist includes 90 items assessed on a 5-point Likert scale (0 — “not at all”, 1 — “a little bit”, 2 — “moderately”, 3 — “quite a bit”, 4 — “extremely”). The scale measures 10 types of psychopathological symptoms: Somatization, Obsessive–Compulsive, Interpersonal Sensitivity, Depression, Anxiety, Hostility, Phobic Anxiety, Paranoid Ideation, and Psychoticism; all of these scales are scored as means. Three global scales are measured as well: Global Severity Index (mean score), Positive Symptom Total (number of symptoms with scores of more than 0), and Positive Symptom Distress Index (Global Severity Index divided by Positive Symptom Total). Cronbach’s alphas for scales varied between 0.78 and 0.98.
Research governance
The study was supported and ethically approved by the Russian Foundation for Basic Research (RFBR), project no. 20-013-00429.
Data analysis
Data analysis was carried out in SPSS ver. 23 and R ver. 4.1.2 (packages nnet ver. 7.3–16, rockchalk ver. 1.8.151, psych ver. 2.1.9, performance ver. 0.9.2 and DescTools ver. 0.99.46) and included descriptive statistics, group comparisons with non-parametric criteria, correlation, and a logistic regression analysis. Although the size of the sample facilitated the use of parametric tests, non-parametric ones were used, because the groups under comparison differed in size and the variables of interest (age, interpersonal sensitivity, and psychological distress) were not normally distributed based on the results of the Kholomogorov-Smirnov test. The Mann-Whitney, Kruskal-Wallis, and Dunn’s tests were used for group comparisons. Correlations were carried out using Spearman’s rs. Holm-Bonferroni adjustments for multiple comparisons were performed for every type of analysis; p values lower than 0.05 after correction were considered significant.
The regression analysis included the binary and multinomial logistic regression: the former is used when the dependent variable contains two groups, and the latter is used when the dependent variable describes more than two groups. Sex and age group effects were controlled for all tested models. The moderation effects of age were tested by including interaction terms into the models. Pseudo R2 (Nagelkerke’s R2) was calculated for both the multinomial and binomial logistic regression models to assess the predictive capabilities of the model [24]. Model fit was tested by the difference in deviation between the null model and the suggested model; significant p values (<0.05) implied that the suggested model predicted data better than the null model (no predictors, only intercept). Binomial regression model fit was also tested by the Hosmer-Lemeshow test, where good model fit is implied by non-significant p values [24, 25]. Holm-Bonferroni adjustment was performed for p values of the regression coefficients in every model.
RESULTS
Self-harm correlates in the sample
Some 75.5% (n=607) of the participants reported self-harm; in comparison with participants without self-harm, they used professional mental health services more (χ2(1)=36.29, p <0.001) and reported having a confirmed psychiatric diagnosis more often (χ2(2)=27.87, p <0.001). Participants who reported engaging in self-harm were significantly younger (Mann-Whitney test p <0.001; median age for self-harm group — 22 [interquartile range — 19–26]; median age for participants who reported no self-harm — 24 [21–28]); they were more likely to be female (87.5% vs. 12.5%; χ2(1)=33.02, p <0.001) and were less educated (67.9% in comprehensive or vocational school or technical college vs. 32.1% in undergraduate programs or graduates — χ2(1)=30.29, p <0.001).
The participants’ answers were analyzed, and ways of harming oneself were extracted and counted, yielding a number of different self-harm methods for each participant. The participants validated up to 14 different ways of harming themselves at the same time (Figure 2).
Figure 2. Distribution of the number of different ways of self-harm employed by the same participant.
Four groups were distinguished on the basis of self-harm type:
1) Participants who reported no self-harm in the past (n=197).
2) Participants who had inflicted superficial self-injuries on themselves, such as self-cutting, burning, hitting and pulling hair (n=457).
3) Participants who endorsed more severe self-destructive behaviors such as self-poisoning, substance abuse, disordered eating, and depriving one of their basic needs, without superficial self-injuries (n=25). Due to the small size of this group (less than 5% of the sample), it was excluded from further analysis.
4) Participants who reported both superficial self-injuries and self-destructive behaviors (n=125), further referred to as ‘self-destructive behaviors’ group. Thus, further analysis was performed only on participants who reported superficial self-injuries, with or without more severe self-destructive behaviors.
Group differences in interpersonal sensitivity and psychopathological symptoms
Differences between participants with different self-harm behaviors were tested using the Kruskal-Wallis test with adjusted p-values (Holm-Bonferroni method for multiple comparisons) and Dunn’s post-hoc test (Table 2). Significant differences between participants not engaging in self-harm and two groups who endorsed self-harm were recorded for all variables in that participants from both self-harm groups had higher scores on all interpersonal sensitivity measures and all symptom scales compared to the no self-harm group. Participants with self-destructive behaviors scored higher on the scales of fear of rejection, interpersonal sensitivity, and all psychopathological symptoms (with the exception of depression and hostility) than participants who self-injured only superficially.
Table 2. Interpersonal sensitivity and psychopathological symptoms in groups based on the type of self-harm
| Scales | No self-harm (n=197) — group A | Superficial self-injury (n=457) — group B | Self-destructive behaviors (n=125) — group C | Kruskal-Wallis test (p <0.001 for all comparisons) | Dunn’s test heterogeneous groups (at p <0.05) | 
| Median [Interquartile range] | |||||
| Interpersonal Sensitivity Measure | |||||
| Dependence on others’ appreciation | 25 [21–29] | 28 [24–32] | 28 [25–32] | 26.59 | AB, AC | 
| Fear of rejection | 13 [10–17] | 17 [14–20] | 18 [15–21] | 75.17 | AB, AC, BC | 
| Interpersonal worry | 18 [15–21] | 20 [17–23] | 20 [17–23] | 25.18 | AB, AC | 
| Interpersonal sensitivity (sum score) | 57 [47–65] | 65 [56–72] | 67 [60–75] | 56.12 | AB, AC, BC | 
| Symptom Checklist-90-Revised | |||||
| Somatization | 0.5 [0.3–0.8] | 1 [0.5–1.7] | 1.4 [0.8–2.1] | 97.11 | AB, AC, BC | 
| Obsessive–Compulsive | 1 [0.6–1.6] | 1.7 [1–2.4] | 1.9 [1.1–2.7] | 72.69 | AB, AC, BC | 
| Interpersonal Sensitivity | 1 [0.4–1.8] | 1.6 [0.9–2.4] | 2.1 [1–2.8] | 57.93 | AB, AC, BC | 
| Depression | 1.2 [0.5–2] | 2.1 [1.2–2.8] | 2.2 [1.5–3.2] | 81.13 | AB, AC | 
| Anxiety | 0.5 [0.2–1.1] | 1.2 [0.6–2] | 1.6 [0.9–2.7] | 90.06 | AB, AC, BC | 
| Hostility | 0.5 [0.2–1] | 1 [0.5–1.8] | 1.5 [0.7–2.2] | 83.04 | AB, AC | 
| Phobic Anxiety | 0.1 [0–0.6] | 0.6 [0.3–1.4] | 1 [0.4–2] | 84.95 | AB, AC, BC | 
| Paranoid Ideation | 0.5 [0.2–1] | 0.8 [0.3–1.7] | 1.3 [0.7–2] | 53.87 | AB, AC, BC | 
| Psychoticism | 0.4 [0.1–0.8] | 0.8 [0.4–1.4] | 1.1 [0.5–1.8] | 85.73 | AB, AC, BC | 
| Global Severity Index | 0.7 [0.4–1.3] | 1.3 [0.8–1.9] | 1.7 [1.1–2.3] | 107.76 | AB, AC, BC | 
| Positive Symptom Total | 38 [26–53] | 57 [42–69] | 63 [49–75] | 101.28 | AB, AC, BC | 
| Positive Symptom Distress Index | 1.7 [1.4–2.2] | 2.2 [1.7–2.6] | 2.4 [1.9–2.8] | 87.94 | AB, AC, BC | 
The relationship between interpersonal sensitivity and psychopathological symptoms
The correlation analysis (Spearman’s rs) in the overall sample yielded significant links between interpersonal sensitivity and psychological distress (p <0.001 for all correlations after Holm-Bonferroni correction). Interpersonal sensitivity showed the strongest correlation intensity with the interpersonal sensitivity subscale from SCL-90-R — rs=0.67 (Table 3). The global severity index and depression were also closely linked to interpersonal sensitivity on the whole, and fear of rejection in particular. All the relationships retained their significance when tested in self-harm subgroups, except for interpersonal worry and hostility in the self-destructive behaviors group (Supplement 2).
Table 3. Correlations* between interpersonal sensitivity scales and psychopathological symptoms in the overall sample
| Scales | Dependence on the others’ appraisal | Fear of rejection | Inter-personal worry | Inter-personal sensitivity (sum score) | 
| Somatization | 0.28 | 0.44 | 0.30 | 0.41 | 
| Obsessive–Compulsive | 0.38 | 0.54 | 0.38 | 0.52 | 
| Interpersonal Sensitivity | 0.54 | 0.66 | 0.44 | 0.67 | 
| Depression | 0.45 | 0.64 | 0.40 | 0.60 | 
| Anxiety | 0.39 | 0.54 | 0.37 | 0.53 | 
| Hostility | 0.33 | 0.53 | 0.23 | 0.44 | 
| Phobic Anxiety | 0.38 | 0.51 | 0.37 | 0.51 | 
| Paranoid Ideation | 0.33 | 0.52 | 0.24 | 0.43 | 
| Psychoticism | 0.36 | 0.58 | 0.32 | 0.50 | 
| Global Severity Index | 0.45 | 0.66 | 0.40 | 0.61 | 
| Positive Symptom Total | 0.42 | 0.62 | 0.42 | 0.59 | 
| Positive Sympto m Distress Index | 0.42 | 0.59 | 0.32 | 0.53 | 
Note: * — Spearman’s rs, p <0.001 after Holm-Bonferroni correction for all correlations.
Interpersonal sensitivity and psychological distress as predictors of self-harm severity
The regression analysis was performed to further test the predictive power of interpersonal sensitivity and psychopathological symptoms on self-harm severity operationalized by group inclusion (no self-harm, superficial self-injuries, and self-destructive behaviors). Due to the high correlations of the psychopathological symptoms with each other, only the global severity index was included in the models.
Multinomial regression showed that psychopathological symptoms and fear of rejection significantly predicted membership in the self-harm groups compared to the no self-harm group (Table 4, Model 1). The global severity index predicted self-destructive behaviors better than superficial self-injuries only. After running the Holm-Bonferroni correction, the impact of fear of rejection was rendered insignificant (original p value — 0.011; after correction — 0.089). The two other scales of the Interpersonal Sensitivity Measure (interpersonal worry and dependence on others’ appreciation) did not carry significant predictive value in the model. Men were less likely to report both superficial self-injuries and self-destructive behaviors. To further investigate which variables predicted the particular self-harm type, the no self-harm group was excluded and binomial logistic regression was run on a subsample of the participants (n=582).
Table 4. Results of a multinomial and binomial logistic regression, and testing of interaction effects
| Dependent variable | Predictors | β | SE | z | p | 
| Model 1. Multinomial logistic regression: R2=0.21; G2(12)=153.88, p <0.001 | |||||
| Superficial self-injury vs. no self-injury | Dependence on the others’ appraisal | -0.11 | 0.13 | -0.89 | ns | 
| Fear of rejection | 0.37 | 0.13 | 2.86 | 0.039 | |
| Interpersonal worry | -0.001 | 0.12 | -0.01 | ns | |
| Global severity index | 0.68 | 0.15 | 4.46 | 0.000 | |
| Age (continuous) | -0.18 | 0.10 | -1.85 | ns | |
| Gender: male | -1 | 0.23 | -4.42 | 0.000 | |
| Self-destructive behaviors vs. no self-injury | Dependence on the others’ appraisal | -0.15 | 0.17 | -0.89 | ns | 
| Fear of rejection | 0.45 | 0.18 | 2.54 | 0.089 | |
| Interpersonal worry | 0.05 | 0.16 | 0.28 | ns | |
| Global severity index | 0.98 | 0.19 | 5.28 | 0.000 | |
| Age (continuous) | -0.17 | 0.13 | -1.26 | ns | |
| Gender: male | -1 | 0.36 | -3.32 | 0.010 | |
| Model 2. Binomial logistic regression: R2=0.09; G2(6)=27.21, p <0.001; HL χ2(8)=9.36, p=0.31 | |||||
| Self-destructive behaviors vs. superficial self-injury | Fear of rejection | 0.10 | 0.14 | 0.75 | ns | 
| Global severity index | 0.34 | 0.14 | 2.47 | 0.068 | |
| Age: 20–22 years old | 0.44 | 0.12 | 3.47 | 0.003 | |
| Age: 23–26 years old | 0.07 | 0.14 | 0.53 | ns | |
| Age: 27–35 years old | 0.13 | 0.14 | 0.96 | ns | |
| Gender: male | -0.06 | 0.11 | -0.50 | ns | |
| Model 3. Interaction between fear of rejection and age: R2=0.07; G2(7)=27.58, p <0.001; HL χ2(8)=5.23, p=0.73 | |||||
| Self-destructive behaviors vs. superficial self-injury | Fear of rejection | 0.33 | 0.12 | 2.78 | 0.013 | 
| Age: 20–22 years old | 0.51 | 0.15 | 3.41 | 0.054 | |
| Age: 23–26 years old | 0.15 | 0.15 | 0.96 | 0.034 | |
| Age: 27–35 years old | 0.16 | 0.15 | 1.06 | ns | |
| Fear of rejection*Age: 20–22 years old | -0.30 | 0.15 | -1.97 | ns | |
| Fear of rejection*Age: 23–26 years old | -0.42 | 0.15 | -2.78 | 0.033 | |
| Fear of rejection*Age: 27–35 years old | -0.26 | 0.15 | -1.76 | ns | |
| Model 4. Interaction between psychopathological symptoms and age: R2=0.09; G2(7)=36.44, p <0.001; HL χ2(8)=13.29, p=0.10 | |||||
| Self-destructive behaviors vs. superficial self-injury | Global severity index | 0.42 | 0.12 | 3.51 | 0.000 | 
| Age: 20–22 years old | 0.64 | 0.16 | 3.91 | 0.002 | |
| Age: 23–26 years old | 0.28 | 0.17 | 1.67 | 0.027 | |
| Age: 27–35 years old | 0.33 | 0.17 | 1.99 | ns | |
| GSI*Age: 20–22 years old | -0.36 | 0.13 | -2.66 | 0.031 | |
| GSI*Age: 23–26 years old | -0.38 | 0.14 | -2.64 | 0.031 | |
| GSI*Age: 27–35 years old | -0.18 | 0.15 | -1.18 | ns | |
Note: β — standardized regression coefficient, SE — standard error, R2 — Nagelkerke’s R2, G2 — difference between null deviance and model deviance (p <0.05 shows good model fit), HL χ2 — Hosmer-Lemeshow test (significant p values show bad model fit), ns — not significant. Holm-Bonferroni adjustment was performed for p values for every model. Referent age group: 17–19 years old.
Binomial logistic regression showed that fear of rejection significantly predicted self-destructive behaviors (b=0.27, p=0.027), but not after introducing the global severity index in the model (Table 4, Model 2). The effect of GSI on self-destructive behaviors was significant (p=0.014) before one ran the Holm-Bonferroni correction, which yielded a value of 0.068. Participants aged 20–22 also had a higher chance of being in the self-destructive-behavior group compared to 17- to 19-year-old participants, and gender didn’t have a significant effect.
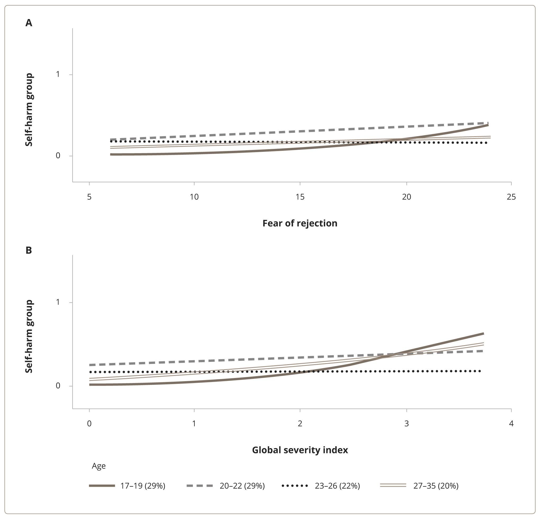
Age moderated the effect of fear of rejection and psychopathological symptoms on the type of self-harm. Moderation was explored in logistic regression models with interaction variables (Table 4, Models 3 and 4). In general, younger participants (17- to 19-year-olds) were less likely to be included in the self-destructive-behavior group compared to 20- to 23- (significant effect in both models before correction; original p value in Model 3 — 0.014) and 23- to 26-year-olds (significant effect in both models). Younger participants (17- to 19-year-olds) who scored lower on the fear of rejection scale had lower odds of being in the self-destructive-behavior group than older participants (Figure 3A). They were also less likely to severely harm themselves if they scored low on psychopathological symptoms than older participants (Figure 3B). On the other hand, high fear of rejection and psychopathological symptoms in the youngest participants were associated with infliction of more severe self-harm. The oldest participants in the study (27- to 35-year-olds) were also more likely to belong in the self-destructive-behaviors group than 20- to 26-year-old participants with severe psychopathological symptoms.
Figure 3. Predicted inclusion in self-harm groups based on the interaction between age and the fear of rejection (A), and age and the Global severity index (B): 0 — superficial self-injuries; 1 — self-destructive behaviors.
DISCUSSION
Main findings
The study showed that fear of rejection and psychopathological symptoms predicted the severity of self-harm measured on the basis of free descriptions. Generally, 20- to 22-year-old participants were more prone to severe self-harm as opposed to superficial self-injuries. However, the relative impact of psychological distress and fear of rejection was more pronounced in younger participants (17–19 years old) compared to older ones (20- to 26-year-olds in the case of the Global Severity Index and 23- to 26-year-olds in the case of fear of rejection), which revealed the age-related aspects of self-harm.
Comparisons with other studies
About 15% of the participants in the study reported both superficial self-injuries and self-destructive behavior, such as disordered eating, substance abuse, sleep deprivation, and risk-taking. While the former target the skin, the latter target the whole body and could potentially lead to more negative consequences. Combined with self-harm, these types of behavior could become riskier and unrestrained, as shown by studies of alcohol consumption [26] and disordered eating (fasting, purging, binge-eating, excessive exercising) [27]. Coexistence of various types of self-harm differing in severity, consequences, and possible motivation presents a worrying trend, especially in light of the previous studies, which linked suicidal ideation and increasing severity and quantity of self-harm methods to subsequent suicide attempts [28]. While motivation wasn’t directly controlled in the current study and open-ended questions in the survey were used specifically to capture a wider range of behaviors than those assessed by validated measures, the qualitative analysis (unpublished data) revealed that some participants reported suicide-related reasons for their behavior (e.g., using cutting to stop suicidal thoughts).
Psychopathology emerged as a risk factor in self-harm, and it proved more important for discriminating between self-harm types (superficial self-injuries and self-destructive behavior) than interpersonal sensitivity. This result agrees with a corpus of research showing that more severe self-harm, especially when it co-occurs with eating disorders and substance abuse, is associated with an increase in psychological distress [29] and emotion dysregulation [30]. Psychological distress in particular emerged as a stronger predictor of self-harm and non-suicidal self-injuries than depression [29], low self-esteem, and difficulties in nurturing behaviors in interpersonal relationships (e.g., limited display of care for others) [31]. On the other hand, D’Agostino et al. showed no differences in psychopathology for direct and indirect self-harm [32]; however, it should be noted that their sample consisted of adult psychiatric patients; so, the effects could be less pronounced than in young adults. In the current study, depression and hostility were not significantly associated with self-harm severity. This leads us to hypothesize that these two symptoms are pervasive in young people who self-harm across different stages in the development of this behavior, including its incidence.
Interpersonal sensitivity was moderately associated with all the psychopathological symptoms. This result corroborates earlier studies on clinical samples linking interpersonal sensitivity to deep depression, post-partum depression, anxiety and social phobia, bulimia, and other mental disorders [17–20]. Although the strongest correlation was yielded with the interpersonal sensitivity subscale from SCL-90-R, its magnitude implies that the constructs measured by these scales weren’t similar. Thus, despite a close relationship between these constructs, interpersonal sensitivity (and more specifically, fear of rejection) captures the variability in self-harm unaccounted for by psychological distress.
The relationship between interpersonal sensitivity and self-harm has yet to be extensively researched. However, the results yielded by the present study speak in favor of the studies of rejection sensitivity, given that fear of rejection was the dimension of interpersonal sensitivity that had the most impact on self-harm. Rejection sensitivity was shown to predict non-suicidal self-injuries in adolescents, and its impact is exacerbated by low self-compassion and mediated through depressive symptoms [33].
Curiously, age didn’t have an impact on self-harm severity when it was introduced into the models as a continuous variable. Based on the discovered interactions between age groups, fear of rejection, and global severity index and their impact on self-harm, we can assume that the relationship between age and self-harm is not linear. Younger people (17- to 19-year-olds) tended to stick to more superficial self-injuries, whereas 20- to 26-year-olds reported more severe self-destructive behaviors. This could indicate a potential trajectory for self-harm that starts from relatively superficial behavior in adolescence (mean age of self-injurious behavior incidence is 15, according to [34]) but gets more severe and incorporates risky behavior, disordered eating behavior, and substance abuse in young adults. The rise in self-harm severity in cases where it was kept secret and left untreated in adolescence was shown in previous studies [35].
Strengths and limitations of the study
Given the scarcity of studies investigating the interpersonal factors of self-harm, the present research provided an opportunity to learn more about the impact of personal perception of interpersonal relationships on the types of self-harm. The use of open-ended questions in the self-harm questionnaire also provided a fuller view of possible self-harm methods and their combinations, which couldn’t be achieved with a standardized scale with predefined answers.
However, due to the design of the study, there are certain limitations in the generalization of the results. First, the study was conducted online, which limited the reliability of the results, especially in terms of a self-reported psychiatric diagnosis, compared to clinical samples where medical records are usually available to researchers. This was partly mitigated by introducing the presumed diagnosis option in the survey. However, given the high interest of the participants in mental health issues, they could benefit from self-diagnosing both to form an identity and to find a community of like-minded people. Thus, these results should be treated with caution.
The sample was partly recruited in self-harm and mental health-themed communities and mostly consisted of self-selected participants who willingly responded to the invitation. While this strategy was useful to recruit a lot of people who self-harmed, the rates in the current study are arguably much higher than they are in the general population (up to 15–30% for a single lifetime self-injury) [1, 33].
Lastly, although regression models show possible risk factors for superficial self-injuries and self-destructive behavior, causal inferences to the developmental mechanisms behind the emergence of self-harm can only be made in longitudinal studies. A cross-sectional study like the one presented cannot account for the possible complex relationships between variables of interest; e.g., whether psychopathological symptoms and interpersonal sensitivity increase the severity of self-harm, or vice versa, severe self-harm leads to the experience of loneliness, criticism and lower social support, which in turn heightens psychopathological symptoms.
Relatively low R2 in the regression models can be explained the following way. Most regression models in psychology (unlike, for example, in physics) have R2 less than 0.5. This is due both to the high individual variability in behavior and at the same time to the fact that we focus on certain particular characteristics and cannot account for all the possible variables that might contribute to the phenomenon of our interests. So, in our study, we did not take into account factors of emotional dysregulation (which are already quite well studied in connection with self-harm).
We applied Nagelkerke R2 values (one of pseudo-R2 statistics). These statistics demonstrate a wide variation for the same model, but in general, they all are much smaller than the traditional R2, which is measured for linear models (for example, Smith & McKenna showed that pseudo-R2 varied between 0.23 and 0.40, while the corresponding linear R2 in the simulation was 0.47) [24].
Implications for future research and practice
The current state of self-harm research shows good progress of emotional dysregulation models. However, more studies of the interpersonal factors of self-harm are needed, both situational (do certain situations increase the risk of self-harm in vulnerable individuals?) and personality-based (how do people prone to self-harm perceive social interactions?). Such studies are starting to emerge, but more longitudinal studies are still needed to better understand the emergence of self-harm.
Interpersonal sensitivity in general, and fear of rejection in particular, can potentially become targets for prevention and intervention programs in adolescent and youth populations. While there is preliminary evidence that some types of therapy decrease interpersonal sensitivity, along with self-harm [36, 37], studies should identify the relationship of interpersonal sensitivity to other risk factors of self-harm in order to develop ways of influencing emotional, personal, and interpersonal dimensions in parallel. The impact of psychopathological symptoms on self-harm corroborates the necessity of developing complex treatment programs, especially in cases when self-harm materializes as a combination of behaviors of varying severity (which were described by the participants of ‘self-destructive-behaviors’ group).
Given that young people who self-harm often do so in secret and prefer to look for help in anonymous online communities, psychoeducation programs and therapy tailored specifically to this audience could be of high significance. This includes not only implementing guidelines on communicating about self-harm in social networks and monitoring their content [38], but also distinguishing between harmful and supportive content [39]. Further research is needed to identify the criteria of the latter and to establish the feasibility of running web-based support groups that wouldn’t promote or exacerbate self-harm.
CONCLUSION
Both superficial self-injuries, on their own, and self-destructive behaviors, combined with superficial self-injuries, are associated with increasing psychopathological symptoms and appending interpersonal sensitivity dimensions, especially fear of rejection. Younger people are more susceptible to superficial self-injuries than more severe self-destructive behavior compared to 20- to 26-year-olds. However, the impact of psychopathological symptoms and fear of rejection on self-harm severity is also more pronounced in younger people, making them more vulnerable to contemplating more severe self-harm in the future.
Authors’ contribution:
N.A. Polskaya — research design (conceptualization and methodology), obtaining data for analysis, supervision; A.Yu. Razvaliaeva — data analysis, writing manuscript. All authors made a significant contribution to the article, checked and approved its final version prior to publication.
Funding: The study was supported and ethically approved by the Russian Foundation for Basic Research (RFBR), project no. 20-013-00429.
Conflict of interests: The authors declare no conflicts of interest.
Supplementary data
Supplementary material related to this article can be found, in the online version, at doi: 10.17816/CP216
About the authors
Anna Yu. Razvaliaeva
Institute of Psychology of the Russian Academy of Sciences
							Author for correspondence.
							Email: annraz@rambler.ru
				                	ORCID iD: 0000-0002-2046-3411
				                	SPIN-code: 7956-8242
							Scopus Author ID: 57195301033
							ResearcherId: AAY-5683-2021
				                								
Cand. Sci. (Psych.), Researcher
Russian Federation, MoscowNatalia A. Polskaya
Moscow State University of Psychology & Education; Scientific and Practical Center for Mental Health of Children and Adolescents named after G.E. Sukhareva
														Email: polskayana@yandex.ru
				                	ORCID iD: 0000-0002-7305-5577
				                	SPIN-code: 2514-6661
							Scopus Author ID: 23397969400
							ResearcherId: D-7076-2013
				                								
Dr. Sci. (Psych.), Professor, Chair of Clinical Psychology and Psychotherapy, Leading Researcher
Russian Federation, Moscow; MoscowReferences
- Kaess M. Self-harm: A transdiagnostic marker of psychopathology and suicide risk during the COVID-19 pandemic? Eur Child Adolesc Psychiatry. 2022 Jul;31(7):1–3. doi: 10.1007/s00787-022-02044-0. PMID: 35819728. PMCID: PMC9343285.
- Hawton K, Saunders KE, O’Connor RC. Self-harm and suicide in adolescents. Lancet. 2012 Jun;379(9834):2373–82. doi: 10.1016/S0140-6736(12)60322-5. PMID: 22726518.
- Baer MM, Tull MT, Forbes CN, Richmond JR, Gratz KL. Methods matter: Nonsuicidal selfinjury in the form of cutting is uniquely associated with suicide attempt severity in patients with substance use disorders. Suicide Life Threat Behav. 2020 Apr;50(2):397–407. doi: 10.1111/sltb.12596. PMID: 31621951. PMCID: PMC7148192.
- Basova AY, Severina YV. Analysis of suicidal behavior of children and adolescents hospitalized at the G.E. Sukhareva center in 2015–2019. In: A teenager in a megalopolis: inequality and opportunity: Proceedings of the XIII International Scientific and Practical Conference. Moscow; 2020. р. 18–21. Russian.
- Borisonik EV, Kholmogorova AB. The psychological state of family members who have experienced various forms of suicide of a loved one (single attempt, chronic suicide, completed suicide). Counseling Psychology and Psychotherapy. 2018;26(1):56–75. doi: 10.17759/cpp.2018260105. Russian.
- Kiekens G, Hasking P, Boyes M, et al. The associations between non-suicidal self-injury and first onset suicidal thoughts and behaviors. J Affect Disord. 2018 Oct;239:171–179. doi: 10.1016/j.jad.2018.06.033. PMID: 30014957.
- Liu S, You J, Ying J, Li X, Shi Q. Emotion reactivity, nonsuicidal self-injury, and regulatory emotional self-efficacy: A moderated mediation model of suicide ideation. J Affect Disord. 2020 Apr; 266:82–89. doi: 10.1016/j.jad.2020.01.083. PMID: 32056950.
- Syrokvashina KV, Dozortseva EG. Psychological factors of risk of suicidal behavior in adolescents. Counseling Psychology and Psychotherapy. 2016;24(3):8–24. doi: 10.17759/cpp.2016240302. Russian.
- Linehan MM. Cognitive-Behavioral treatment of borderline personality disorder. New York: The Guildford Press; 1993. 558 p.
- Polskaya NA. Emotion dysregulation in self-injurious behavior. Russian Psychological Journal. 2018;39(4):27–37. doi: 10.31857/S020595920000067-9. Russian.
- Rodriguez-Blanco L, Carballo JJ, Baca-Garcia E. Use of ecological momentary assessment (EMA) in non-suicidal self-injury (NSSI): A systematic review. Psychiatry Res. 2018 May;263:212–219. doi: 10.1016/j.psychres.2018.02.051. PMID: 29574356.
- Glazebrook K, Townsend E, Sayal K. The role of attachment style in predicting repetition of adolescent self-harm: A longitudinal study. Suicide Life Threat Behav. 2015 Dec;45(6):664–78. doi: 10.1111/sltb.12159. PMID: 25845416. PMCID: PMC6680138.
- Zhang J, Song J, Wang J. Adolescent self-harm and risk factors. Asia Pac Psychiatry. 2016 Dec;8(4):287–295. doi: 10.1111/appy.12243. PMID: 27224048.
- Farber SK. Dissociation, traumatic attachments, and self-harm: Eating disorders and self-mutilation. Clin Soc Work J. 2008 Mar;36(1):63–72. doi: 10.1007/s10615-007-0104-6
- Turner BJ, Yiu A, Claes L, Muehlenkamp JJ, Chapman AL. Occurrence and co-occurrence of nonsuicidal self-injury and disordered eating in a daily diary study: Which behavior, when? Psychiatry Res. 2016 Dec;246:39–47. doi: 10.1016/j.psychres.2016.09.012. PMID: 27657802.
- Victor SE, Scott LN, Stepp SD, Goldstein TR. I want you to want me: Interpersonal stress and affective experiences as within-person predictors of nonsuicidal self-injury and suicide urges in daily life. Suicide Life Threat Behav. 2019Aug;49(4):1157–1177. doi: 10.1111/sltb.12159. PMID: 30159910. PMCID: PMC6395579.
- Boyce P, Parker G. Development of a scale to measure interpersonal sensitivity. Aust N Z J Psychiatry. 1989 Sep; 23(3):341–51. PMID: 2803146.
- Downey G, Feldman SI. Implications of rejection sensitivity for intimate relationships. J Pers Soc Psychol. 1996 Jun;70(6):1327–43. doi: 10.1037/0022-3514.70.6.1327. PMID: 8667172.
- Polskaya NA, Tseitlina MD, Yakubovskaya DK. Rejection sensitivity and mental disorders. Voprosy psikhologii. 2020;66(5):119–129. Russian.
- Razvalyaeva AY, Polskaya NA. Psychometric properties of the Russian three-factor interpersonal sensitivity measure. Counseling Psychology and Psychotherapy. 2021;29(4):73–94. doi: 10.17759/cpp.2021290405. Russian.
- Harris J, Porcellato L. Opt-out parental consent in online surveys: Ethical considerations. J Empir Res Hum Res Ethics. 2018 Jul;13(3):223–229. doi: 10.1177/1556264618766953. PMID: 29629822.
- Derogatis LR, Yevzeroff H, Wittelsberger B. Social class, psychological disorder, and the nature of the psychopathologic indicator. J Consult Clin Psychol. 1975 Apr;43(2):183–91. doi: 10.1037/h0076514. PMID: 1120828.
- Tarabrina NV. Workshop on the psychology of post-traumatic stress. Saint-Petersburg: Piter; 2001. 268 p. (Series “Practical Psychology”). Russian.
- Smith TJ, McKenna CM. A comparison of logistic regression pseudo R2 indices. Multiple Linear Regression Viewpoints. 2013;39(2):17–26.
- Hosmer DW, Lemeshow S. Applied logistic regression. John Wiley and Sons; 2000.
- Ogle RL, Clements CM. Deliberate self-harm and alcohol involvement in college-aged females: A controlled comparison in a nonclinical sample. Am J Orthopsychiatry. 2008 Oct;78(4):442–8. doi: 10.1037/a0014325. PMID: 19123765.
- Warne N, Heron J, Mars B, et al. Comorbidity of self-harm and disordered eating in young people: Evidence from a UK population-based cohort. J Affect Disord. 2021 Mar;282:386–390. doi: 10.1016/j.jad.2020.12.053. PMID: 33421867. PMCID: PMC8150329.
- Victor SE, Klonsky ED. Correlates of suicide attempts among self-injurers: A meta-analysis. Clin Psychol Rev. 2014 Jun;34(4):282–97. doi: 10.1016/j.cpr.2014.03.005. PMID: 24742496
- Ruuska J, Kaltiala-Heino R, Rantanen P, Koivisto AM. Psychopathological distress predicts suicidal ideation and self-harm in adolescent eating disorder outpatients. Eur Child Adolesc Psychiatry. 2005 Aug;14(5):276–81. doi: 10.1007/s00787-005-0473-8. PMID: 15981140.
- Buckholdt KE, Parra GR, Anestis MD, et al. Emotion regulation difficulties and maladaptive behaviors: Examination of deliberate self-harm, disordered eating, and substance misuse in two samples. Cogn Ther Res. 2015 Nov;39(2):140–52. doi: 10.1007/s10608-014-9655-3.
- Arcelus J, Claes L, Witcomb GL, Marshall E, Bouman WP. Risk factors for non-suicidal self-injury among trans youth. J Sex Med. 2016 Mar;13(3):402–12. doi: 10.1016/j.jsxm.2016.01.003. PMID: 26944465.
- D’Agostino A, Boni M, Aportone A, Pepi R, Monti MR. Direct and indirect self-injury: Is it really all the same? Mediterr J Clin Psychol. 2020;8(2):1–18. doi: 10.6092/2282-1619/mjcp-2434
- Jiang Y, Ren Y, Liu T, You J. Rejection sensitivity and adolescent non-suicidal self-injury: Mediation through depressive symptoms and moderation by fear of self-compassion. Psychol Psychother. 2021 Apr;94(2):481–496. doi: 10.1111/papt.12293. PMID: 32573911.
- Cipriano A, Cella S, Cotrufo P. Nonsuicidal self-injury: A systematic review. Front Psychol. 2017 Nov 8;8:1946. doi: 10.3389/fpsyg.2017.01946. PMID: 29167651. PMCID: PMC5682335.
- Hasking P, Rees CS, Martin G, Quigley J. What happens when you tell someone you self-injure? The effects of disclosing NSSI to adults and peers. BMC Public Health. 2015 Oct;15:1039. doi: 10.1186/s12889-015-2383-0. PMID: 26453187. PMCID: PMC4600263.
- Panepinto AR, Uschold CC, Olandese M, Linn BK. Beyond borderline personality disorder: Dialectical behavior therapy in a college counseling center. J Coll Stud Psychother. 2015 July;29(3):211–26. doi: 10.1080/87568225.2015.1045782.
- Rezaei N, Sohraby A, Zoghipaidar MR. The effectiveness of compassion focused therapy on impulsiveness, interpersonal sensitivity and self mutilation in borderline personality disorder. Knowledge Research Applied Psychology. 2018;19(4):44–55. doi: 10.30486/jsrp.2018.545636. Iran.
- Morrissey J, Kennedy L, Grace L. The opportunities and challenges of regulating the internet for self-harm and suicide prevention. Crisis. 2022 Mar;43(2):77–82. doi: 10.1027/0227-5910/a000853. PMID: 35234050.
- Mavandadi V, Lewis SP. Pro-self-harm: Disentangling self-injury and eating disorder content on social media. Suicidology. 2021;12(1):1–6.
Supplementary files
 
				
			 
					 
						 
						 
				 
  
  
  Email this article
			Email this article 




