Динамика клинико-психопатологических проявлений и качества социального функционирования пациентов с шизофренией, получающих палиперидон пальмитат в разных лекарственных формах: неинтервенционное наблюдательное исследование
- Авторы: Резник А.М.1,2,3,4, Карпенко О.А.1, Шумакова Е.А.3, Мудрак А.В.1, Соколов А.В.1, Назимова С.В.2,5, Сайфулина А.М.6, Елисеенко А.М.7, Матвиевская Т.К.3, Ханнанова А.Н.2,3,8, Ревенко В.И.2,4, Щербаков Д.В.3, Мартынюк Ю.Л.3, Арбузов А.Л.2,4, Яценко О.А.2, Алексеева П.Н.1, Бердалин А.Б.1, Бурыгина Л.А.3
- 
							Учреждения: 
							- ГБУЗ «Психиатрическая клиническая больница №1 им. Н.А. Алексеева ДЗМ»
- ФГБОУ ВО «Российский биотехнологический университет (РОСБИОТЕХ)»
- ГБУЗ «Психиатрическая клиническая больница № 4 им. П.Б. Ганнушкина ДЗМ»
- ГБУЗ Московской области «Психиатрическая больница № 5»
- ФГБНУ «Научный центр психического здоровья»
- ООО «МАЙНДСЕТ»
- ООО «Эмпатия»
- Московский государственный университет им. М.В. Ломоносова
 
- Выпуск: Том 5, № 4 (2024)
- Страницы: 16-38
- Раздел: ИССЛЕДОВАНИЕ
- URL: https://journal-vniispk.ru/2712-7672/article/view/309816
- DOI: https://doi.org/10.17816/CP15567
- ID: 309816
Цитировать
Аннотация
ВВЕДЕНИЕ: За последние семь лет в России отмечается заметный рост применения пролонгированных форм антипсихотиков. В частности, в Москве с 2016 по 2021 годы доля инъекционных форм пролонгированных антипсихотиков увеличилась более чем в 7 раз (с 3% до 23%). Исследования показали, что правильный выбор целевых групп для такой терапии может уменьшить частоту рецидивов с госпитализацией, снизить затраты на стационарную помощь и сместить акцент терапевтической помощи от многоразового приема препаратов к психосоциальной работе.
ЦЕЛЬ: Изучение динамики психосоциального функционирования и клинико-психопатологических проявлений у пациентов с шизофренией в период становления ремиссии на фоне терапии различными формами палиперидона: пероральной формой палиперидона (ПО), палиперидона пальмитатом для введения один раз в месяц (ПП1М) и палиперидона пальмитатом для введения раз в три месяца (ПП3М).
МЕТОДЫ: В наблюдение были включены 155 пациентов: 54 пациента после лечения другим антипсихотиком второго поколения получали палиперидон для перорального применения (ПО), 50 пациентам после лечения другим антипсихотиком были назначены инъекции ПП1М, 51 пациенту после купирования обострения и 4 месяцев лечения ПП1М назначались инъекции ПП3М. Период наблюдения составил 12 месяцев. Оценка личностного и социального функционирования проводилась пять раз: до начала лечения, спустя 3, 6, 9 и 12 месяцев.
РЕЗУЛЬТАТЫ: Терапия во всех группах привела к статистически значимому снижению выраженности позитивных симптомов (p <0,001). При этом более чувствительными к терапии оказались галлюцинации (p <0,001), тогда как остаточный бред оставался более устойчив к терапии. В группе ПП1М и ПП3М больше пациентов полностью завершили программу исследования (n=24, 48,0% и n=30, 58,8% соответственно) по сравнению с группой ПО (n=11, 20,4%). При этом в группе ПП3М отмечалось наилучшее следование назначенной схеме терапии, максимальное число пациентов, полностью завершивших исследование, равное с другими группами количество случаев обострений или недостаточной эффективности.
ЗАКЛЮЧЕНИЕ: Терапия различными лекарственными формами палиперидона обеспечивает примерно равный темп и интенсивность редукции общей тяжести шизофрении, позитивных и негативных симптомов. В группе ПП3М наблюдалось лучшее соблюдение назначенной схемы терапии и наибольшее количество пациентов, полностью завершивших исследование.
Полный текст
ВВЕДЕНИЕ
Применение инъекционных пролонгированных форм антипсихотиков (long-acting injectable antipsychotics) представляет собой эффективный вариант лечения шизофрении, который позволяет преодолеть неоптимальную приверженность пациентов назначенной терапии, ведущую к рецидивам болезни [1–12]. Причем если раньше такие формы препаратов обыкновенно назначались при хроническом течении болезни, когда в скором рецидиве психоза уже не было сомнений, то клинический опыт и научные исследования последних лет показали, что инъекционные пролонгированные формы антипсихотиков обеспечивают эффективную стратегию лечения пациентов с ранней фазой или первым эпизодом заболевания, при которых предотвращение рецидивов приносит наибольшую пользу [2, 4, 12].
Однако инъекционные пролонгированные формы антипсихотиков длительное время недостаточно использовались в мировой клинической практике и до последнего времени не были распространены в отечественной [13–16]. К сожалению, чаще всего игнорирование назначения инъекционных пролонгированных форм антипсихотиков связано с недостатком знаний и со стойкими убеждениями врачей в том, что пролонгированные формы характеризуются большим риском нежелательных явлений (НЯ) и трудностью их коррекции, а также с тем действительным фактом, что наиболее современные пролонгированные формы дороги и бывают недоступны для широкого применения [2].
Несмотря на имеющиеся противоречия в оценке пользы и рисков лечения шизофрении инъекционными пролонгированными формами антипсихотиков и неодинаковые результаты рандомизированных контролируемых исследований (РКИ), посвященных этой теме [17–22], большинство исследований, как рандомизированных, так и натуралистических, доказывают эффективность терапии пролонгированными формами палиперидона у пациентов с шизофренией [23–38]. Отмечается, что палиперидона пальмитат снижает выраженность позитивных, негативных симптомов, враждебности и агрессии, оказывает прокогнитивное действие [25, 26, 35, 39–41].
Инъекционные пролонгированные формы палиперидона оказывают противорецидивное действие, доказанное в РКИ, метаанализах, наблюдательных исследованиях разной длительности [3, 4, 28, 30–32, 38, 39, 42–48]. При этом из всех форм палиперидона лекарственная форма для введения 1 раз в 3 месяца в наибольшей степени снижает число рецидивов с госпитализацией и способствует стабилизации ремиссии, что подтверждается продолжительными сроками между датой отмены препарата и датой наступления обострения [16, 26, 30, 35, 36, 40, 48]. В исследованиях эффективности инъекционных пролонгированных форм палиперидона были обнаружены ценные для практического использования предикторы устойчивости ремиссии, в частности уменьшение на 1 балл значения негативного фактора Мардера [49] «Шкалы оценки позитивных и негативных симптомов» (Positive and Negative Syndrome Scale, PANSS) и снижение на 1 балл значения субшкалы тяжести состояния «Шкалы общего клинического впечатления» (Clinical Global Impression Scale — Severity, CGI-S), а также увеличение на 7–10 баллов итогового значения «Шкалы личностного и социального функционирования» (Personal and Social Performance, PSP) [50]. Однако последние метаанализы не позволяют сделать однозначный вывод о превосходстве инъекционных пролонгированных форм палиперидона пальмитата в отношении противорецидивного действия над другими оральнымии инъекционными антипсихотиками обоих поколений [38, 47].
Лечение инъекционными пролонгированными формами палиперидона характеризуется лучшей, в сравнении с антипсихотиками первого поколения и даже другими пероральными антипсихотиками второго поколения, приверженностью больных назначенной терапии [28, 29, 36, 39, 42, 43]. Причем улучшение удовлетворенности результатами лечения и следование назначенной терапии пролонгированными формами палиперидона отмечаются в том числе и у пациентов с тяжелой шизофренией [29, 39], которым, однако, для достижения клинической стабилизации требовались высокие дозы препарата [29]. В отдельных исследованиях показано, что палиперидона пальмитат способен заменить клозапин в лечении резистентной шизофрении [33], снижает риск суицидального поведения [30].
Считается, что палиперидона пальмитат хорошо переносится в любой лекарственной форме [24–26, 28, 29, 39, 51]. При его применении снижается частота назначений транквилизаторов и корректоров экстрапирамидной симптоматики, не отличающаяся от таковой у больных, принимающих плацебо [30, 38, 40, 51]. Лишь небольшое число пациентов прекращает терапию по причине НЯ, и отмечается постепенное убывание доли умеренных и выраженных НЯ [16]. Значимо чаще, чем в группе плацебо, наблюдаются такие НЯ, как увеличение массы тела, гиперпролактинемия и связанные с ней клинические проявления [35, 38, 47].
В ряде публикаций подчеркивается благотворное влияние инъекционных пролонгированных форм палиперидона на качество жизни и уровень социального функционирования больных шизофренией [26, 36, 40, 41, 45]. Положительный эффект этой терапии особенно выражен у пациентов с первым эпизодом или недлительным сроком заболевания [35, 37, 40, 44], например менее 5 лет или 6–10 лет, по сравнению с теми, у которых болезнь длилась более 10 лет [26]. Получены данные, что скорейшее назначение палиперидона пальмитата для введения 1 раз в 3 месяца (ПП3М) (paliperidone palmitate 3-monthly injectable) улучшает социальное функционирование, увеличивает продолжительность ремиссий и способствует формированию так называемой функциональной ремиссии, которая характеризуется возвращением прежнего социального статуса и характера деятельности [16, 28, 30, 41, 45, 46, 48, 50, 52, 53].
Внедрение пролонгированных форм палиперидона ассоциировано со снижением прямых и косвенных затрат, нагрузки на здравоохранение, числа госпитализаций и посещений врача [43, 54, 55]. Высокий уровень ответа на терапию, приверженность лечению и быстрая динамика улучшения социального функционирования на фоне приема палиперидона пальмитата против известных особенностей начальных этапов шизофрении — высокого потенциала рецидивирования и риска несоблюдения медикаментозной терапии — стали основанием рекомендовать инъекционные пролонгированные формы палиперидона, в том числе ПП3М, не длительно болеющим пациентам, а пациентам на как можно ранних этапах заболевания [4]. Такая смена подходов была доказана в исследованиях [35, 37] и кратко выражена в евангельском изречении «Последние станут первыми», использованном Стефаном Шталем [56] в тексте и названии одной из его статей, посвященной применению пролонгированных антипсихотиков.
В России последние примерно 7 лет отмечается заметный рост применения пролонгированных антипсихотиков первого и второго поколений [13–15]. В частности, в Москве с 2016 по 2021 г. удельный вес инъекционных пролонгированных форм антипсихотиков увеличился более чем в 7 раз (с 3 до 23%). Причем если в 2013–2015 гг. среди назначавшихся инъекционных пролонгированных форм антипсихотиков превалировал рисперидон (76–77%), то с 2016 по 2021 г. структура назначений изменилась за счет увеличения удельного веса палиперидона. К 2021 г. соотношение пролонгированных форм палиперидона и рисперидона характеризуется преобладанием палиперидона пальмитата: доля палиперидона пальмитата для введения 1 раз в месяц (ПП1М) (paliperidone palmitate 1-monthly injectable) составляет 37%, ПП3М — 26% (всего 63%), доля пролонгированного рисперидона — 37% [14]. Исследования показали, что правильный отбор групп-мишеней для такой терапии может обеспечить сокращение более чем на порядок рецидивов с госпитализацией, снижение затрат на больничную помощь, смещение центра тяжести помощи от контроля многоразового приема препаратов к психосоциальной работе с акцентом на своевременное распознавание риска рецидива, формированием мотивации к выздоровлению, продолжению учебы и трудоустройству [16]. Вместе с тем для уточнения и подтверждения нюансов действия препарата на различные проявления хронической психической болезни, ее социальные последствия и влияние на иные органы и системы желательно проведение повторных исследований, в том числе прагматических РКИ, в условиях, наиболее приближенных к реальной клинической практике [12, 29, 42].
Цель исследования — изучение динамики психосоциального функционирования и клинико- психопатологических проявлений у больных шизофренией в период становления ремиссии на фоне терапии различными лекарственными формами палиперидона: пероральной формой палиперидона (ПП), ПП1М и ПП3М.
В задачи наблюдательной программы входило:
- получить данные о длительности продолжения назначенной поддерживающей терапии шизофрении пролонгированными формами антипсихотика в сравнении с пероральной формой;
- провести качественную и количественную оценку тяжести психотических симптомов в динамике на фоне терапии пролонгированными формами антипсихотика с разной длительностью действия по сравнению с пероральной формой антипсихотика;
- провести качественную и количественную оценку тяжести негативных симптомов в динамике на фоне терапии пролонгированными формами антипсихотика с разной длительностью действия по сравнению с пероральной формой антипсихотика;
- провести качественную и количественную оценку показателей социального функционирования в динамике на фоне терапии пролонгированными формами антипсихотика с разной длительностью действия по сравнению с пероральной формой антипсихотика;
- оценить частоту, представленность и тяжесть НЯ при лечении пролонгированными формами антипсихотика с разной длительностью действия.
МЕТОДЫ
Дизайн исследования
Обсервационное (наблюдательное) когортное проспективное исследование динамики клинических проявлений и уровня социального функционирования у больных параноидной шизофренией проведено на базе специализированных лечебных и научно- исследовательских учреждений города Москвы и Московской области (Россия): ГБУЗ «Психиатрическая клиническая больница № 1 им. Н.А. Алексеева Департамента здравоохранения города Москвы» (далее — ГБУЗ ПКБ № 1 ДЗМ), ГБУЗ «Психиатрическая клиническая больница № 4 им. П.Б. Ганнушкина Департамента здравоохранения города Москвы», ГБУЗ Московской области «Психиатрическая больница № 5».
Условия проведения исследования
Все пациенты получали терапию палиперидоном или палиперидона пальмитатом исходя из клинической необходимости и согласно действующим в Российской Федерации клиническим рекомендациям по терапии шизофрении. В настоящем исследовании выборка была сформирована из мужчин и женщин с подтвержденным диагнозом «шизофрения», которым было показано в качестве вариантов терапии лечение палиперидоном для приема внутрь в суточной дозе от 3 до 12 мг, палиперидона пальмитатом в лекарственной форме для внутримышечного введения 1 раз в месяц в разрешенных дозах от 50 до 150 мг и для внутримышечного введения 1 раз в 3 месяца в разрешенных дозах от 175 до 525 мг.
Проведение и сбор данных в рамках настоящего исследования включали общий период наблюдения за пациентами с шизофренией с 18 марта 2021 г. по 11 апреля 2023 г. Максимальная продолжительность наблюдения за пациентом составляла 12 месяцев (360±7 дней).
Этическая экспертиза
Все пациенты, за динамикой психического состояния и социального функционирования которых проводилось наблюдение, получали полную информацию о проводимом исследовании и давали письменное согласие на участие в нем. Протокол исследования, информация пациенту об исследовании и форма информированного согласия пациента, индивидуальная регистрационная карта рассмотрены и проведение исследования было одобрено на заседании Независимого этического комитета при ГБУЗ ПКБ № 1 ДЗМ (протокол заседания № 01 от 1 марта 2021 г.).
Участники
Критерии включения в наблюдательное исследование следующие.
Все обследуемые:
- диагностированная согласно Международной классификации болезней 10-го пересмотра (МКБ-10) параноидная шизофрения (F20), в том числе F20.00 — непрерывное течение, F20.01 — эпизодическое течение с нарастающим дефектом, F20.02 — эпизодическое течение со стабильным дефектом, F20.03 — эпизодическое ремиттирующее (рекуррентное) течение, F20.09 — период наблюдения менее года;
- пациенты мужского или женского пола в возрасте от 18 до 65 лет включительно на момент предоставления согласия на участие в наблюдении;
- показание к длительной антипсихотической терапии, вариантом которой, по мнению лечащего врача, может быть применение палиперидона перорально (ПП), или палиперидона пальмитата в лекарственной форме для ежемесячного внутримышечного применения (ПП1М), или палиперидона пальмитата в лекарственной форме для внутримышечного применения каждые 3 месяца (ПП3М) (решение врача о назначении препарата определяется клиническими показаниями, а не дизайном исследования);
- наличие легких или умеренных бредовых идей или галлюцинаций, которые, однако, не требуют интенсификации терапии или обратной смены организационной формы психиатрической помощи (например, возвращения в круглосуточный стационар или стационар дневного пребывания);
- письменное информированное согласие пациента на сбор социально-демографических и медицинских данных и ответы на вопросы психометрических шкал, а также на обработку обезличенных персональных социально-демографических и медицинских данных;
- перенесенное и завершившееся от 3 до 6 месяцев назад обострение шизофрении, лечение которого позволило добиться симптоматического улучшения и перейти на момент предоставления согласия к этапу долечивания (стабилизации) и противорецидивной терапии;
- выявленное на основании медицинского осмотра, анамнеза и основных показателей жизнедеятельности отсутствие заболеваний, которые, по мнению врача и после рассмотрения инструкции лекарственного препарата (Guideline on Summary of Product Characteristics, SmPC), являются противопоказанием для приема палиперидона.
1-я группа:
- пациент получает лечение ПП не более 7 дней, и решение о назначении палиперидона для приема внутрь в любой дозе было принято лечащим врачом в интересах лечения больного исходя из клинической необходимости, а не в целях исследования;
- пациент после купирования экзацербации шизофрении в течение не менее 4 месяцев получал другой антипсихотик.
2-я группа:
- пациент не более 7 дней назад начал курс лечения ПП1М, или лечащим врачом в интересах лечения больного принято решение о назначении палиперидона пальмитата для внутримышечного применения 1 раз в месяц в любой дозе исходя из клинической необходимости;
- пациент после купирования экзацербации шизофрении в течение не менее 4 месяцев получал другой антипсихотик с предшествующим включению во 2-ю группу инициальным курсом ПП или рисперидона любой длительности, но не менее 3 суток.
3-я группа:
- пациент не более 7 дней назад начал курс лечения палиперидона пальмитатом для внутримышечного применения 1 раз в 3 месяца, или лечащим врачом в интересах лечения больного принято решение о назначении палиперидона пальмитата для внутримышечного применения 1 раз в 3 месяца в любой дозе исходя из клинической необходимости;
- пациент после купирования экзацербации шизофрении в течение не менее 4 месяцев получал ПП1М.
Критерии невключения были следующие.
Все обследуемые:
- наличие диагноза любого другого психического расстройства, кроме параноидной шизофрении;
- отказ пациентов от участия в наблюдении и/или оценки его психического состояния с помощью клинических психометрических шкал;
- участие пациента в любом другом клиническом или наблюдательном исследовании лекарственных средств или других методов лечения;
- противопоказания к назначению палиперидона, которые определялись лечащим врачом на основании клинической картины болезни, имеющихся сопутствующих заболеваний и других индивидуальных рисков, а также противопоказаний, указанных в утвержденной Минздравом РФ инструкции по применению палиперидона;
- наличие клинически значимых соматических заболеваний: почек, печени, сердечно-сосудистой системы, дыхательной системы, цереброваскулярных расстройств в стадии декомпенсации, онкологических и других прогрессирующих болезней, при котором назначение и дальнейшее применение палиперидона противопоказано;
- выявление в анамнезе тяжелой лекарственной аллергии или гиперчувствительности к палиперидону, рисперидону или их компонентам либо аллергии на три (или более) любых лекарственных препарата;
- другие противопоказания к применению палиперидона, которые определены инструкциями или на основании мнения врача.
Пациент исключался из программы в случаях:
- отзыва информированного согласия, отказа от приема назначенных в рамках программы лекарств или отказа от выполнения процедур наблюдательной программы;
- необходимости отмены палиперидона из-за появления побочных эффектов, возникновения риска ухудшения соматического состояния или ухудшения психического состояния;
- возникновения, по мнению врача, необходимости изменения схемы терапии, например смены антипсихотика или назначения второго антипсихотика с выраженным избирательным антипсихотическим действием;
- любых других ситуаций, когда отмена, изменение терапии или решение о прекращении наблюдения принимались лечащим врачом или пациентом в интересах последнего;
- других обстоятельств, мешающих надлежащему лечению и наблюдению за пациентом.
Пациенты, за динамикой психического состояния которых проводилось наблюдение, были рандомизированы на 3 группы в зависимости от получаемого лечения: 1) ПП; 2) ПП1М; 3) ПП3М. Поскольку наблюдавшиеся больные имели индивидуально выраженную симптоматику, течение и анамнез шизофрении, допускался прием сопутствующей терапии (нормотимиков, антидепрессантов, транквилизаторов и других препаратов с преимущественно седативным действием, корректоров побочных неврологических симптомов), которая назначалась лечащим врачом по показаниям — в связи с имеющимися аффективными расстройствами, нарушениями сна, побочными эффектами психофармакотерапии. Назначение, отмена, выбор и изменение дозы всех лекарственных форм палиперидона и других сопутствующих препаратов определялись показаниями к применению этих препаратов и рекомендованными в инструкциях дозами, клинической необходимостью и интересами пациентов, а не целями исследования.
В наблюдательную программу включено 155 пациентов, которые завершили программу наблюдения или выбыли из наблюдения по разным причинам. Качественное определение психопатологических проявлений и порядковая оценка выраженности симптомов проводились исходно, до начала лечения, в 1-й день (визит 1) и далее: на 90-й (визит 2), 180-й (визит 3), 270-й (визит 4), 360-й (визит 5) дни амбулаторного лечения с допустимым интервалом ±7 дней. Таким образом, максимальная продолжительность периода наблюдения за каждым пациентом составляла 360 дней (52 недели, или 12 месяцев).
Иcточники данных
Основным методом сбора данных являлся клинико- описательный, включавший изучение анамнеза, выяснение жалоб больного на здоровье, наблюдение за его психическим и соматическим состоянием в динамике, выяснение особенностей его социального функционирования. Для проведения исследования была разработана индивидуальная регистрационная карта, включавшая обезличенные данные о возрасте, диагнозе, сопутствующей терапии, наличии или отсутствии НЯ терапии, преобладающей симптоматике и ее выраженности. Регистрировалось время начала и завершения исследования с указанием причин последнего.
Измерения
Для количественной оценки динамики различных клинических проявлений шизофрении и качества социального функционирования на всех визитах применялись следующие порядковые шкалы.
- «Шкала личностного и социального функционирования» (Personal and Social Performance, PSP), разработанная в результате интеграции «Шкалы оценки социального и профессионального функционирования» (Social and Occupational functioning Assessment Scale, SOFAS) (DSM-IV) и «Шкалы общей оценки функционирования» (Global Assessment Functioning, GAF). PSP представляет собой шкалу с максимальным рейтингом 100 баллов, которые разделены на 10 одинаковых интервалов, имеющих порядковое обозначение [57]. При оценке учитываются 4 категории функционирования: потенциально полезная деятельность, отношения с близкими и прочие социальные отношения, самообслуживание, беспокоящее и агрессивное поведение. Шкала зарекомендовала себя как надежный и быстрый способ измерения личностного и социального функционирования, обладающий рядом преимуществ по сравнению с другими инструментами [57–61].
- «Шкала клинической оценки тяжести симптомов психоза» (Clinician-Rated Dimensions of Psychosis Symptom Severity, CRDPSS) (DSM-5) дает врачу- клиницисту возможность произвести размерную оценку основных симптомов психоза, включая галлюцинации, бред, дезорганизованную речь, аномальное психомоторное поведение, негативные симптомы, а также когнитивные нарушения, депрессию и манию, — всего по 8 пунктам. Оценка тяжести симптомов психоза производится по 5-балльной шкале от 0 (симптом отсутствует) до 4 (симптом присутствует и значительно выражен) на основании мнения клинициста и может быть заполнена во время рутинного клинического обследования. Клиницисту предлагается оценить тяжесть каждого симптома, который пациент испытывал в течение последних 7 дней [62–65]. Несмотря на противоречивые и даже критические оценки согласованности CRDPSS, конвергентной валидности и межэкспертной надежности результатов [66, 67], мы попробовали ее применить, поскольку она остается доступным в общей практике инструментом, основанным на клиническом осмотре, и может быть полезной в квалификации выраженности разных признаков шизофрении и прогнозирования течения психоза [68].
- «Шкала дифференцированной оценки симптомов» (Symptoms Qualifier Scales, SQS) (МКБ-11) включает иные 6 разделов (доменов) психических нарушений, которые часто наблюдаются у лиц с первичными психотическими расстройствами: позитивные, негативные, депрессивные, маниакальные, психомоторные и когнитивные симптомы. Эти разделы «были выбраны Рабочей группой МКБ-11 по шизофрении и другим первичным психотическим расстройствам путем тщательного анализа литературы и процесса научной проверки. Действительно, эти области хорошо соответствуют общему мнению в области важных областей шизофрении и других психотических расстройств» [65, 69]. Каждый из доменов может быть рейтирован по 4-балльной шкале от 0 (симптом отсутствует) до 3 (симптом есть и значительно выражен).
- «Шкала общего клинического впечатления — тяжесть состояния» (Clinical Global Impression Scale — Severity, CGI-S) позволяет проводить самую общую оценку выраженности психического расстройства на основе клинического впечатления врача [70–74].
- «Шкала оценки негативных симптомов» (4-Items Negative Symptoms Assessment, NSA-4) состоит из 4 пунктов, в каждом из которых дается оценка от 0 до 4 баллов. Шкала представляет собой сокращенный и адаптированный для широкого клинического применения вариант шкалы NSA-16 (16-Items Negative Symptoms Assessment), из которой выбраны 4 пункта с дословным сохранением их содержания: ограничение количества речи, снижение эмоций, снижение социального влечения и снижение интересов, а также общий суммарный рейтинг. Каждый из 4 пунктов и общие негативные симптомы оцениваются по шкале от 1 до 6 баллов, где 1 — отсутствие снижения по сравнению с нормальным поведением, а 6 — серьезное снижение или отсутствие поведения с тяжелым ухудшением функциональности [75].
Основным показателем эффективности в наблюдательной программе было принято статистически значимое увеличение среднего заключительного балла по шкале PSP и увеличение ее заключительного балла не менее чем на 10,7 (17,1%), что согласуется с вычисленным для нее минимальным обнаруживаемым изменением (minimal detectable change) [60]. Дополнительным показателем эффективности служило уменьшение проявлений шизофрении, в частности статистически значимое снижение показателей отдельных пунктов дименсиональной оценки по шкалам CRDPSS и SQS, среднего балла по шкале CGI-S и среднего суммарного балла по шкале NSA-4. В качестве поискового оцениваемого параметра изучалось время до досрочного завершения исследования в 3 сравниваемых группах.
Статистический анализ
Для общей характеристики популяции использованы методы описательной статистики с представлением непрерывных данных в виде средних и стандартных отклонений (SD) медиан и 1-го и 3-го квартилей (Q1 и Q3). Сравнение интервальных значений производилось методом однофакторного дисперсионного анализа (One-WayANOVA) с поправкой на множественные сравнения Тьюки. Категориальные данные приведены в виде абсолютных и относительных частот. Сравнение исходных показателей представленности различных клинических вариантов шизофрении и психопатологических синдромов в независимых выборках выполнено с помощью критерия χ2 Пирсона.
Первичные и дополнительные оцениваемые параметры изучались в отдельной модели ANOVA для повторных измерений с фиксированным фактором группы с оценкой межгрупповых контрастов по динамике соответствующей шкалы между визитом 1 и визитами 2, 3, 4 и 5.
Анализ различия времени досрочного завершения исследования проводился с помощью анализа кривых выживаемости Каплана–Мейера (Kaplan–Meier) со сравнением различий между группами с помощью Logrank-теста, вычислением средней продолжительности участия в исследовании для каждой из групп и показателя относительного риска для полного завершения исследования.
Все виды анализа выполнялись с использованием программных продуктов jamovi, v. 2.3 (The jamovi project, 2022) и IBM SPSS Statistics 26.
РЕЗУЛЬТАТЫ
Участники
В исследовании приняли участие 155 пациентов, часть из которых выбыла из наблюдения по разным причинам.
Описательная статистика общей выборки приведена в табл. 1. Общую выборку составили 54 пациента, получавших палиперидон для приема внутрь; 50 пациентов, получавших ПП1М; 51 пациент, получавший ПП3М. Пациенты, принимающие разные лекарственные формы палиперидона, не имеют значимых различий по полу, возрасту, длительности болезни и числу случаев стационарного лечения.
Таблица 1. Характеристика исследуемых групп пациентов
| Переменные | ПП (n=54) f (%) | ПП1M (n=50) f (%) | ПП3M (n=51) f (%) | Всего (n=155) f (%) | Статистический анализ | 
| Мужчины Женщины | 25 (46,3) 29 (53,7) | 24 (48,0) 26 (52,0) | 24 (47,1) 27 (52,9) | 73 (47,1) 82 (52,9) | χ2=0,030, df=2, p=0,985 | 
| Диагноз F20.00 F20.01 F20.03 F20.09 | 11 (20,4%) 20 (37,0%) 12 (22,2%) 11 (20,4%) | 8 (16,0%) 33 (66,0%) 2 (4,0%) 7 (14,0%) | 16 (31,4%) 31 (60,8%) 3 (5,9%) 1 (2,0%) | 35 (22,6%) 84 (54,2%) 17 (11,0%) 19 (12,3%) | χ2=24,536, df=6, p=0,000319 | 
| One-Way ANOVA | |||||
| Возраст (SD) | 36,1 (10,2) | 38,4 (9,41) | 38,6 (9,22) | 37,7 (9,64) | ПП vs ПП1М: MD=−2,31, t=−1,22, df=152, p=0,443 ПП vs ПП3М: MD=−2,534, t=−1,348, df=152, p=0,371 ПП1М vs ПП3М: MD=−0,228, t=−0,119, df=152, p=0,992 | 
| Длительность заболевания шизофренией (SD) | 11,24 (9,05) | 13,42 (8,67) | 12,52 (8,22) | 12,36 (8,7) | ПП vs ПП1М: MD=2,18, t=1,28, df=152, p=0,407 ПП vs ПП3М: MD=−1,289, t=−1,28, df=152, p=0,727 ПП1М vs ПП3М: MD=0,891, t=0,517, df=152, p=0,863 | 
| Количество госпитализаций (SD) | 3,65 (4,05) | 4,50 (4,03) | 5,08 (4,75) | 4,39 (4,30) | ПП vs ПП1М: MD=−0,852, t=−1,01, df=152, p=0,570 ПП vs ПП3М: MD=−1,430, t=−1,709, df=152, p=0,205 ПП1М vs ПП3М: MD=−0,578, t=−0,678, df=152, p=0,777 | 
Примечание: df — степени свободы; f (%) — количество и доля; MD (mean difference) — среднее различие; n — количество пациентов в выборке; One-Way ANOVA — однофакторный дисперсионный анализ; p — уровень значимости (p-value); SD (standard deviation) — среднеквадратичное отклонение; t — значение t-критерия; χ2 — значение критерия χ2 Пирсона; ПП — пероральная форма палиперидона; ПП1M — палиперидона пальмитат для применения 1 раз в месяц; ПП3M — палиперидона пальмитат для применения 1 раз в 3 месяца.
У всех 155 пациентов была диагностирована параноидная шизофрения. В группе ПП по сравнению с другими группами чаще оказывались пациенты с диагностированным эпизодическим (рекуррентным) типом течения (F20.03) и реже встречались больные с эпизодическим типом течения с нарастающим дефектом (F20.01). В группе ПП1М чаще, чем в других группах, наблюдались пациенты с эпизодическим типом течения с нарастающим дефектом (F20.09). В выборке ПП3М больше, чем в других группах, было пациентов с непрерывным типом течения (F20.00) и меньше, чем в группе ПП, пациентов с эпизодическим типом течения (F20.03) и коротким, менее года, периодом наблюдения (F20.09). Противоположные соотношения числа пациентов с эпизодическим течением и непрерывным течением шизофрении в группах ПП и ПП3М, скорее всего, стали предпосылкой того, что на исходном визите значения дименсии «Галлюцинации» оказались выше в группе ПП, а значения дименсии «Негативные симптомы» и суммарный балл по шкале NSA-4, наоборот, выше в выборке ПП3М. Вместе с тем исходные значения схожих по своему клиническому значению доменов «Позитивные симптомы» и «Негативные симптомы» шкалы SQS (МКБ-11) во всех сравниваемых группах не имели значимых различий (см. табл. S1 в Приложении).
Анализ длительности лечения и выбывания пациентов из исследования
В табл. 2 представлены данные о числе пациентов, которые прошли все визиты и которые выбыли из наблюдения, а также причинах преждевременного выбытия пациентов, получавших разные лекарственные формы палиперидона. В группах ПП1М и ПП3М примерно одинаково, около половины, пациентов прошли все визиты и завершили наблюдение, тогда как в группе ПП полностью завершивших исследование оказалось значимо меньше. Выбывание трети пациентов, получавших лечение ПП, и четверти пациентов, получавших ПП1М, объясняется переводом их на более пролонгированные лекарственные формы палиперидона — ПП1М и ПП3М соответственно. Такое решение принималось врачом согласно протоколу данного наблюдательного исследования и сообразуясь с интересами успешного лечения пациента. В группе принимающих ПП3М 2 случая возвращения к лечению ПП1М было связано с отсутствием в нужный момент препарата в бесплатном доступе. Прекращение наблюдения в связи с обострениями шизофрении или недостаточной эффективностью палиперидона во всех группах отмечалось с одинаковой частотой — примерно в 20% случаев. Несоблюдение назначенной терапии или отказ от продолжения лечения были зарегистрированы только в группе ПП. Также во всех группах в единичных случаях пациенты не приходили на очередной визит, и не удавалось выяснить причины отказа от участия в наблюдении.
Таблица 2. Завершение исследования и преждевременное выбывание пациентов
| Параметр | ПП (n=54) f (%) | ПП1M (n=50) f (%) | ПП3M (n=51) f (%) | Всего (n=155) f (%) | Статистический анализ | 
| Результаты исследования | |||||
| Завершенные Выбывшие | 11 (20,4) 43 (79,6) | 24 (48,0) 26 (52,0) | 30 (58,8) 21 (41,2) | 65 (41,9) 90 (58,1) | χ2=17,042, df=2, p=0,000179 | 
| Причины выбытия | |||||
| Недостаточная эффективность | 10 (18,5) | 10 (20,0) | 12 (23,5) | 32 (20,7) | χ2=19,356, df=8, p=0,010796 | 
| Побочные действия | 7 (13,0) | 3 (6,0) | 4 (7,9) | 14 (9,0) | |
| Несоблюдение требований | 6 (11,1) | – | – | 6 (3,9) | |
| Переход на другую лекарственную форму | 18 (33,3) | 12 (24,0) | 2 (3,9) | 32 (20,7) | |
| Неизвестные причины | 2 (3,7) | 1 (2,0) | 3 (5,9) | 6 (0,11) | |
Примечание: df — степени свободы; f (%) — количество и доля; n — количество пациентов в выборке; p — уровень значимости (p-value); χ2 — значение критерия χ2 Пирсона; ПП — пероральная форма палиперидона; ПП1M — палиперидона пальмитат для применения 1 раз в месяц; ПП3M — палиперидона пальмитат для применения 1 раз в 3 месяца.
Анализ времени до завершения участия в наблюдении (рис. 1) продемонстрировал, что в группах ПП1М и ПП3М больше пациентов полностью завершили программу исследования (n=24, 48,0%, и n=30, 58,8%, соответственно) по сравнению с группой ПП (n=11, 20,4%). Среднее значение времени выживания (mean survival time) в группе ПП составило 154,926 дня (95% ДИ 120,270–189,582), тогда как в группе ПП1М — 250,320 дня (95% ДИ 216,884–283,756), в группе ПП3М — 281,618 дня (95% ДИ 251,848–311,388). Проверка равенства распределений выживания для трех сравниваемых групп показала статистически значимые различия (χ2=28,381, df=2, p=0,0001, Log-Ranktest). Преждевременное выбывание из исследования в группе ПП обусловлено было в основном переводом пациентов этой группы на другую форму палиперидона, решение о котором принималось в первую очередь в интересах пациента: либо по его просьбе, либо в связи с клинической целесообразностью. Несмотря на видимое большее число завершивших полную программу наблюдения и несколько большее среднее значение времени выживания в группе ПП3М по сравнению с ПП1М, логарифмический ранговый тест (Log-Ranktest) не показал значимых различий (χ2=1,292, df=1, p=0,256).
Рисунок 1. Кривые Каплана–Мейера вероятности завершения исследования (выживания) у пациентов, получавших различные лекарственные формы палиперидона. Примечание: ПП — пероральная форма палиперидона; ПП1M — палиперидона пальмитат для применения 1 раз в месяц; ПП3M — палиперидона пальмитат для применения 1 раз в 3 месяца. Источник: Резник и др., 2024.
Динамика симптомов и показателей социального функционирования
В трех сравниваемых группах на исходном визите отсутствовали значимые отличия в доменах «Позитивные симптомы», «Негативные симптомы» и «Депрессивные симптомы» шкалы SQS, в оценке дименсий «Галлюцинации», «Бред», «Негативные симптомы» и «Депрессивные симптомы» шкалы CRDPSS, а также в средних значениях шкал CGI-S, NSA-4 и PSP (см. табл. S2–S4 в Приложении).
Дисперсионный анализ повторных измерений (Two-way Repeated-measures ANOVA) во всей выборке пациентов, получавших палиперидон, показал неуклонное и статистически значимое снижение выраженности негативных и депрессивных симптомов по шкале SQS (табл. 3, рис. 2), галлюцинаций, бреда, негативной симптоматики, депрессивных симптомов по шкале CRDPSS (табл. 4, рис. 3), негативной симптоматики по шкале NSA-4 (табл. 5, рис. 4) и общей тяжести шизофрении по шкале CGI-S (рис. 5; см. табл. 5).
Таблица 3. Дисперсионный анализ повторных измерений трех доменов «Шкалы дифференцированной оценки симптомов», показавших значимые различия*
| Домены | Источник вариации | Сумма квадратов | df | Средний квадрат | F | p | η² | η²p | 
| Позитивные симптомы | Визит | 2,54 | 4 | 0,634 | 5,58 | <0,001 | 0,024 | 0,083 | 
| Визит × лекарственная форма | 1,55 | 8 | 0,194 | 1,71 | 0,098 | 0,015 | 0,052 | |
| Резидуальные симптомы | 28,16 | 248 | 0,114 | – | – | – | – | |
| Лекарственная форма | 5,33 | 2 | 2,67 | 2,43 | 0,098 | 0,051 | 0,073 | |
| Резидуальные симптомы | 67,92 | 62 | 1,10 | – | – | – | – | |
| Негативные симптомы | Визит | 3,19 | 4 | 0,797 | 7,33 | <0,001 | 0,039 | 0,106 | 
| Визит × лекарственная форма | 1,65 | 8 | 0,206 | 1,84 | 0,070 | 0,020 | 0,056 | |
| Резидуальные симптомы | 27,72 | 248 | 0,112 | – | – | – | – | |
| Лекарственная форма | 0,512 | 2 | 0,256 | 0,311 | 0,734 | 0,006 | 0,010 | |
| Резидуальные симптомы | 51,131 | 62 | 0,825 | – | – | – | – | |
| Депрессивные симптомы | Визит | 7,63 | 4 | 1,908 | 10,933 | <0,001 | 0,071 | 0,133 | 
| Визит × лекарственная форма | 1,26 | 8 | 0,157 | 0,901 | 0,516 | 0,012 | 0,025 | |
| Резидуальные симптомы | 49,57 | 248 | 0,175 | – | – | – | – | |
| Лекарственная форма | 4,87 | 2 | 2,437 | 3,93 | 0,024 | 0,045 | 0,100 | |
| Резидуальные симптомы | 44,06 | 62 | 0,621 | – | – | – | – | 
Примечание: df — степени свободы; η² — показатель размера эффекта; η²p — скорректированный показатель размера эффекта; p — уровень значимости (p-value). *Результаты двустороннего анализа ANOVA для повторных измерений.
Рисунок 2. Динамика значений симптомов (А — позитивные, Б — негативные, В — депрессивные) по шкале SQS в сравниваемых группах пациентов, получавших различные лекарственные формы палиперидона. Примечание: SQS (Symptoms Qualifier Scales) — «Шкала дифференцированной оценки симптомов»; ПП — пероральная форма палиперидона; ПП1M — палиперидона пальмитат для применения 1 раз в месяц; ПП3M — палиперидона пальмитат для применения 1 раз в 3 месяца. Источник: Резник и др., 2024.
Таблица 4. Дисперсионный анализ повторных измерений дименсий «Шкалы клинической оценки тяжести симптомов психоза», показавших значимые различия между визитами или группами
| Источник вариации | Сумма квадратов | df | Средний квадрат | F | p | η² | η²p | |
| Галлюцинации | Визит | 14,39 | 4 | 3,597 | 14,33 | <0,001 | 0,093 | 0,188 | 
| Визит × лекарственная форма | 4,19 | 8 | 0,524 | 2,09 | 0,038 | 0,027 | 0,063 | |
| Резидуальные симптомы | 62,23 | 248 | 0,251 | – | – | – | – | |
| Лекарственная форма | 0,328 | 2 | 0,164 | 0,138 | 0,872 | 0,002 | 0,002 | |
| Резидуальные симптомы | 73,961 | 62 | 1,193 | – | – | – | – | |
| Бред | Визит | 5,54 | 4 | 1,386 | 8,20 | <0,001 | 0,025 | 0,117 | 
| Визит × лекарственная форма | 1,79 | 8 | 0,224 | 1,32 | 0,232 | 0,008 | 0,041 | |
| Резидуальные симптомы | 41,92 | 248 | 0,169 | – | – | – | – | |
| Лекарственная форма | 15,3 | 2 | 7,65 | 3,08 | 0,053 | 0,070 | 0,090 | |
| Резидуальные симптомы | 153,9 | 62 | 2,48 | – | – | – | – | |
| Дезорганизованная речь | Визит | 7,76 | 4 | 1,941 | 9,87 | <0,001 | 0,049 | 0,472 | 
| Визит × лекарственная форма | 3,27 | 8 | 0,408 | 2,08 | 0,039 | 0,021 | 0,244 | |
| Резидуальные симптомы | 48,75 | 248 | 0,197 | – | – | – | – | |
| Лекарственная форма | 1,56 | 2 | 0,781 | 0,483 | 0,619 | 0,010 | 0,010 | |
| Резидуальные симптомы | 100,33 | 62 | 1,618 | – | – | – | – | |
| Негативные симптомы | Визит | 22,38 | 4 | 5,596 | 26,56 | <0,001 | 0,134 | 0,300 | 
| Визит × лекарственная форма | 1,93 | 8 | 0,241 | 1,14 | 0,335 | 0,011 | 0,036 | |
| Резидуальные симптомы | 52,25 | 248 | 0,211 | – | – | – | – | |
| Лекарственная форма | 13,9 | 2 | 6,96 | 5,59 | 0,006 | 0,083 | 0,153 | |
| Резидуальные симптомы | 77,2 | 62 | 1,24 | – | – | – | – | |
| Когнитивные симптомы | Визит | 3,68 | 4 | 0,920 | 5,92 | <0,001 | 0,030 | 0,028 | 
| Визит × лекарственная форма | 2,01 | 8 | 0,251 | 1,61 | 0,121 | 0,017 | 0,015 | |
| Резидуальные симптомы | 38,53 | 248 | 0,155 | – | – | – | – | |
| Лекарственная форма | 7,84 | 2 | 3,92 | 3,07 | 0,053 | 0,062 | 0,060 | |
| Резидуальные симптомы | 79,16 | 62 | 1,28 | – | – | – | – | |
| Психомоторные симптомы | Визит | 10,57 | 4 | 2,642 | 12,48 | <0,001 | 0,082 | 0,079 | 
| Визит × лекарственная форма | 4,63 | 8 | 0,579 | 2,74 | 0,007 | 0,038 | 0,035 | |
| Резидуальные симптомы | 52,49 | 248 | 0,212 | – | – | – | – | |
| Лекарственная форма | 0,285 | 2 | 0,142 | 0,133 | 0,876 | 0,002 | 0,002 | |
| Резидуальные симптомы | 66,312 | 62 | 1,070 | – | – | – | – | |
| Депрессивные симптомы | Визит | 17,08 | 4 | 4,271 | 10,752 | <0,001 | 0,079 | 0,148 | 
| Визит × лекарственная форма | 2,34 | 8 | 0,293 | 0,737 | 0,658 | 0,011 | 0,023 | |
| Резидуальные симптомы | 98,51 | 248 | 0,397 | 10,752 | – | – | – | |
| Лекарственная форма | 8,55 | 2 | 4,27 | 2,91 | 0,062 | 0,039 | 0,086 | |
| Резидуальные симптомы | 90,94 | 62 | 1,47 | – | – | – | – | |
| Маниакальные симптомы | Визит | 0,298 | 4 | 0,0746 | 2,10 | 0,082 | 0,015 | 0,014 | 
| Визит × лекарственная форма | 0,609 | 8 | 0,0761 | 2,14 | 0,033 | 0,029 | 0,029 | |
| Резидуальные симптомы | 8,825 | 248 | 0,0356 | – | – | – | – | |
| Лекарственная форма | 0,340 | 2 | 0,170 | 0,935 | 0,398 | 0,017 | 0,016 | |
| Резидуальные симптомы | 11,272 | 62 | 0,182 | – | – | – | – | 
Примечание: df — степени свободы; p — уровень значимости (p-value); η² — показатель размера эффекта; η²p — скорректированный показатель размера эффекта. *Результаты двустороннего анализа ANOVA для повторных измерений.
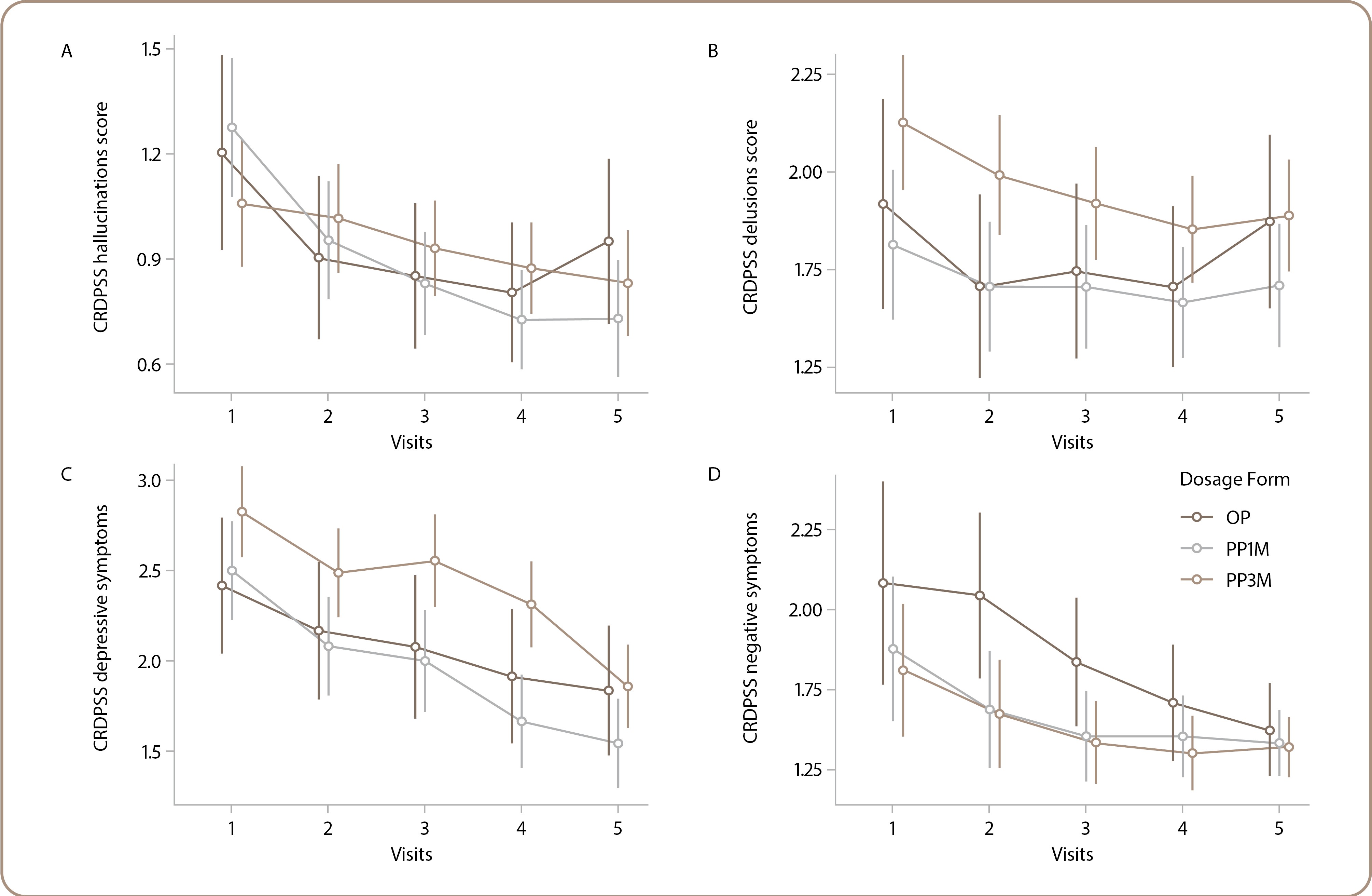
Рисунок 3. Динамика оценки галлюцинаций (А), бредовых идей (Б), депрессивных симптомов (В), негативных симптомов (Г) по шкале CRDPSS в сравниваемых группах пациентов, получавших различные лекарственные формы палиперидона. Примечание: CRDPSS (Clinician-Rated Dimensions of Psychosis Symptom Severity) — «Шкала клинической оценки тяжести симптомов психоза»; ПП — пероральная форма палиперидона; ПП1M — палиперидона пальмитат для применения 1 раз в месяц; ПП3M — палиперидона пальмитат для применения 1 раз в 3 месяца. Источник: Резник и др., 2024.
Таблица 5. Дисперсионный анализ повторных измерений значений шкал CGI-S, NSA-4 и PSP, показавших значимые различия между визитами или группами
| Шкала | Источник вариации | Сумма квадратов | df | Средний квадрат | F | p | η² | η²p | 
| CGI-S | Визит | 8,89 | 4 | 2,223 | 16,05 | <0,001 | 0,082 | 0,206 | 
| Визит × лекарственная форма | 1,63 | 8 | 0,203 | 1,47 | 0,170 | 0,015 | 0,045 | |
| Резидуальные симптомы | 34,36 | 248 | 0,139 | – | – | – | – | |
| Лекарственная форма | 7,7 | 2 | 3,850 | 4,31 | 0,018 | 0,071 | 0,122 | |
| Резидуальные симптомы | 55,33 | 62 | 0,892 | – | – | – | – | |
| NSA-4 | Визит | 1206,3 | 4 | 301,57 | 59,406 | <0,001 | 0,028 | 0,489 | 
| Визит × лекарственная форма | 26,5 | 8 | 3,32 | 0,653 | 0,732 | 0,005 | 0,021 | |
| Резидуальные симптомы | 1258,9 | 248 | 5,08 | – | – | – | – | |
| Лекарственная форма | 480 | 2 | 240 | 5,25 | 0,008 | 0,083 | 0,145 | |
| Резидуальные симптомы | 2835 | 62 | 45,7 | – | – | – | – | |
| PSP | Визит | 6903 | 4 | 1725,9 | 52,48 | <0,001 | 0,170 | 0,458 | 
| Визит × лекарственная форма | 706 | 8 | 88,3 | 2,68 | 0,008 | 0,017 | 0,080 | |
| Резидуальные симптомы | 8156 | 248 | 32,9 | – | – | – | – | |
| Лекарственная форма | 2690 | 2 | 1345 | 3,77 | 0,028 | 0,066 | 0,109 | |
| Резидуальные симптомы | 22 103 | 62 | 357 | – | – | – | – | 
Примечание: CGI-S (Clinical Global Impression Scale — Severity) — «Шкала общего клинического впечатления — тяжесть состояния»; df — степени свободы; η² — показатель размера эффекта; η²p — скорректированный показатель размера эффекта; NSA-4 (4-Items Negative Symptoms Assessment scale) — «Шкала оценки негативных симптомов»; p — уровень значимости (p-value); PSP (Personal and Social Performance) — «Шкала личностного и социального функционирования». *Результаты двустороннего анализа ANOVA для повторных измерений.
Рисунок 4. Динамика средних значений суммарного балла по шкале NSA-4 в группах пациентов, принимавших различные лекарственные формы палиперидона. Примечание: CGI-S (Clinical Global Impression Scale — Severity) — «Шкала общего клинического впечатления — тяжесть состояния»; NSA-4 (4-Items Negative Symptoms Assessment scale) — «Шкала оценки негативных симптомов»; ПП — пероральная форма палиперидона; ПП1M — палиперидона пальмитат для применения 1 раз в месяц; ПП3M — палиперидона пальмитат для применения 1 раз в 3 месяца. Источник: Резник и др., 2024.
Рисунок 5. Динамика средних значений по шкале CGI-S в группах пациентов, принимавших различные лекарственные формы палиперидона. Примечание: CGI-S (Clinical Global Impression Scale — Severity) — «Шкала общего клинического впечатления — тяжесть состояния»; NSA-4 (4-Items Negative Symptoms Assessment scale) — «Шкала оценки негативных симптомов»; ПП — пероральная форма палиперидона; ПП1M — палиперидона пальмитат для применения 1 раз в месяц; ПП3M — палиперидона пальмитат для применения 1 раз в 3 месяца. Источник: Резник и др., 2024.
При более детальном рассмотрении значимое снижение показателя домена позитивных симптомов шкалы SQS по сравнению с исходным уровнем в общей выборке достигнуто к визиту 4 (t=3,976, p <0,001, ptukey=0,002), но в последующем вновь вернулось к исходному уровню. Вместе с тем в отдельных сравниваемых группах значимых различий позитивных симптомов не выявлено ни между собой, ни между визитами. Снижение выраженности негативных симптомов наблюдалось уже к визиту 2 (t=3,658, p <0,001, ptukey=0,005) и сохранялось на всех последующих визитах, притом что в отдельных сравниваемых группах значимое различие выявлено лишь в группе ПП1М между визитами 1 и 3 (t=3,942, p <0,001, ptukey=0,015). Между группами статистически значимой разницы не было выявлено ни на одном визите. Депрессивные симптомы, оцененные по шкале SQS, в общей выборке ослабевали уже к визиту 2 (t=3,278, p=0,002, ptukey=0,014), и значимые различия по отношению к исходному уровню сохранялись на всех последующих визитах. Однако в отдельных сравниваемых когортах ни между собой, ни между визитами значимых различий не было выявлено.
При оценке показателей шкалы CRDPSS у пациентов всей выборки значимое снижение домена «Галлюцинация» в сравнении с исходным уровнем достигалось уже к визиту 2 (t=4,228, p <0,001, ptukey <0,001) и сохранялось на всех последующих визитах, а для когорты ПП было характерно незначительное усиление галлюцинаций между визитами 4 и 5 (см. рис. 3А). Значимое улучшение домена «Бред» по шкале CRDPSS в сравнении с исходным уровнем также наблюдалось к визиту 2 (t=4,111, p <0,001, ptukey <0,001), и эти различия сохранялись на всех визитах. В этом домене отмечалось обратное усиление бредовых идей до исходного уровня в группе ПП на последнем визите (см. рис. 3Б), что отчетливо влияло на общий результат — отсутствие значимых различий между визитами 1 и 5. Более выраженное, поступательное улучшение прослеживалось в домене «Негативные симптомы». В нем статистически значимые различия достигались к визиту 2 (t=4,018, p <0,001, ptukey=0,001) и значительная положительная динамика отмечалась на всех последующих точках оценки, тогда как в сравниваемых когортах значимые различия были выявлены лишь на визите 3 между группами ПП1М и ПП3М (t=3,739, p <0,001, ptukey=0,030). В домене «Депрессивные симптомы» шкалы CRDPSS у пациентов всей выборки значимые различия начинались на визите 3 (t=3,459, p <0,001, ptukey=0,008) и сохранялись все исследование, но в отдельно взятых сравниваемых когортах значимых различий после поправки Тьюки между визитами и на разных визитах между группами на определялось.
Апостериорные сравнения динамики баллов по шкалам CGI-S и NSA-4 во всей выборке пациентов, получавших палиперидон, подтверждают статистически значимое уменьшение тяжести болезни на основании общего впечатления врача и снижение выраженности негативных симптомов к визиту 2 (t=4,639, p <0,001, ptukey <0,001 и t=4,68, p <0,001, ptukey <0,001 соответственно) и сохраняющуюся положительную динамику на протяжении всего периода наблюдения (см. рис. 4, 5). Однако у пациентов, принимающих различные лекарственные формы палиперидона, значимые изменения по CGI-S в сравнении с исходным значением в группе ПП получены только на визите 4 (t=4,523, p <0,001, ptukey=0,002), в группе ПП1М — начиная с визита 3 (t=4,2147, p <0,001, ptukey=0,007) и до конца наблюдения, а в группе ПП3М значимых изменений не прослеживалось. Межгрупповые различия были выявлены между ПП и ПП3М и только на визите 4 (t=3,749, p <0,001, ptukey <0,027). Оценка по CGI-S, которая должна включать общее синтетическое впечатление врача о тяжести болезни, в действительности формируется преимущественно на основе впечатления врача о выраженности симптомов психоза, поэтому в нашем наблюдении имеет в целом пологий характер, схожий с динамикой позитивных симптомов SQS. Динамика негативной симптоматики по шкале NSA-4 оказалась более выраженной во всех трех сравниваемых группах — значимые различия отмечались на визите 3 (в группе ПП ptukey=0,003, в ПП1М и ПП3М ptukey <0,001) и сохранялись на всех последующих точках измерения. Обращает внимание, что дисперсия NSA-4 в целом напоминает динамику домена негативных симптомов CRDPSS (см. рис. 3Г, 4).
Изучение социального и личностного функционирования с помощью шкалы PSP в общей выборке на фоне лечения всеми лекарственными формами палиперидона показало его повышение (рис. 6; см. табл. 5), достигающее статистически значимых различий уже на визите 2 (t=5,24, p <0,001, ptukey <0,001) и неуклонно возрастающее на следующих визитах. Выявлено общее значимое межгрупповое различие у пациентов, получавших ПП1М и ПП3М (t=2,4508, p=0,017, ptukey=0,044), при отсутствии различий на каждом отдельном визите. Причем среднее значение PSP в выборке ПП, по сравнению с исходным визитом (49,2), поднялось более чем на 17,2% уже к визиту 3 (62,5) и возросло к концу наблюдения на 34% (65,8). Среднее PSP в выборке ПП1М, по сравнению с исходным визитом (50,8), также выросло примерно на 17,2% к визиту 3 (59,6) и на 34% (65,8) к концу наблюдения. В выборке ПП3М среднее значение PSP повышалось более чем на 17,2% только к завершающему визиту, достигая 60,5 балла.
Рисунок 6. Динамика средних значений суммарного балла PSP в группах пациентов, принимавших различные лекарственные формы палиперидона. Примечание: PSP (Personal and Social Performance) — «Шкала личностного и социального функционирования»; ПП — пероральная форма палиперидона; ПП1M — палиперидона пальмитат для применения 1 раз в месяц; ПП3M — палиперидона пальмитат для применения 1 раз в 3 месяца. Источник: Резник и др., 2024.
Анализ переносимости
НЯ зарегистрированы у 86 (55,5%) обследованных пациентов: в группе ПП — у 35 (64,8%) человек, в группе ПП1М — у 25 (50%), в группе ПП3М — у 26 (51,0%). Полный перечень НЯ приведен в табл. 6.
Таблица 6. Перечень и частота нежелательных явлений, наблюдавшихся в исследовании
| Нежелательное явление | Все пациенты (n=155) | ПП (n=54) | ПП1М (n=50) | ПП3М (n=51) | ||||
| f | % | f | % | f | % | f | % | |
| Любое нежелательное явление | 86 | 55,5 | 35 | 64,8 | 25 | 50,0 | 26 | 51,0 | 
| ЭПС зарегистрированный | 28 | 18,1 | 12 | 22,2 | 8 | 16,0 | 8 | 15,7 | 
| ЭПС впервые зарегистрированный | 16 | 10,3 | 7 | 13,0 | 4 | 8,0 | 4 | 7,8 | 
| Акатизия | 23 | 14,8 | 9 | 16,7 | 6 | 12,0 | 8 | 15,7 | 
| Акатизия впервые | 12 | 7,7 | 5 | 9,3 | 3 | 6,0 | 4 | 7,8 | 
| Острая дистония | 2 | 1,3 | 1 | 1,9 | 1 | 2,0 | – | – | 
| Гипокинезия | 4 | 2,6 | 2 | 3,7 | 1 | 2,0 | 1 | 2,0 | 
| Гипокинезия впервые | 2 | 1,3 | 1 | 1,9 | – | – | 1 | 2,0 | 
| Тремор | 16 | 10,3 | 7 | 13,0 | 4 | 8,0 | 5 | 9,8 | 
| Тремор впервые | 7 | 4,5 | 3 | 5,6 | 2 | 4,0 | 2 | 3,9 | 
| Гиперсаливация | 3 | 1,9 | 1 | 1,9 | 1 | 2,0 | 1 | 2,0 | 
| Гиперсаливация впервые | 1 | 0,7 | – | – | – | – | 1 | 2,0 | 
| Тардивная дискинезия | 1 | 0,7 | – | – | – | – | 1 | 2,0 | 
| Тардивная дискинезия впервые | – | – | – | – | – | – | – | – | 
| Гиперпролактинемия | 16 | 10,3 | 5 | 9,3 | 5 | 10,0 | 6 | 11,8 | 
| Гинекомастия | 6 | 3,9 | 2 | 3,7 | 2 | 4,0 | 2 | 3,9 | 
| Галакторея | 5 | 3,2 | 2 | 3,7 | 1 | 2,0 | 2 | 3,9 | 
| Нарушения менструального цикла | 12 | 7,7 | 5 | 9,3 | 3 | 6,0 | 4 | 7,8 | 
| Увеличение массы тела | 15 | 9,7 | 6 | 11,1 | 3 | 6,0 | 5 | 9,8 | 
| Снижение массы тела | 3 | 1,9 | 1 | 1,9 | – | – | 2 | 3,9 | 
| Диарея | 3 | 1,9 | 2 | 3,7 | – | – | 1 | 2,0 | 
| Тошнота | 6 | 3,9 | 3 | 5,6 | 1 | 2,0 | 2 | 3,9 | 
| Повышение аппетита | 12 | 7,7 | 5 | 9,3 | 3 | 6,0 | 4 | 7,8 | 
| Снижение аппетита | 5 | 3.2 | 2 | 3,7 | 1 | 2,0 | 2 | 3,9 | 
| Гипергликемия | 2 | 1,3 | – | – | – | – | 2 | 3,9 | 
| Брадикардия | 4 | 2,6 | – | – | 2 | 4,0 | 2 | 3,9 | 
| Повышение АД | 2 | 1,3 | 1 | 1,9 | – | – | 1 | 2,0 | 
| Тахикардия | 7 | 4,5 | 3 | 5,6 | 1 | 2,0 | 3 | 5,9 | 
| Кожная сыпь | 1 | 0,7 | 1 | 1,9 | – | – | – | – | 
| COVID-19 | 14 | 9,0 | 4 | 7,4 | 5 | 10,0 | 5 | 9,8 | 
| Головокружение | 6 | 3,9 | 1 | 1,9 | 1 | 2,0 | 4 | 7,8 | 
| Головная боль | 7 | 4,5 | 3 | 5,6 | 3 | 6,0 | 1 | 2,0 | 
| Снижение внимания | 11 | 7,1 | 4 | 7,4 | 4 | 8,0 | 3 | 5,9 | 
| Сонливость | 7 | 4,5 | 3 | 5,6 | 3 | 6,0 | 1 | 2,0 | 
| Бессонница | 9 | 5,8 | 3 | 5,6 | 2 | 4,0 | 4 | 7,8 | 
| Тревога | 8 | 5,2 | 4 | 7,4 | 3 | 6,0 | 1 | 2,0 | 
Примечание: f (%) — количество и доля; АД — артериальное давление; ПП — пероральная форма палиперидона; ПП1M — палиперидона пальмитат для применения 1 раз в месяц; ПП3M — палиперидона пальмитат для применения 1 раз в 3 месяца; ЭПС — экстрапирамидный симптом.
Среди НЯ, наблюдавшихся в группе ПП, 8 впервые возникли у >5,5% пациентов: увеличение массы тела — у 6 (11,1%) человек, повышение аппетита — у 5 (9,3%), акатизия — у 5 (9,3%), гиперпролактинемия — у 5 (9,3%), нарушение менструального цикла — у 5 (9,3%), COVID-19 — у 4 (7,4%), снижение внимания — у 4 (7,4%), тревога — у 4 (7,4%). Остальные НЯ отмечались в единичных случаях.
В группе ПП1М 10 НЯ впервые возникли у >5,5% пациентов: COVID-19 — у 5 (10,0%) человек, гиперпролактинемия — у 5 (10,0%), снижение внимания — у 4 (8,0%), акатизия — у 3 (6,0%), нарушение менструального цикла — у 3 (6,0%), увеличение массы тела — у 3 (6,0%), повышение аппетита — у 3 (6,0%), головная боль — у 3 (6,0%), сонливость — у 3 (6,0%), тревога — у 3 (6,0%).
В группе ПП3М 11 НЯ впервые возникли у >5,5% пациентов: гиперпролактинемия — у 6 (11,8%), увеличение массы тела — у 5 (9,8%), COVID-19 — у 5 (9,8%), тремор — у 5 (9,8%), акатизия — у 4 (7,8%), нарушение менструального цикла — у 4 (7,8%), повышение аппетита — у 4 (7,8%), головокружение — у 4 (7,8%), бессонница — у 4 (7,8%), тахикардия — у 3 (5,9%), снижение внимания — у 3 (5,9%).
При отсутствии статистически значимых различий (табл. 7), объясняющихся, как мы думаем, величиной выборки, обращает внимание, что в группе ПП несколько чаще отмечались экстрапирамидные симптомы, в том числе впервые выявленные (табл. 8).
Таблица 7. Сравнение частоты нежелательных явлений в выборках пациентов, получавших лечение разными лекарственными формами палиперидона
| Группа | Нежелательные явления | Статистический анализ | |
| f | % | ||
| ПП (n=54) | 35 | 64,8 | χ2=2,931, df=2, p=0,249 | 
| ПП1М (n=50) | 25 | 50,0 | |
| ПП3М (n=51) | 26 | 51,0 | |
Примечание: df — степени свободы; f (%) — количество и доля; n — количество пациентов в выборке; p — уровень значимости (p-value); χ2 — значение критерия χ2 Пирсона; ПП — пероральная форма палиперидона; ПП1M — палиперидона пальмитат для применения 1 раз в месяц; ПП3M — палиперидона пальмитат для применения 1 раз в 3 месяца.
Таблица 8. Сравнение частоты экстрапирамидного симптома в выборках пациентов, получавших лечение разными лекарственными формами палиперидона
| Группа | Нежелательные явления | Статистический анализ | |
| f | % | ||
| ПП (n=54) | 12 | 22,2 | χ2=2,991, df=2, p=0,236 | 
| ПП1М (n=50) | 8 | 16,0 | |
| ПП3М (n=51) | 8 | 15,7 | |
В целом состав НЯ оказался схожим и довольно типичным для палиперидона: во всех трех когортах наиболее распространенными оказались легкие экстрапирамидные симптомы (акатизия и тремор), которые мало влияли на общее состояние пациентов, гиперпролактинемия и ее клинические проявления, повышение аппетита и увеличение массы тела, а также ситуационное НЯ — COVID-19, которое протекало чаще всего в легкой форме, не представляло собой серьезного НЯ, лишь в одном случае стало предпосылкой решения врача об отмене терапии.
ОБСУЖДЕНИЕ
Проведено обсервационное исследование клинической динамики и социального функционирования больных шизофренией на фоне терапии тремя лекарственными формами палиперидона: ПП, ПП1М и ПП3М.
В группе ПП по сравнению с другими группами чаще оказывались пациенты с диагностированным эпизодическим (рекуррентным) типом течения (F20.03) — наиболее благоприятным вариантом течения шизофрении; значимо реже, чем в других группах, встречались больные с эпизодическим типом течения с нарастающим дефектом (F20.01). В группе ПП1М значимо чаще, чем в других группах, наблюдались пациенты с эпизодическим типом течения с нарастающим дефектом (F20.09). В выборке ПП3М значительно чаще по сравнению с другими группами (p <0,05) отмечались пациенты с непрерывным типом течения шизофрении (F20.00). В этой группе меньше, чем в группе ПП, было пациентов с эпизодическим типом течения (F20.03) и коротким, менее года, периодом наблюдения (F20.09). Вероятно, по этой причине на исходном визите в группе ПП у больных отмечались более высокие значения дименсии «Галлюцинации» по шкале CRDPSS, а в группе ПП3М — более выраженная негативная симптоматика по шкалам CRDPSS и NSA-4. В целом эти соотношения также отражают тенденцию по-прежнему назначать пролонгированные формы палиперидона пациентам с большой длительностью и непрерывным течением болезни, которые характеризуются, как правило, худшим соблюдением назначенной терапии, нередко слабой социальной поддержкой для обеспечения бесперебойного поддерживающего лечения, но в то же время и меньшей тяжестью обострений.
В этой связи считаем важным отметить, что у пациентов с длительной и непрерывной шизофренией экзацербации протекают не так остро, то есть возбуждение, симптомы мании, негативизм, враждебность и агрессивность оказываются менее выраженными, чем на ранних этапах болезни и в случаях с эпизодическим течением. Нередко такие ухудшения менее острые, чем при периодических формах шизофрении, носят транзиторный характер, и их легче сдерживать с помощью коррекции доз пролонгированных антипсихотиков.
В относительно новых случаях или при ранее установленном рекуррентном течении шизофрении у врача есть надежда на лучшую комплаентность больного, хорошее качество ремиссии, а также имеется риск развития побочных эффектов, с которыми сложнее справляться на фоне действия инъекционных форм пролонгированных антипсихотиков. При периодических формах и на ранних этапах развития болезни врачи обычно сочетают антипсихотики с нормотимиками, вынуждены назначать дополнительно к инъекционным формам пролонгированных антипсихотиков пероральные антипсихотики, выбирают комбинации антипсихотиков с избирательным и седативным действием или даже коктейли антипсихотиков. Известные особенности течения болезни и характер обострений становились подчас причиной того, что врач считал рискованным включать такого больного в наблюдение или быстро, при первых признаках ухудшения или даже при собственной неудовлетворенности действием инъекционных форм пролонгированных антипсихотиков назначал дополнительную терапию. Иными словами, мы до сих пор сталкиваемся с собственными опасениями и предубеждением в отношении использования пролонгированных антипсихотиков. Это может оказывать влияние на врачебное мнение об эффективности препарата или его лекарственной формы.
Данное исследование показало, что 12-месячный курс лечения разными формами палиперидона, назначающимися в гибких дозах и согласно клинической необходимости, обеспечивает статистически значимое повышение основного показателя эффективности — итогового балла PSP, а также статистически значимое и клинически существенное улучшение вторичных показателей эффективности — суммарного балла дименсиональных шкал оценки выраженности психопатологических проявлений шизофрении, предложенных в классификациях DSM-5 и МКБ-11, кратких психометрических методик оценки общей тяжести болезни CGI-S и выраженности негативной симптоматики NSA-4. В целом результаты этого исследования подтверждают, что применение любой лекарственной формы палиперидона является примерно в равной мере эффективным в достижении улучшения клинических проявлений шизофрении и социального функционирования больных и хорошо переносимым вариантом лечения шизофрении в период становления ремиссии.
Наиболее показательным результатом лечения палиперидоном стало повышение уровня социального функционирования. К завершению лечения всеми тремя лекарственными формами палиперидона удавалось достичь статистически значимого по отношению к исходному уровню увеличения итоговых значений PSP, которые превышали установленное для этой шкалы минимальное обнаруживаемое изменение. Замедленное повышение PSP в группе ПП3М, отстающее сравнительно от групп ПП и ПП1М, можно объяснить более устойчивым характером негативной симптоматики, которая в значительной степени влияет на социальное функционирование, а также продолжительным приемом палиперидона до включения в ветвь ПП3М и поэтому более ранним достижением возможного для этого препарата влияния на социальное функционирование и израсходованием ресурсов восстановления.
Анализ динамики доменов позитивных симптомов SQS и CRDPSS в период стабилизации после приступа шизофрении в условиях лечения тремя разными формами палиперидона выявил противоречие в данных. Если в общей выборке пациентов, получавших любой палиперидон, отмечалось уменьшение показателя домена SQS «Позитивные симптомы» к 4-му визиту, то в трех сравниваемых группах наблюдались преимущественно незначительное снижение или колебания в динамике показателей доменов «Позитивные симптомы» и только в группе ПП1М к визиту 4 получено значимое снижение показателя домена «Позитивные симптомы».
В доменах CRDPSS «Галлюцинации» и «Бред» в общей выборке отмечено быстрое и значимое снижение показателей уже к 2-му визиту, однако среди отдельных ветвей наблюдения лишь в группе ПП1М отмечалось статистически значимое уменьшение показателя домена «Галлюцинации» на визитах 2, 3, 4 и 5 по сравнению с исходным, но без значимой разницы между собой, а домен «Бред» ни в одной из ветвей наблюдения не обнаруживал значимых изменений.
В связи с этим следует учитывать, что само понятие «позитивные симптомы» включают кроме галлюцинаций и бреда сопутствующее им возбуждение, двигательные нарушения, дезорганизацию психической деятельности, некоторые аффективные нарушения. Таким образом, отследить изменения такого общего параметра, как «позитивные симптомы», на этапе стабилизации и становления ремиссии затруднительно, а динамика доменов SQS из МКБ-10 и CRDPSS из DSM-5 не может полностью совпадать.
Замедление, остановка или отсутствие положительной динамики показателей доменов «Галлюцинации» и «Бред» CRDPSS можно объяснить тем, что наблюдательное исследование проводилось у пациентов в амбулаторных условиях, когда у них имело место становление ремиссии того или иного качества с относительно небольшими колебаниями выраженности позитивных симптомов, и существенное их ослабление, как правило, можно было наблюдать лишь первые недели или месяцы, после чего достигался своеобразный предел возможного улучшения. Значимое улучшение показателя домена «Галлюцинации» в выборке ПП1М, как нам представляется, связано с тем, что в этой группе пациентов, во-первых, палиперидон чаще назначался совсем недавно, и это само по себе давало результат, во-вторых, в отличие от ПП, лекарственное средство за счет бесперебойного приема в полной мере раскрывало свои антипсихотические свойства, тогда как в группу ПП3М пациенты переводились уже после продолжительного лечения ПП1М, когда свои лучшие антипсихотические свойства палиперидон уже проявил ранее. Наиболее пологими представляются кривые дисперсии «Бреда», что отражает устойчивость к лечению бредовых идей в целом и случаев с резидуальным бредом в частности. Иными словами, в период лечения обострения сначала быстро редуцируется аффективно-бредовая симптоматика и бред в структуре галлюцинаторно- параноидного синдрома. Что касается хронического интепретативного бреда или остаточных бредовых идей в периоде стабилизации и в ремиссии, они могут сохраняться, несмотря на терапию, многие месяцы и даже годы, что, на наш взгляд, отразилось на результатах данного исследования.
Хорошая динамика дименсиональной оценки негативных симптомов, особенно выраженная в домене «Негативные симптомы» CRDPSS в общей выборке и в отдельности в группе ПП1М, объясняется тем, что надежное предупреждение рецидива обеспечивает постепенное уменьшение негативных симптомов. Выявленные различия между двумя группами, получавшими пролонгированные формы палиперидона, возможно, связаны с тем, что в группу ПП3М включались пациенты в целом с более стойкими психическими расстройствами, свойственными для непрерывных форм шизофрении. Еще более наглядно ослабление негативных симптомов прослеживается с помощью шкалы NSA-4, что подтверждает выраженное антидефицитарное действие палиперидона. То, что в группах, принимавших разные лекарственные формы, достигалось примерно одинаковое уменьшение тяжести негативных симптомов, показывает, что палиперидон не только обладает антидефицитарным действием и минимальным нежелательным влиянием на кортикальный отдел дофаминовой системы, но и, скорее всего за счет своего противорецидивного действия, создает предпосылки и, главное, обеспечивает достаточное время для задействования ресурсов естественного восстановления психической деятельности.
Также продолжительная ремиссия на фоне хорошо контролируемой терапии создает условия для постепенного ослабления депрессии, что особенно заметно в группе ПП, где пациенты впервые получают терапию палиперидоном, часто — после лечения антипсихотиками второго поколения и с исходно более выраженной депрессивной симптоматикой, и переход на палиперидон создает условия для уменьшения постпсихотической депрессии.
Оценка по CGI-S, которая должна включать общее, синтетическое впечатление врача о тяжести болезни, в действительности опирается в основном на оценку выраженности симптомов психоза и поэтому в данном наблюдении имеет в целом пологий характер, схожий с динамикой позитивных симптомов SQS.
Терапия пролонгированными формами палиперидона — ПП1М и ПП3М — характеризуется высоким, превосходящим в 2,5 раза по сравнению с терапией ПП числом пациентов, завершивших всю программу наблюдения, а также значительной разницей среднего времени лечения препаратом и распределения числа продолжающих прием лекарства (используя статистическую терминологию, «выживаемостью» пациента на фоне терапии) в группах пациентов, которые получали пролонгированные формы палиперидона (ПП1М и ПП3М). Основной причиной преждевременного выбывания из исследования пациентов группы ПП оказался перевод на пролонгированную форму палиперидона — ПП1М, который основывался на решении лечащего врача о терапевтической целесообразности или просьбе пациента.
Особо следует отметить, что среди трех ветвей терапии в группе ПП3М отмечалось наилучшее следование назначенной схеме терапии, самое большое число полностью завершивших исследование, равное с другими группами число случаев обострений или недостаточной эффективности. И все это несмотря на тот факт, что в данной группе оказалось максимальное число случаев непрерывного течения шизофрении и в сумме больше всего пациентов с наиболее устойчивыми к терапии и трудными в плане возможности социального восстановления вариантами динамики — непрерывным течением и приступообразным с нарастающим дефектом (F20.00 + F20.01) — всего 46 пациентов (90,2%).
Применение палиперидона показало не только эффективность, но и безопасность терапии: у пациентов не зарегистрировано серьезных НЯ, а имевшиеся НЯ были легкими или умеренными. В сравниваемых группах не выявлено значимых отличий частоты общего количества НЯ, их частных вариантов, в том числе НЯ, ставших причиной выбывания из исследования. Незначительно чаще отмечаемое проявление НЯ, особенно впервые выявленных, в группе ПП можно объяснить тем, что часть пациентов впервые получали палиперидон, то есть НЯ, характерные для препарата, возникали еще на начальном этапе применения, тогда как в группы ПП1М и ПП3М были включены пациенты, которые, согласно инструкции, ранее уже принимали палиперидон и показали по меньшей мере удовлетворительную его переносимость. Среди НЯ во всех трех группах чаще всего отмечались легкие экстрапирамидные симптомы, увеличение массы тела, гиперпролактинемия и связанные с ней клинические проявления. Хороший профиль безопасности всех лекарственных форм палиперидона согласуется с данными других исследований.
Ограничения исследования
Проведенное исследование было наблюдательным и максимально приближенным к реальной клинической практике. Оно не было ослеплено, в нем не применялось рандомизации, использовались несложные критерии включения и наиболее простые инструменты оценки выраженности симптомов. Обсервационный дизайн исследования повлек избирательность включения в разные ветви наблюдения. Так, в группе ПП в половине случаев оказывались пациенты, ранее не получавшие палиперидон; помимо этого, чаще включались случаи с периодическими формами течения шизофрении и непродолжительным периодом наблюдения. В группе ПП3М, напротив, значительно чаще оказывались пациенты с непрерывным типом течения шизофрении, у которых обычно более выражены и стойкие негативные симптомы, стабильно хуже показатели социального функционирования и, что важно, меньшая чувствительность к любой антипсихотической терапии. Такое предпочтение выбора могло повлиять на отставание динамики многих шкал оценки позитивной, негативной симптоматики, а главное, на показатели социального функционирования, что, скорее всего, определяет замедленную динамику показателей шкал позитивных и негативных симптомов и особенно отставание восстановления уровня социального функционирования.
В дизайне не предполагалась шкальная оценка выбывших из наблюдения, и в процессе анализа не выполнялась импутация пропущенных таким образом данных, поскольку целью исследования было проанализировать особенности лечения в реальной клинической практике у пациентов, которые придерживаются терапии в течение всего периода наблюдения. Вместе с тем отсутствие учета данных выбывших пациентов могло привести к искажению результатов вследствие «ошибки выживших», когда остаются непроанализированными случаи неуспешной терапии с преждевременным ее прекращением.
Инициативный характер исследования и проведение его в рамках рутинной врачебной практики предопределили ограниченную мощность выборки в каждой из ветвей терапии. И если суммарное число пациентов, получавших разные формы палиперидона, позволяло выявить общие закономерности динамики, то минимально приемлемая выборка в каждой из сравниваемых групп могла создать условия для ошибки второго рода в межгрупповых сравнениях.
Выбор кратких психометрических шкал, таких как NSA-4, CRDPSS и SQS, также определялся обсервационным дизайном, в рамках которого применение наиболее надежных и точных, общепринятых в РКИ методик количественной оценки затруднено и выходит за рамки рутинной практики. Применявшиеся шкалы менее точны, ограничивают возможности статистического анализа. Возможно, поэтому не были установлены статистически значимые различия между выборками пациентов, получавших разные лекарственные формы палиперидона. Однако, наверное, благодаря длительному наблюдению были получены убедительные, статистически значимые различия динамики общего состояния, отдельных психопатологических симптомов и уровня социального функционирования.
ЗАКЛЮЧЕНИЕ
В 12-месячном наблюдательном исследовании динамики психосоциального функционирования и психопатологических симптомов у больных параноидной шизофренией, получавших в условиях реальной клинической практики в период становления ремиссии три различные лекарственные формы палиперидона, установлено статистически значимое и клинически существенное улучшение общего психического состояния и отдельных групп признаков шизофрении — позитивных, негативных, депрессии и особенно уровня социального функционирования. Терапия инъекционными лекарственными формами характеризовалась большей продолжительностью лечения палиперидоном и частотой полного завершения наблюдения. Терапия пероральной и инъекционной лекарственными формами палиперидона одинаково хорошо переносилась, а среди побочных эффектов терапии преобладали экстрапирамидные симптомы, гиперпролактинемия и ее клинические проявления, повышение аппетита и умеренное увеличение массы тела, в целом согласующиеся с составом НЯ, описанных в РКИ и указанных в инструкции по применению лекарственного препарата.
Вклад авторов: Все авторы внесли значительный вклад в статью.
Финансирование: Данная статья написана при поддержке компании Johnson & Johnson.
Конфликт интересов: Авторы статьи подтвердили отсутствие конфликта интересов, о котором необходимо сообщить.
Дополнительная информация
Дополнительный материал к этой статье можно найти в онлайн-версии:
Таблица S1: https://doi.org/10.17816/CP15567-145421
Таблица S2: https://doi.org/10.17816/CP15567-145422
Таблица S3: https://doi.org/10.17816/CP15567-145423
Таблица S4: https://doi.org/10.17816/CP15567-145424
Об авторах
Александр Михайлович Резник
ГБУЗ «Психиатрическая клиническая больница №1 им. Н.А. Алексеева ДЗМ»; ФГБОУ ВО «Российский биотехнологический университет (РОСБИОТЕХ)»; ГБУЗ «Психиатрическая клиническая больница № 4 им. П.Б. Ганнушкина ДЗМ»; ГБУЗ Московской области «Психиатрическая больница № 5»
							Автор, ответственный за переписку.
							Email: a.m.reznik1969@gmail.com
				                	ORCID iD: 0000-0002-7076-5901
				                	SPIN-код: 4955-8297
																		                								
MD, Cand. Sci (Med.), Senior researcher; Head of the Department of Psychiatry; Psychiatrist
Россия, Москва; Москва; Москва; МоскваОльга Анатольевна Карпенко
ГБУЗ «Психиатрическая клиническая больница №1 им. Н.А. Алексеева ДЗМ»
														Email: a.m.reznik1969@gmail.com
				                	ORCID iD: 0000-0002-0958-0596
				                	SPIN-код: 9600-0688
							Scopus Author ID: 56654984500
											                								
MD, Cand.Sci (Med.), Assistant professor, The head of scientific collaborations department
Россия, МоскваЕлена Александровна Шумакова
ГБУЗ «Психиатрическая клиническая больница № 4 им. П.Б. Ганнушкина ДЗМ»
														Email: a.m.reznik1969@gmail.com
				                	ORCID iD: 0000-0002-6871-1293
				                	SPIN-код: 9145-1965
																		                								
Рsychiatrist
Россия, МоскваАлександр Владимирович Мудрак
ГБУЗ «Психиатрическая клиническая больница №1 им. Н.А. Алексеева ДЗМ»
														Email: a.m.reznik1969@gmail.com
				                	ORCID iD: 0000-0003-1315-516X
				                	SPIN-код: 2735-6350
																		                								
врач-психиатр
Россия, МоскваАндрей Викторович Соколов
ГБУЗ «Психиатрическая клиническая больница №1 им. Н.А. Алексеева ДЗМ»
														Email: a.m.reznik1969@gmail.com
				                	ORCID iD: 0000-0001-8548-403X
				                																			                								
Psychiatrist, Head of Day patient facility of First psychotic episode clinic
Россия, МоскваСветлана Владимировна Назимова
ФГБОУ ВО «Российский биотехнологический университет (РОСБИОТЕХ)»; ФГБНУ «Научный центр психического здоровья»
														Email: a.m.reznik1969@gmail.com
				                					                	SPIN-код: 2791-3270
																		                								
MD, Cand. Sci (Med.), psychiatrist, Head of psychiatric department; Lecturer at the Department of Psychiatry
Россия, Москва; МоскваАлина Маратовна Сайфулина
ООО «МАЙНДСЕТ»
														Email: a.m.reznik1969@gmail.com
				                	ORCID iD: 0000-0002-5867-7116
				                																			                								
Psychiatrist
Россия, МоскваАнтон Михайлович Елисеенко
ООО «Эмпатия»
														Email: a.m.reznik1969@gmail.com
				                	ORCID iD: 0000-0003-4148-3216
				                																			                								
Psychiatrist
Россия, МоскваТатьяна Константиновна Матвиевская
ГБУЗ «Психиатрическая клиническая больница № 4 им. П.Б. Ганнушкина ДЗМ»
														Email: a.m.reznik1969@gmail.com
				                					                																			                								
Psychiatrist
Россия, МоскваАнгелина Наилевна Ханнанова
ФГБОУ ВО «Российский биотехнологический университет (РОСБИОТЕХ)»; ГБУЗ «Психиатрическая клиническая больница № 4 им. П.Б. Ганнушкина ДЗМ»; Московский государственный университет им. М.В. Ломоносова
														Email: a.m.reznik1969@gmail.com
				                	ORCID iD: 0000-0002-5765-2259
				                	SPIN-код: 7247-6175
																		                								
MD, Cand. Sci (Med.), Deputy Chief Physician for Clinical and Expert Work; Associate Professor, Department of Psychiatry
Россия, Москва; Москва; МоскваВладимир Иванович Ревенко
ФГБОУ ВО «Российский биотехнологический университет (РОСБИОТЕХ)»; ГБУЗ Московской области «Психиатрическая больница № 5»
														Email: a.m.reznik1969@gmail.com
				                					                																			                								
Psychiatrist
Россия, Москва; МоскваДмитрий Владимирович Щербаков
ГБУЗ «Психиатрическая клиническая больница № 4 им. П.Б. Ганнушкина ДЗМ»
														Email: a.m.reznik1969@gmail.com
				                	ORCID iD: 0000-0002-4182-4079
				                																			                								
MD, Cand. Sci (Med.), psychiatrist, Head of psychiatric outpatient dispensary № 17
Россия, МоскваЮрий Леонидович Мартынюк
ГБУЗ «Психиатрическая клиническая больница № 4 им. П.Б. Ганнушкина ДЗМ»
														Email: a.m.reznik1969@gmail.com
				                					                																			                								
MD, Cand.Sci (Med.), Psychiatrist, Head of the daycare patient centre, Psychiatric outpatient dispensary № 17
Россия, МоскваАлександр Леонидович Арбузов
ФГБОУ ВО «Российский биотехнологический университет (РОСБИОТЕХ)»; ГБУЗ Московской области «Психиатрическая больница № 5»
														Email: a.m.reznik1969@gmail.com
				                	ORCID iD: 0000-0001-8940-9299
				                	SPIN-код: 7592-3971
																		                								
MD, Cand. Sci (Med.), Psychiatrist, Head of psychiatric department; Associate Professor, Department of Psychiatry
Россия, Москва; МоскваОлег Анатольевич Яценко
ФГБОУ ВО «Российский биотехнологический университет (РОСБИОТЕХ)»
														Email: a.m.reznik1969@gmail.com
				                	ORCID iD: 0009-0003-0583-6966
				                	SPIN-код: 1468-4624
																		                								
MD, Cand. Sci (Med.), Assistant professor, Department of healthcare organization
Россия, МоскваПолина Николаевна Алексеева
ГБУЗ «Психиатрическая клиническая больница №1 им. Н.А. Алексеева ДЗМ»
														Email: a.m.reznik1969@gmail.com
				                	ORCID iD: 0000-0002-4674-2718
				                	SPIN-код: 2410-9292
																		                								
Psychiatrist
Россия, МоскваАлександр Берикович Бердалин
ГБУЗ «Психиатрическая клиническая больница №1 им. Н.А. Алексеева ДЗМ»
														Email: a.m.reznik1969@gmail.com
				                	ORCID iD: 0000-0001-5387-4367
				                	SPIN-код: 3681-6911
																		                								
MD, Cand. Sci (Med.), biostatistician
Россия, МоскваЛариса Андреевна Бурыгина
ГБУЗ «Психиатрическая клиническая больница № 4 им. П.Б. Ганнушкина ДЗМ»
														Email: a.m.reznik1969@gmail.com
				                	ORCID iD: 0000-0002-2613-8783
				                	SPIN-код: 9386-4467
																		                								
MD, Cand. Sci. (Med.), Psychiatrist
Россия, МоскваСписок литературы
- Kurmyshev MV, Zaytseva MS, Kuzmenko AYu, et al. [The use of long acting antipsychotics in outpatient care]. Zhurnal nevrologii I psikhiatrii im. S.S. Korsakova. 2020;120(62):77-81. Russian. doi: 10.17116/jnevro202012006277
- Correll CU, Citrome L, Haddad PM, et al. The Use of Long-Acting Injectable Antipsychotics in Schizophrenia: Evaluating the Evidence. J Clin Psychiatry, 2016;77(suppl 3):1-24. doi: 10.4088/JCP.15032su1
- Fang SC, Liao DL, Huang CY, et al. The effectiveness of long- acting injectable antipsychotics versus oral antipsychotics in the maintenance treatment of outpatients with chronic schizophrenia. Human Psychopharmacol. 2020;35(3):e2729. doi: 10.1002/hup.2729
- Kane JM, Schooler NR, Marcy P, et al. Effect of Long-Acting Injectable Antipsychotics vs Usual Care on Time to First Hospitalization in Early-Phase Schizophrenia: A Randomized Clinical Trial. JAMA Psychiatry. 2020;77(12):1217-1224. doi: 10.1001/jamapsychiatry.2020.2076
- Lin CH, Chen FC, Chan HY, et al. Time to Rehospitalization in Patients With Schizophrenia Receiving Long-Acting Injectable Antipsychotics or Oral Antipsychotics. Int J Neuropsychopharmacol. 2019;22(9):541-547. doi: 10.1093/ijnp/pyz035
- Lin CH, Chen FC, Chan, HY, et al. A Comparison of Long-Acting Injectable Antipsychotics with Oral Antipsychotics on Time to Rehospitalization Within 1 Year of Discharge in Elderly Patients with Schizophrenia. Am J Geriatr Psychiatry. 2020;28(1):23-30. doi: 10.1016/j.jagp.2019.08.005
- Magliocco F, de Filippis R, Aloi M, et al. Second-generation long- acting injections anti-psychotics improve executive functions in patients with schizophrenia: a 12-month real-world study. Int J Psychiatry Clin Pract. 2020;24(2):201-207. doi: 10.1080/13651501.2020.1737134
- Maestri TJ, Mican LM, Rozea H, et al. Do Long-Acting Injectable Antipsychotics Prevent or Delay Hospital Readmission? Psychopharmacol Bull. 2018;48(3):8-15.
- Medrano S, Abdel-Baki A, Stip E, et al. Three-Year Naturalistic Study On Early Use Of Long-Acting Injectable Antipsychotics In First Episode Psychosis. Psychopharmacol Bull. 2018;48(4):25-61.
- Olayinka O, Oyelakin A, Cherukupally K, et al. Use of Long-Acting Injectable Antipsychotic in an Inpatient Unit of a Community Teaching Hospital. Psychiatry J. 2019;2019:8629030 doi: 10.1155/2019/8629030
- Shah A, Xie L, Kariburyo F, et al. Treatment Patterns, Healthcare Resource Utilization and Costs Among Schizophrenia Patients Treated with Long-Acting Injectable Versus Oral Antipsychotics. Adv Ther. 2018;35(11):1994-2014. doi: 10.1007/s12325-018-0786-x
- Teitelbaum A, Kodesh A. [Long-acting injectable antipsychotics in schizophrenia]. Harefuah. 2019;158(7):453-457. Hebrew.
- Berezantsev AYu, Burygina LA, Levin ME. [Some current trends in the use of prolonged injectable antipsychotics in the conditions of modernization of the psychiatric service]. Zhurnal nevrologii i psikhiatrii im. S.S. Korsakova. 2020;120(62):61-67. Russian. doi: 10.17116/jnevro202012006261
- Burygina LA, Grigorieva DD, Golubev SA, et al. [Clinical and social characteristics, quality of life, adherence to therapy in IPA patients with schizophrenia spectrum disorders: a crosssectional study]. Psihiatriya. 2023;21(24):27-41. Russian doi: 10.30629/2618-6667-2023-21-4-27-41
- Kostyuk GP, Kurmyshev MV, Zajceva MS, et al. [Long-acting risperidone: analysis of 24 months of therapy in patients with frequent hospitalizations]. Social’naya i klinicheskaya psihiatriya. 2017;24(4):53-58. Russian.
- Lyubov EB, Chapurin SA, Churilin YuYu, et al. [Clinical, social and economic effectiveness of paliperidone palmitate in patients with the first episode of schizophrenia]. Social’naya i klinicheskaya psihiatriya. 2019;29(1):60-72. Russian.
- Joo SW, Shon SH, Choi G, et al. Continuation of schizophrenia treatment with three long-acting injectable antipsychotics in South Korea: A nationwide population-based study. Eur Neuropsychopharmacol. 2019;29(9):1051-1060. doi: 10.1016/j.euroneuro.2019.07.138
- Marcus SC, Zummo J, Pettit AR, et al. Antipsychotic Adherence and Rehospitalization in Schizophrenia Patients Receiving Oral Versus Long-Acting Injectable Antipsychotics Following Hospital Discharge. J Manag Care Spec Pharm. 2015;21(9):754-768. doi: 10.18553/jmcp.2015.21.9.754
- Miura G, Misawa F, Kawade Y, et al. Long-Acting Injectables Versus Oral Antipsychotics: A Retrospective Bidirectional Mirror-Image Study. J Clin Psychopharmacol. 2019;39(5):441-445. doi: 10.1097/JCP.0000000000001082
- Olfson M, Marcus SC, Ascher-Svanum H. Treatment of schizophrenia with long-acting fluphenazine, haloperidol, or risperidone. Schizophr Bull. 2007;33(6):1379-1387. doi: 10.1093/schbul/sbm033
- Rubio JM, Taipale H, Correll CU, et al. Psychosis breakthrough on antipsychotic maintenance: results from a nationwide study. Psychol Med. 2020;50(8):1356-1367. doi: 10.1017/S0033291719001296
- Weiser M, Davis JM, Brown CH, et al. Differences in Antipsychotic Treatment Discontinuation Among Veterans with Schizophrenia in the U.S. Department of Veterans Affairs. Am J Psychiatry. 2021;178(10):932-940. doi: 10.1176/appi.ajp.2020.20111657
- Alphs L, Bossie CA, Sliwa JK, et al. Onset of efficacy with acute long-acting injectable paliperidone palmitate treatment in markedly to severely ill patients with schizophrenia: post hoc analysis of a randomized, double-blind clinical trial. Ann Gen Psychiatry. 2011;10(1):12. doi: 10.1186/1744-859X-10-12
- Bossie CA, Sliwa JK, Ma YW, et al. Onset of efficacy and tolerability following the initiation dosing of long-acting paliperidone palmitate: post-hoc analyses of a randomized, double-blind clinical trial. BMC Psychiatry. 2011;11:79. doi: 10.1186/1471-244X-11-79
- Bozzatello P, Bellino S, Mancini I, et al. Effects on Satisfaction and Service Engagement of Paliperidone Palmitate Compared with Oral Paliperidone in Patients with Schizophrenia: An Open Label Randomized Controlled Trial. Clin Drug Investig. 2019;39(2):169-178. doi: 10.1007/s40261-018-0734-1
- Brown B, Turkoz I, Mancevski B, et al. Evaluation of paliperidone palmitate long-acting injectable antipsychotic therapy as an early treatment option in patients with schizophrenia. Early Interv Psychiatry. 2020;14(4):428-438. doi: 10.1111/eip.12868
- Cai Q, Patel C, Kim E, et al. Factors Associated with the Initiation of Long-Acting Injectable Paliperidone Palmitate Versus Aripiprazole Among Medicaid Patients with Schizophrenia: An Observational Study. Adv Ther. 2019;36(4):858-869. doi: 10.1007/s12325-019-00913-w
- Carpiniello B, Pinna F. Critical appraisal of 3-monthly paliperidone depot injections in the treatment of schizophrenia. Drug Des Devel Ther. 2016;10:1731-1742. doi: 10.2147/DDDT.S86301
- Fernandez-Miranda JJ, Diaz-Fernandez S, De Berardis D, et al. Paliperidone Palmitate Every Three Months (PP3M) 2-Year Treatment Compliance, Effectiveness and Satisfaction Compared with Paliperidone Palmitate-Monthly (PP1M) in People with Severe Schizophrenia. J Clin Med. 2021;10(7):1408. doi: 10.3390/jcm10071408
- Garcia-Carmona JA, Simal-Aguado J, Campos-Navarro MP, et al. Evaluation of long-acting injectable antipsychotics with the corresponding oral formulation in a cohort of patients with schizophrenia: a real-world study in Spain. Int Clin Psychopharmacol. 2021;36(1):18-24. doi: 10.1097/YIC.0000000000000339
- Gutiérrez-Rojas L, Sanchez-Alonso S, Garcia Dorado M, et al. Impact of 3-Monthly Long-Acting Injectable Paliperidone Palmitate in Schizophrenia: A Retrospective, Real-World Analysis of PopulationBased Health Records in Spain. CNS Drugs. 2022;36(5):517-527. doi: 10.1007/s40263-022-00917-1
- Kishimoto T, Hagi K, Kurokawa S, et al. Long-acting injectable versus oral antipsychotics for the maintenance treatment of schizophrenia: a systematic review and comparative meta-analysis of randomised, cohort, and pre-post studies. Lancet Psychiatry. 2021;8(5):387-404. doi: 10.1016/S2215-0366(21)00039-0
- Marti'nez-Andrés JA, Garcia-Carmona JA. Switching from clozapine to paliperidone palmitate-3-monthly improved obesity, hyperglycemia and dyslipidemia lowering antipsychotic dose equivalents in a treatment-resistant schizophrenia cohort. Int Clin Psychopharmacol. 2020;35(3):163-169. doi: 10.1097/YIC.0000000000000300
- Najarian D, Sanga P, Wang S, et al. A Randomized, Double-Blind, Multicenter, Noninferiority Study Comparing Paliperidone Palmitate 6-Month Versus the 3-Month Long-Acting Injectable in Patients With Schizophrenia. Int J Neuropsychopharmacol. 2022;25(3);238-251. doi: 10.1093/ijnp/pyab071
- Petrie D, Racki V, Gaco N, et al. Retrospective Analysis of the Effectiveness and Tolerability of Long-Acting Paliperidone Palmitate Antipsychotic in Adolescent First-Episode Schizophrenia Patients. J Child Adolesc Psychopharmacol. 2019;29(3):197-204. doi: 10.1089/cap.2018.0044
- Saglam Aykut D. Comparison of Paliperidone Palmitate and Second-Generation Oral Antipsychotics in Terms of Medication Adherence, Side Effects, and Quality of Life. J Clin Psychopharmacol. 2019;39(1):57-62. doi: 10.1097/JCP.0000000000000993
- Segarra R, Recio-Barbero M, Saenz-Herrero M, et al. Oral and Palmitate Paliperidone Long-Acting Injectable Formulations’ Use in Schizophrenia Spectrum Disorders: A Retrospective Cohort Study from the First Episode Psychosis Intervention Program (CRUPEP). Int J Neuropsychopharmacol. 2021;24(9):694-702. doi: 10.1093/ijnp/pyab021
- Schneider-Thoma J, Chalkou K, Dörries C, et al. Comparative efficacy and tolerability of 32 oral and long-acting injectable antipsychotics for the maintenance treatment of adults with schizophrenia: a systematic review and network meta-analysis. Lancet. 2022;399(10327):824-836. doi: 10.1016/S0140-6736(21)01997-8
- Alphs L, Bossie CA, Fu DJ, et al. Onset and persistence of efficacy by symptom domain with long-acting injectable paliperidone palmitate in patients with schizophrenia. Expert Opin Pharmacother. 2014;15(7):1029-1042. doi: 10.1517/14656566.2014.909409
- Kim S, Kim S, Koh M, et al. Effects of Long-Acting Injectable Paliperidone Palmitate on Clinical and Functional Outcomes in Patients With Schizophrenia Based on Illness Duration. J Clin Psychiatry 2021;82(1):20m13446. doi: 10.4088/JCP.20m13446
- Savitz AJ, Xu H, Gopal S, et al. Paliperidone palmitate 3-month treatment results in symptomatic remission in patients with schizophrenia: a randomized, multicenter, double-blind, and noninferiority study. Int Clin Psychopharmacol. 2017;32(6):329-336. doi: 10.1097/YIC.0000000000000190
- Kane JM, Kishimoto T, Correll CU. Assessing the comparative effectiveness of long-acting injectable vs. oral antipsychotic medications in the prevention of relapse provides a case study in comparative effectiveness research in psychiatry. J Clin Epidemiol. 2013;66(8 Suppl):S37-S41. doi: 10.1016/j.jclinepi.2013.01.012
- Basu A, Benson C, Alphs L. Projecting the Potential Effect of Using Paliperidone Palmitate Once-Monthly and Once-Every-3- Months Long-Acting Injections Among Medicaid Beneficiaries with Schizophrenia. J Manag Care Spec Pharm. 2018;24(8):759-768. doi: 10.18553/jmcp.2018.24.8.759
- Bell Lynum KS, Turkoz I, Kim E. Paliperidone palmitate once-every- 3-months in adults with early illness schizophrenia. Early Interv Psychiatry. 2019;13(3):667-672. doi: 10.1111/eip.12685
- Berwaerts J, Liu Y, Gopal S, et al. Efficacy and Safety of the 3-Month Formulation of Paliperidone Palmitate vs Placebo for Relapse Prevention of Schizophrenia: A Randomized Clinical Trial. JAMA Psychiatry. 2015;72(8):830-839. doi: 10.1001/jamapsychiatry.2015.0241
- Brasso C, Bellino S, Bozzatello P, et al. Role of 3-monthly long-acting injectable paliperidone in the maintenance of schizophrenia. Neuropsychiatr Dis Treat. 2017;13:2767-2779. doi: 10.2147/NDT.S150568
- Huhn M, Nikolakopoulou A, Schneider-Thoma J, et al. Comparative efficacy and tolerability of 32 oral antipsychotics for the acute treatment of adults with multi-episode schizophrenia: a systematic review and network meta-analysis. Lancet. 2019;394(10202):939-951. doi: 10.1016/S0140-6736(19)31135-3
- Weiden PJ, Kim E, Bermak J, et al. Does Half-Life Matter After Antipsychotic Discontinuation? A Relapse Comparison in Schizophrenia With 3 Different Formulations of Paliperidone. J Clin Psychiatry. 2017;78(7):e813-e820. doi: 10.4088/JCP.16m11308
- Marder SR, Davis J M, Chouinard G. The effects of risperidone on the five dimensions of schizophrenia derived by factor analysis: combined results of the North American trials. J Clin Psychiatry. 1997;58(12):538-546. doi: 10.4088/jcp.v58n1205
- Nash AI, Turkoz I, Savitz AJ, et al. Predictors of achieving remission in schizophrenia patients treated with paliperidone palmitate 3-month formulation. Neuropsychiatr Dis Treat. 2019;15:731-737. doi: 10.2147/NDT.S194264
- Mathews M, Nuamah I, Savitz AJ, et al. Time to onset and time to resolution of extrapyramidal symptoms in patients with exacerbated schizophrenia treated with 3-monthly vs once- monthly paliperidone palmitate. Neuropsychiatr Disease Treat. 2018;14:2807-2816. doi: 10.2147/NDT.S175364
- Garcia-Portilla MP, Llorca PM, Maina G, et al. Symptomatic and functional outcomes after treatment with paliperidone palmitate 3-month formulation for 52 weeks in patients with clinically stable schizophrenia. Ther Adv Psychopharmacol. 2020;10:2045125320926347. doi: 10.1177/2045125320926347
- Garcia-Portilla MP, Benito Ruiz A, Gômez Robina F, et al. Impact on functionality of the paliperidone palmitate three- month formulation in patients with a recent diagnosis of schizophrenia: a real-world observational prospective study. Expert Opin Pharmacother. 2022;23(5):629-638. doi: 10.1080/14656566.2021.2023496
- Emond B, Joshi K, Khoury ACE, et al. Adherence, Healthcare Resource Utilization, and Costs in Medicaid Beneficiaries with Schizophrenia Transitioning from Once-Monthly to Once- Every-3-Months Paliperidone Palmitate. Pharmacoecon Open. 2019;3(2):177-188. doi: 10.1007/s41669-018-0089-9
- Joshi K, Muser E, Xu Y, et al. Adherence and economic impact of paliperidone palmitate versus oral atypical antipsychotics in a Medicare population. J Comp Eff Res. 2018;7(8):723-735. doi: 10.2217/cer-2018-0003
- Stahl S. Long-acting injectable antipsychotics: Shall the last be first? CNS Spectr. 2014;19(1):3-5. doi: 10.1017/S1092852913001016
- Morosini PL, Magliano L, Brambilla L, et al. Development, reliability and acceptability of a new version of the DSM-IV Social and Occupational Functioning Assessment Scale (SOFAS) to assess routine social functioning. Acta Psychiatr Scand. 2020;101(4):323-329.
- Opler M, Fu DJ. Comments on the scoring guideline of the personal and social performance scale (PSP). Schizophr Res. 2014;152(1):304. doi: 10.1016/j.schres.2013.10.039
- Nafees B, van Hanswijck de Jonge P, Stull D, et al. Reliability and validity of the Personal and Social Performance scale in patients with schizophrenia. Schizophr Res. 2012:140(1-3):71-76. doi: 10.1016/j.schres.2012.06.013
- Lee SC, Tang SF, Lu WS, et al. Minimal detectable change of the Personal and Social Performance scale in individuals with schizophrenia. Psychiatry Res. 2016;246:725-729. doi: 10.1016/j.psychres.2016.10.058
- Jelastopulu E, Giourou E, Merekoulias G, et al. Correlation between the Personal and Social Performance scale (PSP) and the Positive and Negative Syndrome Scale (PANSS) in a Greek sample of patients with schizophrenia. BMC Psychiatry. 2014;14:197. doi: 10.1186/1471-244X-14-197
- Diagnostic and Statistical Manual of Mental Disorders. 5th ed. Arlington: American Psychiatric Publishing; 2013. p. 743-744.
- Diagnostic and Statistical Manual of Mental Disorders. 5th ed, text revision. Washington: American Psychiatric Publishing; 2022.
- First MB. Diagnostic and statistical manual of mental disorders, 5th edition, and clinical utility. J Nerv Ment Dis. 2013;201(9):727-729. doi: 10.1097/NMD.0b013e3182a2168a
- First MB, Gaebel W, Maj M, et al. An organization- and categorylevel comparison of diagnostic requirements for mental disorders in ICD-11 and DSM-5. World Psychiatry. 2021;20(1):34-51. doi: 10.1002/wps.20825
- Berendsen S, van der Veen NM, van Tricht MJ, et al. Psychometric properties of the DSM-5 Clinician-Rated Dimensions of Psychosis Symptom Severity. Schizophr Res. 2020;216:416-421. doi: 10.1016/j.schres.2019.10.059
- Liemburg E, Nienhuis F, Veling W. M95. DSM-5 Clinician-Rated Dimensions of Psychosis Symptom Severity: Psychometric Properties. Schizophr Bull. 2020;46(Suppl 1):S170-S171. doi: 10.1093/schbul/sbaa030.407
- Jeong JH, Kim SW, Lee BJ, et al. The factor structure and clinical utility of clinician-rated dimensions of psychosis symptom severity in patients with recent-onset psychosis: Results of a 1-year longitudinal follow-up prospective cohort study. Psychiatry Res. 2022;310:114420. doi: 10.1016/j.psychres.2022.114420
- Keeley JW, Gaebel W. Symptom rating scales for schizophrenia and other primary psychotic disorders in ICD-11. Epidemiol Psychiatr Sci. 2018;27(3):219-224. doi: 10.1017/S2045796017000270
- Guy W. Clinical Global Impressions. In: ECDEU Assessment Manual for Psychopharmacology: Revised, 1976. Rockville: U.S. Department of Health, Education and Welfare, et al; 1976. p. 217-222.
- Berk M, Ng F, Dodd S, et al. The validity of the CGI severity and improvement scales as measures of clinical effectiveness suitable for routine clinical use. J Eval Clin Pract. 2008;14(6):979-983. doi: 10.1111/j.1365-2753.2007.00921.x
- Dunlop BW, Gray J, Rapaport MH. Transdiagnostic Clinical Global Impression Scoring for Routine Clinical Settings. Behav Sci (Basel). 2017;7(3):40. doi: 10.3390/bs7030040
- Alphs LD, Summerfelt A, Lann H, et al. The negative symptom assessment: a new instrument to assess negative symptoms of schizophrenia. Psychopharmacol Bull. 1989;25(2):159-163.
- Axelrod BN, Goldman RS, Alphs LD. Validation of the 16-item Negative Symptom Assessment. J Psychiatr Res. 1993;27(3):253-258. doi: 10.1016/0022-3956(93)90036-2
- Alphs L, Morlock R, Coon C, et al. The 4-Item Negative Symptom Assessment (NSA-4) Instrument: A Simple Tool for Evaluating Negative Symptoms in Schizophrenia Following Brief Training. Psychiatry (Edgmont). 2010;7(7):26-32.
Дополнительные файлы
 
				
			 
						 
					 
						 
									







