Парадоксальное опосредующее влияние процессов метапознания на взаимосвязь между самооценкой, симптомами депрессии и качеством жизни у пациентов с анорексией и булимией
- Авторы: Спрингфилд К.R.1, Бонфилс К.A.1, Чернов Н.В.2, Моисеева Т.В.2, Созинова М.В.2, Дмитриева Н.Г.2, Лайсакер П.H.3,4, Карпенко О.А.2, Костюк Г.П.2
- 
							Учреждения: 
							- Университет Южного Миссисипи
- ГБУЗ «Психиатрическая клиническая больница № 1 им. Н.А. Алексеева Департамента здравоохранения города Москвы»
- Медицинский центр им. Ричарда Л. Рудебуша по делам ветеранов
- Университет Индианы
 
- Выпуск: Том 4, № 2 (2023)
- Страницы: 6-20
- Раздел: ИССЛЕДОВАНИЕ
- URL: https://journal-vniispk.ru/2712-7672/article/view/134020
- DOI: https://doi.org/10.17816/CP6139
- ID: 134020
Цитировать
Аннотация
ВВЕДЕНИЕ: Уровень самооценки и наличие симптомов депрессии способствуют снижению качества жизни при расстройствах пищевого поведения. Тем не менее, лишь ограниченное число работ посвящено вопросу влияния различных факторов на динамику данной взаимосвязи. Определяющую роль во взаимосвязях самооценки, симптомов депрессии и качества жизни при расстройствах пищевого поведения могут играть ранее не исследованные процессы метапознания.
ЦЕЛЬ: Изучить процессы метапознания — способность к саморефлексии и мастерство — как факторы, которые могут опосредовать связь самооценки, симптомов депрессии и качества жизни, и выявить возможные различия этих процессов между группами пациентов с анорексией и с булимией.
МЕТОДЫ: В исследование были включены пациенты с анорексией (n=40) и булимией (n=40), получавшие лечение в амбулаторных условиях. Исследователи проводили оценку их способностей к метапознанию; также участники самостоятельно заполняли опросники, касающиеся депрессивных симптомов, самооценки и качества жизни.
РЕЗУЛЬТАТЫ: Результаты демонстрируют, что саморефлексия опосредует взаимосвязь между самооценкой, симптомами депрессии и качеством жизни у пациентов с анорексией: при высоком уровне способности к саморефлексии низкая самооценка и выраженные симптомы депрессии ассоциированы с ухудшением качества жизни. При низкой способности к саморефлексии данная связь не была статистически значимой. При этом мастерство в группах с анорексией и с булимией оказывает влияние на взаимосвязь самооценки, симптомов депрессии и качества жизни: низкая самооценка и выраженные симптомы депрессии были ассоциированы с ухудшением качества жизни при низком уровне мастерства. Данная связь не была статистически значимой при высоком уровне мастерства.
ЗАКЛЮЧЕНИЕ: Процессы метапознания, такие как способность к саморефлексии и мастерство, оказывают парадоксальное влияние на взаимосвязи между самооценкой, симптомами депрессии и качеством жизни у пациентов с анорексией и булимией. Эти результаты открывают перспективы для дальнейших исследований и имеют важное клиническое значение.
Полный текст
ВВЕДЕНИЕ
Расстройства пищевого поведения (РПП), в т.ч. анорексия и булимия, сочетаются с широким спектром нарушений психологических функций, которые, наряду с симптомами РПП, могут снижать качество жизни в ряде сфер [1, 2]. Двумя наиболее изученными на сегодняшний день психологическими феноменами, которые сочетаются с РПП, являются низкая самооценка и симптомы депрессии. Так было установлено, что низкая самооценка является важным фактором риска развития и персистирования РПП [3, 4] и связана с неблагоприятными исходами [5]. Симптомы депрессии (например, плохое настроение, снижение интереса или удовольствия от повседневной деятельности, беспричинное чувство вины и т.д.) также были связаны с неблагоприятными исходами у лиц с РПП [6, 7].
Хотя это исследование позволило получить более полную картину, отражающую динамику взаимосвязей между низкой самооценкой, симптомами депрессии и ухудшением качества жизни при РПП, остается неясным, влияют ли на эти взаимосвязи другие психологические показатели. В связи с этим, необходимо провести исследование для выявления возможных определяющих факторов этих взаимосвязей у лиц с РПП, чтобы лучше понять причины ухудшения качества жизни и определить вероятные механизмы, на которые может быть направлено лечение.
Одной из возможных групп психологических процессов, которая может влиять на взаимосвязь между самооценкой, симптомами депрессии и качеством жизни, является метапознание. Под метапознанием в широком смысле понимают процесс размышления о своих собственных мыслях, их контроле и регулировании, который может включать отношение к привычным мыслительным процессам, отслеживание ошибок, а также формирование ощущения целостности личности, как собственной, так и других людей [8]. По мере увеличения количества исследований в этой области было высказано предположение о том, что метакогнитивные процессы лежат не только в основе принятия решений об отдельных действиях, но и позволяют формировать более широкое и переменчивое ощущение себя и других как отдельных личностей [9]. Исходя из этого, было выдвинуто предположение о том, что метакогнитивный дефицит, в частности, трудности формирования интегрированного ощущения своей собственной личности или других, представляют собой трансдиагностический феномен, влияющий на качество жизни при различных видах психических расстройств, включая шизофрению, депрессию, биполярное расстройство, посттравматический стресс и расстройства личности [2, 10]. В этой работе показано, что метакогнитивные способности могут быть сложным образом взаимосвязаны с качеством жизни, позволяя людям осознавать реальность проблем, с которыми они сталкиваются, а также потенциально переживать чувство опустошения от потери [11–13].
Что касается РПП, в предшествующей публикации было высказано предположение о нарушении процессов метапознания у таких пациентов [14–17]. В частности, в одном из исследований был выявлен значимый метакогнитивный дефицит, более выраженный при анорексии, чем при булимии [18]. Также в исследовании было показано, что снижение способности к метапознанию являлось предиктором более выраженных общих психопатологических симптомов при булимии (например, продуктивных психозов, негативных психических проявлений, когнитивных симптомов и враждебности) и более высокой степени неупорядоченного пищевого поведения при анорексии. Полученные в исследовании данные повышают вероятность того, что при РПП способности к метапознанию могут так же, как и при других заболеваниях, влиять на качество жизни, и это поможет нам понять то, как самооценка и симптомы депрессии связаны с качеством жизни как в целом, так и в частности, при определенной форме РПП.
Чтобы изучить этот вопрос, в данном исследовании определяли, влияют ли два процесса метапознания (способность к саморефлексии и метакогнитивное мастерство) на взаимосвязь между самооценкой, симптомами депрессии и качеством жизни при РПП. Первый их этих процессов, саморефлексия, отражает способность определять и различать собственные психические переживания, включая мысли и эмоции, и осмысленно обобщать эти переживания для формирования все более сложных представлений о собственной личности [19]. Одним из способов, которым эта способность может повлиять на взаимосвязь между низкой самооценкой, симптомами депрессии и качеством жизни, является способность лиц с более высоким уровнем саморефлексии лучше видеть связь между эмоциональным дистрессом и общей картиной своей жизни. Это согласуется с результатами исследования, в котором участвовали лица, страдающие обсессивно-компульсивными расстройствами. Было показано, что более высокий уровень рефлексии в отношении когнитивных процессов может быть связан с усилением негативной оценки навязчивых мыслей и повышением их значимости [20]. Это можно рассматривать как аналогию так называемого депрессивного реализма у людей в целом или парадокса инсайта при психозе: когда более высокий уровень инсайта увеличивает дистресс [21].
Вторым процессом метапознания является метакогнитивное мастерство. Под мастерством понимают способность осмысливать психосоциальные трудности и в последующем применять метакогнитивные знания о себе и других для выбора наиболее эффективной реакции на них. В то время как саморефлексия может способствовать снижению качества жизни за счет низкой самооценки и симптомов депрессии, мастерство может оказывать противоположный эффект. При более высоком уровне мастерства человек с большей вероятностью сможет осмыслить и справится с переживаниями, связанными с низкой самооценкой и симптомами депрессии, и достичь относительно более высокого качества жизни. Этот вывод подтвердили в исследованиях психоза, показавших, что у лиц с более высоким уровнем мастерства симптомы менее разрушительны [22], и что оно в целом связано с более высоким уровнем качества жизни в динамике [23]. Кроме того, способность к саморефлексии и мастерство были определены как модерирующие переменные при других расстройствах, включая расстройства шизофренического спектра, биполярные расстройства и большое депрессивное расстройство [22, 24].
Для изучения этих вопросов мы оценили самооценку, симптомы депрессии, процессы метапознания — способность к саморефлексии и мастерство, а также некоторые аспекты качества жизни у взрослых пациентов с двумя формами РПП: анорексией и булимией. Мы выбрали два этих заболевания в связи с тем, что несмотря на то, что низкая самооценка, симптомы депрессии и низкое качество жизни являются характерными чертами обоих расстройств, тем не менее были выявлены различные факторы риска и поддерживающие механизмы, а процессы метапознания, как минимум по предварительным данным, характеризуются различными коррелятами при каждом расстройстве [18].
В этом исследовании было две основных цели. Во-первых, мы хотели выяснить, оказывают ли способность к саморефлексии и мастерство опосредующее влияние на взаимосвязь между самооценкой и качеством жизни, а также между симптомами депрессии и качеством жизни. Как описано выше, были выдвинуты конкурирующие гипотезы о роли саморефлексии и мастерства в этих взаимосвязях, поэтому мы хотели выяснить, усиливают или ослабляют способность к саморефлексии и мастерство отрицательное влияние низкой самооценки, симптомов депрессии на показатели качества жизни. Во-вторых, мы хотели изучить, различаются ли эти взаимосвязи между различными диагностическими группами (анорексии и булимии).
МЕТОДЫ
Участники
В исследовании участвовали взрослые пациенты с установленной анорексией (n=40) и булимией (n=40). Участников отбирали в консультативно- диагностическом отделении психиатрической клинической больницы № 1 им. Н.А. Алексеева (Москва, Россия), куда их направлял лечащий врач. Участники не соответствовали критериям включения в исследование, если они страдали зависимостью от алкоголя или наркотических веществ, либо неврологическими заболеваниями, при госпитализации в течение предшествующего месяца, а также при неспособности дать информированное согласие.
Показатели
Для определения способности к метапознанию использовали сокращенную шкалу оценки метапознания (Metacognition Assessment Scale-Abbreviated, MAS-A) [25]. Балл по шкале MAS-A определяли на основании записей, полученных в ходе беседы с пациентом с использованием инструмента Indiana Psychiatric Illness Interview (IPII) [26], представляющим собой полуструктурированное интервью, в ходе которого пациента просили рассказать о своей жизни в целом и о понимании психического заболевания, которым он страдает. Определяли общий балл по шкале MAS-A, а также баллы по четырем ее подшкалам: саморефлексия, рефлексия в отношении других, децентрация и мастерство [19]. Для целей настоящего исследования мы выбрали подшкалы саморефлексии и мастерства. Диапазон значений балла по обоим подшкалам составлял от 0 до 9. Более высокий балл по подшкале оценки саморефлексии свидетельствовали о более выраженной способности к осмыслению и интеграции собственных мыслей и эмоций на все более высоком уровне интеграции, но не фрагментации. Более высокие баллы по подшкале оценки мастерства отражали способность находить все более индивидуализированные и тонкие способы понимания и эффективного реагирования на психосоциальные трудности. В этом исследовании применяли русскоязычные версии инструмента IPII и шкалы MAS-A, которые ранее использовали для оценки метапознания в выборках российских пациентов [27].
Шкала самоуважения Розенберга (RSES) [28] состоит из 10 вопросов, предназначена для самостоятельного заполнения и определяет общую самооценку. Варианты ответа представлены по четырехбалльной шкале Лайкерта от «полностью согласен» (4) до «полностью не согласен» (1). Общий балл представляет собой сумму всех баллов. Более высокие показатели свидетельствовали о более высокой самооценке.
Шкала депрессии Бека-II (Beck Depression Inventory-II, BDI-II) [29] представляет собой шкалу для самостоятельного заполнения, состоящую из 21 пункта и оценивающую выраженность симптомов депрессии. Варианты ответа на каждый вопрос представлены по четырехбалльной шкале Лайкерта от 0 до 3, при этом более высокий балл указывает на более выраженные симптомы депрессии. Общий балл представляет собой сумму баллов по каждому пункту (диапазон от 0 до 63).
Опросник Всемирной организации здравоохранения для оценки качества жизни (World Health Organization Quality of Life, WHOQOL) [30] состоит из 100 вопросов, оценивающих качество жизни в шести сферах: психологическое благополучие, физическое здоровье, окружающая среда, уровень независимости, социальные отношения, а также духовные, религиозные и личные убеждения. Для ответа на каждый вопрос используется шкала Лайкерта с диапазоном от 1 до 5 баллов, при этом более высокое значение соответствовало более высокому качеству жизни.
Процедуры
Процедуры были одобрены этическим комитетом Психиатрической клинической больницы № 1 им. Н.А. Алексеева. После получения информированного согласия проводили клиническое диагностическое интервью для подтверждения диагноза. Диагнозы определяли в соответствии с МКБ-10. Затем обученный интервьюер опрашивал пациента с применением инструментов IPII, RSES, BDI-II и WHOQOL. Интервью, проведенные с помощью инструмента IPII, записывали, а затем оценивали специалисты, обученные автором шкалы MAS-A (PL). Специалисты, проводящие оценку по шкале MAS-A, не были осведомлены о результатах применения других инструментов. Применяли русскоязычные версии всех инструментов.
Статистический анализ
Во-первых, во внимание принимали демографические характеристики и средние баллы в каждой группе. Затем определяли коэффициент корреляции r-Пирсона для оценки связи между двумя переменными, которые включали баллы по подшкалам саморефлексии и мастерства MAS-A, шкалам RSES и BDI, опроснику WHOQOL. Для разработки ряда моделей модерации, которые проводили отдельно для двух групп с разными диагнозами, использовали макрос PROCESS [31] в SPSS версии 29.0. Соответствующий предиктор (т.е. балл по шкалам RSES или BDI), представляющий модератор интереса (т.е. балл по подшкалам саморефлексии или мастерства MAS-A), и взаимодействие между этими переменными вводили в отдельные регрессионные модели, прогнозирующие оценки различных сфер опросника WHOQOL (WHOQOL–психологическое благополучие, WHOQOL–социальные отношения, WHOQOL–физическое здоровье, WHOQOL–независимость, WHOQOL–окружающая среда, WHOQOL–духовность). Наличие опосредующего влияния устанавливали, если взаимодействие было статистически значимым и значимо улучшало регрессионную модель. Значимые взаимодействия визуализировали с помощью методики pick-a-point [32], а для определения значения модераторной переменной (балл по подшкалам саморефлексии или мастерства MAS-A), при котором изменялась значимость связи между баллами по шкалам RSES, BDI и оценками различных сфер опросника WHOQOL, использовали процедуру Джонсона-Неймана [33].
РЕЗУЛЬТАТЫ
Все участники были женского пола (n=80). В общей выборке средний возраст участниц составлял 24,01 года (SD=5,22), различий в возрасте между группами пациенток с анорексией (средний возраст — 23,95 года; SD=4,87) и булимией (средний возраст — 24,08 года; SD=5,60) не было. Средние баллы и корреляции представлены в табл. 1. Балл по подшкале саморефлексии MAS-A был незначимо связан с баллами по шкалам RSES, BDI или оценкам различных сфер опросника WHOQOL в обеих диагностических группах.
Таблица 1. Средние значения, стандартные отклонения и корреляция по диагностическим группам
| Анорексия (n=40) | ||||||||||
| Среднее значение (SD) | 1 | 2 | 3 | 4 | 5 | 6 | 7 | 8 | 9 | |
| RSES | 25,08 (3,97) | |||||||||
| BDI | 15,05 (10,27) | –0,21 | ||||||||
| Подшкала саморефлексии MAS–A | 3,31 (0,49) | 0,04 | 0,03 | |||||||
| Подшкала мастерства MAS–A | 2,23 (0,48) | 0,09 | 0,02 | 0,29 | ||||||
| WHOQOL–социальные отношения | 35,98 (5,03) | 0,51*** | –0,40** | –0,22 | 0,06 | |||||
| WHOQOL–физическое здоровье | 40,03 (6,73) | 0,50*** | –0,43** | –0,04 | 0,12 | 0,56*** | ||||
| WHOQOL–независимость | 60,38 (10,68) | 0,19 | –0,14 | –0,07 | 0,003 | 0,43** | 0,38* | |||
| WHOQOL–окружающая среда | 96,13 (14,47) | 0,70*** | –0,33* | –0,16 | 0,20 | 0,57*** | 0,68*** | 0,38* | ||
| WHOQOL–духовность | 14,13 (3,80) | 0,46** | –0,34* | –0,14 | 0,22 | 0,54*** | 0,54*** | 0,13 | 0,61*** | |
| WHOQOL–психологическое благополучие | 54,68 (11,74) | 0,54*** | –0,48** | 0,02 | –0,07 | 0,59*** | 0,70*** | 0,21 | 0,58*** | 0,53*** | 
| Булимия (n=40) | ||||||||||
| Среднее значение (SD) | 1 | 2 | 3 | 4 | 5 | 6 | 7 | 8 | 9 | |
| RSES | 25,28 (6,54) | |||||||||
| BDI | 11,75 (9,92) | –0,19 | ||||||||
| Подшкала саморефлексии MAS–A | 4,11 (0,46) | –0,22 | 0,13 | |||||||
| Подшкала мастерства MAS–A | 3,0 (0,68) | –0,16 | 0,03 | 0,49*** | ||||||
| WHOQOL–социальные отношения | 40,60 (7,38) | 0,18 | –0,45** | 0,03 | –0,03 | |||||
| WHOQOL–физическое здоровье | 37,15 (8,54) | 0,23 | –0,37* | –0,26 | –0,35* | 0,33* | ||||
| WHOQOL–независимость | 58,40 (11,06) | 0,06 | –0,36* | –0,14 | –0,28 | 0,16 | 0,62** | |||
| WHOQOL–окружающая среда | 100,48 (10,84) | 0,34* | –0,46** | –0,16 | –0,13 | 0,39* | 0,57** | 0,46** | ||
| WHOQOL – духовность | 14,65 (3,09) | 0,15 | –0,45** | –0,14 | –0,16 | 0,54** | 0,06 | 0,04 | 0,07 | |
| WHOQOL–психологическое благополучие | 60,63 (13,98) | 0,31 | –0,63*** | –0,13 | –0,18 | 0,60*** | 0,63*** | 0,45** | 0,63*** | 0,46** | 
Примечание: ***p <0,001; **p <0,01; *p <0,05. Более высокий балл по подшкалам саморефлексии и мастерства MAS-A соответствовал более высокому уровню метапознания. Более высокий балл по шкале RSES соответствовал более высокой самооценке. Более высокий балл по шкале BDI соответствовал более выраженным симптомам депрессии. Более высокий балл при оценке различных сфер опросника WHOQOL указывал на более высокое качество жизни. RSES — шкала самоуважения Розенберга; BDI — шкала депрессии Бека-II; подшкала саморефлексии MAS-A — подшкала для оценки саморефлекии сокращенной шкалы оценки метапознания; подшкала мастерства MAS-A — подшкала для оценки мастерства сокращенной шкалы оценки метапознания; WHOQOL–социальные отношения — сфера «Социальные отношения» опросника Всемирной организации здравоохранения для оценки качества жизни; WHOQOL–физическое здоровье — сфера «Физическое здоровье» опросника Всемирной организации здравоохранения для оценки качества жизни; WHOQOL–независимость — сфера «Уровень независимости» опросника Всемирной организации здравоохранения для оценки качества жизни; WHOQOL–окружающая среда — сфера «Окружающая среда» опросника Всемирной организации здравоохранения для оценки качества жизни; WHOQOL–духовность — сфера «Духовные, религиозные и личные убеждения» опросника Всемирной организации здравоохранения для оценки качества жизни; WHOQOL–психологическое благополучие — сфера «Психологическое благополучие» опросника Всемирной организации здравоохранения для оценки качества жизни.
В группе пациенток с булимией балл по подшкале мастерства MAS-A значимо коррелировал с оценкой WHOQOL–физическое здоровье (r=-35, p=0,03). Другие корреляции между баллами по подшкале мастерства MAS-A, шкалам RSES, BDI или оценками какой-либо сферы опросника WHOQOL не были значимыми в обеих диагностических группах.
Анализ модерации: саморефлексия
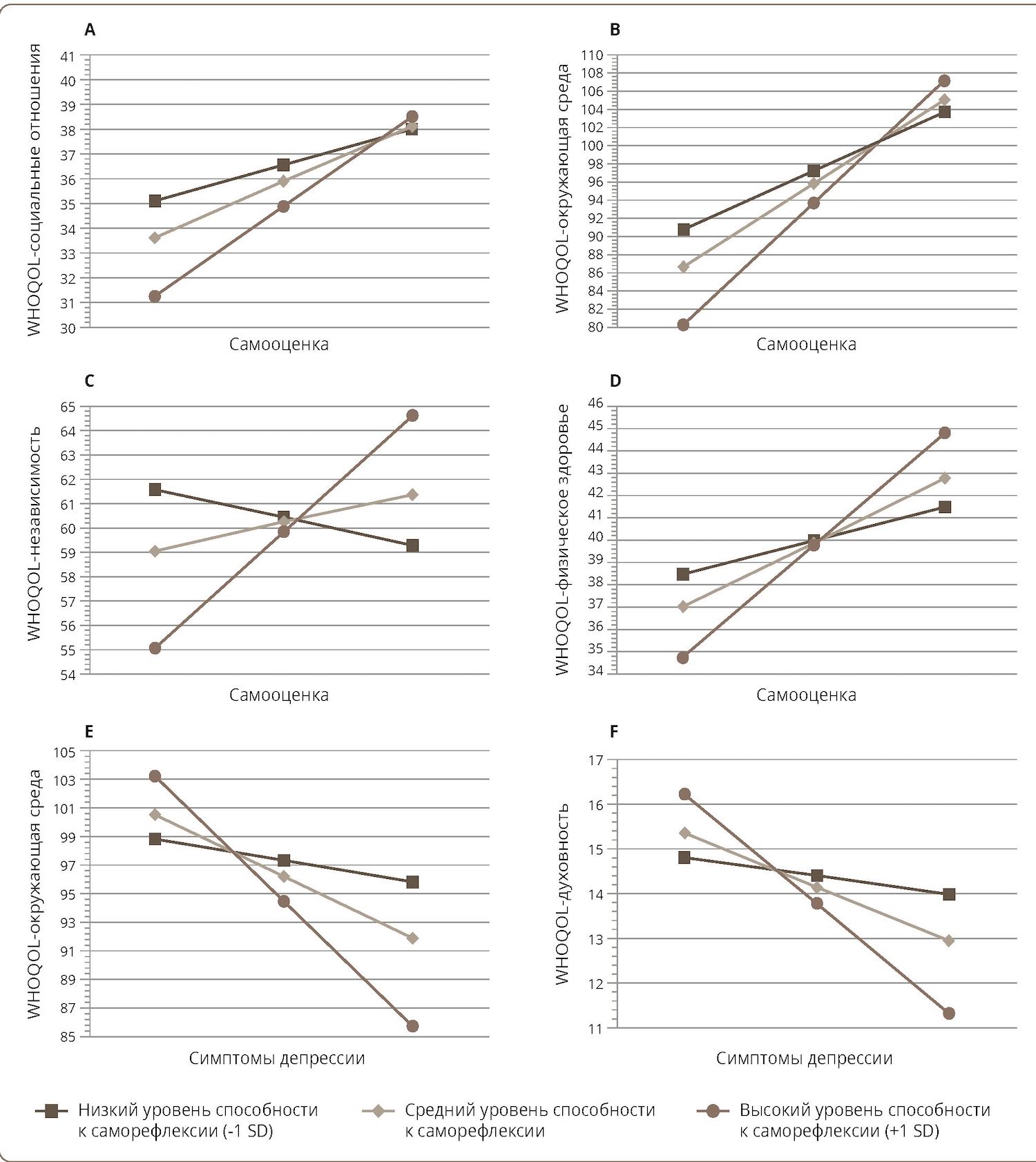
Результаты анализа модерации для саморефлексии в группе пациенток с анорексией представлены в табл. 2. Были обнаружены значимые взаимодействия в моделях модерации, оценивающих взаимосвязь между баллами по шкале RSES и оценками сфер WHOQOL (социальные отношения, физическое здоровье, независимость). В целом было показано, что при высоком уровне способности к саморефлексии более низкая самооценка ассоциирована с ухудшением качества жизни. При низкой способности к саморефлексии эти взаимосвязи становились статистически незначимыми. Показатели Джонсона-Неймана были сходными. Для сферы WHOQOL–социальные отношения значимую связь наблюдали при оценке способности к саморефлексии, равной 3,06 балла или выше (32,5% выборки), а для сферы WHOQOL–физическое здоровье — при оценке, равной 3,13 балла или выше (32,5%). Для сферы WHOQOL–независимость значимую связь наблюдали при оценке способности к саморефлексии, равной 3,63 и более балла (25%). Кроме того, способность к саморефлексии оказывала значимое опосредующее влияние на взаимосвязь между баллом по шкалам RSES и оценкой сферы WHOQOL–окружающая среда. На всех уровнях способности к саморефлексии более низкая самооценка была связана с ухудшением качества жизни, однако эффект был более выраженным, когда способность к саморефлексии была высокой. При использовании процедуры Джонсона-Неймана не было обнаружено статистически значимых точек перехода (графики этих взаимодействий представлены на рис. 1). В моделях, изучающих взаимосвязь между баллами по шкале RSES и оценками сфер WHOQOL–психологическое благополучие или WHOQOL–духовность, не было выявлено значимых взаимодействий.
Таблица 2. Результаты оценки статистически значимого опосредующего влияния способности к саморефлексии при анорексии
| Анорексия | ||||
| Переменная | Коэффициент | SE | t | p | 
| Модели самооценки | ||||
| WHOQOL–социальные отношения: R2=0,40, F=7,91, p <0,001 | ||||
| Константа | 84,73 | 27,16 | 3,12 | 0,004 | 
| Самооценка | –1,67 | 1,09 | –1,53 | 0,135 | 
| Саморефлексия | –19,12 | 7,84 | –2,44 | 0,020 | 
| Взаимодействие: изменение R2=0,08 | 0,68 | 0,31 | 2,16 | 0,037 | 
| WHOQOL–физическое здоровье: R2=0.37, F=7,12, p <0,001 | ||||
| Константа | 114,45 | 37,15 | 3,08 | 0,004 | 
| Самооценка | –2,94 | 1,49 | –1,97 | 0,057 | 
| Саморефлексия | –27,98 | 10,72 | –2,61 | 0,013 | 
| Взаимодействие: изменение R2=0,12 | 1,11 | 0,43 | 2,57 | 0,014 | 
| WHOQOL–окружающая среда: R2=0,62, F=19,68, p <0,001 | ||||
| Константа | 233,47 | 62,0 | 3,77 | <0,001 | 
| Самооценка | –4,90 | 2,49 | –1,97 | 0,057 | 
| Саморефлексия | –59,04 | 17,89 | –3,30 | 0,002 | 
| Взаимодействие: изменение R2=0,10 | 2,18 | 0,72 | 3,04 | 0,004 | 
| WHOQOL–независимость: R2=0,17, F=2,49, p <0,07 | ||||
| Константа | 210,10 | 67,64 | 3,11 | 0,004 | 
| Самооценка | –5,88 | 2,72 | –2,16 | 0,037 | 
| Саморефлексия | –47,45 | 19,51 | –2,43 | 0,020 | 
| Взаимодействие: изменение R2=0,13 | 1,86 | 0,78 | 2,38 | 0,023 | 
| Модели симптомов депрессии | ||||
| WHOQOL–окружающая среда: R2=0,21, F=3,24, p <0,03 | ||||
| Константа | 70,55 | 28,04 | 2,52 | 0,017 | 
| Симптомы депрессии | 2,49 | 1,51 | 1,65 | 0,108 | 
| Саморефлексия | 9,68 | 8,36 | 1,16 | 0,255 | 
| Взаимодействие: изменение R2=0,13 | –0,88 | 0,45 | –1,97 | 0,057† | 
| WHOQOL–духовность R2=0,23, F=3,58, p <0,02 | ||||
| Константа | 6,22 | 7,28 | 0,85 | 0,399 | 
| Симптомы депрессии | 0,70 | 0,39 | 1,78 | 0,084 | 
| Саморефлексия | 2,93 | 2,17 | 1,35 | 0,185 | 
| Взаимодействие: изменение R2=0,10 | –0,25 | 0,12 | –2,12 | 0,041 | 
† — взаимодействие приближалось к статистически значимому уровню.
Примечание: WHOQOL–социальные отношения — сфера «Социальные отношения» опросника Всемирной организации здравоохранения для оценки качества жизни; WHOQOL–физическое здоровье — сфера «Физическое здоровье» опросника Всемирной организации здравоохранения для оценки качества жизни; WHOQOL–окружающая среда — сфера «Окружающая среда» опросника Всемирной организации здравоохранения для оценки качества жизни; WHOQOL–независимость — сфера «Уровень независимости» опросника Всемирной организации здравоохранения для оценки качества жизни; WHOQOL–духовность — сфера «Духовные, религиозные и личные убеждения» опросника Всемирной организации здравоохранения для оценки качества жизни.
Что касается симптомов депрессии, у лиц с анорексией способность к саморефлексии оказывала статистически значимое опосредующее влияние на взаимосвязь между баллами по шкале BDI и оценкой WHOQOL–духовная сфера (рис. 1). В модели, исследующей взаимосвязь между баллами по шкале BDI и оценкой сферы WHOQOL–окружающая среда, взаимодействие приближалось к уровню статистической значимости (p=0,057). В обеих моделях при высоком уровне способности к саморефлексии более высокие баллы по шкале BDI сопровождались более низкой оценкой WHOQOL, в то время как при более низком уровне способности к саморефлексии взаимосвязь была статистически незначимой. Для сферы WHOQOL–окружающая среда значимую связь наблюдали при оценке способности к саморефлексии, равной 3,31 балла или выше (32,5%), а для сферы WHOQOL–духовность — при оценке, равной 3,29 балла или выше (32,5%). В моделях, изучающих взаимосвязь между баллами по шкале BDI и всеми другими сферами WHOQOL, взаимодействия были статистически незначимыми.
Анализы модерации повторили для группы пациенток с булимией. В моделях модерации, оценивающих взаимосвязь между баллами по шкале RSES и оценками сфер WHOQOL (психологическое благополучие, социальные отношения, физическое здоровье, окружающая среда, независимость или духовность), не было обнаружено значимых взаимодействий. Аналогичным образом значимых взаимодействий не выявили в моделях, изучающих взаимосвязь между баллами по шкале BDI и оценками всех сфер WHOQOL.
Анализ модерации: мастерство
Результаты анализа модерации, оценивающего мастерство, представлены в табл. 3. В группе пациенток с анорексией уровень мастерства оказывал статистически значимое опосредующее влияние на взаимосвязь между баллами по шкале RSES и оценкой сферы WHOQOL–социальные отношения. При более низком уровне мастерства более низкий балл по шкале RSES сочетался с более низкими оценками сфер WHOQOL, а при более высоком уровне мастерства эти связи были статистически незначимыми. Показатели Джонсона-Неймана указывали на статистическую значимость этих взаимосвязей при оценке мастерства, равной 2,27 и менее (75% выборки). В моделях, изучающих взаимосвязь между баллами по шкале RSES и всеми другими сферами WHOQOL, взаимодействия были статистически незначимыми. Аналогичным образом, в группе пациенток с анорексией не выявили статистически значимых взаимодействий в моделях, изучающих взаимосвязь между баллами по шкале BDI и оценками всех сфер WHOQOL.
Таблица 3. Результаты оценки статистически значимого опосредующего влияния мастерства при анорексии
| Булимия | ||||
| Переменная | Коэффициент | SE | t | p | 
| Модели самооценки | ||||
| WHOQOL–физическое здоровье: R2=0,29, F=4,97, p <0,006 | ||||
| Константа | –13,72 | 22,50 | –0,61 | 0,546 | 
| Самооценка | 2,37 | 0,81 | 2,91 | 0,006 | 
| Мастерство | 15,07 | 7,30 | 2,06 | 0,046 | 
| Взаимодействие: изменение R2=0,14 | –0,72 | 0,27 | –2,69 | 0,011 | 
| WHOQOL–физическое здоровье: R2=0.24, F=3,73, p <0,02 | ||||
| Константа | –33,67 | 38,29 | –0,88 | 0,385 | 
| Самооценка | 3,88 | 1,38 | 2,80 | 0,008 | 
| Мастерство | 26,45 | 12,43 | 2,13 | 0,040 | 
| Взаимодействие: изменение R2=0,13 | –1,11 | 0,46 | –2,43 | 0,020 | 
| WHOQOL–окружающая среда: R2=0,28, F=4,59, p <0,008 | ||||
| Константа | 15,51 | 28,90 | 0,54 | 0,595 | 
| Самооценка | 3,36 | 1,04 | 3,21 | 0,003 | 
| Мастерство | 23,86 | 9,38 | 2,54 | 0,015 | 
| Взаимодействие: изменение R2=0,15 | –0,95 | 0,34 | –2,76 | 0,009 | 
| Модели симптомов депрессии | ||||
| WHOQOL–физическое здоровье: R2=0,49 1, F=11,44, p <0,001 | ||||
| Константа | 101,88 | 12,15 | 8,39 | <0,001 | 
| Симптомы депрессии | –2,84 | 0,89 | –3,20 | 0,003 | 
| Мастерство | –10,56 | 4,05 | –2,61 | 0,013 | 
| Взаимодействие: изменение R2=0,07 | 0,67 | 0,30 | 2,26 | 0,030 | 
| Анорексия | ||||
| Переменная | Коэффициент | SE | t | p | 
| Модели самооценки | ||||
| WHOQOL–социальные отношения: R2=0,36, F=6,89, p <0,001 | ||||
| Константа | –21,60 | 17,85 | –1,21 | 0,234 | 
| Самооценка | 2,41 | 0,75 | 3,20 | 0,003 | 
| Мастерство | 20,99 | 8,81 | 2,38 | 0,023 | 
| Взаимодействие: изменение R2=0,10 | –0,88 | 0,37 | –2,40 | 0,022 | 
Примечание: WHOQOL–физическое здоровье — сфера «Физическое здоровье» опросника Всемирной организации здравоохранения для оценки качества жизни; WHOQOL–психологическое благополучие — сфера «Психологическое благополучие» опросника Всемирной организации здравоохранения для оценки качества жизни; WHOQOL–окружающая среда — сфера «Окружающая среда» опросника Всемирной организации здравоохранения для оценки качества жизни; WHOQOL–социальные отношения — сфера «Социальные отношения» опросника Всемирной организации здравоохранения для оценки качества жизни.
Анализ модерации, оценивающий влияние мастерства, затем повторили в группе пациенток с булимией. В моделях, изучающих балл по шкале RSES и оценки сфер WHOQOL–физическое здоровье, WHOQOL–психологическое благополучие и WHOQOL–окружающая среда, были выявлены статистически значимые взаимодействия. Результаты, полученные во всех моделях, показали, что при более низком уровне мастерства более низкая самооценка была связана с ухудшением качества жизни, однако при высоком уровне мастерства взаимосвязь была статистически незначимой. Показатели Джонсона-Неймана были сходными во всех моделях. Для сферы WHOQOL–физическое здоровье наблюдали значимую взаимосвязь при оценке, равной 2,74 балла и менее (22,5%), в то время как для сферы WHOQOL–психологическое благополучие значимую связь наблюдали при оценке, равной 2,93 балла и менее (22,5%). Для сферы WHOQOL–окружающая среда взаимосвязь была значимой при оценке уровня мастерства, равной 3,02 балла и менее (77,5%) (графики этих взаимодействий представлены на рис. 2). Были обнаружены значимые взаимодействия в моделях, изучающих взаимосвязь между баллами по шкале RSES и оценками сфер WHOQOL–независимость, WHOQOL–социальные отношения, WHOQOL–духовность.
Что касается симптомов депрессии, в группе пациенток с булимией уровень мастерства оказывал статистически значимое опосредующее влияние на взаимосвязь между баллом по шкале BDI и оценкой сферы WHOQOL–психологическое благополучие (рис. 2). При низком уровне мастерства более высокие баллы по шкале BDI сопровождались более низкой оценкой WHOQOL, в то время как при более высоком уровне мастерства взаимосвязь была статистически незначимой. При оценке мастерства, равной 3,51 балла и менее (77,50%), наблюдали значимую взаимосвязь. В моделях, изучающих взаимосвязь между баллами по шкале BDI и всеми другими сферами WHOQOL у пациенток с булимией, взаимодействия были статистически незначимыми.
ОБСУЖДЕНИЕ
Насколько нам известно, данное исследование является первым, в котором изучали, влияют ли такие процессы метапознания, как способность к саморефлексии и мастерство, на взаимосвязь между самооценкой, симптомами депрессии и качеством жизни, и различается ли это влияние у лиц с анорексией или булимией. Как и ожидалось, в группах пациентов с различными РПП способность к саморефлексии и мастерство характеризовались противоположным опосредующим влиянием на взаимосвязи. В группе пациенток с анорексией, как и ожидалось, способность к саморефлексии оказывала опосредующее влияние на взаимосвязь между самооценкой и качеством жизни. Эта взаимосвязь заключалась в том, что при высоком уровне способности к саморефлексии низкая самооценка сопровождалась ухудшением качества жизни в нескольких сферах. Однако при низкой способности к саморефлексии данная связь не была статистически значимой. Аналогичным образом способность к саморефлексии оказывала опосредующее влияние на взаимосвязь между симптомами депрессии и качеством жизни. Так, при высоком уровне способности к саморефлексии более выраженные симптомы депрессии были ассоциированы с ухудшением качества жизни в нескольких сферах, однако при низкой способности к саморефлексии эта взаимосвязь была статистически незначимой. Важно отметить, что опосредующее влияние было статистически значимым только в группе пациенток с анорексией. В группе пациенток с булимией такие паттерны взаимосвязей выявлены не были. При оценке мастерства в качестве модератора выявили противоположные закономерности. Как и ожидалось, мастерство оказывало статистически значимое опосредующее влияние на взаимосвязь между самооценкой и качеством жизни в обеих группах пациенток с РПП. Эта взаимосвязь заключалась в том, что при низком уровне мастерства низкая самооценка сопровождалась ухудшением качества жизни в нескольких сферах. Однако при высоком уровне мастерства данная взаимосвязь не была статистически значимой. Аналогичным образом, у пациенток с булимией уровень мастерства оказывал статистически значимое опосредующее влияние на взаимосвязь между симптомами депрессии и качеством жизни — более выраженные симптомы депрессии были статистически значимо ассоциированы с ухудшением качества жизни, но только при низком уровне мастерства. Эти результаты свидетельствовали о том, что способность к саморефлексии и метакогнитивное мастерство оказывали противоположное опосредующее влияние, и что эти взаимосвязи различаются при анорексии и булимии.
Наши результаты согласуются с растущим объемом работ, которые подчеркивают важность метапознания при РПП [16] и дополняют недавнюю работу по изучению этих конструкций в рамках интегрированной модели метапознания [18]. Кроме того, эти результаты увеличивают объем данных, предполагающих, что нарушения способности размышлять о себе и других являются трансдиагностическим феноменом, играющим важную роль для исхода заболевания [2, 10, 34]. Важно отметить, что хотя в обеих диагностических группах способность к саморефлексии и метакогнитивное мастерство не характеризовались устойчивой двусторонней корреляцией с самооценкой, симптомами депрессии или качеством жизни, однако эти процессы метапознания оказывали статистически значимый модерирующий эффект на взаимосвязи между этими показателями. Это согласуется с предыдущими работами, подчеркивающими роль саморефлексии и мастерства как сдерживающих переменных в других популяциях [22, 24], а также развивает теорию о том, что способность человека замечать, различать, интерпретировать и интегрировать различные состояния собственной психики, а также понимать психосоциальные проблемы и эффективно реагировать на них может изменить влияние на него других важных психологических переживаний. Другими словами, структура, в которой человек переживает и осмысливает различные состояния собственной психики, влияет на то, как эти состояния воздействуют на исходы и другие показатели в последующем. Это важный вывод, который предполагает, что в дальнейших исследованиях следует обратить более пристальное внимание на способность к метапознанию при определении дифференцированного воздействия психологических переменных в популяции.
В группе пациенток с анорексией при высоком уровне способности к саморефлексии наблюдали устойчивую и статистически значимую взаимосвязь между самооценкой, симптомами депрессии и различными аспектами качества жизни, в то время как при низкой способности к саморефлексии эта взаимосвязь была статистически незначимой. Показатели Джонсона-Неймана свидетельствовали о том, что эти статистически значимые изменения преимущественно наблюдались при оценке способности к саморефлексии, равной примерно 3 баллам. При оценке, равной 3 баллам (при диапазоне шкалы от 0 до 9), участницы были способны идентифицировать и отличать различные когнитивные операции (например, мысль, желание, воспоминание), но не обязательно эмоциональные состояния или переживания [25]. Важно отметить, что способность распознавать изменения психического состояния с течением времени, включать мысли и эмоции в рассказ и осмысленно интегрировать внутренние психические переживания в рассказ о своей жизни наблюдали при гораздо более высоком уровне способности к саморефлексии (5–9 баллов). Это позволяет предположить, что, учитывая средние значения балла, у многих участниц в обеих группах РПП способность к саморефлексии после признания различных когнитивных и эмоциональных психических состояний была ограничена.
Также, напротив, в обеих группах пациенток с РПП статистически значимые взаимосвязи между самооценкой, депрессивными симптомами и аспектами качества жизни наблюдали при низком уровне мастерства, тогда как при высоком уровне мастерства данные взаимосвязи были статистически незначимыми. Показатели Джонсона-Неймана свидетельствовали о том, что эти изменения статистической значимости преимущественно наблюдали при оценке уровня мастерства, равной примерно 3 баллам и менее. При оценке уровня мастерства, равной 3 баллам и ниже, участницы могли быть неспособны идентифицировать и описать психологический дистресс и трудности, либо, если участницы способны идентифицировать ситуацию психологического дистресса, они могут быть неспособны осмысленно реагировать на эти трудности [25]. Способность отвечать на психологические трудности посредством поведенческого торможения, когнитивной реструктуризации и интеграции метакогнитивных знаний о себе и других проявляется на гораздо более высоких уровнях мастерства (5–9 баллов). Как и в случае способности к саморефлексии, учитывая средние баллы оценки уровня мастерства в выборке, у многих наших участниц способности к метапознанию были ограничены, помимо способности идентифицировать и описывать дистресс.
Результаты этого исследования свидетельствовали о том, что низкий уровень способности к саморефлексии может оказывать защитное действие при анорексии, в то время как более высокий уровень мастерства может также играть защитную роль как при булимии, так и при анорексии. Как описано выше, в группе пациенток с анорексией взаимосвязь между самооценкой, симптомами депрессии и качеством жизни была статистически незначимой при низком уровне способности к саморефлексии. Таким образом, низкий уровень способности к саморефлексии может компенсировать отрицательное влияние низкой самооценки и симптомов депрессии на качество жизни. Вероятно, более высокий уровень способности к саморефлексии помогает человеку лучше интегрировать свои внутренние переживания, позволяя ему воспринимать ожидаемые отрицательные последствия низкой самооценки и симптомов депрессии (т.е. низкое качество жизни), а также лучше оценивать эти переживания. Лучшее понимание и оценка этих переживаний также открывает пути для возможных вмешательств. Некоторым лицам может быть полезно развивать способность к саморефлексии во время лечения с одновременным наблюдением и поддержкой, чтобы справиться с любым возможным влиянием на исходы, которое может возникнуть по мере развития навыков саморефлексии. Хотя в некоторой степени низкий уровень способности к саморефлексии может играть защитную роль, важно также отметить, что такие люди могут не воспользоваться преимуществами для улучшения качества жизни, которые дают более высокая самооценка или менее выраженные симптомы депрессии. Таким образом, не исключено, что вмешательства, направленные на способность к саморефлексии, в сочетании с вмешательствами, направленными на самооценку и симптомы депрессии, могут улучшать качество жизни, хотя необходимы дополнительные исследования в этой области. Следует отметить, что полученные нами результаты могут просто отражать отсутствие статистической значимости. Это может быть частично связано с ограниченным объемом выборки в анализах модерации. Кроме того, у многих участниц нашего исследования уровень способности к саморефлексии был относительно низким. Для лучшего понимания этих взаимосвязей необходимо повторить это исследования на более крупных выборках с более широким диапазоном уровня способности к саморефлексии.
Напротив, более высокие уровни мастерства могут также играть защитную роль. Во всех группах взаимосвязь между самооценкой, симптомами депрессии и качеством жизни была статистически незначимой при высоком уровне мастерства, что позволило предположить, что более высокий уровень мастерства может защитить от отрицательного влияния низкой самооценки и симптомов депрессии на качество жизни, которое наблюдали при низком уровне мастерства. Высокий уровень мастерства может улучшать осмысление, переносимость и ответ на дистресс, связанный с низкой самооценкой и симптомами депрессии, что приводит к повышению качества жизни. Эти результаты свидетельствовали о том, что развитие навыков мастерства может принести пользу лицам с РПП, чтобы уменьшить отрицательное влияние на качество жизни в этих группах. Следует отметить, что у лиц с булимией эти модерирующие взаимосвязи наблюдались постоянно в нескольких сферах качества жизни.
В то же время, в группе пациенток с анорексией лишь одна модель показала статистическую значимость, что указывало на ухудшение качества жизни в сфере социальных отношений при низкой самооценке. Таким образом, влияние мастерства, вероятно, одинаково как при анорексии, так и при булимии. Однако необходимы дальнейшие исследования в этой области. Хотя данные, полученные в нашем исследовании, указывали на то, что способность к саморефлексии и мастерство являются важными модераторными переменными, они также подчеркивали непостоянство этих результатов при разных видах РПП. Действительно, полученные нами результаты указывали на наличие уникальной взаимосвязи со способностью к саморефлексии при анорексии, в то время как при булимии ее не было. Таким образом, наблюдалось опосредующее влияние как на самооценку, так и на симптомы депрессии во многих сферах качества жизни. Полученные нами результаты указывали также на наличие уникальной взаимосвязи с уровнем мастерства при булимии, как для самооценки, так и для симптомов депрессии во многих сферах качества жизни. При анорексии такую взаимосвязь наблюдали непостоянно. Есть несколько возможных объяснений этих различий между анорексией и булимией. Одним из объяснений может быть различие в симптоматике заболеваний. Например, в недавней работе было показано, что при булимии процессы метапознания связаны с рядом общих психопатологических симптомов, в то время как при анорексии процессы метапознания, по-видимому, связаны лишь с неупорядоченным пищевым поведением, и у этих пациентов наблюдались более выраженные нарушения процессов метапознания [18]. Кроме того, различиям между анорексией и булимией может способствовать уровень инсайта. У лиц с анорексией может наблюдаться значительное снижение уровня инсайта [35, 36], которое может включать неспособность осознать свое заболевание и его симптомы. Недостаточный уровень инсайта при анорексии вызывает значительные клинические последствия, включая уклонение от лечения, плохую приверженность к лечению и затруднения при оценке [37, 38]. Хотя в этом исследовании мы не определяли уровень инсайта, не исключено, что при анорексии способность к саморефлексии связана именно с ним, и что они вместе могут влиять на характерные для этой популяции пациентов способность к осознанию и осмыслению внутренних переживаний, таких как самооценка и симптомы депрессии. Эта теория согласуется с результатами ряда предыдущих работ, в которых использовали другую модель метапознания и обнаружили связь между процессами метапознания и инсайтом при анорексии [35]. Для исследования этого вопроса необходимы дальнейшие исследования.
Существует ряд важных ограничений, которые следует учитывать. Во-первых, выборка включала только женщин, что ограничивает возможность экстраполяции этих результатов на лиц другого пола. Кроме того, объем выборки в каждой диагностической группе был небольшим, что важно учитывать при интерпретации результатов этого исследования. В частности, ограниченный объем выборки в анализе модерации может влиять на статистически незначимую взаимосвязь между самооценкой, симптомами депрессии и качеством жизни при различных уровнях способности к саморефлексии и мастерства. Необходимы повторные исследования с более крупной выборкой, что может улучшить наше понимание модерирующих взаимосвязей, наблюдаемых в данном исследовании. В этом исследовании не было контрольной группы здоровых лиц для сравнения. Кроме того, мы изучали только взаимосвязи между самооценкой, симптомами депрессии и качеством жизни. Недостаточные навыки межличностного общения, нарушение социальных когнитивных функций и личностные особенности связаны с РПП и, как считается, способствуют неблагоприятному исходу заболевания [2, 39]. Процессы метапознания также могут влиять на эти взаимосвязи. Это может стать возможным направлением для изучения в следующих исследованиях. Кроме того, в объяснении взаимосвязи между процессами метапознания, самооценкой, симптомами депрессии и качеством жизни могут помочь другие переменные. Например, нейрокогнитивное функционирование и эгосинтония, играющие роль при РПП [40, 41], могут влиять на взаимосвязь между процессами метапознания, самооценкой, симптомами депрессии и качеством жизни в этой популяции пациентов. В этом исследовании мы не оценивали данные переменные, но последующее исследование с их включением может улучшить понимание этой взаимосвязи и иметь клиническое значение. Кроме того, данное исследование сосредоточено на двух конкретных процессах метапознания: способности к саморефлексии и мастерстве. В последующей работе следует изучить две дополнительные сферы в интегрированной модели метапознания — децентрацию и понимание чужого сознания. И наконец, в данном исследовании все данные были получены одномоментно. Поэтому нельзя сделать выводы о причинно-следственной связи или о том, как эти переменные могут взаимодействовать или изменяться с течением времени. Для дальнейшего изучения сложного характера этих взаимосвязей необходимы лонгитюдные исследования.
При получении аналогичных результатов данные, полученные в этом исследовании, могут иметь клиническое значение у лиц с РПП. Во-первых, учитывая различные взаимосвязи между самооценкой, симптомами депрессии и качеством жизни при разном уровне способности к саморефлексии и мастерства, процессы метапознания следует оценивать и учитывать при планировании лечения и выборе вмешательств. В частности, у лиц с анорексией вмешательства, направленные на самооценку или симптомы депрессии, могут с меньшей вероятностью положительно повлиять на различные аспекты качества жизни при низкой способности к саморефлексии. Кроме того, вмешательства, направленные на способность к метапознанию, включая индивидуальную метакогнитивную терапию (MERIT, Metacognitive Reflection and Insight Therapy) и метакогнитивную межличностную терапию, можно модифицировать для использования при РПП. Индивидуальная метакогнитивная терапия MERIT была успешно адаптирована в различных культурах для лечения пациентов с психозом [42–45], а метакогнитивную межличностную терапию адаптировали для лечения расстройств личности [42, 46]. Любое вмешательство можно адаптировать и улучшить для повышения качества жизни пациентов с анорексией или булимией.
ЗАКЛЮЧЕНИЕ
Насколько нам известно, это первое исследование, в котором изучали опосредующее влияние таких процессов метапознания, как способность к саморефлексии и мастерство, на взаимосвязь между самооценкой, симптомами депрессии и качеством жизни при РПП. Результаты показывают, что данные способности к метапознанию характеризовались парадоксальными взаимосвязями с этими переменными, которые различались у лиц с анорексией и булимией. В частности, было показано, что способность к саморефлексии влияла на взаимосвязь между самооценкой, симптомами депрессии и качеством жизни. При этом низкая самооценка и более выраженные симптомы депрессии были ассоциированы с ухудшением качества жизни при высокой способности к саморефлексии. В этом исследовании такая взаимосвязь наблюдалась только у лиц с анорексией. И наоборот, в обеих группах уровень мастерства оказывал опосредующее влияние на взаимосвязь между самооценкой, симптомами депрессии и качеством жизни, при этом низкая самооценка и выраженные симптомы депрессии были ассоциированы с ухудшением качества жизни, но только при низком уровне мастерства. В следующих работах необходимо продолжать изучение сложной роли способности к саморефлексии и мастерства при РПП. Всестороннее понимание этих взаимосвязей необходимо для обоснования возможных клинических вмешательств.
Вклад авторов: Кэйсси Спрингфилд, Келси Бонфилс и Пол Лайсакер написали первый вариант рукописи, готовили последующие варианты рукописи, разработали идею и цель исследования, подготовили обзор литературы; Кэйсси Спрингфилд и Келси Бонфилс выполнили статистический анализ; Ольга Карпенко, Надежда Дмитриева, Георгий Костюк, Никита Чернов, Татьяна Моисеева, Марта Созинова разработали дизайн исследования, обзор публикации, идею и цель исследования; Никита Чернов, Татьяна Моисеева, Марта Созинова, Надежда Дмитриева получали данные для анализа.
Финансирование: Статья была написана без дополнительного финансирования.
Конфликт интересов: Авторы заявляют об отсутствии конфликта интересов.
Об авторах
Кэйсси Спрингфилд
Университет Южного Миссисипи
							Автор, ответственный за переписку.
							Email: Cassi.Springfield@usm.edu
				                	ORCID iD: 0000-0003-1913-3156
				                																			                								
MA, Graduate student, School of Psychology, University of Southern Mississippi
США, ХаттисбергКелси Бонфилс
Университет Южного Миссисипи
														Email: kelsey.bonfils@usm.edu
				                	ORCID iD: 0000-0002-8556-5961
				                																			                								
Ph.D, Associate Professor, School of Psychology, University of Southern Mississippi
США, ХаттисбергНикита Владимирович Чернов
ГБУЗ «Психиатрическая клиническая больница № 1 им. Н.А. Алексеева Департамента здравоохранения города Москвы»
														Email: n.chernov.psy@bk.ru
				                	ORCID iD: 0000-0001-5347-0231
				                								Scopus Author ID: 83220238152
											                								
Head of the Department of Psychotherapy and Social Rehabilitation, Mental-health clinic No. 1 named after N.A. Alexeev
Россия, МоскваТатьяна Валентиновна Моисеева
ГБУЗ «Психиатрическая клиническая больница № 1 им. Н.А. Алексеева Департамента здравоохранения города Москвы»
														Email: Tmoiseeva@mail.ru
				                					                																			                								
PhD in psychology, Medical Psychologist, Mental-health clinic No. 1 named after N.A. Alexeev
Россия, МоскваМарта Владимировна Созинова
ГБУЗ «Психиатрическая клиническая больница № 1 им. Н.А. Алексеева Департамента здравоохранения города Москвы»
														Email: Sozinova2014@yandex.ru
				                	ORCID iD: 0000-0003-4990-8725
				                																			                								
Medical Psychologist, Mental-health clinic No. 1 named after N.A. Alexeev
Россия, МоскваНадежда Геластановна Дмитриева
ГБУЗ «Психиатрическая клиническая больница № 1 им. Н.А. Алексеева Департамента здравоохранения города Москвы»
														Email: alennoss@gmail.com
				                					                																			                								
Medical Psychologist, Mental-health clinic No. 1 named after N.A. Alexeev
Россия, МоскваПол Лайсакер
Медицинский центр им. Ричарда Л. Рудебуша по делам ветеранов; Университет Индианы
														Email: plysaker@iupui.edu
				                					                																			                								
PhD, Clinical Psychologist, Richard L Roudebush VA Medical Cent; Professor, Clinical Psychology Indiana University School of Medicine
США, Идианаполис; ИдианаполисОльга Анатольевна Карпенко
ГБУЗ «Психиатрическая клиническая больница № 1 им. Н.А. Алексеева Департамента здравоохранения города Москвы»
														Email: drkarpenko@gmail.com
				                	ORCID iD: 0000-0002-0958-0596
				                	SPIN-код: 9600-0688
							Scopus Author ID: 56654984500
											                								
MD, PhD, The head of scientific collaborations department, Mental-health clinic No. 1 named after N.A. Alexeev
Россия, МоскваГеоргий Петрович Костюк
ГБУЗ «Психиатрическая клиническая больница № 1 им. Н.А. Алексеева Департамента здравоохранения города Москвы»
														Email: editor@consortium-psy.com
				                	ORCID iD: 0000-0002-3073-6305
				                	SPIN-код: 3424-4544
							Scopus Author ID: 57200081884
											                								
Dr. Sci (Med.), Professor, Director of Mental-health Clinic No. 1 named after N.A. Alexeev, Editor-in-Chief, Consortium Psychiatricum
Россия, МоскваСписок литературы
- de la Rie SM, Noordenbos G, van Furth EF. Quality of life and eating disorders. Quality of Life Research. 2005;14(6):1511-22. doi: 10.1007/s11136-005-0585-0.
- Mason TB, Dayag R, Dolgon-Krutolow A, Lam K, Zhang D. A systematic review of maladaptive interpersonal behaviors and eating disorder psychopathology. Eating Behaviors. 2022;45:101601. doi: 10.1016/j.eatbeh.2022.101601.
- Colmsee ISO, Hank P, Bošnjak M. Low self-esteem as a risk factor for eating disorders. Zeitschrift für Psychologie. 2021;229(1):48-69. doi: 10.1027/2151-2604/a000433.
- Mora F, Alvarez-Mon MA, Fernandez-Rojo S, Ortega MA, Felix-Alcantara MP, Morales-Gil I, Rodriguez-Quiroga A, Alvarez-Mon M, Quintero J. Psychosocial factors in adolescence and risk of development of eating disorders. Nutrients. 2022;14(7):1481. doi: 10.3390/nu14071481.
- Björck C, Clinton D, Sohlberg S, Norring C. Negative self-image and outcome in eating disorders: results at 3-year follow-up. Eating Behaviors. 2007;8(3):398-406. doi: 10.1016/j.eatbeh.2006.12.002.
- Fewell LK, Levinson CA, Stark L. Depression, worry, and psychosocial functioning predict eating disorder treatment outcomes in a residential and partial hospitalization setting. Eating and Weight Disorders. 2017 Jun;22(2):291-301. doi: 10.1007/s40519-016-0357-6.
- Mischoulon D, Eddy KT, Keshaviah A, Dinescu D, Ross SL, Kass AE, Franko DL, Herzog DB. Depression and eating disorders: treatment and course. The Journal of Affective Disorders. 2011;130(3):470-7. doi: 10.1016/j.jad.2010.10.043.
- Moritz S, Lysaker PH. Metacognition — what did James H. Flavell really say and the implications for the conceptualization and design of metacognitive interventions. Schizophrenia Research. 2018;201:20-26. doi: 10.1016/j.schres.2018.06.001.
- Lysaker PH, Cheli S, Dimaggio G, Buck B, Bonfils KA, Huling K, Wiesepape C, Lysaker JT. Metacognition, social cognition, and mentalizing in psychosis: are these distinct constructs when it comes to subjective experience or are we just splitting hairs? BMC Psychiatry. 2021;21(1):329. doi: 10.1186/s12888-021-03338-4.
- Lysaker PH, Minor KS, Lysaker JT, Hasson-Ohayon I, Bonfils K, Hochheiser J, Vohs JL. Metacognitive function and fragmentation in schizophrenia: relationship to cognition, self-experience and developing treatments. Schizophrenia Research: Cognition. 2019;19:100142. doi: 10.1016/j.scog.2019.100142.
- Buck KD, Roe D, Yanos P, Buck B, Fogley RL, Grant M, et al. Challenges to assisting with the recovery of personal identity and wellness for persons with serious mental illness: considerations for mental health professionals. Psychosis. 2013;5(2):134–43. doi: 10.1080/17522439.2012.699544.
- Fischer MW, Dimaggio G, Hochheiser J, Vohs JL, Phalen P, Lysaker PH. Metacognitive capacity is related to self-reported social functioning and may moderate the effects of symptoms on interpersonal behavior. The Journal of Nervous and Mental Disorders. 2020;208(2):138-142. doi: 10.1097/NMD.0000000000001117.
- Leonhardt BL, Hamm JA, Belanger EA, Lysaker PH. Childhood sexual abuse moderates the relationship of self-reflectivity with increased emotional distress in schizophrenia. Psychosis. 2015;7(3):195–205. doi: 10.1080/17522439.2014.968858.
- Aloi M, Rania M, Carbone EA, Caroleo M, Calabrò G, Zaffino P, Nicolò G, Carcione A, Coco GL, Cosentino C, Segura-Garcia C. Metacognition and emotion regulation as treatment targets in binge eating disorder: a network analysis study. Journal of Eating Disorders. 2021;9(1):22. doi: 10.1186/s40337-021-00376-x.
- Olstad S, Solem S, Hjemdal O, Hagen R. Metacognition in eating disorders: Comparison of women with eating disorders, self-reported history of eating disorders or psychiatric problems, and healthy controls. Eating Behaviors. 2015;16:17–22. doi: 10.1016/j.eatbeh.2014.10.019.
- Palmieri S, Mansueto G, Ruggiero GM, Caselli G, Sassaroli S, Spada MM. Metacognitive beliefs across eating disorders and eating behaviours: a systematic review. Clinical Psychology & Psychotherapy. 2021;28(5):1254-1265. doi: 10.1002/cpp.2573.
- Sun X, Zhu C, So SHW. Dysfunctional metacognition across psychopathologies: a meta-analytic review. European Psychiatry. 2017;45:139-153. doi: 10.1016/j.eurpsy.2017.05.029.
- Lysaker PH, Chernov N, Moiseeva T, Sozinova M, Dmitryeva N, Makarova A, Kukla M, Myers E, Karpenko O, Kostyuk G. Contrasting metacognitive, emotion recognition and alexithymia profiles in bulimia, anorexia, and schizophrenia. The Journal of Nervous and Mental Disease. 2023;211(5):348-354. doi: 10.1097/NMD.0000000000001612.
- Lysaker PH, Dimaggio G, Daroyanni P, Buck KD, LaRocco VA, Carcione A, Nicolò G. Assessing metacognition in schizophrenia with the Metacognition Assessment Scale: associations with the Social Cognition and Object Relations Scale. Psychology and Psychotherapy. 2010;83(Pt 3):303-15. doi: 10.1348/147608309X481117.
- Janeck AS, Calamari JE, Riemann BC, Heffelfinger SK. Too much thinking about thinking?: Metacognitive differences in obsessive-compulsive disorder. Journal of Anxiety Disorders. 2003;17(2):181-95. doi: 10.1016/s0887-6185(02)00198-6.
- Lysaker PH, Roe D, Yanos PT. Toward understanding the insight paradox: internalized stigma moderates the association between insight and social functioning, hope, and self-esteem among people with schizophrenia spectrum disorders. Schizophrenia Bulletin. 2007;33(1):192-9. doi: 10.1093/schbul/sbl016.
- Faith LA, Lecomte T, Corbière M, Lysaker PH. Metacognitive mastery moderates the relationship between positive symptoms and distress in adults with serious mental illness. Journal of Mental Health. 2022;0(0):1–8. doi: 10.1080/09638237.2022.2091758.
- Lysaker PH, Erickson MA, Buck B, Buck KD, Olesek K, Grant ML, Salvatore G, Popolo R, Dimaggio G. Metacognition and social function in schizophrenia: associations over a period of five months. Cognitive Neuropsychiatry. 2011;16(3):241-55. doi: 10.1080/13546805.2010.530470.
- Bonfils KA, Minor KS, Leonhardt BL, Lysaker PH. Metacognitive self-reflectivity moderates the relationship between distress tolerance and empathy in schizophrenia. Psychiatry Research. 2018;265:1-6. doi: 10.1016/j.psychres.2018.04.042.
- Lysaker PH, Carcione A, Dimaggio G, Johannesen JK, Nicolò G, Procacci M, Semerari A. Metacognition amidst narratives of self and illness in schizophrenia: associations with neurocognition, symptoms, insight and quality of life. Acta Psychiatrica Scandinavica. 2005;112(1):64-71. doi: 10.1111/j.1600-0447.2005.00514.x.
- Lysaker PH, Clements CA, Plascak-Hallberg CD, Knipscheer SJ, Wright DE. Insight and personal narratives of illness in schizophrenia. Psychiatry. 2002;65(3):197-206. doi: 10.1521/psyc.65.3.197.20174.
- Lysaker PH, Chernov N, Moiseeva T, Sozinova M, Dmitryeva N, Alyoshin V, Faith LA, Karpenko O, Kostyuk G. Contrasting metacognitive profiles and their association with negative symptoms in groups with schizophrenia, early psychosis and depression in a Russian sample. Psychiatry Research. 2020;291:113177. doi: 10.1016/j.psychres.2020.113177.
- Rosenberg M. Society and the adolescent self-image. Rev. ed., 1st Wesleyan ed. Middletown, Conn: Wesleyan University Press; 1989. xxxii, 347 p.
- Beck AT, Steer RA, Ball R, Ranieri WF. Comparison of beck depression inventories-IA and-II in psychiatric outpatients. Journal of Personality Assessment. 1996;67(3):588–97. doi: 10.1207/s15327752jpa6703_13.
- The World Health Organization Quality of Life assessment (WHOQOL): position paper from the World Health Organization. Social Science & Medicine. 1995 Nov;41(10):1403–9.
- Hayes AF. Introduction to mediation, moderation, and conditional process analysis, second edition: a regression-based approach. Guilford Publications; 2017. 713 p.
- Rogosa D. Comparing nonparallel regression lines. Psychological Bulletin. 1980;88(2):307–21.
- Bauer DJ, Curran PJ. Probing interactions in fixed and multilevel regression: inferential and graphical techniques. Multivariate Behavioral Research. 2005;40(3):373–400. doi: 10.1207/s15327906mbr4003_5.
- Lysaker PH, George S, Chaudoin-Patzoldt KA, Pec O, Bob P, Leonhardt BL, Vohs JL, James AV, Wickett A, Buck KD, Dimaggio G. Contrasting metacognitive, social cognitive and alexithymia profiles in adults with borderline personality disorder, schizophrenia and substance use disorder. Psychiatry Research. 2017;257:393-399. doi: 10.1016/j.psychres.2017.08.001.
- Arbel R, Koren D, Klein E, Latzer Y. The neurocognitive basis of insight into illness in anorexia nervosa: a pilot metacognitive study. Psychiatry Research. 2013;209(3):604-10. doi: 10.1016/j.psychres.2013.01.009.
- Gorwood P, Duriez P, Lengvenyte A, Guillaume S, Criquillion S; FFAB network. Clinical insight in anorexia nervosa: Associated and predictive factors. Psychiatry Research. 2019;281:112561. doi: 10.1016/j.psychres.2019.112561.
- Radunz M, Ali K, Wade TD. Pathways to improve early intervention for eating disorders: Findings from a systematic review and meta-analysis. International Journal of Eating Disorders. 2023;56(2):314-330. doi: 10.1002/eat.23845.
- Vitousek K, Watson S, Wilson GT. Enhancing motivation for change in treatment-resistant eating disorders. Clin Psychol Rev. 1998 Jun;18(4):391–420. doi: 10.1016/s0272-7358(98)00012-9.
- Mason TB, Lesser EL, Dolgon-Krutolow AR, Wonderlich SA, Smith KE. An updated transdiagnostic review of social cognition and eating disorder psychopathology. Journal of Psychiatric Research. 2021 Nov;143:602-627. doi: 10.1016/j.jpsychires.2020.11.019.
- Gregertsen EC, Mandy W, Serpell L. The egosyntonic nature of anorexia: an impediment to recovery in anorexia nervosa treatment. Frontiers in Psychology. 2017;8:2273. doi: 10.3389/fpsyg.2017.02273.
- Smith KE, Mason TB, Johnson JS, Lavender JM, Wonderlich SA. A systematic review of reviews of neurocognitive functioning in eating disorders: The state-of-the-literature and future directions. International Journal of Eating Disorders. 2018;51(8):798-821. doi: 10.1002/eat.22929.
- Cheli S, Lysaker PH, Dimaggio G. Metacognitively oriented psychotherapy for schizotypal personality disorder: A two-case series. Personalal Mental Health. 2019;13(3):155-167. doi: 10.1002/pmh.1447.
- Dmitryeva N, Chernov N, Kostyuk G, Lysaker PH. Utilizing MERIT to promote recovery in schizotypal personality disorder: an illustrative case study. The Journal of Clinical Psychology. 2021;77(8):1798-1806. doi: 10.1002/jclp.23239.
- Dubreucq J, Delorme C, Roure R. Metacognitive therapy focused on psychosocial function in psychosis. Journal of Contemporary Psychotherapy: On the Cutting Edge of Modern Developments in Psychotherapy. 2016;46:197–206.
- Hasson-Ohayon I, Avidan-Msika M, Mashiach-Eizenberg M, Kravetz S, Rozencwaig S, Shalev H, Lysaker PH. Metacognitive and social cognition approaches to understanding the impact of schizophrenia on social quality of life. Schizophrenia Research. 2015;161(2-3):386-91. doi: 10.1016/j.schres.2014.11.008.
- Popolo R, MacBeth A, Lazzerini L, Brunello S, Venturelli G, Rebecchi D, Morales MF, Dimaggio G. Metacognitive interpersonal therapy in group versus TAU + waiting list for young adults with personality disorders: Randomized clinical trial. Personal Disorders. 2022;13(6):619-628. doi: 10.1037/per0000497
Дополнительные файлы
 
				
			 
						 
					 
						 
									 
  
  
  Отправить статью по E-mail
			Отправить статью по E-mail 



