Kinetics of formation of individual C1-C5 hydrocarbons during stepwise dry pyrolysis of kerogen from Domanik shale after hydrothermal treatment
- Авторлар: Bushnev D.A.1, Burdelnaya N.S.1
-
Мекемелер:
- Institute of Geology FRC Komi SC UB RAS
- Шығарылым: № 9 (2024)
- Беттер: 3-11
- Бөлім: Scientific articles
- URL: https://journal-vniispk.ru/2712-7761/article/view/296868
- DOI: https://doi.org/10.19110/geov.2024.9.1
- ID: 296868
Дәйексөз келтіру
Толық мәтін
Аннотация
The article presents the results of determining the kinetic characteristics of the formation of individual hydrocarbon gases at different stages of artificially increased thermal maturity of the Domanik shale from an Chut River outcrop (Ukhta District). Based on the data of stepwise pyrolysis of residual kerogen isolated from the shale after hydrothermal treatment, the distributions of the formation potential of individual hydrocarbons of the composition C1—C5 by the activation energy scale (kinetic spectra) were determined. The kinetic spectra of n-butane and n-pentane do not change with increasing temperature of the hydrothermal experiment and increasing maturity of the organic matter. The maximum of the potential distribution on the activation energy scale of methane and ethane shifts to the region of higher values with increasing thermal maturity. The results can be used to clarify the conditions for the implementation of the gas formation potential in the domanik deposits of the Timan-Pechora basin.
Негізгі сөздер
Толық мәтін
Введение
Образование керогеном углеводородных газов в процессе катагенеза является одним из проявлений или составляющей нафтидогенеза в целом (Тиссо, Вельте, 1981; Рогозина, 1983). Можно выделить два ключевых момента в задаче изучения образования углеводородов органическим веществом (ОВ). Первый —определить механизмы образования углеводородов, в данном случае газов, веществом, находящимся на определённом этапе термического созревания, и второй — выяснить, как изменяется структура керогена по мере его термического созревания и реализации им своего углеводородного потенциала (Behar et al., 1997; Астахов, 2016; Leushina et al., 2021). Поэтому наш подход к изучению газообразования керогена основан на совместном применении двух взаимодополняющих термических методов. Для моделирования термического созревания керогена в составе породы применяется водный термолиз (гидротермальный эксперимент в автоклаве) (Lewan, 1985; Behar et al., 1997; Lewan, Ruble, 2002; Меленевский и др., 2009; Бушнев, Бурдельная, 2013; Бушнев и др., 2023a; Калмыков и др., 2021), а для изучения керогена определённой стадии термического созревания — сухой высокотемпературный пиролиз, причём последний — в варианте ступенчатого повышения температуры (Wang et al., 2013; Liao et al., 2015; Gai et al., 2018).
Целью настоящего исследования является анализ изменения распределения потенциала образования углеводородных газов состава С1—С5 по шкале энергий активации на основании данных, полученных в результате ступенчатого пиролиза керогена доманикового сланца до и после гидротермального воздействия, для исследования молекулярных механизмов образования углеводородов.
Методика работ
Для исследования был отобран доманиковый горючий сланец из обнажения по р. Чуть Ухтинского района (Республика Коми, Тимано-Печорская провинция). Горючий сланец представляет собой кремнисто-карбонатную породу с содержанием органического углерода в породе 19.6 %. Сам сланец битуминозный, содержит кероген II типа, характеризующийся значениями атомных отношений Н/С и О/С — 1.23 и 0.09 соответственно (Бушнев, Бурдельная, 2013).
Гидротермальный эксперимент с предварительно дебитуминизированной породой проводился в автоклаве объёмом 740 мл при температурах (°С): 250 (24 и 72 часа), 275 (24 и 72 часа), 300 (24 и 72 часа), 325 (24 и 72 часа), 350 (24, 48 и 72 часа) и 375 (24 часа) — по методике, изложенной в работе (Бушнев и др., 2023а).
Сухой пиролиз выполнялся с использованием хроматографа «Кристалл-2000М», оснащённого пиролитической системой ввода, разработанной в ИГ ФИЦ Коми НЦ УрО РАН по авторской методике (Бушнев и др., 2023b). Пиролиз проводится при температурах 333, 435, 522, 618, 710 и 800 °С (время 10 с) при последовательном нагреве одной и той же навески с анализом газообразных продуктов каждой температурной ступени.
Результаты пиролитического исследования доманикового сланца по методу Rock-Eval получены для исходного сланца и суточных экспериментов в ТПУ (Томск) на приборе Rock-Eval-6 turbo, а для двух- и трёхсуточных — в МГУ им. М. В. Ломоносова (Москва) с использованием пробора Hawk.
Основа расчётов распределений энергий активации образования газообразных углеводородов по данным ступенчатого пиролиза — уравнения химической кинетики первого порядка:
- скорость реакции:
;
- концентрация реагента к моменту времени t:
;
- уравнение Аррениуса:
Выход при пиролизе углеводородного газа представляется суммой выходов так называемых псевдокомпонентов, характеризующихся заранее заданными значениями энергии активации, распределение выходов которых как раз и является искомым кинетическим спектром (композиционная кинетика). Количество каждого углеводородного газа, образованного на температурной ступени Tj, определялось из следующего выражения:
×
×
где C0 — максимально возможный выход углеводородного газа (совпадает с концентрацией структуры-предшественника и равна суммарному выходу компонента по всем температурным ступеням), j — номер температурной ступени, i — номер псевдокомпонента, ai — доля псевдокомпонента, а Ei — его энергия активации. Константа Аррениуса принималась одинаковой для всех псевдокомпонентов, в наших расчётах это 1×1014 с-1. Расчёт распределения энергий активации производился путём численного решения задачи о минимизации суммы квадратов разницы между измеренным и вычисленным значением выхода углеводородного газа на всех температурных ступенях. Расчёт выполнялся в программе Excel надстройкой Solver.
Результаты и их обсуждение
По данным пиролиза Rock-Eval, повышение температуры гидротермального эксперимента привело к увеличению значения показателя Tmax от 413 до 482 °С. Тренд экспериментальных изменений показателей Rock-Eval в гидротермальном эксперименте в основном соответствует тренду изменений органического вещества доманика при натуральном катагенезе (рис. 1).
Рис. 1. Зависимость от Tmax показателя HI, полученного по данным Rock-Eval-пиролиза: квадратики соответствуют ранее опубликованным данным по породам доманика (Бушнев и др., 2023c), кружочки — данным, полученным после гидротермального эксперимента доманиковой породы
Fig. 1. Dependence of HI index on Tmax obtained from Rock-Eval pyrolysis data: squares correspond to previously published data on Domanik rocks (Bushnev et al., 2023c), circles correspond to data obtained after a hydrothermal experiment on Domanik rock
Расчётная величина EASY %Ro достигла 1.18 при температуре 375 °С (24 часа) (Sweeney, Burnham, 1990).
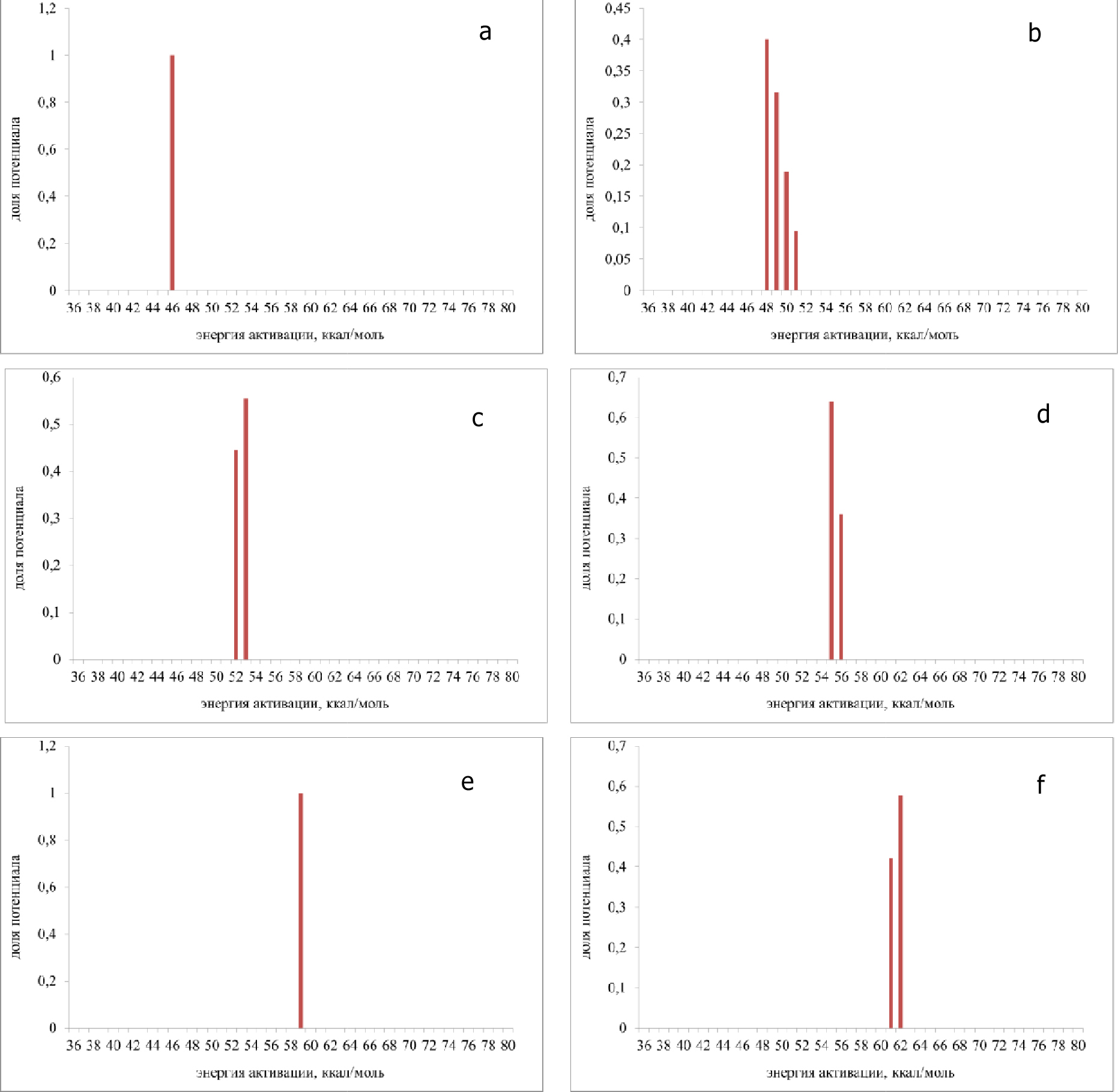
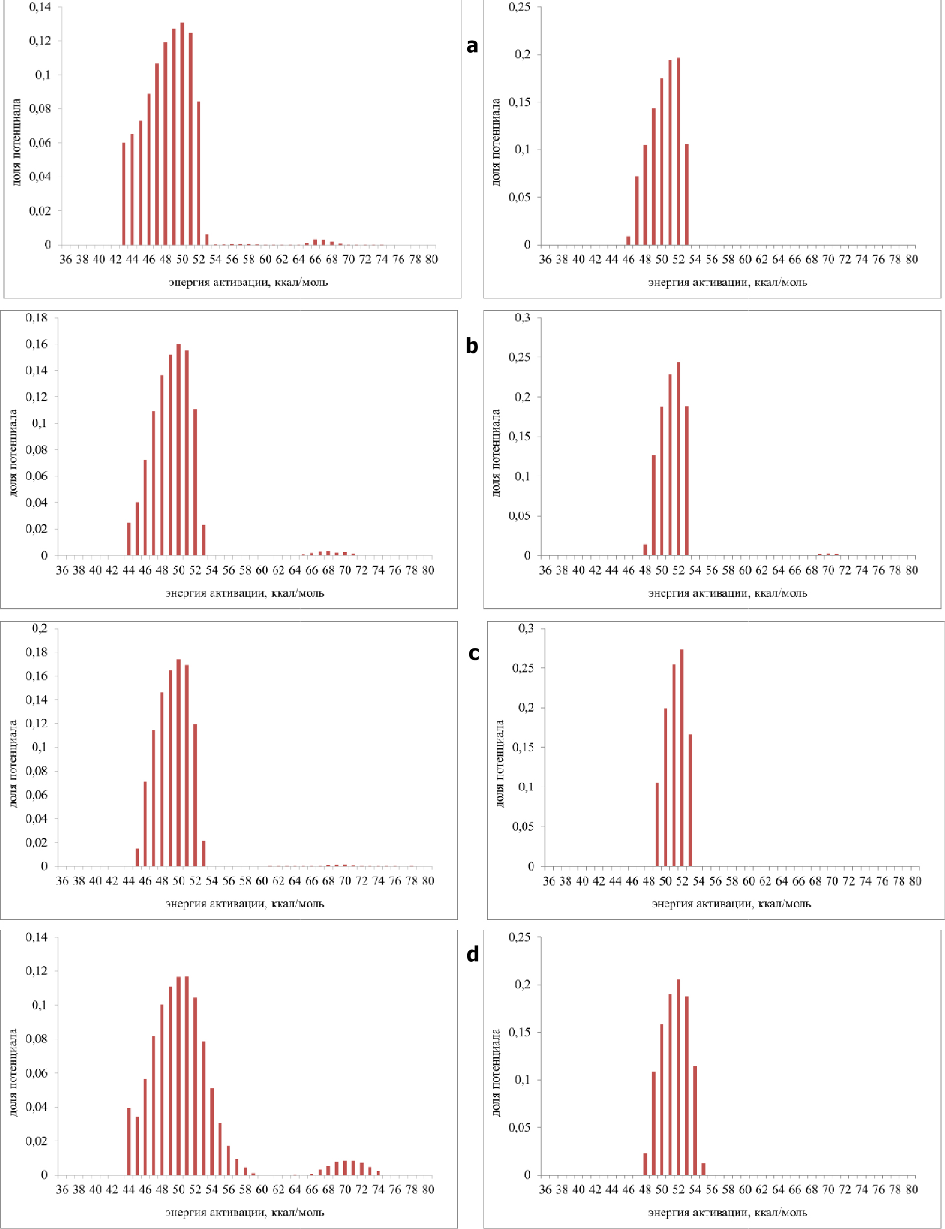
Кинетические спектры метана, этана, н-бутана и н-пентана для исходного керогена и для керогена, подвергшегося гидротермальному воздействию, представлены на рис. 2, 3 и в табл. 1 и 2.
Рис. 2. Распределение начального потенциала образования метана (левая колонка) и этана (правая колонка) по шкале энергий активации при сухом ступенчатом пиролизе керогена до и после гидротермального воздействия:
a — для исходного керогена, b — после 275 °С/24 ч, c — после 325 °С/24 ч, d — после 375 °С/24 ч
Fig. 2. Kinetic spectra for the formation of methane (left) and ethane (right) during dry stepwise pyrolysis of kerogen before and after hydrothermal treatment:
a — for the initial kerogen, b — after 275 °C/24 hr, c — after 325 °C/24 hr, d — after 375 °C/24 hr
Рис. 3. Распределение начального потенциала образования н-бутана (левая колонка) и н-пентана (правая колонка) по шкале энергий активации при сухом ступенчатом пиролизе керогена до и после гидротермального воздействия:
a — для исходного керогена, b — после 275 °С/24 ч, c — после 325 °С/24 ч, d — после 375 °С/24 ч
Fig. 3. Kinetic spectra for the formation of n-butane (left) and n-pentane (right) during dry stepwise pyrolysis of kerogen before and after hydrothermal treatment:
a — for the initial kerogen, b — after 275 °C/24 hr, c — after 325 °C/24 hr, d — after 375 °C/24 hr
Таблица 1. Кинетические спектры метана, полученные при сухом пиролизе керогена исходного сланца и остаточного керогена после гидротермального воздействия. Частотный фактор 1×1014
Table 1. Kinetic spectra of methane obtained from dry pyrolysis of kerogen of the initial shale and residual kerogen after hydrothermal treatment. Frequency factor 1×1014
Ei, ккал/моль Kcal/mol | Исх. Init. | Температура автоклава, °С/время, ч / Аutoclave temperature, °C/time, h | |||||||||||
250/24 | 250/72 | 275/24 | 275/72 | 300/24 | 300/72 | 325/24 | 325/72 | 350/24 | 350/48 | 350/72 | 375/24 | ||
36 | 0.000 | 0.000 | 0.000 | 0.000 | 0.000 | 0.000 | 0.000 | 0.000 | 0.000 | 0.000 | 0.000 | 0.000 | 0.000 |
37 | 0.000 | 0.000 | 0.000 | 0.000 | 0.001 | 0.000 | 0.000 | 0.000 | 0.000 | 0.000 | 0.000 | 0.000 | 0.000 |
38 | 0.000 | 0.000 | 0.000 | 0.000 | 0.000 | 0.001 | 0.001 | 0.000 | 0.000 | 0.000 | 0.000 | 0.000 | 0.000 |
39 | 0.003 | 0.000 | 0.000 | 0.000 | 0.000 | 0.000 | 0.000 | 0.000 | 0.000 | 0.000 | 0.000 | 0.000 | 0.000 |
40 | 0.000 | 0.000 | 0.000 | 0.000 | 0.000 | 0.000 | 0.000 | 0.000 | 0.000 | 0.000 | 0.000 | 0.000 | 0.000 |
41 | 0.000 | 0.001 | 0.000 | 0.000 | 0.000 | 0.000 | 0.000 | 0.000 | 0.000 | 0.000 | 0.000 | 0.000 | 0.000 |
42 | 0.000 | 0.001 | 0.000 | 0.000 | 0.000 | 0.000 | 0.000 | 0.000 | 0.000 | 0.000 | 0.000 | 0.000 | 0.000 |
43 | 0.001 | 0.000 | 0.000 | 0.000 | 0.000 | 0.000 | 0.000 | 0.000 | 0.000 | 0.000 | 0.000 | 0.000 | 0.000 |
44 | 0.001 | 0.000 | 0.014 | 0.000 | 0.001 | 0.000 | 0.000 | 0.000 | 0.000 | 0.000 | 0.000 | 0.000 | 0.000 |
45 | 0.001 | 0.000 | 0.004 | 0.000 | 0.000 | 0.000 | 0.000 | 0.000 | 0.000 | 0.002 | 0.000 | 0.000 | 0.001 |
46 | 0.027 | 0.024 | 0.005 | 0.018 | 0.000 | 0.000 | 0.000 | 0.001 | 0.000 | 0.002 | 0.001 | 0.000 | 0.001 |
47 | 0.027 | 0.000 | 0.005 | 0.002 | 0.000 | 0.000 | 0.000 | 0.001 | 0.000 | 0.002 | 0.001 | 0.000 | 0.001 |
48 | 0.034 | 0.048 | 0.004 | 0.004 | 0.000 | 0.000 | 0.000 | 0.001 | 0.001 | 0.001 | 0.001 | 0.000 | 0.001 |
49 | 0.042 | 0.035 | 0.037 | 0.043 | 0.000 | 0.000 | 0.000 | 0.001 | 0.001 | 0.001 | 0.001 | 0.000 | 0.000 |
50 | 0.048 | 0.039 | 0.041 | 0.051 | 0.051 | 0.061 | 0.016 | 0.065 | 0.000 | 0.002 | 0.000 | 0.000 | 0.000 |
51 | 0.052 | 0.041 | 0.044 | 0.056 | 0.060 | 0.072 | 0.042 | 0.045 | 0.016 | 0.006 | 0.000 | 0.006 | 0.000 |
52 | 0.054 | 0.043 | 0.046 | 0.059 | 0.065 | 0.079 | 0.047 | 0.049 | 0.030 | 0.007 | 0.000 | 0.008 | 0.000 |
53 | 0.056 | 0.045 | 0.049 | 0.061 | 0.068 | 0.082 | 0.052 | 0.053 | 0.034 | 0.040 | 0.000 | 0.009 | 0.000 |
54 | 0.059 | 0.053 | 0.055 | 0.063 | 0.070 | 0.080 | 0.061 | 0.061 | 0.045 | 0.052 | 0.051 | 0.008 | 0.000 |
55 | 0.063 | 0.062 | 0.064 | 0.065 | 0.072 | 0.076 | 0.073 | 0.071 | 0.059 | 0.068 | 0.057 | 0.072 | 0.067 |
56 | 0.066 | 0.069 | 0.071 | 0.067 | 0.074 | 0.073 | 0.084 | 0.079 | 0.071 | 0.082 | 0.072 | 0.076 | 0.060 |
57 | 0.069 | 0.075 | 0.076 | 0.068 | 0.075 | 0.070 | 0.091 | 0.085 | 0.080 | 0.092 | 0.083 | 0.074 | 0.070 |
58 | 0.070 | 0.077 | 0.079 | 0.068 | 0.075 | 0.068 | 0.095 | 0.088 | 0.085 | 0.097 | 0.089 | 0.070 | 0.077 |
59 | 0.067 | 0.075 | 0.077 | 0.065 | 0.072 | 0.064 | 0.092 | 0.086 | 0.085 | 0.096 | 0.090 | 0.067 | 0.080 |
60 | 0.059 | 0.066 | 0.069 | 0.058 | 0.064 | 0.056 | 0.081 | 0.075 | 0.080 | 0.087 | 0.086 | 0.068 | 0.080 |
61 | 0.048 | 0.052 | 0.056 | 0.048 | 0.053 | 0.045 | 0.064 | 0.058 | 0.072 | 0.072 | 0.077 | 0.070 | 0.078 |
62 | 0.037 | 0.039 | 0.044 | 0.038 | 0.042 | 0.035 | 0.047 | 0.043 | 0.064 | 0.058 | 0.069 | 0.073 | 0.076 |
63 | 0.029 | 0.028 | 0.035 | 0.031 | 0.033 | 0.027 | 0.035 | 0.030 | 0.058 | 0.047 | 0.062 | 0.059 | 0.074 |
64 | 0.023 | 0.022 | 0.029 | 0.026 | 0.027 | 0.021 | 0.026 | 0.022 | 0.054 | 0.040 | 0.058 | 0.077 | 0.072 |
65 | 0.018 | 0.018 | 0.024 | 0.022 | 0.023 | 0.018 | 0.020 | 0.017 | 0.050 | 0.034 | 0.052 | 0.077 | 0.068 |
66 | 0.013 | 0.017 | 0.019 | 0.020 | 0.020 | 0.015 | 0.016 | 0.013 | 0.042 | 0.029 | 0.044 | 0.071 | 0.059 |
67 | 0.009 | 0.017 | 0.015 | 0.018 | 0.016 | 0.013 | 0.013 | 0.011 | 0.029 | 0.024 | 0.035 | 0.054 | 0.046 |
68 | 0.004 | 0.018 | 0.011 | 0.016 | 0.013 | 0.012 | 0.011 | 0.009 | 0.014 | 0.019 | 0.026 | 0.034 | 0.034 |
69 | 0.006 | 0.018 | 0.008 | 0.015 | 0.011 | 0.010 | 0.009 | 0.007 | 0.003 | 0.015 | 0.018 | 0.017 | 0.025 |
70 | 0.006 | 0.016 | 0.009 | 0.012 | 0.009 | 0.009 | 0.011 | 0.008 | 0.005 | 0.012 | 0.013 | 0.006 | 0.017 |
71 | 0.006 | 0.002 | 0.008 | 0.006 | 0.005 | 0.008 | 0.008 | 0.007 | 0.006 | 0.009 | 0.008 | 0.001 | 0.011 |
72 | 0.003 | 0.000 | 0.004 | 0.000 | 0.000 | 0.004 | 0.004 | 0.005 | 0.005 | 0.005 | 0.005 | 0.001 | 0.002 |
73 | 0.000 | 0.000 | 0.000 | 0.000 | 0.000 | 0.000 | 0.000 | 0.002 | 0.004 | 0.000 | 0.000 | 0.001 | 0.000 |
74 | 0.000 | 0.000 | 0.000 | 0.000 | 0.000 | 0.000 | 0.000 | 0.001 | 0.003 | 0.000 | 0.000 | 0.001 | 0.000 |
75 | 0.000 | 0.000 | 0.000 | 0.000 | 0.000 | 0.000 | 0.000 | 0.000 | 0.003 | 0.000 | 0.000 | 0.000 | 0.000 |
76 | 0.000 | 0.000 | 0.000 | 0.000 | 0.000 | 0.000 | 0.000 | 0.000 | 0.000 | 0.000 | 0.000 | 0.000 | 0.000 |
77 | 0.000 | 0.000 | 0.000 | 0.000 | 0.000 | 0.000 | 0.000 | 0.002 | 0.000 | 0.000 | 0.000 | 0.000 | 0.000 |
78 | 0.000 | 0.000 | 0.000 | 0.000 | 0.000 | 0.000 | 0.000 | 0.002 | 0.000 | 0.000 | 0.000 | 0.000 | 0.000 |
79 | 0.000 | 0.000 | 0.000 | 0.000 | 0.000 | 0.000 | 0.000 | 0.002 | 0.000 | 0.000 | 0.000 | 0.000 | 0.000 |
80 | 0.000 | 0.000 | 0.000 | 0.000 | 0.000 | 0.000 | 0.000 | 0.001 | 0.000 | 0.000 | 0.000 | 0.000 | 0.000 |
Таблица. 2. Кинетические спектры бутана, полученные при сухом пиролизе керогена исходного сланца и остаточного керогена после гидротермального воздействия. Частотный фактор 1×1014
Table 2. Kinetic spectra of butane obtained from dry pyrolysis of kerogen of the initial shale and residual kerogen after hydrothermal treatment. Frequency factor 1×1014
Ei, ккал/моль Kcal/mol | Исх. Init. | Температура автоклава, °С/время, ч / Аutoclave temperature, °C/time, h | |||||||||||
250/24* | 250/72 | 275/24 | 275/72 | 300/24 | 300/72 | 325/24 | 325/72 | 350/24 | 350/48 | 350/72 | 375/24 | ||
36 | 0.000 | 0.000 | 0.000 | 0.000 | 0.000 | 0.000 | 0.000 | 0.000 | 0.000 | 0.000 | 0.000 | 0.000 | 0.000 |
37 | 0.000 | 0.000 | 0.000 | 0.000 | 0.000 | 0.000 | 0.000 | 0.000 | 0.000 | 0.000 | 0.000 | 0.000 | 0.000 |
38 | 0.000 | 0.000 | 0.000 | 0.000 | 0.000 | 0.000 | 0.000 | 0.000 | 0.000 | 0.000 | 0.000 | 0.000 | 0.000 |
39 | 0.000 | 0.000 | 0.000 | 0.000 | 0.009 | 0.000 | 0.000 | 0.000 | 0.000 | 0.000 | 0.000 | 0.000 | 0.000 |
40 | 0.000 | 0.000 | 0.000 | 0.000 | 0.000 | 0.000 | 0.000 | 0.000 | 0.000 | 0.000 | 0.000 | 0.000 | 0.000 |
41 | 0.000 | 0.000 | 0.000 | 0.000 | 0.000 | 0.000 | 0.000 | 0.000 | 0.000 | 0.000 | 0.000 | 0.000 | 0.000 |
42 | 0.000 | 0.000 | 0.000 | 0.000 | 0.000 | 0.000 | 0.000 | 0.000 | 0.000 | 0.000 | 0.000 | 0.000 | 0.000 |
43 | 0.000 | 0.000 | 0.000 | 0.000 | 0.000 | 0.000 | 0.000 | 0.000 | 0.000 | 0.000 | 0.000 | 0.000 | 0.000 |
44 | 0.000 | 0.000 | 0.000 | 0.000 | 0.000 | 0.000 | 0.000 | 0.000 | 0.001 | 0.003 | 0.000 | 0.000 | 0.000 |
45 | 0.030 | 0.035 | 0.000 | 0.000 | 0.000 | 0.000 | 0.000 | 0.000 | 0.000 | 0.004 | 0.000 | 0.000 | 0.000 |
46 | 0.066 | 0.041 | 0.000 | 0.000 | 0.000 | 0.000 | 0.000 | 0.007 | 0.001 | 0.004 | 0.000 | 0.000 | 0.000 |
47 | 0.078 | 0.052 | 0.039 | 0.038 | 0.000 | 0.000 | 0.000 | 0.000 | 0.000 | 0.004 | 0.000 | 0.000 | 0.059 |
48 | 0.098 | 0.078 | 0.070 | 0.080 | 0.000 | 0.000 | 0.000 | 0.044 | 0.000 | 0.002 | 0.000 | 0.000 | 0.061 |
49 | 0.120 | 0.107 | 0.108 | 0.124 | 0.021 | 0.036 | 0.000 | 0.130 | 0.000 | 0.102 | 0.043 | 0.000 | 0.089 |
50 | 0.136 | 0.128 | 0.136 | 0.157 | 0.163 | 0.194 | 0.066 | 0.172 | 0.093 | 0.165 | 0.146 | 0.128 | 0.111 |
51 | 0.145 | 0.141 | 0.153 | 0.177 | 0.210 | 0.250 | 0.200 | 0.198 | 0.199 | 0.192 | 0.177 | 0.185 | 0.123 |
52 | 0.148 | 0.147 | 0.161 | 0.185 | 0.232 | 0.271 | 0.228 | 0.208 | 0.226 | 0.204 | 0.193 | 0.206 | 0.130 |
53 | 0.123 | 0.134 | 0.150 | 0.157 | 0.213 | 0.216 | 0.223 | 0.175 | 0.219 | 0.185 | 0.185 | 0.200 | 0.125 |
54 | 0.044 | 0.091 | 0.110 | 0.064 | 0.126 | 0.021 | 0.169 | 0.062 | 0.163 | 0.113 | 0.143 | 0.155 | 0.103 |
55 | 0.000 | 0.029 | 0.052 | 0.000 | 0.003 | 0.000 | 0.089 | 0.000 | 0.081 | 0.013 | 0.081 | 0.090 | 0.071 |
56 | 0.000 | 0.000 | 0.000 | 0.000 | 0.000 | 0.000 | 0.018 | 0.000 | 0.008 | 0.000 | 0.026 | 0.031 | 0.043 |
57 | 0.000 | 0.000 | 0.000 | 0.000 | 0.000 | 0.000 | 0.000 | 0.000 | 0.003 | 0.001 | 0.000 | 0.000 | 0.023 |
58 | 0.000 | 0.000 | 0.000 | 0.000 | 0.001 | 0.000 | 0.000 | 0.000 | 0.000 | 0.001 | 0.000 | 0.000 | 0.011 |
59 | 0.000 | 0.000 | 0.000 | 0.000 | 0.001 | 0.000 | 0.000 | 0.000 | 0.000 | 0.002 | 0.000 | 0.000 | 0.003 |
60 | 0.000 | 0.000 | 0.000 | 0.000 | 0.000 | 0.000 | 0.000 | 0.000 | 0.000 | 0.001 | 0.000 | 0.000 | 0.001 |
61 | 0.000 | 0.000 | 0.000 | 0.000 | 0.000 | 0.000 | 0.000 | 0.000 | 0.001 | 0.001 | 0.000 | 0.000 | 0.000 |
62 | 0.000 | 0.000 | 0.000 | 0.000 | 0.000 | 0.000 | 0.000 | 0.000 | 0.003 | 0.000 | 0.000 | 0.000 | 0.000 |
63 | 0.000 | 0.000 | 0.000 | 0.000 | 0.000 | 0.000 | 0.000 | 0.000 | 0.000 | 0.000 | 0.000 | 0.000 | 0.000 |
64 | 0.000 | 0.000 | 0.000 | 0.000 | 0.000 | 0.000 | 0.000 | 0.000 | 0.000 | 0.000 | 0.000 | 0.000 | 0.000 |
65 | 0.000 | 0.000 | 0.002 | 0.000 | 0.001 | 0.000 | 0.000 | 0.000 | 0.000 | 0.000 | 0.000 | 0.001 | 0.000 |
66 | 0.003 | 0.002 | 0.003 | 0.002 | 0.004 | 0.000 | 0.001 | 0.000 | 0.000 | 0.000 | 0.000 | 0.001 | 0.000 |
67 | 0.004 | 0.003 | 0.003 | 0.003 | 0.005 | 0.000 | 0.001 | 0.001 | 0.000 | 0.000 | 0.000 | 0.001 | 0.002 |
68 | 0.003 | 0.003 | 0.003 | 0.003 | 0.004 | 0.003 | 0.001 | 0.001 | 0.000 | 0.000 | 0.000 | 0.000 | 0.006 |
69 | 0.001 | 0.004 | 0.003 | 0.003 | 0.003 | 0.003 | 0.001 | 0.002 | 0.000 | 0.000 | 0.000 | 0.000 | 0.008 |
70 | 0.000 | 0.003 | 0.003 | 0.003 | 0.003 | 0.004 | 0.001 | 0.001 | 0.000 | 0.000 | 0.000 | 0.000 | 0.010 |
71 | 0.000 | 0.002 | 0.002 | 0.001 | 0.001 | 0.000 | 0.000 | 0.000 | 0.000 | 0.000 | 0.000 | 0.000 | 0.010 |
72 | 0.000 | 0.000 | 0.001 | 0.000 | 0.000 | 0.000 | 0.000 | 0.000 | 0.000 | 0.000 | 0.000 | 0.000 | 0.008 |
73 | 0.000 | 0.000 | 0.000 | 0.000 | 0.000 | 0.000 | 0.000 | 0.000 | 0.000 | 0.000 | 0.000 | 0.000 | 0.004 |
74 | 0.000 | 0.000 | 0.000 | 0.000 | 0.000 | 0.000 | 0.000 | 0.000 | 0.000 | 0.000 | 0.000 | 0.000 | 0.000 |
75 | 0.000 | 0.000 | 0.000 | 0.000 | 0.000 | 0.000 | 0.000 | 0.000 | 0.000 | 0.000 | 0.000 | 0.000 | 0.000 |
76 | 0.000 | 0.000 | 0.000 | 0.000 | 0.000 | 0.000 | 0.000 | 0.000 | 0.000 | 0.000 | 0.000 | 0.000 | 0.000 |
77 | 0.000 | 0.000 | 0.000 | 0.000 | 0.000 | 0.000 | 0.000 | 0.000 | 0.000 | 0.000 | 0.000 | 0.000 | 0.000 |
78 | 0.000 | 0.000 | 0.000 | 0.000 | 0.000 | 0.000 | 0.000 | 0.000 | 0.000 | 0.000 | 0.000 | 0.000 | 0.000 |
79 | 0.000 | 0.000 | 0.000 | 0.000 | 0.000 | 0.000 | 0.000 | 0.000 | 0.000 | 0.000 | 0.000 | 0.000 | 0.000 |
80 | 0.000 | 0.000 | 0.000 | 0.000 | 0.000 | 0.000 | 0.000 | 0.000 | 0.000 | 0.000 | 0.000 | 0.000 | 0.000 |
На рис. 2 и в табл. 1 видно, что кинетические спектры образования метана и этана в сухом пиролизе керогена претерпевают изменения при гидротермальной обработке доманикового сланца в автоклаве. В случае метана и этана чётко фиксируется перераспределение потенциала по шкале энергий активации образования этих углеводородов. Для незрелого и слабопреобразованного керогена исследуемого образца основной максимум образования метана лежит в диапазоне 49—60 ккал/моль (табл. 1). Для наиболее зрелого керогена в данной серии экспериментов, полученного при гидротермальном воздействии 375 °С/24 часа, наблюдается значительное «плечо» при значениях 61—67 ккал/моль. В случае этана основной максимум распределения энергий активации для незрелого и слабопреобразованного керогена приходится на 51—53 ккал/моль, а для самого зрелого образца остаточного керогена, выделенного из породы после гидротермальной обработки при 375 °С, фиксируется максимум при 57—59 ккал/моль (табл. 1). Из представленных результатов следует вывод о том, что в условиях сухого ступенчатого пиролиза керогена доманикового сланца образование метана может быть связано как минимум с тремя химическими источниками (химическими структурами) в составе керогена изучаемого доманикового сланца, а образование этана — с двумя. Роль химических источников этих газов с более высокими значениями энергии активации закономерно растёт при увеличении температуры гидротермального воздействия, предшествующего сухому ступенчатому пиролизу.
Распределение потенциалов генерации н-бутана и н-пентана по шкале энергий активации образования при сухом пиролизе (рис. 3 и табл. 2) с увеличением температуры гидротермального эксперимента меняется незначительно, основной максимум их распределения неизменен. Вне зависимости от температуры гидротермального эксперимента и достигнутой в нём стадии термического преобразования ОВ максимум распределения потенциала образования н-бутана и н-пентана приходится на 51—52 ккал/моль (табл. 2). Данный результат свидетельствует в пользу наличия в доманиковом керогене только одного химического источника (структуры), отвечающего за образование при ступенчатом сухом пиролизе н-бутана и н-пентана.
Для понимания применимости и корректности полученных результатов была выполнена оценка разрешения метода определения распределения потенциала генерации углеводорода по шкале значений энергий активации. Оценка разрешения получаемых кинетических спектров важна, например, для ответа на вопрос, являются ли значимыми различия в кинетических спектрах метана, полученных при ступенчатом пиролизе остаточного керогена 275 °С/24 ч и 375 °С/24 ч. Из рис. 2 следует, что отличие упомянутых спектров состоит в резком снижении потенциала образования метана с энергией активации в диапазоне 49—55 ккал/моль для образца 375 °С/24 ч.
Для оценки разрешения метода определения кинетического спектра по данным ступенчатого пиролиза с использованным в работе температурным шагом был принят условный результат ступенчатого пиролиза, когда некий продукт образуется только на одной из температурных ступеней либо в равных долях на двух смежных температурных ступенях (рис. 4). Обработка этих гипотетических результатов ступенчатого эксперимента приводит к следующим кинетическим спектрам (рис. 4).
Рис. 4. Кинетические спектры условного, гипотетически образующегося компонента в следующих пропорциях на следующих температурных ступенях:
a — 100 % при 431 °С; b — 50 % при 431 °С и 50 % при 525 °С; c — 100 % при 525 °С; d — 50 % при 525 °С и 50 % при 614 °С; e — 100 % при 614 °С; f — 50 % при 614 °С и 50 % при 704 °С
Fig. 4. Kinetic spectra of a conventional component hypothetically formed in the following proportions at the following temperature steps:
a — 100 % formed at 431 °C; b — 50 % formed at 431 °C and 50 % formed at 525 °C; c — 100 % formed at 525 °C; d — 50 % formed at 525 °C and 50 % formed at 614 °C; e — 100 % formed at 614 °C; f — 50 % formed at 614 °C and 50 % formed at 704 °C
Сравнение кинетических спектров для гипотетического компонента, полностью образующегося при температуре 431 °С (рис. 4, a) или при 525 °С (рис. 4, c), показывает, что максимум распределения потенциала образования условного компонента в первом случае приходится на 46 ккал/моль, а во втором случае на 52—53 ккал/моль (рис. 4). Разница составляет 6—7 ккал/моль. Если условный продукт образовался при двух температурных ступенях — 431 и 525 °С — в равных долях ((рис. 4, b), то максимум распределения потенциала его образования соответствует уже 48—51 (49) ккал/моль. Разница со случаями образования 100 % гипотетического компонента составляет 3—4 ккал/моль. Для более высоких температур пиролиза разница положений рассчитанного максимума кинетического спектра сохраняется (рис. 4, a—f). Значит, представленные результаты расчёта для условного компонента позволяют оценить разрешение в определении распределения потенциала образования углеводорода по энергиям активации не хуже, чем 3—4 ккал/моль, что свидетельствует в пользу корректности сделанных на основе полученных экспериментальных данных выводов.
Заключение
Результаты ступенчатого пиролиза остаточного керогена, полученного после гидротермального воздействия на доманиковый сланец в автоклаве в присутствии воды были использованы для расчёта распределения потенциала образования углеводородных газов состава С1—С5 по шкале энергии активации. Установлено, что образование метана и этана при сухом ступенчатом пиролизе происходит за счёт структур-предшественников, набор которых в керогене претерпевает значительные изменения при гидротермальном воздействии на породу. Повышение температуры гидротермального эксперимента ведёт к исчерпанию структур, дающих метан и этан при значениях энергии активации 48—52 ккал/моль. В случае обоих этих газов для керогена, полученного при максимальной температуре гидротермальной обработки, значительно увеличивается доля потенциала, приходящегося на энергию активации 61—70 ккал/моль (метан) и 56—62 ккал/моль (этан).
Контрастно отличаются результаты изучения энергии активации образования н-бутана и н-пентана. Эти углеводороды принципиально не изменяют распределение энергии активации их образования в сухом пиролизе с ростом температуры гидротермального воздействия на сланец. Максимум распределения их углеводородного потенциала по энергиям активации приходится на 50—53 ккал/моль. Таким образом, представление результатов сухого ступенчатого пиролиза керогена в виде распределения потенциала образования углеводородных газов состава С1—С5 по значениям энергии активации позволило показать полигенность пиролитических метана и этана и выраженную гомогенность н-бутана и н-пентана.
Работа выполнена при финансовой поддержке РНФ (проект № 23-27-00139 «Изучение образования газообразных углеводородов керогеном доманика при моделировании его термического преобразования в гидротермальном эксперименте и сухом пиролизе»).
Авторлар туралы
D. Bushnev
Institute of Geology FRC Komi SC UB RAS
Хат алмасуға жауапты Автор.
Email: boushnev@geo.komisc.ru
Ресей, Syktyvkar
N. Burdelnaya
Institute of Geology FRC Komi SC UB RAS
Email: boushnev@geo.komisc.ru
Ресей, Syktyvkar
Әдебиет тізімі
- Астахов С. М. Кинетический спектр реакций преобразования органического вещества нефтегазоматеринских отложений // Нефтегазовая геология. Теория и практика. 2016. Т.11. № 1. URL: http://www.ngtp.ru/rub/1/5_2016.pdf
- Astakhov S. M. Chemical kinetics of organic matter transformation of petroleum source rocks. Neftegazovaya geologiya. Teoriya i praktika, 2016, V. 11, No. 1. URL: http://www.ngtp.ru/rub/1/5_2016.pdf (in Russian)
- Бушнев Д. А., Бурдельная Н. С., Ильченко А. А., Сенникова Я. Д. Образование углеводородных газов доманиковым сланцем при пиролизе в автоклаве в присутствии воды // Вестник геонаук. 2023а. № 10. С. 37—41. doi: 10.19110/geov.2023.10.4
- Bushnev D. A., Burdelnaya N. S., Ilchenko A. A., Sennikova Ya. D. Formation of hydrocarbon gases in Domanik shale during hydrous pyrolysis. Vestnik of geosciences, 2023а, No. 10, pp. 37—41. (in Russian)
- Бушнев Д. А., Бурдельная Н. С. Моделирование процесса нефтеобразования углеродистым сланцем доманика // Нефтехимия. 2013. Т. 53. № 3. С. 163—170. doi: 10.7868/S0028242113030027
- Bushnev D. A., Burdel’naya N. S. Modeling of Oil Generation by Domanik Carbonaceous Shale. Pet. Chem. 2013, V. 53, No. 3, pp. 145—151. doi: 10.1134/S096554411303002X
- Бушнев Д. А., Бурдельная Н. С., Ильченко А. А., Сенникова Я. Д. Состав углеводородных газов сухого пиролиза керогена доманикового сланца после гидротермального эксперимента // Нефтехимия. 2023b. Т. 63. № 5. С. 671—678. doi: 10.31857/S0028242123050052
- Bushnev D. A., Burdelnaya N. S., Ilchenko A. A., Sennikova Ya. D. Composition of hydrocarbon gases formed by dry pysolysis of domanik shale kerogen after hydrothermal experiment. Petrol. Chemistry, 2023b, V. 63, No. 9. doi: 10.1134/S0965544123080017.
- Бушнев Д. А., Бурдельная Н. С., Большакова М. А. Геохимия углеводородов — биомаркеров и изотопов углерода органического вещества доманиковых отложений Тимано-Печорского бассейна // Геохимия. 2023c. Т. 68. № 2. С. 139—148. doi: 10.31857/S0016752523020036
- Bushnev D. A., Burdelnaya N. S., Bolshakova M. A. Geochemistry of Hydrocarbons-Biomarkers and Carbon Isotopes of Organic Matter in the Domanik Deposits of the Timan–Pechora Basin. Geochemistry International. 2023c, V. 61, No. 2, pp. 127—136. doi: 10.1134/S0016702923020039
- Калмыков А. Г., Гафурова Д. Р., Тихонова М. С., Видищева О. Н., Иванова Д. А., Манько И. Э., Корост Д. В., Кудаев А. А., Бычков А. Ю., Калмыков Г. А. Влияние состава пород высокоуглеродистых формаций на процесс генерации нефти и газа (результаты лабораторного моделирования) // Вестн. Моск. ун-та. Сер. 4. Геология. 2021. № 1. С. 85—98.
- Kalmykov A. G., Gafurova D. R., Tikhonova M. S., Vidishcheva O. N., Ivanova D. A., Manko I. E., Korost D. V., Kudaev A. A., Bychkov A. Yu., Kalmykov G. A. Rock shale mineral composition influence on oil and gas generation process (results from laboratory experiments). Moscow University Bulletin. Series 4. Geology. 2021. No. 1 (1), pp. 85—98. https://doi.org/10.33623/0579-9406-2021-1-85-98 (in Russian).
- Меленевский В. Н., Конторович А. Э., Вуу — Лианг Хуанг, Ларичев А. И., Бульбак Т. А. Аквапиролиз органического вещества рифейского аргиллита // Геохимия. 2009. № 5. С. 504—512.
- Melenevsky V. N., Kontorovich A. E., Huang W.-L., Larichev A. I., Bul'bak T. A. Hydrothermal pyrolysis of organic matter in riphean mudstone. Geochemistry International. 2009, V. 47, No. 5, pp. 476—484.
- Рогозина Е. А. Газообразование при катагенезе органического вещества осадочных пород. Л.: Недра, 1983. 162 с.
- Rogozina E. A. Gas formation during catagenesis of organic matter of sedimentary rocks. Leningrad: Nedra, 1983, 162 p. (in Russian)
- Тиссо Б., Вельте Д. Образование и распространение нефти. М.: Мир, 1981. 504 с.
- Tissot B. P., Welte D. H. Petroleum Formation and Occurrence. 1984, 2nd Edition, Springer-Verlag, Berlin, 699 p.
- Behar F., Vandenbroucke M., Tang Y., Marquis F., Espitalie J. Thermal cracking of kerogen in open and closed systems: determination of kinetic parameters and stoichiometric coefficients for oil and gas generation // Org. Geochem. 1997. Vol. 26, No. 5/6. P. 321—339.
- Gai H., Tian H., Xiao X. Late gas generation potential for different types of shale source rocks: Implications from pyrolysis experiments // International Journal of Coal Geology. 2018. Vol. 193. P. 16—29. doi: 10.1016/j.coal.2018.04.009.
- Leushina E., Mikhaylova P., Kozlova E., Polyakov V., Morozov N., Spasennykh M. The effect of organic matter maturity on kinetics and product distribution during kerogen thermal decomposition: the Bazhenov Formation case study // J. Pet. Sci. Eng. 2021. Vol. 204. 108751. https://doi.org/10.1016/j.petrol.2021.108751.
- Lewan M. D. Evaluation of petroleum generation by hydrous pyrolysis experimentation // Philosophical Transactions of the Royal Society of London. Series A, Mathematical and Physical Sciences. 1985. Vol. 315. No. 1531. P. 123—134.
- Lewan M. D., Ruble T. E. Comparison of petroleum generation kinetics by isothermal hydrous and nonisothermal open-system pyrolysis // Org. Geochem. 2002. Vol. 33. 1457—1475.
- Liao Y., Zheng Y., Pan Y., Sun Y., Geng A. A method to quantify C1–C5 hydrocarbon gases by kerogen primary cracking using pyrolysis gas chromatography // Org. Geochem. 2015. Vol. 79. P. 49—55. https://doi.org/10.1016/j.orggeochem.2014.12.009.
- Sweeney J. J., Burnham A. K. Evaluation of a simple model of vitrinite reflectance based on chemical kinetics // AAPG Bulletin. 1990. № 74 (10). Р. 1559—1570. https://doi.org/10.1306/0C9B251F-1710-11D7-8645000102C1865D.
- Wang Q., Lu H., Greenwood P., Shen C., Liu J., Peng P. Gas evolution during kerogen pyrolysis of Estonian Kukersite shale in confined gold tube system // Org. Geochem. 2013. Vol. 65. P. 74—82. https://doi.org/10.1016/j.orggeochem.2013.10.006.
- Поступила в редакцию / Received 21.07.2024
Қосымша файлдар





