Максимальный поток в параллельных сетях со связанными дугами

Обложка

Цитировать

Полный текст

Аннотация

Широко известная задача поиска максимального потока в классических сетях имеет множество алгоритмов решения, которые обладают полиномиальной вычислительной сложностью от размеров сети. В общем случае задача нахождения максимального потока для сетей со связанными дугами является NP-полной. Однако среди ранее изученных сетей со связанными дугами существуют такие, для которых вычисление максимального потока осуществимо за полиномиальное от размеров сети время. Данная работа посвящена определению влияния топологии сетей со связанными дугами на возможность нахождения для них максимального потока за полиномиальное время. В работе рассматривается класс параллельных сетей со связанными дугами, для которого предложен быстрый полиномиальный алгоритм поиска максимального потока.

Полный текст

Введение.

Одной из основных и наиболее изученных потоковых задач является задача о поиске максимального потока. Важность величины максимального потока в сети проистекает из того, что это глобальная характеристика всей сети, позволяющая оценить такие свойства сетей (транспортных, телекоммуникационных, ресурсных), как общая загруженность сети. Основываясь на знании о строении сети и максимальном допустимом потоке, можно выявить такие особенности конкретной сети, как избыточность дуг сети MathType@MTEF@5@5@+= feaahGart1ev3aqatCvAUfeBSjuyZL2yd9gzLbvyNv2CaerbuLwBLn hiov2DGi1BTfMBaeXatLxBI9gBaerbd9wDYLwzYbItLDharqqtubsr 4rNCHbGeaGqiVu0Je9sqqrpepC0xbbL8F4rqqrFfpeea0xe9Lq=Jc9 vqaqpepm0xbba9pwe9Q8fs0=yqaqpepae9pg0FirpepeKkFr0xfr=x fr=xb9adbaqaaeGaciGaaiaabeqaamaabaabaaGcbaacbaqcLbsaqa aaaaaaaaWdbiaa=nbiaaa@3764@  в ситуации, когда максимальный поток достижим без использования пропускных способностей некоторых из дуг или, например, определить узкие места в инфраструктуре, моделируемой сетью.

Однако несмотря на то, что известны быстрые, полиномиально вычислимые алгоритмы поиска максимального потока MathType@MTEF@5@5@+= feaahGart1ev3aqatCvAUfeBSjuyZL2yd9gzLbvyNv2CaerbuLwBLn hiov2DGi1BTfMBaeXatLxBI9gBaerbd9wDYLwzYbItLDharqqtubsr 4rNCHbGeaGqiVu0Je9sqqrpepC0xbbL8F4rqqrFfpeea0xe9Lq=Jc9 vqaqpepm0xbba9pwe9Q8fs0=yqaqpepae9pg0FirpepeKkFr0xfr=x fr=xb9adbaqaaeGaciGaaiaabeqaamaabaabaaGcbaacbaqcLbsaqa aaaaaaaaWdbiaa=nbiaaa@3764@  ранее было показано, что эти алгоритмы, как и иные классические алгоритмы на графах, в общем случае неприменимы для решения задач в сетях со связанными дугами [1]. Постановка задачи о максимальном потоке в сети со связанными дугами описана далее.

Целью данной работы является нахождение класса сетей со связанными дугами, для которых возможно построение полиномиального алгоритма решения задачи поиска максимального потока.

1. Постановка задачи. В классической постановке потоковых задач рассматриваются сети следующего вида.

Определение 1. Сетью назовем связный конечный ориентированный граф GX,U,f,ρ, в котором X MathType@MTEF@5@5@+= feaahGart1ev3aaatCvAUfeBSjuyZL2yd9gzLbvyNv2CaerbuLwBLn hiov2DGi1BTfMBaeXatLxBI9gBaebbnrfifHhDYfgasaacH8srps0l bbf9q8WrFfeuY=Hhbbf9v8qqaqFr0xc9pk0xbba9q8WqFfea0=yr0R Yxir=Jbba9q8aq0=yq=He9q8qqQ8frFve9Fve9Ff0dmeaabaqaciGa caGaaeqabaGabiWadaaakeaacaWGybaaaa@329E@   MathType@MTEF@5@5@+= feaahGart1ev3aqatCvAUfeBSjuyZL2yd9gzLbvyNv2CaerbuLwBLn hiov2DGi1BTfMBaeXatLxBI9gBaerbd9wDYLwzYbItLDharqqtubsr 4rNCHbGeaGqiVu0Je9sqqrpepC0xbbL8F4rqqrFfpeea0xe9Lq=Jc9 vqaqpepm0xbba9pwe9Q8fs0=yqaqpepae9pg0FirpepeKkFr0xfr=x fr=xb9adbaqaaeGaciGaaiaabeqaamaabaabaaGcbaacbaqcLbsaqa aaaaaaaaWdbiaa=rbiaaa@3765@  множество вершин сети, U MathType@MTEF@5@5@+= feaahGart1ev3aaatCvAUfeBSjuyZL2yd9gzLbvyNv2CaerbuLwBLn hiov2DGi1BTfMBaeXatLxBI9gBaebbnrfifHhDYfgasaacH8srps0l bbf9q8WrFfeuY=Hhbbf9v8qqaqFr0xc9pk0xbba9q8WqFfea0=yr0R Yxir=Jbba9q8aq0=yq=He9q8qqQ8frFve9Fve9Ff0dmeaabaqaciGa caGaaeqabaGabiWadaaakeaacaWGvbaaaa@329B@   MathType@MTEF@5@5@+= feaahGart1ev3aqatCvAUfeBSjuyZL2yd9gzLbvyNv2CaerbuLwBLn hiov2DGi1BTfMBaeXatLxBI9gBaerbd9wDYLwzYbItLDharqqtubsr 4rNCHbGeaGqiVu0Je9sqqrpepC0xbbL8F4rqqrFfpeea0xe9Lq=Jc9 vqaqpepm0xbba9pwe9Q8fs0=yqaqpepae9pg0FirpepeKkFr0xfr=x fr=xb9adbaqaaeGaciGaaiaabeqaamaabaabaaGcbaacbaqcLbsaqa aaaaaaaaWdbiaa=rbiaaa@3765@  множество дуг сети, f : UX × X  MathType@MTEF@5@5@+= feaahGart1ev3aqatCvAUfeBSjuyZL2yd9gzLbvyNv2CaerbuLwBLn hiov2DGi1BTfMBaeXatLxBI9gBaerbd9wDYLwzYbItLDharqqtubsr 4rNCHbGeaGqiVu0Je9sqqrpepC0xbbL8F4rqqrFfpeea0xe9Lq=Jc9 vqaqpepm0xbba9pwe9Q8fs0=yqaqpepae9pg0FirpepeKkFr0xfr=x fr=xb9adbaqaaeGaciGaaiaabeqaamaabaabaaGcbaacbaqcLbsaqa aaaaaaaaWdbiaa=rbiaaa@3765@  отображение инцидентности, ρ : UR+=0;+  MathType@MTEF@5@5@+= feaahGart1ev3aqatCvAUfeBSjuyZL2yd9gzLbvyNv2CaerbuLwBLn hiov2DGi1BTfMBaeXatLxBI9gBaerbd9wDYLwzYbItLDharqqtubsr 4rNCHbGeaGqiVu0Je9sqqrpepC0xbbL8F4rqqrFfpeea0xe9Lq=Jc9 vqaqpepm0xbba9pwe9Q8fs0=yqaqpepae9pg0FirpepeKkFr0xfr=x fr=xb9adbaqaaeGaciGaaiaabeqaamaabaabaaGcbaacbaqcLbsaqa aaaaaaaaWdbiaa=rbiaaa@3765@  отображение, назначающее каждой из дуг u MathType@MTEF@5@5@+= feaahGart1ev3aaatCvAUfeBSjuyZL2yd9gzLbvyNv2CaerbuLwBLn hiov2DGi1BTfMBaeXatLxBI9gBaebbnrfifHhDYfgasaacH8srps0l bbf9q8WrFfeuY=Hhbbf9v8qqaqFr0xc9pk0xbba9q8WqFfea0=yr0R Yxir=Jbba9q8aq0=yq=He9q8qqQ8frFve9Fve9Ff0dmeaabaqaciGa caGaaeqabaGabiWadaaakeaacaWG1baaaa@32BB@  пропускную способность ρu.

Сети, удовлетворяющие определению 1 будем называть классическими сетями. Как и в [8], источник будем обозначать через s MathType@MTEF@5@5@+= feaahGart1ev3aaatCvAUfeBSjuyZL2yd9gzLbvyNv2CaerbuLwBLn hiov2DGi1BTfMBaeXatLxBI9gBaebbnrfifHhDYfgasaacH8srps0l bbf9q8WrFfeuY=Hhbbf9v8qqaqFr0xc9pk0xbba9q8WqFfea0=yr0R Yxir=Jbba9q8aq0=yq=He9q8qqQ8frFve9Fve9Ff0dmeaabaqaciGa caGaaeqabaGabiWadaaakeaacaWGZbaaaa@32B9@ , сток через t MathType@MTEF@5@5@+= feaahGart1ev3aaatCvAUfeBSjuyZL2yd9gzLbvyNv2CaerbuLwBLn hiov2DGi1BTfMBaeXatLxBI9gBaebbnrfifHhDYfgasaacH8srps0l bbf9q8WrFfeuY=Hhbbf9v8qqaqFr0xc9pk0xbba9q8WqFfea0=yr0R Yxir=Jbba9q8aq0=yq=He9q8qqQ8frFve9Fve9Ff0dmeaabaqaciGa caGaaeqabaGabiWadaaakeaacaWG0baaaa@32BA@ , а все вершины сети GX,U,f,ρ из множества X\s,t будем называть промежуточными.

Определение 2. Потоком в сети G MathType@MTEF@5@5@+= feaahGart1ev3aaatCvAUfeBSjuyZL2yd9gzLbvyNv2CaerbuLwBLn hiov2DGi1BTfMBaeXatLxBI9gBaebbnrfifHhDYfgasaacH8srps0l bbf9q8WrFfeuY=Hhbbf9v8qqaqFr0xc9pk0xbba9q8WqFfea0=yr0R Yxir=Jbba9q8aq0=yq=He9q8qqQ8frFve9Fve9Ff0dmeaabaqaciGa caGaaeqabaGabiWadaaakeaacaWGhbaaaa@328D@  называется отображение φ MathType@MTEF@5@5@+= feaahGart1ev3aaatCvAUfeBSjuyZL2yd9gzLbvyNv2CaerbuLwBLn hiov2DGi1BTfMBaeXatLxBI9gBaebbnrfifHhDYfgasaacH8srps0l bbf9q8WrFfeuY=Hhbbf9v8qqaqFr0xc9pk0xbba9q8WqFfea0=yr0R Yxir=Jbba9q8aq0=yq=He9q8qqQ8frFve9Fve9Ff0dmeaabaqaciGa caGaaeqabaGabiWadaaakeaacqaHgpGAaaa@337E@ , ставящее в соответствие каждой из дуг u MathType@MTEF@5@5@+= feaahGart1ev3aaatCvAUfeBSjuyZL2yd9gzLbvyNv2CaerbuLwBLn hiov2DGi1BTfMBaeXatLxBI9gBaebbnrfifHhDYfgasaacH8srps0l bbf9q8WrFfeuY=Hhbbf9v8qqaqFr0xc9pk0xbba9q8WqFfea0=yr0R Yxir=Jbba9q8aq0=yq=He9q8qqQ8frFve9Fve9Ff0dmeaabaqaciGa caGaaeqabaGabiWadaaakeaacaWG1baaaa@32BB@  значение из 0; ρu, удовлетворяющее в каждой промежуточной вершине x MathType@MTEF@5@5@+= feaahGart1ev3aaatCvAUfeBSjuyZL2yd9gzLbvyNv2CaerbuLwBLn hiov2DGi1BTfMBaeXatLxBI9gBaebbnrfifHhDYfgasaacH8srps0l bbf9q8WrFfeuY=Hhbbf9v8qqaqFr0xc9pk0xbba9q8WqFfea0=yr0R Yxir=Jbba9q8aq0=yq=He9q8qqQ8frFve9Fve9Ff0dmeaabaqaciGa caGaaeqabaGabiWadaaakeaacaWG4baaaa@32BE@  соотношению неразрывности потока

uUxφu  =  uU+xφu

Величиной потока φ MathType@MTEF@5@5@+= feaahGart1ev3aaatCvAUfeBSjuyZL2yd9gzLbvyNv2CaerbuLwBLn hiov2DGi1BTfMBaeXatLxBI9gBaebbnrfifHhDYfgasaacH8srps0l bbf9q8WrFfeuY=Hhbbf9v8qqaqFr0xc9pk0xbba9q8WqFfea0=yr0R Yxir=Jbba9q8aq0=yq=He9q8qqQ8frFve9Fve9Ff0dmeaabaqaciGa caGaaeqabaGabiWadaaakeaacqaHgpGAaaa@337E@  (обозначаемой через VGφ ) в сети G MathType@MTEF@5@5@+= feaahGart1ev3aaatCvAUfeBSjuyZL2yd9gzLbvyNv2CaerbuLwBLn hiov2DGi1BTfMBaeXatLxBI9gBaebbnrfifHhDYfgasaacH8srps0l bbf9q8WrFfeuY=Hhbbf9v8qqaqFr0xc9pk0xbba9q8WqFfea0=yr0R Yxir=Jbba9q8aq0=yq=He9q8qqQ8frFve9Fve9Ff0dmeaabaqaciGa caGaaeqabaGabiWadaaakeaacaWGhbaaaa@328D@  назовем суммарную величину потока φ MathType@MTEF@5@5@+= feaahGart1ev3aaatCvAUfeBSjuyZL2yd9gzLbvyNv2CaerbuLwBLn hiov2DGi1BTfMBaeXatLxBI9gBaebbnrfifHhDYfgasaacH8srps0l bbf9q8WrFfeuY=Hhbbf9v8qqaqFr0xc9pk0xbba9q8WqFfea0=yr0R Yxir=Jbba9q8aq0=yq=He9q8qqQ8frFve9Fve9Ff0dmeaabaqaciGa caGaaeqabaGabiWadaaakeaacqaHgpGAaaa@337E@  по дугам, входящим в сток, т.е.

VGφ =uUtφu

Для классических сетей задача поиска величины максимального потока VG MathType@MTEF@5@5@+= feaahGart1ev3aaatCvAUfeBSjuyZL2yd9gzLbvyNv2CaerbuLwBLn hiov2DGi1BTfMBaeXatLxBI9gBaebbnrfifHhDYfgasaacH8srps0l bbf9q8WrFfeuY=Hhbbf9v8qqaqFr0xc9pk0xbba9q8WqFfea0=yr0R Yxir=Jbba9q8aq0=yq=He9q8qqQ8frFve9Fve9Ff0dmeaabaqaciGa caGaaeqabaGabiWadaaakeaacaWGwbGaam4raaaa@3368@  решена Л. Фордом и Д. Фалкерсоном (см. [6]). Для ее решения используются алгоритмы, в том числе имеющие квадратичную от размеров сети вычислительную сложность (см. [7]).

Определение 3. Сеть со связанными дугами MathType@MTEF@5@5@+= feaahGart1ev3aqatCvAUfeBSjuyZL2yd9gzLbvyNv2CaerbuLwBLn hiov2DGi1BTfMBaeXatLxBI9gBaerbd9wDYLwzYbItLDharqqtubsr 4rNCHbGeaGqiVu0Je9sqqrpepC0xbbL8F4rqqrFfpeea0xe9Lq=Jc9 vqaqpepm0xbba9pwe9Q8fs0=yqaqpepae9pg0FirpepeKkFr0xfr=x fr=xb9adbaqaaeGaciGaaiaabeqaamaabaabaaGcbaacbaqcLbsaqa aaaaaaaaWdbiaa=rbiaaa@3765@  это сеть, множество дуг U MathType@MTEF@5@5@+= feaahGart1ev3aaatCvAUfeBSjuyZL2yd9gzLbvyNv2CaerbuLwBLn hiov2DGi1BTfMBaeXatLxBI9gBaebbnrfifHhDYfgasaacH8srps0l bbf9q8WrFfeuY=Hhbbf9v8qqaqFr0xc9pk0xbba9q8WqFfea0=yr0R Yxir=Jbba9q8aq0=yq=He9q8qqQ8frFve9Fve9Ff0dmeaabaqaciGa caGaaeqabaGabiWadaaakeaacaWGvbaaaa@329B@  которой содержит такое подмножество дуг U s U MathType@MTEF@5@5@+= feaahGart1ev3aaatCvAUfeBSjuyZL2yd9gzLbvyNv2CaerbuLwBLn hiov2DGi1BTfMBaeXatLxBI9gBaebbnrfifHhDYfgasaacH8srps0l bbf9q8WrFfeuY=Hhbbf9v8qqaqFr0xc9pk0xbba9q8WqFfea0=yr0R Yxir=Jbba9q8aq0=yq=He9q8qqQ8frFve9Fve9Ff0dmeaabaqaciGa caGaaeqabaGabiWadaaakeaacaWGvbWaaWbaaSqabeaacaWGZbaaaO GaeyOHI0Saamyvaaaa@36A5@ , Us2, называемое множеством связанных дуг. Для дуг из U s MathType@MTEF@5@5@+= feaahGart1ev3aaatCvAUfeBSjuyZL2yd9gzLbvyNv2CaerbuLwBLn hiov2DGi1BTfMBaeXatLxBI9gBaebbnrfifHhDYfgasaacH8srps0l bbf9q8WrFfeuY=Hhbbf9v8qqaqFr0xc9pk0xbba9q8WqFfea0=yr0R Yxir=Jbba9q8aq0=yq=He9q8qqQ8frFve9Fve9Ff0dmeaabaqaciGa caGaaeqabaGabiWadaaakeaacaWGvbWaaWbaaSqabeaacaWGZbaaaa aa@33C0@  не задана пропускная способность ρ(u) MathType@MTEF@5@5@+= feaahGart1ev3aaatCvAUfeBSjuyZL2yd9gzLbvyNv2CaerbuLwBLn hiov2DGi1BTfMBaeXatLxBI9gBaebbnrfifHhDYfgasaacH8srps0l bbf9q8WrFfeuY=Hhbbf9v8qqaqFr0xc9pk0xbba9q8WqFfea0=yr0R Yxir=Jbba9q8aq0=yq=He9q8qqQ8frFve9Fve9Ff0dmeaabaqaciGa caGaaeqabaGabiWadaaakeaacqaHbpGCcaaIOaGaamyDaiaaiMcaaa a@35E0@ , а задана суммарная пропускная способность PUs. Сети со связанными дугами возникают естественным образом при рассмотрении сетей с ограничениями на достижимость (см. [2, 4]).

В общем случае может быть задано несколько множеств связанных дуг, причем они должны быть попарно непересекающимися, но в данной работе будем считать, что сеть G MathType@MTEF@5@5@+= feaahGart1ev3aaatCvAUfeBSjuyZL2yd9gzLbvyNv2CaerbuLwBLn hiov2DGi1BTfMBaeXatLxBI9gBaebbnrfifHhDYfgasaacH8srps0l bbf9q8WrFfeuY=Hhbbf9v8qqaqFr0xc9pk0xbba9q8WqFfea0=yr0R Yxir=Jbba9q8aq0=yq=He9q8qqQ8frFve9Fve9Ff0dmeaabaqaciGa caGaaeqabaGabiWadaaakeaacaWGhbaaaa@328D@  содержит ровно одно множество связанных дуг.

Для связанных дуг не определена пропускная способность, а значит для них не может быть определен поток (см. определение 2) и, следовательно, задача поиска величины максимального потока должна иметь другую постановку.

Для того, чтобы стало возможным назначать поток связанным дугам, необходимо сначала определить пропускную способность каждой из связанных дуг ρu, ρu0, uUs, так, чтобы выполнялось соотношение

uUsρu  PUs                                                                                     (1)

После назначения ρu для дуг множества U s MathType@MTEF@5@5@+= feaahGart1ev3aaatCvAUfeBSjuyZL2yd9gzLbvyNv2CaerbuLwBLn hiov2DGi1BTfMBaeXatLxBI9gBaebbnrfifHhDYfgasaacH8srps0l bbf9q8WrFfeuY=Hhbbf9v8qqaqFr0xc9pk0xbba9q8WqFfea0=yr0R Yxir=Jbba9q8aq0=yq=He9q8qqQ8frFve9Fve9Ff0dmeaabaqaciGa caGaaeqabaGabiWadaaakeaacaWGvbWaaWbaaSqabeaacaWGZbaaaa aa@33C0@  сеть со связанными дугами может рассматриваться как классическая сеть, которую будем обозначать G ρ MathType@MTEF@5@5@+= feaahGart1ev3aaatCvAUfeBSjuyZL2yd9gzLbvyNv2CaerbuLwBLn hiov2DGi1BTfMBaeXatLxBI9gBaebbnrfifHhDYfgasaacH8srps0l bbf9q8WrFfeuY=Hhbbf9v8qqaqFr0xc9pk0xbba9q8WqFfea0=yr0R Yxir=Jbba9q8aq0=yq=He9q8qqQ8frFve9Fve9Ff0dmeaabaqaciGa caGaaeqabaGabiWadaaakeaacaWGhbWaaSbaaSqaaiabeg8aYbqaba aaaa@3479@ , и на полученной сети уже можно рассматривать задачу о нахождении величины максимального потока V G ρ MathType@MTEF@5@5@+= feaahGart1ev3aaatCvAUfeBSjuyZL2yd9gzLbvyNv2CaerbuLwBLn hiov2DGi1BTfMBaeXatLxBI9gBaebbnrfifHhDYfgasaacH8srps0l bbf9q8WrFfeuY=Hhbbf9v8qqaqFr0xc9pk0xbba9q8WqFfea0=yr0R Yxir=Jbba9q8aq0=yq=He9q8qqQ8frFve9Fve9Ff0dmeaabaqaciGa caGaaeqabaGabiWadaaakeaacaWGwbGaam4ramaaBaaaleaacqaHbp GCaeqaaaaa@3554@ .

Определение 4. Величиной максимального потока в сети со связанными дугами называют величину VG = max VGρ, где max MathType@MTEF@5@5@+= feaahGart1ev3aaatCvAUfeBSjuyZL2yd9gzLbvyNv2CaerbuLwBLn hiov2DGi1BTfMBaeXatLxBI9gBaebbnrfifHhDYfgasaacH8srps0l bbf9q8WrFfeuY=Hhbbf9v8qqaqFr0xc9pk0xbba9q8WqFfea0=yr0R Yxir=Jbba9q8aq0=yq=He9q8qqQ8frFve9Fve9Ff0dmeaabaqaciGa caGaaeqabaGabiWadaaakeaaciGGTbGaaiyyaiaacIhaaaa@3495@  берется по всем возможным назначениям ρu, u U s MathType@MTEF@5@5@+= feaahGart1ev3aaatCvAUfeBSjuyZL2yd9gzLbvyNv2CaerbuLwBLn hiov2DGi1BTfMBaeXatLxBI9gBaebbnrfifHhDYfgasaacH8srps0l bbf9q8WrFfeuY=Hhbbf9v8qqaqFr0xc9pk0xbba9q8WqFfea0=yr0R Yxir=Jbba9q8aq0=yq=He9q8qqQ8frFve9Fve9Ff0dmeaabaqaciGa caGaaeqabaGabiWadaaakeaacaWG1bGaeyicI4SaamyvamaaCaaale qabaGaam4Caaaaaaa@363E@ .

Замечание. Ясно, что для нахождения VG MathType@MTEF@5@5@+= feaahGart1ev3aaatCvAUfeBSjuyZL2yd9gzLbvyNv2CaerbuLwBLn hiov2DGi1BTfMBaeXatLxBI9gBaebbnrfifHhDYfgasaacH8srps0l bbf9q8WrFfeuY=Hhbbf9v8qqaqFr0xc9pk0xbba9q8WqFfea0=yr0R Yxir=Jbba9q8aq0=yq=He9q8qqQ8frFve9Fve9Ff0dmeaabaqaciGa caGaaeqabaGabiWadaaakeaacaWGwbGaam4raaaa@3368@  в сети со связанными дугами можно рассматривать только такие назначения пропускных способностей, для которых в (1) выполняется равенство.

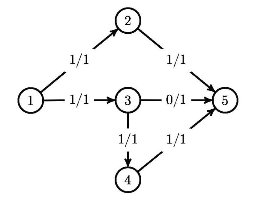
Рассмотрим пример сети со связанными дугами и обсудим, как различные варианты назначения ρu связанным дугам влияют на V G ρ MathType@MTEF@5@5@+= feaahGart1ev3aaatCvAUfeBSjuyZL2yd9gzLbvyNv2CaerbuLwBLn hiov2DGi1BTfMBaeXatLxBI9gBaebbnrfifHhDYfgasaacH8srps0l bbf9q8WrFfeuY=Hhbbf9v8qqaqFr0xc9pk0xbba9q8WqFfea0=yr0R Yxir=Jbba9q8aq0=yq=He9q8qqQ8frFve9Fve9Ff0dmeaabaqaciGa caGaaeqabaGabiWadaaakeaacaWGwbGaam4ramaaBaaaleaacqaHbp GCaeqaaaaa@3554@ .

Пример 1. На рис. 1 изображена сеть со связанными дугами. Здесь и далее в примерах связанные дуги изображены стрелками со штриховыми линиями, а несвязанные дуги MathType@MTEF@5@5@+= feaahGart1ev3aqatCvAUfeBSjuyZL2yd9gzLbvyNv2CaerbuLwBLn hiov2DGi1BTfMBaeXatLxBI9gBaerbd9wDYLwzYbItLDharqqtubsr 4rNCHbGeaGqiVu0Je9sqqrpepC0xbbL8F4rqqrFfpeea0xe9Lq=Jc9 vqaqpepm0xbba9pwe9Q8fs0=yqaqpepae9pg0FirpepeKkFr0xfr=x fr=xb9adbaqaaeGaciGaaiaabeqaamaabaabaaGcbaacbaqcLbsaqa aaaaaaaaWdbiaa=rbiaaa@3765@  стрелками со сплошными линиями. Пропускные способности дуг указаны на рисунке, а PUs =3.

 

Рис. 1. Сеть с двумя связанными дугами

 

Если для верхней связанной дуги u1=1;2 с рис. 1 назначить ρu1=2, а для нижней связанной дуги u2 =1;3 назначить ρu2 = 1, то будет получена сеть, изображенная на рис. 2, для которой величина максимального потока равна 2 MathType@MTEF@5@5@+= feaahGart1ev3aaatCvAUfeBSjuyZL2yd9gzLbvyNv2CaerbuLwBLn hiov2DGi1BTfMBaeXatLxBI9gBaebbnrfifHhDYfgasaacH8srps0l bbf9q8WrFfeuY=Hhbbf9v8qqaqFr0xc9pk0xbba9q8WqFfea0=yr0R Yxir=Jbba9q8aq0=yq=He9q8qqQ8frFve9Fve9Ff0dmeaabaqaciGa caGaaeqabaGabiWadaaakeaacaaIYaaaaa@327D@ .

 

Рис. 2. Неоптимальное назначение пропускных способностей связанных дуг

 

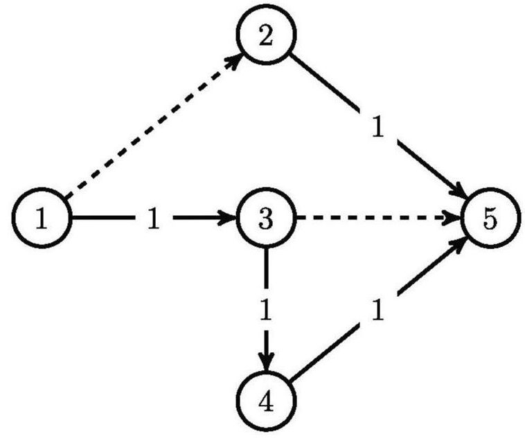
Однако для сети, изображенной на рис. 1, существует оптимальное назначение пропускных способностей дуг, при котором достигается максимальный поток величиной в 3 MathType@MTEF@5@5@+= feaahGart1ev3aaatCvAUfeBSjuyZL2yd9gzLbvyNv2CaerbuLwBLn hiov2DGi1BTfMBaeXatLxBI9gBaebbnrfifHhDYfgasaacH8srps0l bbf9q8WrFfeuY=Hhbbf9v8qqaqFr0xc9pk0xbba9q8WqFfea0=yr0R Yxir=Jbba9q8aq0=yq=He9q8qqQ8frFve9Fve9Ff0dmeaabaqaciGa caGaaeqabaGabiWadaaakeaacaaIZaaaaa@327E@ , а именно, такое назначение, что ρu1 =1, ρu2 =2 (рис. 3).

 

Рис. 3. Оптимальное назначение пропускных способностей связанных дуг

 

Ясно, что существует бесконечное количество способов назначения для u U s MathType@MTEF@5@5@+= feaahGart1ev3aaatCvAUfeBSjuyZL2yd9gzLbvyNv2CaerbuLwBLn hiov2DGi1BTfMBaeXatLxBI9gBaebbnrfifHhDYfgasaacH8srps0l bbf9q8WrFfeuY=Hhbbf9v8qqaqFr0xc9pk0xbba9q8WqFfea0=yr0R Yxir=Jbba9q8aq0=yq=He9q8qqQ8frFve9Fve9Ff0dmeaabaqaciGa caGaaeqabaGabiWadaaakeaacaWG1bGaeyicI4SaamyvamaaCaaale qabaGaam4Caaaaaaa@363E@ , а значит, и бесконечное количество классических сетей, которые могут быть получены из сети со связанными дугами. Тогда задача поиска максимального потока величиной VG MathType@MTEF@5@5@+= feaahGart1ev3aaatCvAUfeBSjuyZL2yd9gzLbvyNv2CaerbuLwBLn hiov2DGi1BTfMBaeXatLxBI9gBaebbnrfifHhDYfgasaacH8srps0l bbf9q8WrFfeuY=Hhbbf9v8qqaqFr0xc9pk0xbba9q8WqFfea0=yr0R Yxir=Jbba9q8aq0=yq=He9q8qqQ8frFve9Fve9Ff0dmeaabaqaciGa caGaaeqabaGabiWadaaakeaacaWGwbGaam4raaaa@3368@  для сети со связанными дугами G MathType@MTEF@5@5@+= feaahGart1ev3aaatCvAUfeBSjuyZL2yd9gzLbvyNv2CaerbuLwBLn hiov2DGi1BTfMBaeXatLxBI9gBaebbnrfifHhDYfgasaacH8srps0l bbf9q8WrFfeuY=Hhbbf9v8qqaqFr0xc9pk0xbba9q8WqFfea0=yr0R Yxir=Jbba9q8aq0=yq=He9q8qqQ8frFve9Fve9Ff0dmeaabaqaciGa caGaaeqabaGabiWadaaakeaacaWGhbaaaa@328D@  формулируется как задача нахождения такого назначения пропускных способностей связанным дугам, при котором будет получена сеть, максимальный поток в которой является наибольшим по величине среди максимальных потоков всех возможных сетей, которые могут быть получены из G MathType@MTEF@5@5@+= feaahGart1ev3aaatCvAUfeBSjuyZL2yd9gzLbvyNv2CaerbuLwBLn hiov2DGi1BTfMBaeXatLxBI9gBaebbnrfifHhDYfgasaacH8srps0l bbf9q8WrFfeuY=Hhbbf9v8qqaqFr0xc9pk0xbba9q8WqFfea0=yr0R Yxir=Jbba9q8aq0=yq=He9q8qqQ8frFve9Fve9Ff0dmeaabaqaciGa caGaaeqabaGabiWadaaakeaacaWGhbaaaa@328D@  путем назначения для дуг U s MathType@MTEF@5@5@+= feaahGart1ev3aaatCvAUfeBSjuyZL2yd9gzLbvyNv2CaerbuLwBLn hiov2DGi1BTfMBaeXatLxBI9gBaebbnrfifHhDYfgasaacH8srps0l bbf9q8WrFfeuY=Hhbbf9v8qqaqFr0xc9pk0xbba9q8WqFfea0=yr0R Yxir=Jbba9q8aq0=yq=He9q8qqQ8frFve9Fve9Ff0dmeaabaqaciGa caGaaeqabaGabiWadaaakeaacaWGvbWaaWbaaSqabeaacaWGZbaaaa aa@33C0@ .

Сеть, изображенная на рисунке 1, примечательна тем, что при любом назначении пропускных способностей, при котором ρu11 и ρu22 будет получена классическая сеть, величина максимального потока в которой не будет равна VG MathType@MTEF@5@5@+= feaahGart1ev3aaatCvAUfeBSjuyZL2yd9gzLbvyNv2CaerbuLwBLn hiov2DGi1BTfMBaeXatLxBI9gBaebbnrfifHhDYfgasaacH8srps0l bbf9q8WrFfeuY=Hhbbf9v8qqaqFr0xc9pk0xbba9q8WqFfea0=yr0R Yxir=Jbba9q8aq0=yq=He9q8qqQ8frFve9Fve9Ff0dmeaabaqaciGa caGaaeqabaGabiWadaaakeaacaWGwbGaam4raaaa@3368@ .

Однако существуют сети со связанными дугами, из которых может быть получено более одной классической сети, имеющей VGρ= VG. Например, если для сети, изображенной на рис. 1, суммарная пропускная способность PUs=10, то при любых назначениях, при которых одновременно ρu1>1 и ρu2>2, будет VGρ = VG. Кроме того, при назначении не всей суммарной пропускной способности, а только ρu1=1 и ρu2 =2 из PUs = 10, остаточная (неиспользованная) пропускная способность PresUs составит 7 MathType@MTEF@5@5@+= feaahGart1ev3aaatCvAUfeBSjuyZL2yd9gzLbvyNv2CaerbuLwBLn hiov2DGi1BTfMBaeXatLxBI9gBaebbnrfifHhDYfgasaacH8srps0l bbf9q8WrFfeuY=Hhbbf9v8qqaqFr0xc9pk0xbba9q8WqFfea0=yr0R Yxir=Jbba9q8aq0=yq=He9q8qqQ8frFve9Fve9Ff0dmeaabaqaciGa caGaaeqabaGabiWadaaakeaacaaI3aaaaa@3282@ , а максимальный поток величины VG MathType@MTEF@5@5@+= feaahGart1ev3aaatCvAUfeBSjuyZL2yd9gzLbvyNv2CaerbuLwBLn hiov2DGi1BTfMBaeXatLxBI9gBaebbnrfifHhDYfgasaacH8srps0l bbf9q8WrFfeuY=Hhbbf9v8qqaqFr0xc9pk0xbba9q8WqFfea0=yr0R Yxir=Jbba9q8aq0=yq=He9q8qqQ8frFve9Fve9Ff0dmeaabaqaciGa caGaaeqabaGabiWadaaakeaacaWGwbGaam4raaaa@3368@  все равно будет получен. Но также ясно, что при любом ρu1>8 или ρu2>9 величина максимального потока получаемой классической сети V G ρ VG MathType@MTEF@5@5@+= feaahGart1ev3aaatCvAUfeBSjuyZL2yd9gzLbvyNv2CaerbuLwBLn hiov2DGi1BTfMBaeXatLxBI9gBaebbnrfifHhDYfgasaacH8srps0l bbf9q8WrFfeuY=Hhbbf9v8qqaqFr0xc9pk0xbba9q8WqFfea0=yr0R Yxir=Jbba9q8aq0=yq=He9q8qqQ8frFve9Fve9Ff0dmeaabaqaciGa caGaaeqabaGabiWadaaakeaacaWGwbGaam4ramaaBaaaleaacqaHbp GCaeqaaOGaeyiyIKRaamOvaiaadEeaaaa@38CC@ .

В сетях со связанными дугами проявляется «нелокальность» влияния назначений пропускных способностей. Приведенный ниже пример раскрывает данную проблему.

Пример 2. Пусть дуги сети (рис. 4), не принадлежащие множеству связанных дуг, имеют пропускные способности, равные 1 MathType@MTEF@5@5@+= feaahGart1ev3aaatCvAUfeBSjuyZL2yd9gzLbvyNv2CaerbuLwBLn hiov2DGi1BTfMBaeXatLxBI9gBaebbnrfifHhDYfgasaacH8srps0l bbf9q8WrFfeuY=Hhbbf9v8qqaqFr0xc9pk0xbba9q8WqFfea0=yr0R Yxir=Jbba9q8aq0=yq=He9q8qqQ8frFve9Fve9Ff0dmeaabaqaciGa caGaaeqabaGabiWadaaakeaacaaIXaaaaa@327C@ , а PUs=1, где U s MathType@MTEF@5@5@+= feaahGart1ev3aaatCvAUfeBSjuyZL2yd9gzLbvyNv2CaerbuLwBLn hiov2DGi1BTfMBaeXatLxBI9gBaebbnrfifHhDYfgasaacH8srps0l bbf9q8WrFfeuY=Hhbbf9v8qqaqFr0xc9pk0xbba9q8WqFfea0=yr0R Yxir=Jbba9q8aq0=yq=He9q8qqQ8frFve9Fve9Ff0dmeaabaqaciGa caGaaeqabaGabiWadaaakeaacaWGvbWaaWbaaSqabeaacaWGZbaaaa aa@33C0@  состоит из дуг 1 MathType@MTEF@5@5@+= feaahGart1ev3aaatCvAUfeBSjuyZL2yd9gzLbvyNv2CaerbuLwBLn hiov2DGi1BTfMBaeXatLxBI9gBaebbnrfifHhDYfgasaacH8srps0l bbf9q8WrFfeuY=Hhbbf9v8qqaqFr0xc9pk0xbba9q8WqFfea0=yr0R Yxir=Jbba9q8aq0=yq=He9q8qqQ8frFve9Fve9Ff0dmeaabaqaciGa caGaaeqabaGabiWadaaakeaacaaIXaaaaa@327C@  - 2 MathType@MTEF@5@5@+= feaahGart1ev3aaatCvAUfeBSjuyZL2yd9gzLbvyNv2CaerbuLwBLn hiov2DGi1BTfMBaeXatLxBI9gBaebbnrfifHhDYfgasaacH8srps0l bbf9q8WrFfeuY=Hhbbf9v8qqaqFr0xc9pk0xbba9q8WqFfea0=yr0R Yxir=Jbba9q8aq0=yq=He9q8qqQ8frFve9Fve9Ff0dmeaabaqaciGa caGaaeqabaGabiWadaaakeaacaaIYaaaaa@327D@  и 3 MathType@MTEF@5@5@+= feaahGart1ev3aaatCvAUfeBSjuyZL2yd9gzLbvyNv2CaerbuLwBLn hiov2DGi1BTfMBaeXatLxBI9gBaebbnrfifHhDYfgasaacH8srps0l bbf9q8WrFfeuY=Hhbbf9v8qqaqFr0xc9pk0xbba9q8WqFfea0=yr0R Yxir=Jbba9q8aq0=yq=He9q8qqQ8frFve9Fve9Ff0dmeaabaqaciGa caGaaeqabaGabiWadaaakeaacaaIZaaaaa@327E@  - 5 MathType@MTEF@5@5@+= feaahGart1ev3aaatCvAUfeBSjuyZL2yd9gzLbvyNv2CaerbuLwBLn hiov2DGi1BTfMBaeXatLxBI9gBaebbnrfifHhDYfgasaacH8srps0l bbf9q8WrFfeuY=Hhbbf9v8qqaqFr0xc9pk0xbba9q8WqFfea0=yr0R Yxir=Jbba9q8aq0=yq=He9q8qqQ8frFve9Fve9Ff0dmeaabaqaciGa caGaaeqabaGabiWadaaakeaacaaI1aaaaa@3280@ .

 

Рис. 4. Сеть со связанными дугами 1-2 и 3-5

 

При назначении пропускной способности по дуге 3 MathType@MTEF@5@5@+= feaahGart1ev3aaatCvAUfeBSjuyZL2yd9gzLbvyNv2CaerbuLwBLn hiov2DGi1BTfMBaeXatLxBI9gBaebbnrfifHhDYfgasaacH8srps0l bbf9q8WrFfeuY=Hhbbf9v8qqaqFr0xc9pk0xbba9q8WqFfea0=yr0R Yxir=Jbba9q8aq0=yq=He9q8qqQ8frFve9Fve9Ff0dmeaabaqaciGa caGaaeqabaGabiWadaaakeaacaaIZaaaaa@327E@  - 5 MathType@MTEF@5@5@+= feaahGart1ev3aaatCvAUfeBSjuyZL2yd9gzLbvyNv2CaerbuLwBLn hiov2DGi1BTfMBaeXatLxBI9gBaebbnrfifHhDYfgasaacH8srps0l bbf9q8WrFfeuY=Hhbbf9v8qqaqFr0xc9pk0xbba9q8WqFfea0=yr0R Yxir=Jbba9q8aq0=yq=He9q8qqQ8frFve9Fve9Ff0dmeaabaqaciGa caGaaeqabaGabiWadaaakeaacaaI1aaaaa@3280@  величиной 1 MathType@MTEF@5@5@+= feaahGart1ev3aaatCvAUfeBSjuyZL2yd9gzLbvyNv2CaerbuLwBLn hiov2DGi1BTfMBaeXatLxBI9gBaebbnrfifHhDYfgasaacH8srps0l bbf9q8WrFfeuY=Hhbbf9v8qqaqFr0xc9pk0xbba9q8WqFfea0=yr0R Yxir=Jbba9q8aq0=yq=He9q8qqQ8frFve9Fve9Ff0dmeaabaqaciGa caGaaeqabaGabiWadaaakeaacaaIXaaaaa@327C@  используется вся пропускная способность связанных дуг, а поток в данной сети осуществим лишь по пути 1 MathType@MTEF@5@5@+= feaahGart1ev3aaatCvAUfeBSjuyZL2yd9gzLbvyNv2CaerbuLwBLn hiov2DGi1BTfMBaeXatLxBI9gBaebbnrfifHhDYfgasaacH8srps0l bbf9q8WrFfeuY=Hhbbf9v8qqaqFr0xc9pk0xbba9q8WqFfea0=yr0R Yxir=Jbba9q8aq0=yq=He9q8qqQ8frFve9Fve9Ff0dmeaabaqaciGa caGaaeqabaGabiWadaaakeaacaaIXaaaaa@327C@  - 3 MathType@MTEF@5@5@+= feaahGart1ev3aaatCvAUfeBSjuyZL2yd9gzLbvyNv2CaerbuLwBLn hiov2DGi1BTfMBaeXatLxBI9gBaebbnrfifHhDYfgasaacH8srps0l bbf9q8WrFfeuY=Hhbbf9v8qqaqFr0xc9pk0xbba9q8WqFfea0=yr0R Yxir=Jbba9q8aq0=yq=He9q8qqQ8frFve9Fve9Ff0dmeaabaqaciGa caGaaeqabaGabiWadaaakeaacaaIZaaaaa@327E@  - 5 MathType@MTEF@5@5@+= feaahGart1ev3aaatCvAUfeBSjuyZL2yd9gzLbvyNv2CaerbuLwBLn hiov2DGi1BTfMBaeXatLxBI9gBaebbnrfifHhDYfgasaacH8srps0l bbf9q8WrFfeuY=Hhbbf9v8qqaqFr0xc9pk0xbba9q8WqFfea0=yr0R Yxir=Jbba9q8aq0=yq=He9q8qqQ8frFve9Fve9Ff0dmeaabaqaciGa caGaaeqabaGabiWadaaakeaacaaI1aaaaa@3280@  (рис. 5) и является максимальным потоком. Возможность назначения ненулевого потока по дуге 1 MathType@MTEF@5@5@+= feaahGart1ev3aaatCvAUfeBSjuyZL2yd9gzLbvyNv2CaerbuLwBLn hiov2DGi1BTfMBaeXatLxBI9gBaebbnrfifHhDYfgasaacH8srps0l bbf9q8WrFfeuY=Hhbbf9v8qqaqFr0xc9pk0xbba9q8WqFfea0=yr0R Yxir=Jbba9q8aq0=yq=He9q8qqQ8frFve9Fve9Ff0dmeaabaqaciGa caGaaeqabaGabiWadaaakeaacaaIXaaaaa@327C@  - 2 MathType@MTEF@5@5@+= feaahGart1ev3aaatCvAUfeBSjuyZL2yd9gzLbvyNv2CaerbuLwBLn hiov2DGi1BTfMBaeXatLxBI9gBaebbnrfifHhDYfgasaacH8srps0l bbf9q8WrFfeuY=Hhbbf9v8qqaqFr0xc9pk0xbba9q8WqFfea0=yr0R Yxir=Jbba9q8aq0=yq=He9q8qqQ8frFve9Fve9Ff0dmeaabaqaciGa caGaaeqabaGabiWadaaakeaacaaIYaaaaa@327D@  заблокирована, однако величина максимального потока в полученной сети не равна VG MathType@MTEF@5@5@+= feaahGart1ev3aaatCvAUfeBSjuyZL2yd9gzLbvyNv2CaerbuLwBLn hiov2DGi1BTfMBaeXatLxBI9gBaebbnrfifHhDYfgasaacH8srps0l bbf9q8WrFfeuY=Hhbbf9v8qqaqFr0xc9pk0xbba9q8WqFfea0=yr0R Yxir=Jbba9q8aq0=yq=He9q8qqQ8frFve9Fve9Ff0dmeaabaqaciGa caGaaeqabaGabiWadaaakeaacaWGwbGaam4raaaa@3368@ .

 

Рис. 5. Блокирующий поток в сети со связанными дугами

 

Однако если произвести назначение пропускной способности величиной 1 MathType@MTEF@5@5@+= feaahGart1ev3aaatCvAUfeBSjuyZL2yd9gzLbvyNv2CaerbuLwBLn hiov2DGi1BTfMBaeXatLxBI9gBaebbnrfifHhDYfgasaacH8srps0l bbf9q8WrFfeuY=Hhbbf9v8qqaqFr0xc9pk0xbba9q8WqFfea0=yr0R Yxir=Jbba9q8aq0=yq=He9q8qqQ8frFve9Fve9Ff0dmeaabaqaciGa caGaaeqabaGabiWadaaakeaacaaIXaaaaa@327C@  по дуге 1 MathType@MTEF@5@5@+= feaahGart1ev3aaatCvAUfeBSjuyZL2yd9gzLbvyNv2CaerbuLwBLn hiov2DGi1BTfMBaeXatLxBI9gBaebbnrfifHhDYfgasaacH8srps0l bbf9q8WrFfeuY=Hhbbf9v8qqaqFr0xc9pk0xbba9q8WqFfea0=yr0R Yxir=Jbba9q8aq0=yq=He9q8qqQ8frFve9Fve9Ff0dmeaabaqaciGa caGaaeqabaGabiWadaaakeaacaaIXaaaaa@327C@  - 2 MathType@MTEF@5@5@+= feaahGart1ev3aaatCvAUfeBSjuyZL2yd9gzLbvyNv2CaerbuLwBLn hiov2DGi1BTfMBaeXatLxBI9gBaebbnrfifHhDYfgasaacH8srps0l bbf9q8WrFfeuY=Hhbbf9v8qqaqFr0xc9pk0xbba9q8WqFfea0=yr0R Yxir=Jbba9q8aq0=yq=He9q8qqQ8frFve9Fve9Ff0dmeaabaqaciGa caGaaeqabaGabiWadaaakeaacaaIYaaaaa@327D@ , то по дугам 1 MathType@MTEF@5@5@+= feaahGart1ev3aaatCvAUfeBSjuyZL2yd9gzLbvyNv2CaerbuLwBLn hiov2DGi1BTfMBaeXatLxBI9gBaebbnrfifHhDYfgasaacH8srps0l bbf9q8WrFfeuY=Hhbbf9v8qqaqFr0xc9pk0xbba9q8WqFfea0=yr0R Yxir=Jbba9q8aq0=yq=He9q8qqQ8frFve9Fve9Ff0dmeaabaqaciGa caGaaeqabaGabiWadaaakeaacaaIXaaaaa@327C@  - 2 MathType@MTEF@5@5@+= feaahGart1ev3aaatCvAUfeBSjuyZL2yd9gzLbvyNv2CaerbuLwBLn hiov2DGi1BTfMBaeXatLxBI9gBaebbnrfifHhDYfgasaacH8srps0l bbf9q8WrFfeuY=Hhbbf9v8qqaqFr0xc9pk0xbba9q8WqFfea0=yr0R Yxir=Jbba9q8aq0=yq=He9q8qqQ8frFve9Fve9Ff0dmeaabaqaciGa caGaaeqabaGabiWadaaakeaacaaIYaaaaa@327D@ , 2 MathType@MTEF@5@5@+= feaahGart1ev3aaatCvAUfeBSjuyZL2yd9gzLbvyNv2CaerbuLwBLn hiov2DGi1BTfMBaeXatLxBI9gBaebbnrfifHhDYfgasaacH8srps0l bbf9q8WrFfeuY=Hhbbf9v8qqaqFr0xc9pk0xbba9q8WqFfea0=yr0R Yxir=Jbba9q8aq0=yq=He9q8qqQ8frFve9Fve9Ff0dmeaabaqaciGa caGaaeqabaGabiWadaaakeaacaaIYaaaaa@327D@  - 5 MathType@MTEF@5@5@+= feaahGart1ev3aaatCvAUfeBSjuyZL2yd9gzLbvyNv2CaerbuLwBLn hiov2DGi1BTfMBaeXatLxBI9gBaebbnrfifHhDYfgasaacH8srps0l bbf9q8WrFfeuY=Hhbbf9v8qqaqFr0xc9pk0xbba9q8WqFfea0=yr0R Yxir=Jbba9q8aq0=yq=He9q8qqQ8frFve9Fve9Ff0dmeaabaqaciGa caGaaeqabaGabiWadaaakeaacaaI1aaaaa@3280@ , 1 MathType@MTEF@5@5@+= feaahGart1ev3aaatCvAUfeBSjuyZL2yd9gzLbvyNv2CaerbuLwBLn hiov2DGi1BTfMBaeXatLxBI9gBaebbnrfifHhDYfgasaacH8srps0l bbf9q8WrFfeuY=Hhbbf9v8qqaqFr0xc9pk0xbba9q8WqFfea0=yr0R Yxir=Jbba9q8aq0=yq=He9q8qqQ8frFve9Fve9Ff0dmeaabaqaciGa caGaaeqabaGabiWadaaakeaacaaIXaaaaa@327C@  - 3 MathType@MTEF@5@5@+= feaahGart1ev3aaatCvAUfeBSjuyZL2yd9gzLbvyNv2CaerbuLwBLn hiov2DGi1BTfMBaeXatLxBI9gBaebbnrfifHhDYfgasaacH8srps0l bbf9q8WrFfeuY=Hhbbf9v8qqaqFr0xc9pk0xbba9q8WqFfea0=yr0R Yxir=Jbba9q8aq0=yq=He9q8qqQ8frFve9Fve9Ff0dmeaabaqaciGa caGaaeqabaGabiWadaaakeaacaaIZaaaaa@327E@ , 3 MathType@MTEF@5@5@+= feaahGart1ev3aaatCvAUfeBSjuyZL2yd9gzLbvyNv2CaerbuLwBLn hiov2DGi1BTfMBaeXatLxBI9gBaebbnrfifHhDYfgasaacH8srps0l bbf9q8WrFfeuY=Hhbbf9v8qqaqFr0xc9pk0xbba9q8WqFfea0=yr0R Yxir=Jbba9q8aq0=yq=He9q8qqQ8frFve9Fve9Ff0dmeaabaqaciGa caGaaeqabaGabiWadaaakeaacaaIZaaaaa@327E@  - 4 MathType@MTEF@5@5@+= feaahGart1ev3aaatCvAUfeBSjuyZL2yd9gzLbvyNv2CaerbuLwBLn hiov2DGi1BTfMBaeXatLxBI9gBaebbnrfifHhDYfgasaacH8srps0l bbf9q8WrFfeuY=Hhbbf9v8qqaqFr0xc9pk0xbba9q8WqFfea0=yr0R Yxir=Jbba9q8aq0=yq=He9q8qqQ8frFve9Fve9Ff0dmeaabaqaciGa caGaaeqabaGabiWadaaakeaacaaI0aaaaa@327F@ , 4 MathType@MTEF@5@5@+= feaahGart1ev3aaatCvAUfeBSjuyZL2yd9gzLbvyNv2CaerbuLwBLn hiov2DGi1BTfMBaeXatLxBI9gBaebbnrfifHhDYfgasaacH8srps0l bbf9q8WrFfeuY=Hhbbf9v8qqaqFr0xc9pk0xbba9q8WqFfea0=yr0R Yxir=Jbba9q8aq0=yq=He9q8qqQ8frFve9Fve9Ff0dmeaabaqaciGa caGaaeqabaGabiWadaaakeaacaaI0aaaaa@327F@  - 6 MathType@MTEF@5@5@+= feaahGart1ev3aaatCvAUfeBSjuyZL2yd9gzLbvyNv2CaerbuLwBLn hiov2DGi1BTfMBaeXatLxBI9gBaebbnrfifHhDYfgasaacH8srps0l bbf9q8WrFfeuY=Hhbbf9v8qqaqFr0xc9pk0xbba9q8WqFfea0=yr0R Yxir=Jbba9q8aq0=yq=He9q8qqQ8frFve9Fve9Ff0dmeaabaqaciGa caGaaeqabaGabiWadaaakeaacaaI2aaaaa@3281@  (рис. 6) станет осуществимым максимальный поток величиной VGρ=VG=2.

 

Рис. 6. Максимальный поток в сети со связанными дугами

 

Этот пример отражает не только свойство нелокальности изменений, происходящих при назначениях пропускных способностей в сети со связанными дугами, но также заставляет обратить внимание, на то, что несмотря на одинаковые пропускные способности (а соответственно, и возможность внести одинаковый вклад в формирование максимального потока), связанные дуги 1 MathType@MTEF@5@5@+= feaahGart1ev3aaatCvAUfeBSjuyZL2yd9gzLbvyNv2CaerbuLwBLn hiov2DGi1BTfMBaeXatLxBI9gBaebbnrfifHhDYfgasaacH8srps0l bbf9q8WrFfeuY=Hhbbf9v8qqaqFr0xc9pk0xbba9q8WqFfea0=yr0R Yxir=Jbba9q8aq0=yq=He9q8qqQ8frFve9Fve9Ff0dmeaabaqaciGa caGaaeqabaGabiWadaaakeaacaaIXaaaaa@327C@  - 2 MathType@MTEF@5@5@+= feaahGart1ev3aaatCvAUfeBSjuyZL2yd9gzLbvyNv2CaerbuLwBLn hiov2DGi1BTfMBaeXatLxBI9gBaebbnrfifHhDYfgasaacH8srps0l bbf9q8WrFfeuY=Hhbbf9v8qqaqFr0xc9pk0xbba9q8WqFfea0=yr0R Yxir=Jbba9q8aq0=yq=He9q8qqQ8frFve9Fve9Ff0dmeaabaqaciGa caGaaeqabaGabiWadaaakeaacaaIYaaaaa@327D@  и 3 MathType@MTEF@5@5@+= feaahGart1ev3aaatCvAUfeBSjuyZL2yd9gzLbvyNv2CaerbuLwBLn hiov2DGi1BTfMBaeXatLxBI9gBaebbnrfifHhDYfgasaacH8srps0l bbf9q8WrFfeuY=Hhbbf9v8qqaqFr0xc9pk0xbba9q8WqFfea0=yr0R Yxir=Jbba9q8aq0=yq=He9q8qqQ8frFve9Fve9Ff0dmeaabaqaciGa caGaaeqabaGabiWadaaakeaacaaIZaaaaa@327E@  - 4 MathType@MTEF@5@5@+= feaahGart1ev3aaatCvAUfeBSjuyZL2yd9gzLbvyNv2CaerbuLwBLn hiov2DGi1BTfMBaeXatLxBI9gBaebbnrfifHhDYfgasaacH8srps0l bbf9q8WrFfeuY=Hhbbf9v8qqaqFr0xc9pk0xbba9q8WqFfea0=yr0R Yxir=Jbba9q8aq0=yq=He9q8qqQ8frFve9Fve9Ff0dmeaabaqaciGa caGaaeqabaGabiWadaaakeaacaaI0aaaaa@327F@  неравноценны и любое назначение ненулевой пропускной способности по дуге 3 MathType@MTEF@5@5@+= feaahGart1ev3aaatCvAUfeBSjuyZL2yd9gzLbvyNv2CaerbuLwBLn hiov2DGi1BTfMBaeXatLxBI9gBaebbnrfifHhDYfgasaacH8srps0l bbf9q8WrFfeuY=Hhbbf9v8qqaqFr0xc9pk0xbba9q8WqFfea0=yr0R Yxir=Jbba9q8aq0=yq=He9q8qqQ8frFve9Fve9Ff0dmeaabaqaciGa caGaaeqabaGabiWadaaakeaacaaIZaaaaa@327E@  - 4 MathType@MTEF@5@5@+= feaahGart1ev3aaatCvAUfeBSjuyZL2yd9gzLbvyNv2CaerbuLwBLn hiov2DGi1BTfMBaeXatLxBI9gBaebbnrfifHhDYfgasaacH8srps0l bbf9q8WrFfeuY=Hhbbf9v8qqaqFr0xc9pk0xbba9q8WqFfea0=yr0R Yxir=Jbba9q8aq0=yq=He9q8qqQ8frFve9Fve9Ff0dmeaabaqaciGa caGaaeqabaGabiWadaaakeaacaaI0aaaaa@327F@  приводит получению сети, величина максимального потока в которой не равна VG MathType@MTEF@5@5@+= feaahGart1ev3aaatCvAUfeBSjuyZL2yd9gzLbvyNv2CaerbuLwBLn hiov2DGi1BTfMBaeXatLxBI9gBaebbnrfifHhDYfgasaacH8srps0l bbf9q8WrFfeuY=Hhbbf9v8qqaqFr0xc9pk0xbba9q8WqFfea0=yr0R Yxir=Jbba9q8aq0=yq=He9q8qqQ8frFve9Fve9Ff0dmeaabaqaciGa caGaaeqabaGabiWadaaakeaacaWGwbGaam4raaaa@3368@ .

Может показаться, что найденный максимальный поток равен сумме пропускных способностей дуг любого из минимальных разрезов данной сети (например, разреза, состоящего из дуг 1 MathType@MTEF@5@5@+= feaahGart1ev3aaatCvAUfeBSjuyZL2yd9gzLbvyNv2CaerbuLwBLn hiov2DGi1BTfMBaeXatLxBI9gBaebbnrfifHhDYfgasaacH8srps0l bbf9q8WrFfeuY=Hhbbf9v8qqaqFr0xc9pk0xbba9q8WqFfea0=yr0R Yxir=Jbba9q8aq0=yq=He9q8qqQ8frFve9Fve9Ff0dmeaabaqaciGa caGaaeqabaGabiWadaaakeaacaaIXaaaaa@327C@  - 2 MathType@MTEF@5@5@+= feaahGart1ev3aaatCvAUfeBSjuyZL2yd9gzLbvyNv2CaerbuLwBLn hiov2DGi1BTfMBaeXatLxBI9gBaebbnrfifHhDYfgasaacH8srps0l bbf9q8WrFfeuY=Hhbbf9v8qqaqFr0xc9pk0xbba9q8WqFfea0=yr0R Yxir=Jbba9q8aq0=yq=He9q8qqQ8frFve9Fve9Ff0dmeaabaqaciGa caGaaeqabaGabiWadaaakeaacaaIYaaaaa@327D@  и 1 MathType@MTEF@5@5@+= feaahGart1ev3aaatCvAUfeBSjuyZL2yd9gzLbvyNv2CaerbuLwBLn hiov2DGi1BTfMBaeXatLxBI9gBaebbnrfifHhDYfgasaacH8srps0l bbf9q8WrFfeuY=Hhbbf9v8qqaqFr0xc9pk0xbba9q8WqFfea0=yr0R Yxir=Jbba9q8aq0=yq=He9q8qqQ8frFve9Fve9Ff0dmeaabaqaciGa caGaaeqabaGabiWadaaakeaacaaIXaaaaa@327C@  - 3 MathType@MTEF@5@5@+= feaahGart1ev3aaatCvAUfeBSjuyZL2yd9gzLbvyNv2CaerbuLwBLn hiov2DGi1BTfMBaeXatLxBI9gBaebbnrfifHhDYfgasaacH8srps0l bbf9q8WrFfeuY=Hhbbf9v8qqaqFr0xc9pk0xbba9q8WqFfea0=yr0R Yxir=Jbba9q8aq0=yq=He9q8qqQ8frFve9Fve9Ff0dmeaabaqaciGa caGaaeqabaGabiWadaaakeaacaaIZaaaaa@327E@  ). Но для сетей со связанными дугами понятие минимального разреза не имеет смысла, так как для каждой из связанных дуг, взятой в отдельности, пропускная способность не определена. Минимальный разрез может быть определен лишь для классических сетей, полученных из сети со связанными дугами.

По причине возникновения блокирующих потоков наподобие изображенного на рис. 4 в сети с произвольной топологией назначение пропускной способности для одной из связанных дуг может повлиять на возможность назначения потока в любом из участков сети, содержащих связанные дуги из того же множества связанных дуг. Поэтому рассмотрим решение задачи о максимальном потоке начиная с наиболее простых классов сетей  MathType@MTEF@5@5@+= feaahGart1ev3aqatCvAUfeBSjuyZL2yd9gzLbvyNv2CaerbuLwBLn hiov2DGi1BTfMBaeXatLxBI9gBaerbd9wDYLwzYbItLDharqqtubsr 4rNCHbGeaGqiVu0Je9sqqrpepC0xbbL8F4rqqrFfpeea0xe9Lq=Jc9 vqaqpepm0xbba9pwe9Q8fs0=yqaqpepae9pg0FirpepeKkFr0xfr=x fr=xb9adbaqaaeGaciGaaiaabeqaamaabaabaaGcbaacbaqcLbsaqa aaaaaaaaWdbiaa=rbiaaa@3765@  параллельных сетей.

2. Максимальный поток в параллельных сетях с одним множеством связанных дуг

Определение 5. Параллельная сеть  MathType@MTEF@5@5@+= feaahGart1ev3aqatCvAUfeBSjuyZL2yd9gzLbvyNv2CaerbuLwBLn hiov2DGi1BTfMBaeXatLxBI9gBaerbd9wDYLwzYbItLDharqqtubsr 4rNCHbGeaGqiVu0Je9sqqrpepC0xbbL8F4rqqrFfpeea0xe9Lq=Jc9 vqaqpepm0xbba9pwe9Q8fs0=yqaqpepae9pg0FirpepeKkFr0xfr=x fr=xb9adbaqaaeGaciGaaiaabeqaamaabaabaaGcbaacbaqcLbsaqa aaaaaaaaWdbiaa=rbiaaa@3765@  сеть, содержащая только простые пути, ведущие из источника в сток, которые не имеют общих вершин, отличных от источника и стока (см. [5]).

Представленная ранее сеть (см. рис. 4) не удовлетворяет приведенному определению 5, поскольку простые пути  1 MathType@MTEF@5@5@+= feaahGart1ev3aaatCvAUfeBSjuyZL2yd9gzLbvyNv2CaerbuLwBLn hiov2DGi1BTfMBaeXatLxBI9gBaebbnrfifHhDYfgasaacH8srps0l bbf9q8WrFfeuY=Hhbbf9v8qqaqFr0xc9pk0xbba9q8WqFfea0=yr0R Yxir=Jbba9q8aq0=yq=He9q8qqQ8frFve9Fve9Ff0dmeaabaqaciGa caGaaeqabaGabiWadaaakeaacaaIXaaaaa@327C@   3 MathType@MTEF@5@5@+= feaahGart1ev3aaatCvAUfeBSjuyZL2yd9gzLbvyNv2CaerbuLwBLn hiov2DGi1BTfMBaeXatLxBI9gBaebbnrfifHhDYfgasaacH8srps0l bbf9q8WrFfeuY=Hhbbf9v8qqaqFr0xc9pk0xbba9q8WqFfea0=yr0R Yxir=Jbba9q8aq0=yq=He9q8qqQ8frFve9Fve9Ff0dmeaabaqaciGa caGaaeqabaGabiWadaaakeaacaaIZaaaaa@327E@   5 MathType@MTEF@5@5@+= feaahGart1ev3aaatCvAUfeBSjuyZL2yd9gzLbvyNv2CaerbuLwBLn hiov2DGi1BTfMBaeXatLxBI9gBaebbnrfifHhDYfgasaacH8srps0l bbf9q8WrFfeuY=Hhbbf9v8qqaqFr0xc9pk0xbba9q8WqFfea0=yr0R Yxir=Jbba9q8aq0=yq=He9q8qqQ8frFve9Fve9Ff0dmeaabaqaciGa caGaaeqabaGabiWadaaakeaacaaI1aaaaa@3280@  и  1 MathType@MTEF@5@5@+= feaahGart1ev3aaatCvAUfeBSjuyZL2yd9gzLbvyNv2CaerbuLwBLn hiov2DGi1BTfMBaeXatLxBI9gBaebbnrfifHhDYfgasaacH8srps0l bbf9q8WrFfeuY=Hhbbf9v8qqaqFr0xc9pk0xbba9q8WqFfea0=yr0R Yxir=Jbba9q8aq0=yq=He9q8qqQ8frFve9Fve9Ff0dmeaabaqaciGa caGaaeqabaGabiWadaaakeaacaaIXaaaaa@327C@   3 MathType@MTEF@5@5@+= feaahGart1ev3aaatCvAUfeBSjuyZL2yd9gzLbvyNv2CaerbuLwBLn hiov2DGi1BTfMBaeXatLxBI9gBaebbnrfifHhDYfgasaacH8srps0l bbf9q8WrFfeuY=Hhbbf9v8qqaqFr0xc9pk0xbba9q8WqFfea0=yr0R Yxir=Jbba9q8aq0=yq=He9q8qqQ8frFve9Fve9Ff0dmeaabaqaciGa caGaaeqabaGabiWadaaakeaacaaIZaaaaa@327E@   4 MathType@MTEF@5@5@+= feaahGart1ev3aaatCvAUfeBSjuyZL2yd9gzLbvyNv2CaerbuLwBLn hiov2DGi1BTfMBaeXatLxBI9gBaebbnrfifHhDYfgasaacH8srps0l bbf9q8WrFfeuY=Hhbbf9v8qqaqFr0xc9pk0xbba9q8WqFfea0=yr0R Yxir=Jbba9q8aq0=yq=He9q8qqQ8frFve9Fve9Ff0dmeaabaqaciGa caGaaeqabaGabiWadaaakeaacaaI0aaaaa@327F@   5 MathType@MTEF@5@5@+= feaahGart1ev3aaatCvAUfeBSjuyZL2yd9gzLbvyNv2CaerbuLwBLn hiov2DGi1BTfMBaeXatLxBI9gBaebbnrfifHhDYfgasaacH8srps0l bbf9q8WrFfeuY=Hhbbf9v8qqaqFr0xc9pk0xbba9q8WqFfea0=yr0R Yxir=Jbba9q8aq0=yq=He9q8qqQ8frFve9Fve9Ff0dmeaabaqaciGa caGaaeqabaGabiWadaaakeaacaaI1aaaaa@3280@  из источника  1 MathType@MTEF@5@5@+= feaahGart1ev3aaatCvAUfeBSjuyZL2yd9gzLbvyNv2CaerbuLwBLn hiov2DGi1BTfMBaeXatLxBI9gBaebbnrfifHhDYfgasaacH8srps0l bbf9q8WrFfeuY=Hhbbf9v8qqaqFr0xc9pk0xbba9q8WqFfea0=yr0R Yxir=Jbba9q8aq0=yq=He9q8qqQ8frFve9Fve9Ff0dmeaabaqaciGa caGaaeqabaGabiWadaaakeaacaaIXaaaaa@327C@  в сток  5 MathType@MTEF@5@5@+= feaahGart1ev3aaatCvAUfeBSjuyZL2yd9gzLbvyNv2CaerbuLwBLn hiov2DGi1BTfMBaeXatLxBI9gBaebbnrfifHhDYfgasaacH8srps0l bbf9q8WrFfeuY=Hhbbf9v8qqaqFr0xc9pk0xbba9q8WqFfea0=yr0R Yxir=Jbba9q8aq0=yq=He9q8qqQ8frFve9Fve9Ff0dmeaabaqaciGa caGaaeqabaGabiWadaaakeaacaaI1aaaaa@3280@  в пересечении по вершинам содержат не только источник и сток, но и общую промежуточную вершину  3 MathType@MTEF@5@5@+= feaahGart1ev3aaatCvAUfeBSjuyZL2yd9gzLbvyNv2CaerbuLwBLn hiov2DGi1BTfMBaeXatLxBI9gBaebbnrfifHhDYfgasaacH8srps0l bbf9q8WrFfeuY=Hhbbf9v8qqaqFr0xc9pk0xbba9q8WqFfea0=yr0R Yxir=Jbba9q8aq0=yq=He9q8qqQ8frFve9Fve9Ff0dmeaabaqaciGa caGaaeqabaGabiWadaaakeaacaaIZaaaaa@327E@ . Из определения 5 следует, что

xX\s,t deg+x =degx = 1                                                         (2)

degs = deg+t = p,                                                                                (3)

где deg+zdegz  MathType@MTEF@5@5@+= feaahGart1ev3aqatCvAUfeBSjuyZL2yd9gzLbvyNv2CaerbuLwBLn hiov2DGi1BTfMBaeXatLxBI9gBaerbd9wDYLwzYbItLDharqqtubsr 4rNCHbGeaGqiVu0Je9sqqrpepC0xbbL8F4rqqrFfpeea0xe9Lq=Jc9 vqaqpepm0xbba9pwe9Q8fs0=yqaqpepae9pg0FirpepeKkFr0xfr=x fr=xb9adbaqaaeGaciGaaiaabeqaamaabaabaaGcbaacbaqcLbsaqa aaaaaaaaWdbiaa=rbiaaa@3765@  полустепени захода и исхода вершины  z MathType@MTEF@5@5@+= feaahGart1ev3aaatCvAUfeBSjuyZL2yd9gzLbvyNv2CaerbuLwBLn hiov2DGi1BTfMBaeXatLxBI9gBaebbnrfifHhDYfgasaacH8srps0l bbf9q8WrFfeuY=Hhbbf9v8qqaqFr0xc9pk0xbba9q8WqFfea0=yr0R Yxir=Jbba9q8aq0=yq=He9q8qqQ8frFve9Fve9Ff0dmeaabaqaciGa caGaaeqabaGabiWadaaakeaacaWG6baaaa@32C0@  (  zX MathType@MTEF@5@5@+= feaahGart1ev3aaatCvAUfeBSjuyZL2yd9gzLbvyNv2CaerbuLwBLn hiov2DGi1BTfMBaeXatLxBI9gBaebbnrfifHhDYfgasaacH8srps0l bbf9q8WrFfeuY=Hhbbf9v8qqaqFr0xc9pk0xbba9q8WqFfea0=yr0R Yxir=Jbba9q8aq0=yq=He9q8qqQ8frFve9Fve9Ff0dmeaabaqaciGa caGaaeqabaGabiWadaaakeaacaWG6bGaeyicI4Saamiwaaaa@3521@  ) соответственно, а  p MathType@MTEF@5@5@+= feaahGart1ev3aaatCvAUfeBSjuyZL2yd9gzLbvyNv2CaerbuLwBLn hiov2DGi1BTfMBaeXatLxBI9gBaebbnrfifHhDYfgasaacH8srps0l bbf9q8WrFfeuY=Hhbbf9v8qqaqFr0xc9pk0xbba9q8WqFfea0=yr0R Yxir=Jbba9q8aq0=yq=He9q8qqQ8frFve9Fve9Ff0dmeaabaqaciGa caGaaeqabaGabiWadaaakeaacaWGWbaaaa@32B6@   MathType@MTEF@5@5@+= feaahGart1ev3aqatCvAUfeBSjuyZL2yd9gzLbvyNv2CaerbuLwBLn hiov2DGi1BTfMBaeXatLxBI9gBaerbd9wDYLwzYbItLDharqqtubsr 4rNCHbGeaGqiVu0Je9sqqrpepC0xbbL8F4rqqrFfpeea0xe9Lq=Jc9 vqaqpepm0xbba9pwe9Q8fs0=yqaqpepae9pg0FirpepeKkFr0xfr=x fr=xb9adbaqaaeGaciGaaiaabeqaamaabaabaaGcbaacbaqcLbsaqa aaaaaaaaWdbiaa=rbiaaa@3765@  количество параллельных путей.

Если сеть GX,U,f,ρ удовлетворяет определению 1, а именно,

 cG = 1                                                                                                  (4)

где cG  MathType@MTEF@5@5@+= feaahGart1ev3aqatCvAUfeBSjuyZL2yd9gzLbvyNv2CaerbuLwBLn hiov2DGi1BTfMBaeXatLxBI9gBaerbd9wDYLwzYbItLDharqqtubsr 4rNCHbGeaGqiVu0Je9sqqrpepC0xbbL8F4rqqrFfpeea0xe9Lq=Jc9 vqaqpepm0xbba9pwe9Q8fs0=yqaqpepae9pg0FirpepeKkFr0xfr=x fr=xb9adbaqaaeGaciGaaiaabeqaamaabaabaaGcbaacbaqcLbsaqa aaaaaaaaWdbiaa=rbiaaa@3765@  число компонент связности графа  G MathType@MTEF@5@5@+= feaahGart1ev3aaatCvAUfeBSjuyZL2yd9gzLbvyNv2CaerbuLwBLn hiov2DGi1BTfMBaeXatLxBI9gBaebbnrfifHhDYfgasaacH8srps0l bbf9q8WrFfeuY=Hhbbf9v8qqaqFr0xc9pk0xbba9q8WqFfea0=yr0R Yxir=Jbba9q8aq0=yq=He9q8qqQ8frFve9Fve9Ff0dmeaabaqaciGa caGaaeqabaGabiWadaaakeaacaWGhbaaaa@328D@ , то следствия (2) и (3)  MathType@MTEF@5@5@+= feaahGart1ev3aqatCvAUfeBSjuyZL2yd9gzLbvyNv2CaerbuLwBLn hiov2DGi1BTfMBaeXatLxBI9gBaerbd9wDYLwzYbItLDharqqtubsr 4rNCHbGeaGqiVu0Je9sqqrpepC0xbbL8F4rqqrFfpeea0xe9Lq=Jc9 vqaqpepm0xbba9pwe9Q8fs0=yqaqpepae9pg0FirpepeKkFr0xfr=x fr=xb9adbaqaaeGaciGaaiaabeqaamaabaabaaGcbaacbaqcLbsaqa aaaaaaaaWdbiaa=rbiaaa@3765@  необходимые и достаточные условия, при выполнении которых  G MathType@MTEF@5@5@+= feaahGart1ev3aaatCvAUfeBSjuyZL2yd9gzLbvyNv2CaerbuLwBLn hiov2DGi1BTfMBaeXatLxBI9gBaebbnrfifHhDYfgasaacH8srps0l bbf9q8WrFfeuY=Hhbbf9v8qqaqFr0xc9pk0xbba9q8WqFfea0=yr0R Yxir=Jbba9q8aq0=yq=He9q8qqQ8frFve9Fve9Ff0dmeaabaqaciGa caGaaeqabaGabiWadaaakeaacaWGhbaaaa@328D@  является параллельной сетью.

Из условий (2), (3), (4) определение того, является ли сеть параллельной, осуществимо за линейное от размеров сети (количества дуг и вершин сети) время путем модифицированного обхода в глубину (см. [3]).

Замечание. Определение 4 сформулировано для сетей с одним источником и одним стоком, но может быть распространено и на сети с несколькими источниками и стоками. Если при объединении всех источников в один источник и объединении всех стоков в один сток будет получена параллельная сеть, то будем считать исходную сеть параллельной (для такой сети условия (2), (3), (4) должны быть сформулированы с учетом нескольких источников и стоков).

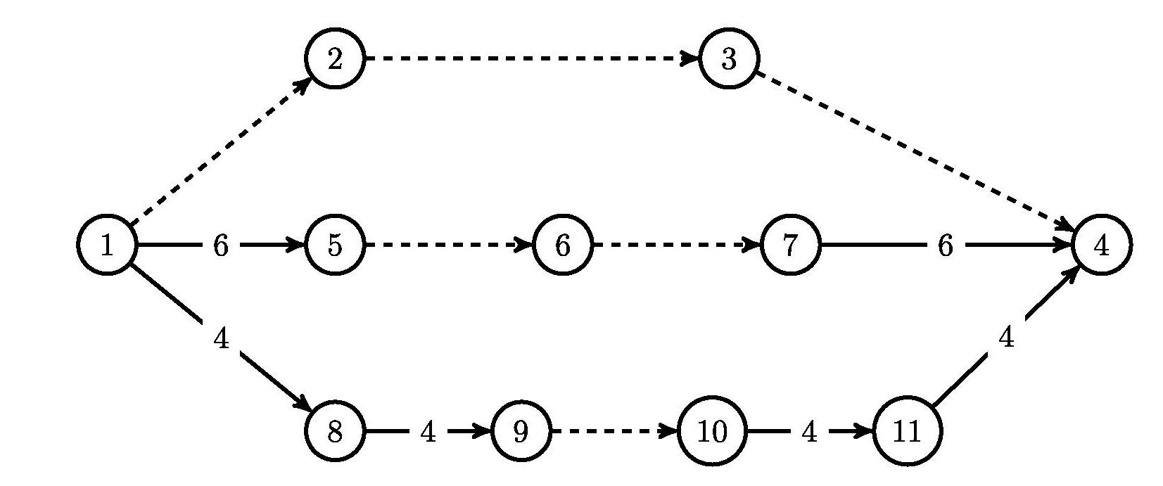
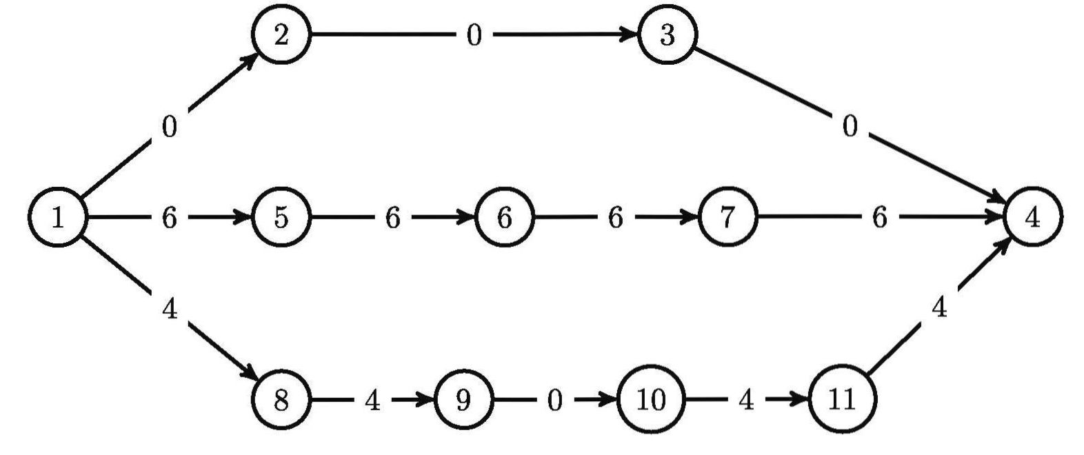
Примером параллельной сети с одним множеством связанных дуг является сеть, изображённая на рис. 7.

 

Рис. 7. Параллельная сеть со связанными дугами

 

Пример 3. Пропускные способности несвязанных дуг указаны на рис. 7, PUs=12. Если для этой сети, назначить ненулевую пропускную способность величины 4 MathType@MTEF@5@5@+= feaahGart1ev3aaatCvAUfeBSjuyZL2yd9gzLbvyNv2CaerbuLwBLn hiov2DGi1BTfMBaeXatLxBI9gBaebbnrfifHhDYfgasaacH8srps0l bbf9q8WrFfeuY=Hhbbf9v8qqaqFr0xc9pk0xbba9q8WqFfea0=yr0R Yxir=Jbba9q8aq0=yq=He9q8qqQ8frFve9Fve9Ff0dmeaabaqaciGa caGaaeqabaGabiWadaaakeaacaaI0aaaaa@327F@  для связанных дуг по пути 1 MathType@MTEF@5@5@+= feaahGart1ev3aaatCvAUfeBSjuyZL2yd9gzLbvyNv2CaerbuLwBLn hiov2DGi1BTfMBaeXatLxBI9gBaebbnrfifHhDYfgasaacH8srps0l bbf9q8WrFfeuY=Hhbbf9v8qqaqFr0xc9pk0xbba9q8WqFfea0=yr0R Yxir=Jbba9q8aq0=yq=He9q8qqQ8frFve9Fve9Ff0dmeaabaqaciGa caGaaeqabaGabiWadaaakeaacaaIXaaaaa@327C@  - 2 MathType@MTEF@5@5@+= feaahGart1ev3aaatCvAUfeBSjuyZL2yd9gzLbvyNv2CaerbuLwBLn hiov2DGi1BTfMBaeXatLxBI9gBaebbnrfifHhDYfgasaacH8srps0l bbf9q8WrFfeuY=Hhbbf9v8qqaqFr0xc9pk0xbba9q8WqFfea0=yr0R Yxir=Jbba9q8aq0=yq=He9q8qqQ8frFve9Fve9Ff0dmeaabaqaciGa caGaaeqabaGabiWadaaakeaacaaIYaaaaa@327D@  - 3 MathType@MTEF@5@5@+= feaahGart1ev3aaatCvAUfeBSjuyZL2yd9gzLbvyNv2CaerbuLwBLn hiov2DGi1BTfMBaeXatLxBI9gBaebbnrfifHhDYfgasaacH8srps0l bbf9q8WrFfeuY=Hhbbf9v8qqaqFr0xc9pk0xbba9q8WqFfea0=yr0R Yxir=Jbba9q8aq0=yq=He9q8qqQ8frFve9Fve9Ff0dmeaabaqaciGa caGaaeqabaGabiWadaaakeaacaaIZaaaaa@327E@  - 4 MathType@MTEF@5@5@+= feaahGart1ev3aaatCvAUfeBSjuyZL2yd9gzLbvyNv2CaerbuLwBLn hiov2DGi1BTfMBaeXatLxBI9gBaebbnrfifHhDYfgasaacH8srps0l bbf9q8WrFfeuY=Hhbbf9v8qqaqFr0xc9pk0xbba9q8WqFfea0=yr0R Yxir=Jbba9q8aq0=yq=He9q8qqQ8frFve9Fve9Ff0dmeaabaqaciGa caGaaeqabaGabiWadaaakeaacaaI0aaaaa@327F@ , а для остальных связанных дуг установить пропускную способность в 0 MathType@MTEF@5@5@+= feaahGart1ev3aaatCvAUfeBSjuyZL2yd9gzLbvyNv2CaerbuLwBLn hiov2DGi1BTfMBaeXatLxBI9gBaebbnrfifHhDYfgasaacH8srps0l bbf9q8WrFfeuY=Hhbbf9v8qqaqFr0xc9pk0xbba9q8WqFfea0=yr0R Yxir=Jbba9q8aq0=yq=He9q8qqQ8frFve9Fve9Ff0dmeaabaqaciGa caGaaeqabaGabiWadaaakeaacaaIWaaaaa@327B@ , то будет получена сеть, изображенная на рис. 8, для которой VGρ= 4.

 

Рис. 8. Параллельная сеть с ненулевыми пропускными способностями пути 1-2-3-4

 

Если при назначении пропускных способностей для этой же сети установить ненулевую пропускную способность только для связанных дуг пути 1 MathType@MTEF@5@5@+= feaahGart1ev3aaatCvAUfeBSjuyZL2yd9gzLbvyNv2CaerbuLwBLn hiov2DGi1BTfMBaeXatLxBI9gBaebbnrfifHhDYfgasaacH8srps0l bbf9q8WrFfeuY=Hhbbf9v8qqaqFr0xc9pk0xbba9q8WqFfea0=yr0R Yxir=Jbba9q8aq0=yq=He9q8qqQ8frFve9Fve9Ff0dmeaabaqaciGa caGaaeqabaGabiWadaaakeaacaaIXaaaaa@327C@  - 5 MathType@MTEF@5@5@+= feaahGart1ev3aaatCvAUfeBSjuyZL2yd9gzLbvyNv2CaerbuLwBLn hiov2DGi1BTfMBaeXatLxBI9gBaebbnrfifHhDYfgasaacH8srps0l bbf9q8WrFfeuY=Hhbbf9v8qqaqFr0xc9pk0xbba9q8WqFfea0=yr0R Yxir=Jbba9q8aq0=yq=He9q8qqQ8frFve9Fve9Ff0dmeaabaqaciGa caGaaeqabaGabiWadaaakeaacaaI1aaaaa@3280@  - 6 MathType@MTEF@5@5@+= feaahGart1ev3aaatCvAUfeBSjuyZL2yd9gzLbvyNv2CaerbuLwBLn hiov2DGi1BTfMBaeXatLxBI9gBaebbnrfifHhDYfgasaacH8srps0l bbf9q8WrFfeuY=Hhbbf9v8qqaqFr0xc9pk0xbba9q8WqFfea0=yr0R Yxir=Jbba9q8aq0=yq=He9q8qqQ8frFve9Fve9Ff0dmeaabaqaciGa caGaaeqabaGabiWadaaakeaacaaI2aaaaa@3281@  - 7 MathType@MTEF@5@5@+= feaahGart1ev3aaatCvAUfeBSjuyZL2yd9gzLbvyNv2CaerbuLwBLn hiov2DGi1BTfMBaeXatLxBI9gBaebbnrfifHhDYfgasaacH8srps0l bbf9q8WrFfeuY=Hhbbf9v8qqaqFr0xc9pk0xbba9q8WqFfea0=yr0R Yxir=Jbba9q8aq0=yq=He9q8qqQ8frFve9Fve9Ff0dmeaabaqaciGa caGaaeqabaGabiWadaaakeaacaaI3aaaaa@3282@  - 4 MathType@MTEF@5@5@+= feaahGart1ev3aaatCvAUfeBSjuyZL2yd9gzLbvyNv2CaerbuLwBLn hiov2DGi1BTfMBaeXatLxBI9gBaebbnrfifHhDYfgasaacH8srps0l bbf9q8WrFfeuY=Hhbbf9v8qqaqFr0xc9pk0xbba9q8WqFfea0=yr0R Yxir=Jbba9q8aq0=yq=He9q8qqQ8frFve9Fve9Ff0dmeaabaqaciGa caGaaeqabaGabiWadaaakeaacaaI0aaaaa@327F@  величины 6 MathType@MTEF@5@5@+= feaahGart1ev3aaatCvAUfeBSjuyZL2yd9gzLbvyNv2CaerbuLwBLn hiov2DGi1BTfMBaeXatLxBI9gBaebbnrfifHhDYfgasaacH8srps0l bbf9q8WrFfeuY=Hhbbf9v8qqaqFr0xc9pk0xbba9q8WqFfea0=yr0R Yxir=Jbba9q8aq0=yq=He9q8qqQ8frFve9Fve9Ff0dmeaabaqaciGa caGaaeqabaGabiWadaaakeaacaaI2aaaaa@3281@ , а для остальных связанных дуг назначить нулевую пропускную способность, то будет получена классическая сеть, изображенная на рис. 9. Величина максимального потока в полученной сети составит 6 MathType@MTEF@5@5@+= feaahGart1ev3aaatCvAUfeBSjuyZL2yd9gzLbvyNv2CaerbuLwBLn hiov2DGi1BTfMBaeXatLxBI9gBaebbnrfifHhDYfgasaacH8srps0l bbf9q8WrFfeuY=Hhbbf9v8qqaqFr0xc9pk0xbba9q8WqFfea0=yr0R Yxir=Jbba9q8aq0=yq=He9q8qqQ8frFve9Fve9Ff0dmeaabaqaciGa caGaaeqabaGabiWadaaakeaacaaI2aaaaa@3281@ .

 

Рис. 9. Параллельная сеть с ненулевыми пропускными способностями пути 1-5-6-7-4

 

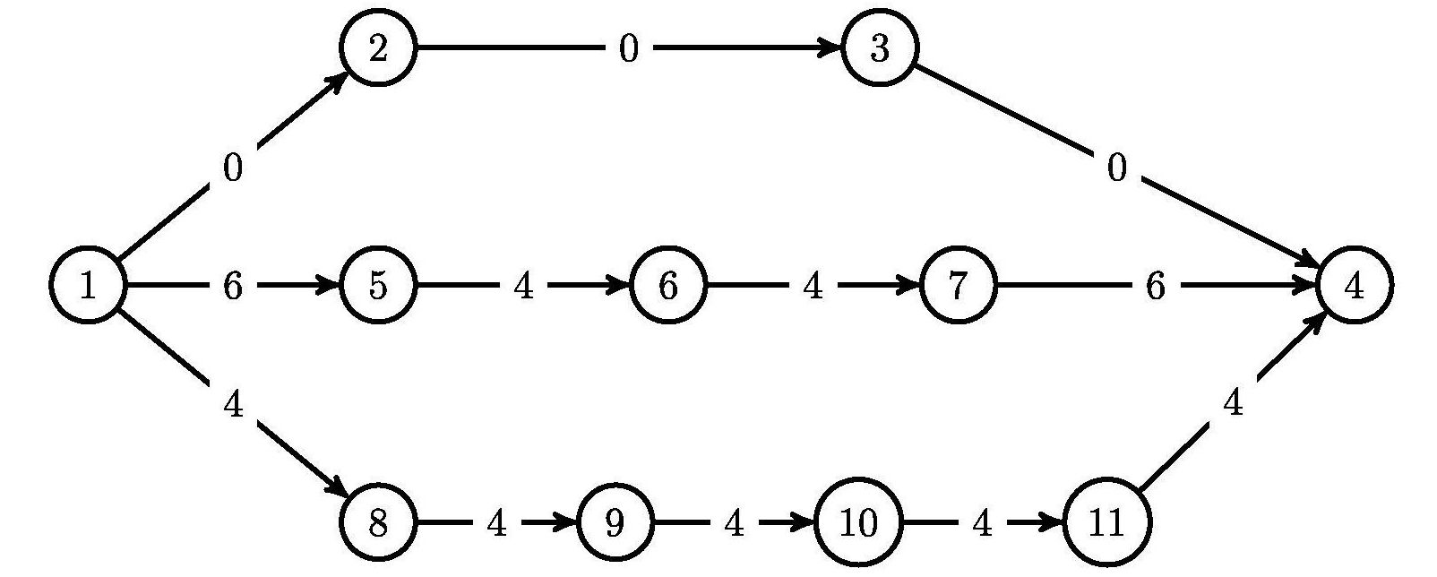
Если при назначении пропускных способностей для этой же сети установить для связанных дуг 9 MathType@MTEF@5@5@+= feaahGart1ev3aaatCvAUfeBSjuyZL2yd9gzLbvyNv2CaerbuLwBLn hiov2DGi1BTfMBaeXatLxBI9gBaebbnrfifHhDYfgasaacH8srps0l bbf9q8WrFfeuY=Hhbbf9v8qqaqFr0xc9pk0xbba9q8WqFfea0=yr0R Yxir=Jbba9q8aq0=yq=He9q8qqQ8frFve9Fve9Ff0dmeaabaqaciGa caGaaeqabaGabiWadaaakeaacaaI5aaaaa@3284@  - 10 MathType@MTEF@5@5@+= feaahGart1ev3aaatCvAUfeBSjuyZL2yd9gzLbvyNv2CaerbuLwBLn hiov2DGi1BTfMBaeXatLxBI9gBaebbnrfifHhDYfgasaacH8srps0l bbf9q8WrFfeuY=Hhbbf9v8qqaqFr0xc9pk0xbba9q8WqFfea0=yr0R Yxir=Jbba9q8aq0=yq=He9q8qqQ8frFve9Fve9Ff0dmeaabaqaciGa caGaaeqabaGabiWadaaakeaacaaIXaGaaGimaaaa@3336@ , 5 MathType@MTEF@5@5@+= feaahGart1ev3aaatCvAUfeBSjuyZL2yd9gzLbvyNv2CaerbuLwBLn hiov2DGi1BTfMBaeXatLxBI9gBaebbnrfifHhDYfgasaacH8srps0l bbf9q8WrFfeuY=Hhbbf9v8qqaqFr0xc9pk0xbba9q8WqFfea0=yr0R Yxir=Jbba9q8aq0=yq=He9q8qqQ8frFve9Fve9Ff0dmeaabaqaciGa caGaaeqabaGabiWadaaakeaacaaI1aaaaa@3280@  - 6 MathType@MTEF@5@5@+= feaahGart1ev3aaatCvAUfeBSjuyZL2yd9gzLbvyNv2CaerbuLwBLn hiov2DGi1BTfMBaeXatLxBI9gBaebbnrfifHhDYfgasaacH8srps0l bbf9q8WrFfeuY=Hhbbf9v8qqaqFr0xc9pk0xbba9q8WqFfea0=yr0R Yxir=Jbba9q8aq0=yq=He9q8qqQ8frFve9Fve9Ff0dmeaabaqaciGa caGaaeqabaGabiWadaaakeaacaaI2aaaaa@3281@ , 6 MathType@MTEF@5@5@+= feaahGart1ev3aaatCvAUfeBSjuyZL2yd9gzLbvyNv2CaerbuLwBLn hiov2DGi1BTfMBaeXatLxBI9gBaebbnrfifHhDYfgasaacH8srps0l bbf9q8WrFfeuY=Hhbbf9v8qqaqFr0xc9pk0xbba9q8WqFfea0=yr0R Yxir=Jbba9q8aq0=yq=He9q8qqQ8frFve9Fve9Ff0dmeaabaqaciGa caGaaeqabaGabiWadaaakeaacaaI2aaaaa@3281@  - 7 MathType@MTEF@5@5@+= feaahGart1ev3aaatCvAUfeBSjuyZL2yd9gzLbvyNv2CaerbuLwBLn hiov2DGi1BTfMBaeXatLxBI9gBaebbnrfifHhDYfgasaacH8srps0l bbf9q8WrFfeuY=Hhbbf9v8qqaqFr0xc9pk0xbba9q8WqFfea0=yr0R Yxir=Jbba9q8aq0=yq=He9q8qqQ8frFve9Fve9Ff0dmeaabaqaciGa caGaaeqabaGabiWadaaakeaacaaI3aaaaa@3282@  пропускную способность величины 4 MathType@MTEF@5@5@+= feaahGart1ev3aaatCvAUfeBSjuyZL2yd9gzLbvyNv2CaerbuLwBLn hiov2DGi1BTfMBaeXatLxBI9gBaebbnrfifHhDYfgasaacH8srps0l bbf9q8WrFfeuY=Hhbbf9v8qqaqFr0xc9pk0xbba9q8WqFfea0=yr0R Yxir=Jbba9q8aq0=yq=He9q8qqQ8frFve9Fve9Ff0dmeaabaqaciGa caGaaeqabaGabiWadaaakeaacaaI0aaaaa@327F@ , а для остальных связанных дуг нулевую пропускную способность, то будет получена классическая сеть, изображенная на рис. 10, у которой VGρ=VG = 8.

 

Рис. 10. Параллельная сеть с VGρ = VG

 

Для того, чтобы сравнить полученные варианты назначений потоков (рис. 8 MathType@MTEF@5@5@+= feaahGart1ev3aqatCvAUfeBSjuyZL2yd9gzLbvyNv2CaerbuLwBLn hiov2DGi1BTfMBaeXatLxBI9gBaerbd9wDYLwzYbItLDharqqtubsr 4rNCHbGeaGqiVu0Je9sqqrpepC0xbbL8F4rqqrFfpeea0xe9Lq=Jc9 vqaqpepm0xbba9pwe9Q8fs0=yqaqpepae9pg0FirpepeKkFr0xfr=x fr=xb9adbaqaaeGaciGaaiaabeqaamaabaabaaGcbaacbaqcLbsaqa aaaaaaaaWdbiaa=nbiaaa@3764@ 10) для каждого из путей μ i MathType@MTEF@5@5@+= feaahGart1ev3aaatCvAUfeBSjuyZL2yd9gzLbvyNv2CaerbuLwBLn hiov2DGi1BTfMBaeXatLxBI9gBaebbnrfifHhDYfgasaacH8srps0l bbf9q8WrFfeuY=Hhbbf9v8qqaqFr0xc9pk0xbba9q8WqFfea0=yr0R Yxir=Jbba9q8aq0=yq=He9q8qqQ8frFve9Fve9Ff0dmeaabaqaciGa caGaaeqabaGabiWadaaakeaacqaH8oqBdaWgaaWcbaGaamyAaaqaba aaaa@3491@ , i 1,,p из s MathType@MTEF@5@5@+= feaahGart1ev3aaatCvAUfeBSjuyZL2yd9gzLbvyNv2CaerbuLwBLn hiov2DGi1BTfMBaeXatLxBI9gBaebbnrfifHhDYfgasaacH8srps0l bbf9q8WrFfeuY=Hhbbf9v8qqaqFr0xc9pk0xbba9q8WqFfea0=yr0R Yxir=Jbba9q8aq0=yq=He9q8qqQ8frFve9Fve9Ff0dmeaabaqaciGa caGaaeqabaGabiWadaaakeaacaWGZbaaaa@32B9@  в t MathType@MTEF@5@5@+= feaahGart1ev3aaatCvAUfeBSjuyZL2yd9gzLbvyNv2CaerbuLwBLn hiov2DGi1BTfMBaeXatLxBI9gBaebbnrfifHhDYfgasaacH8srps0l bbf9q8WrFfeuY=Hhbbf9v8qqaqFr0xc9pk0xbba9q8WqFfea0=yr0R Yxir=Jbba9q8aq0=yq=He9q8qqQ8frFve9Fve9Ff0dmeaabaqaciGa caGaaeqabaGabiWadaaakeaacaWG0baaaa@32BA@ , определим две характеристики MathType@MTEF@5@5@+= feaahGart1ev3aqatCvAUfeBSjuyZL2yd9gzLbvyNv2CaerbuLwBLn hiov2DGi1BTfMBaeXatLxBI9gBaerbd9wDYLwzYbItLDharqqtubsr 4rNCHbGeaGqiVu0Je9sqqrpepC0xbbL8F4rqqrFfpeea0xe9Lq=Jc9 vqaqpepm0xbba9pwe9Q8fs0=yqaqpepae9pg0FirpepeKkFr0xfr=x fr=xb9adbaqaaeGaciGaaiaabeqaamaabaabaaGcbaacbaqcLbsaqa aaaaaaaaWdbiaa=rbiaaa@3765@  кратность связанных дуг δ( μ i ) MathType@MTEF@5@5@+= feaahGart1ev3aaatCvAUfeBSjuyZL2yd9gzLbvyNv2CaerbuLwBLn hiov2DGi1BTfMBaeXatLxBI9gBaebbnrfifHhDYfgasaacH8srps0l bbf9q8WrFfeuY=Hhbbf9v8qqaqFr0xc9pk0xbba9q8WqFfea0=yr0R Yxir=Jbba9q8aq0=yq=He9q8qqQ8frFve9Fve9Ff0dmeaabaqaciGa caGaaeqabaGabiWadaaakeaacqaH0oazcaaIOaGaeqiVd02aaSbaaS qaaiaadMgaaeqaaOGaaGykaaaa@37A5@  и пропускную способность по несвязанным дугам MathType@MTEF@5@5@+= feaahGart1ev3aqatCvAUfeBSjuyZL2yd9gzLbvyNv2CaerbuLwBLn hiov2DGi1BTfMBaeXatLxBI9gBaerbd9wDYLwzYbItLDharqqtubsr 4rNCHbGeaGqiVu0Je9sqqrpepC0xbbL8F4rqqrFfpeea0xe9Lq=Jc9 vqaqpepm0xbba9pwe9Q8fs0=yqaqpepae9pg0FirpepeKkFr0xfr=x fr=xb9adbaqaaeGaciGaaiaabeqaamaabaabaaGcbaacbaqcLbsaqa aaaaaaaaWdbiaa=rbiaaa@3765@  ρ~μi следующим образом:

δμi=Usμiρ~μi = min ρu, uμi\Us

Необходимо отметить, что в приведенных выше примерах (рис. 8 MathType@MTEF@5@5@+= feaahGart1ev3aqatCvAUfeBSjuyZL2yd9gzLbvyNv2CaerbuLwBLn hiov2DGi1BTfMBaeXatLxBI9gBaerbd9wDYLwzYbItLDharqqtubsr 4rNCHbGeaGqiVu0Je9sqqrpepC0xbbL8F4rqqrFfpeea0xe9Lq=Jc9 vqaqpepm0xbba9pwe9Q8fs0=yqaqpepae9pg0FirpepeKkFr0xfr=x fr=xb9adbaqaaeGaciGaaiaabeqaamaabaabaaGcbaacbaqcLbsaqa aaaaaaaaWdbiaa=nbiaaa@3764@ 10), «цена» прохождения потока в отношении использования P( U s ) MathType@MTEF@5@5@+= feaahGart1ev3aaatCvAUfeBSjuyZL2yd9gzLbvyNv2CaerbuLwBLn hiov2DGi1BTfMBaeXatLxBI9gBaebbnrfifHhDYfgasaacH8srps0l bbf9q8WrFfeuY=Hhbbf9v8qqaqFr0xc9pk0xbba9q8WqFfea0=yr0R Yxir=Jbba9q8aq0=yq=He9q8qqQ8frFve9Fve9Ff0dmeaabaqaciGa caGaaeqabaGabiWadaaakeaacaWGqbGaaGikaiaadwfadaahaaWcbe qaaiaadohaaaGccaaIPaaaaa@3604@  по разным путям различна. Для того, чтобы организовать поток величины x MathType@MTEF@5@5@+= feaahGart1ev3aaatCvAUfeBSjuyZL2yd9gzLbvyNv2CaerbuLwBLn hiov2DGi1BTfMBaeXatLxBI9gBaebbnrfifHhDYfgasaacH8srps0l bbf9q8WrFfeuY=Hhbbf9v8qqaqFr0xc9pk0xbba9q8WqFfea0=yr0R Yxir=Jbba9q8aq0=yq=He9q8qqQ8frFve9Fve9Ff0dmeaabaqaciGa caGaaeqabaGabiWadaaakeaacaWG4baaaa@32BE@  ( xρ~μi ) по пути 1 MathType@MTEF@5@5@+= feaahGart1ev3aaatCvAUfeBSjuyZL2yd9gzLbvyNv2CaerbuLwBLn hiov2DGi1BTfMBaeXatLxBI9gBaebbnrfifHhDYfgasaacH8srps0l bbf9q8WrFfeuY=Hhbbf9v8qqaqFr0xc9pk0xbba9q8WqFfea0=yr0R Yxir=Jbba9q8aq0=yq=He9q8qqQ8frFve9Fve9Ff0dmeaabaqaciGa caGaaeqabaGabiWadaaakeaacaaIXaaaaa@327C@  - 2 MathType@MTEF@5@5@+= feaahGart1ev3aaatCvAUfeBSjuyZL2yd9gzLbvyNv2CaerbuLwBLn hiov2DGi1BTfMBaeXatLxBI9gBaebbnrfifHhDYfgasaacH8srps0l bbf9q8WrFfeuY=Hhbbf9v8qqaqFr0xc9pk0xbba9q8WqFfea0=yr0R Yxir=Jbba9q8aq0=yq=He9q8qqQ8frFve9Fve9Ff0dmeaabaqaciGa caGaaeqabaGabiWadaaakeaacaaIYaaaaa@327D@  - 3 MathType@MTEF@5@5@+= feaahGart1ev3aaatCvAUfeBSjuyZL2yd9gzLbvyNv2CaerbuLwBLn hiov2DGi1BTfMBaeXatLxBI9gBaebbnrfifHhDYfgasaacH8srps0l bbf9q8WrFfeuY=Hhbbf9v8qqaqFr0xc9pk0xbba9q8WqFfea0=yr0R Yxir=Jbba9q8aq0=yq=He9q8qqQ8frFve9Fve9Ff0dmeaabaqaciGa caGaaeqabaGabiWadaaakeaacaaIZaaaaa@327E@  - 4 MathType@MTEF@5@5@+= feaahGart1ev3aaatCvAUfeBSjuyZL2yd9gzLbvyNv2CaerbuLwBLn hiov2DGi1BTfMBaeXatLxBI9gBaebbnrfifHhDYfgasaacH8srps0l bbf9q8WrFfeuY=Hhbbf9v8qqaqFr0xc9pk0xbba9q8WqFfea0=yr0R Yxir=Jbba9q8aq0=yq=He9q8qqQ8frFve9Fve9Ff0dmeaabaqaciGa caGaaeqabaGabiWadaaakeaacaaI0aaaaa@327F@ , потребуется использовать 3x MathType@MTEF@5@5@+= feaahGart1ev3aaatCvAUfeBSjuyZL2yd9gzLbvyNv2CaerbuLwBLn hiov2DGi1BTfMBaeXatLxBI9gBaebbnrfifHhDYfgasaacH8srps0l bbf9q8WrFfeuY=Hhbbf9v8qqaqFr0xc9pk0xbba9q8WqFfea0=yr0R Yxir=Jbba9q8aq0=yq=He9q8qqQ8frFve9Fve9Ff0dmeaabaqaciGa caGaaeqabaGabiWadaaakeaacaaIZaGaeyyXICTaamiEaaaa@35C5@  пропускной способности из PUs  MathType@MTEF@5@5@+= feaahGart1ev3aqatCvAUfeBSjuyZL2yd9gzLbvyNv2CaerbuLwBLn hiov2DGi1BTfMBaeXatLxBI9gBaerbd9wDYLwzYbItLDharqqtubsr 4rNCHbGeaGqiVu0Je9sqqrpepC0xbbL8F4rqqrFfpeea0xe9Lq=Jc9 vqaqpepm0xbba9pwe9Q8fs0=yqaqpepae9pg0FirpepeKkFr0xfr=x fr=xb9adbaqaaeGaciGaaiaabeqaamaabaabaaGcbaacbaqcLbsaqa aaaaaaaaWdbiaa=rbiaaa@3765@  по x MathType@MTEF@5@5@+= feaahGart1ev3aaatCvAUfeBSjuyZL2yd9gzLbvyNv2CaerbuLwBLn hiov2DGi1BTfMBaeXatLxBI9gBaebbnrfifHhDYfgasaacH8srps0l bbf9q8WrFfeuY=Hhbbf9v8qqaqFr0xc9pk0xbba9q8WqFfea0=yr0R Yxir=Jbba9q8aq0=yq=He9q8qqQ8frFve9Fve9Ff0dmeaabaqaciGa caGaaeqabaGabiWadaaakeaacaWG4baaaa@32BE@  на каждую из трех дуг этого пути. Поток величины x MathType@MTEF@5@5@+= feaahGart1ev3aaatCvAUfeBSjuyZL2yd9gzLbvyNv2CaerbuLwBLn hiov2DGi1BTfMBaeXatLxBI9gBaebbnrfifHhDYfgasaacH8srps0l bbf9q8WrFfeuY=Hhbbf9v8qqaqFr0xc9pk0xbba9q8WqFfea0=yr0R Yxir=Jbba9q8aq0=yq=He9q8qqQ8frFve9Fve9Ff0dmeaabaqaciGa caGaaeqabaGabiWadaaakeaacaWG4baaaa@32BE@  по пути 1 MathType@MTEF@5@5@+= feaahGart1ev3aaatCvAUfeBSjuyZL2yd9gzLbvyNv2CaerbuLwBLn hiov2DGi1BTfMBaeXatLxBI9gBaebbnrfifHhDYfgasaacH8srps0l bbf9q8WrFfeuY=Hhbbf9v8qqaqFr0xc9pk0xbba9q8WqFfea0=yr0R Yxir=Jbba9q8aq0=yq=He9q8qqQ8frFve9Fve9Ff0dmeaabaqaciGa caGaaeqabaGabiWadaaakeaacaaIXaaaaa@327C@  - 5 MathType@MTEF@5@5@+= feaahGart1ev3aaatCvAUfeBSjuyZL2yd9gzLbvyNv2CaerbuLwBLn hiov2DGi1BTfMBaeXatLxBI9gBaebbnrfifHhDYfgasaacH8srps0l bbf9q8WrFfeuY=Hhbbf9v8qqaqFr0xc9pk0xbba9q8WqFfea0=yr0R Yxir=Jbba9q8aq0=yq=He9q8qqQ8frFve9Fve9Ff0dmeaabaqaciGa caGaaeqabaGabiWadaaakeaacaaI1aaaaa@3280@  - 6 MathType@MTEF@5@5@+= feaahGart1ev3aaatCvAUfeBSjuyZL2yd9gzLbvyNv2CaerbuLwBLn hiov2DGi1BTfMBaeXatLxBI9gBaebbnrfifHhDYfgasaacH8srps0l bbf9q8WrFfeuY=Hhbbf9v8qqaqFr0xc9pk0xbba9q8WqFfea0=yr0R Yxir=Jbba9q8aq0=yq=He9q8qqQ8frFve9Fve9Ff0dmeaabaqaciGa caGaaeqabaGabiWadaaakeaacaaI2aaaaa@3281@  - 7 MathType@MTEF@5@5@+= feaahGart1ev3aaatCvAUfeBSjuyZL2yd9gzLbvyNv2CaerbuLwBLn hiov2DGi1BTfMBaeXatLxBI9gBaebbnrfifHhDYfgasaacH8srps0l bbf9q8WrFfeuY=Hhbbf9v8qqaqFr0xc9pk0xbba9q8WqFfea0=yr0R Yxir=Jbba9q8aq0=yq=He9q8qqQ8frFve9Fve9Ff0dmeaabaqaciGa caGaaeqabaGabiWadaaakeaacaaI3aaaaa@3282@  - 4 MathType@MTEF@5@5@+= feaahGart1ev3aaatCvAUfeBSjuyZL2yd9gzLbvyNv2CaerbuLwBLn hiov2DGi1BTfMBaeXatLxBI9gBaebbnrfifHhDYfgasaacH8srps0l bbf9q8WrFfeuY=Hhbbf9v8qqaqFr0xc9pk0xbba9q8WqFfea0=yr0R Yxir=Jbba9q8aq0=yq=He9q8qqQ8frFve9Fve9Ff0dmeaabaqaciGa caGaaeqabaGabiWadaaakeaacaaI0aaaaa@327F@  потребует уже задействования суммарной пропускной способности величиной 2x MathType@MTEF@5@5@+= feaahGart1ev3aaatCvAUfeBSjuyZL2yd9gzLbvyNv2CaerbuLwBLn hiov2DGi1BTfMBaeXatLxBI9gBaebbnrfifHhDYfgasaacH8srps0l bbf9q8WrFfeuY=Hhbbf9v8qqaqFr0xc9pk0xbba9q8WqFfea0=yr0R Yxir=Jbba9q8aq0=yq=He9q8qqQ8frFve9Fve9Ff0dmeaabaqaciGa caGaaeqabaGabiWadaaakeaacaaIYaGaeyyXICTaamiEaaaa@35C4@  из P( U s ) MathType@MTEF@5@5@+= feaahGart1ev3aaatCvAUfeBSjuyZL2yd9gzLbvyNv2CaerbuLwBLn hiov2DGi1BTfMBaeXatLxBI9gBaebbnrfifHhDYfgasaacH8srps0l bbf9q8WrFfeuY=Hhbbf9v8qqaqFr0xc9pk0xbba9q8WqFfea0=yr0R Yxir=Jbba9q8aq0=yq=He9q8qqQ8frFve9Fve9Ff0dmeaabaqaciGa caGaaeqabaGabiWadaaakeaacaWGqbGaaGikaiaadwfadaahaaWcbe qaaiaadohaaaGccaaIPaaaaa@3604@ . Путь 1 MathType@MTEF@5@5@+= feaahGart1ev3aaatCvAUfeBSjuyZL2yd9gzLbvyNv2CaerbuLwBLn hiov2DGi1BTfMBaeXatLxBI9gBaebbnrfifHhDYfgasaacH8srps0l bbf9q8WrFfeuY=Hhbbf9v8qqaqFr0xc9pk0xbba9q8WqFfea0=yr0R Yxir=Jbba9q8aq0=yq=He9q8qqQ8frFve9Fve9Ff0dmeaabaqaciGa caGaaeqabaGabiWadaaakeaacaaIXaaaaa@327C@  - 8 MathType@MTEF@5@5@+= feaahGart1ev3aaatCvAUfeBSjuyZL2yd9gzLbvyNv2CaerbuLwBLn hiov2DGi1BTfMBaeXatLxBI9gBaebbnrfifHhDYfgasaacH8srps0l bbf9q8WrFfeuY=Hhbbf9v8qqaqFr0xc9pk0xbba9q8WqFfea0=yr0R Yxir=Jbba9q8aq0=yq=He9q8qqQ8frFve9Fve9Ff0dmeaabaqaciGa caGaaeqabaGabiWadaaakeaacaaI4aaaaa@3283@  - 9 MathType@MTEF@5@5@+= feaahGart1ev3aaatCvAUfeBSjuyZL2yd9gzLbvyNv2CaerbuLwBLn hiov2DGi1BTfMBaeXatLxBI9gBaebbnrfifHhDYfgasaacH8srps0l bbf9q8WrFfeuY=Hhbbf9v8qqaqFr0xc9pk0xbba9q8WqFfea0=yr0R Yxir=Jbba9q8aq0=yq=He9q8qqQ8frFve9Fve9Ff0dmeaabaqaciGa caGaaeqabaGabiWadaaakeaacaaI5aaaaa@3284@  - 10 MathType@MTEF@5@5@+= feaahGart1ev3aaatCvAUfeBSjuyZL2yd9gzLbvyNv2CaerbuLwBLn hiov2DGi1BTfMBaeXatLxBI9gBaebbnrfifHhDYfgasaacH8srps0l bbf9q8WrFfeuY=Hhbbf9v8qqaqFr0xc9pk0xbba9q8WqFfea0=yr0R Yxir=Jbba9q8aq0=yq=He9q8qqQ8frFve9Fve9Ff0dmeaabaqaciGa caGaaeqabaGabiWadaaakeaacaaIXaGaaGimaaaa@3336@  - 11 MathType@MTEF@5@5@+= feaahGart1ev3aaatCvAUfeBSjuyZL2yd9gzLbvyNv2CaerbuLwBLn hiov2DGi1BTfMBaeXatLxBI9gBaebbnrfifHhDYfgasaacH8srps0l bbf9q8WrFfeuY=Hhbbf9v8qqaqFr0xc9pk0xbba9q8WqFfea0=yr0R Yxir=Jbba9q8aq0=yq=He9q8qqQ8frFve9Fve9Ff0dmeaabaqaciGa caGaaeqabaGabiWadaaakeaacaaIXaGaaGymaaaa@3337@  - 4 MathType@MTEF@5@5@+= feaahGart1ev3aaatCvAUfeBSjuyZL2yd9gzLbvyNv2CaerbuLwBLn hiov2DGi1BTfMBaeXatLxBI9gBaebbnrfifHhDYfgasaacH8srps0l bbf9q8WrFfeuY=Hhbbf9v8qqaqFr0xc9pk0xbba9q8WqFfea0=yr0R Yxir=Jbba9q8aq0=yq=He9q8qqQ8frFve9Fve9Ff0dmeaabaqaciGa caGaaeqabaGabiWadaaakeaacaaI0aaaaa@327F@  является самым выгодным по отношению использования PUs  MathType@MTEF@5@5@+= feaahGart1ev3aqatCvAUfeBSjuyZL2yd9gzLbvyNv2CaerbuLwBLn hiov2DGi1BTfMBaeXatLxBI9gBaerbd9wDYLwzYbItLDharqqtubsr 4rNCHbGeaGqiVu0Je9sqqrpepC0xbbL8F4rqqrFfpeea0xe9Lq=Jc9 vqaqpepm0xbba9pwe9Q8fs0=yqaqpepae9pg0FirpepeKkFr0xfr=x fr=xb9adbaqaaeGaciGaaiaabeqaamaabaabaaGcbaacbaqcLbsaqa aaaaaaaaWdbiaa=rbiaaa@3765@  прохождение потока величиной x MathType@MTEF@5@5@+= feaahGart1ev3aaatCvAUfeBSjuyZL2yd9gzLbvyNv2CaerbuLwBLn hiov2DGi1BTfMBaeXatLxBI9gBaebbnrfifHhDYfgasaacH8srps0l bbf9q8WrFfeuY=Hhbbf9v8qqaqFr0xc9pk0xbba9q8WqFfea0=yr0R Yxir=Jbba9q8aq0=yq=He9q8qqQ8frFve9Fve9Ff0dmeaabaqaciGa caGaaeqabaGabiWadaaakeaacaWG4baaaa@32BE@  по этому пути требует назначения пропускной способности величины x MathType@MTEF@5@5@+= feaahGart1ev3aaatCvAUfeBSjuyZL2yd9gzLbvyNv2CaerbuLwBLn hiov2DGi1BTfMBaeXatLxBI9gBaebbnrfifHhDYfgasaacH8srps0l bbf9q8WrFfeuY=Hhbbf9v8qqaqFr0xc9pk0xbba9q8WqFfea0=yr0R Yxir=Jbba9q8aq0=yq=He9q8qqQ8frFve9Fve9Ff0dmeaabaqaciGa caGaaeqabaGabiWadaaakeaacaWG4baaaa@32BE@  по единственной связанной дуге в этом пути 9 MathType@MTEF@5@5@+= feaahGart1ev3aaatCvAUfeBSjuyZL2yd9gzLbvyNv2CaerbuLwBLn hiov2DGi1BTfMBaeXatLxBI9gBaebbnrfifHhDYfgasaacH8srps0l bbf9q8WrFfeuY=Hhbbf9v8qqaqFr0xc9pk0xbba9q8WqFfea0=yr0R Yxir=Jbba9q8aq0=yq=He9q8qqQ8frFve9Fve9Ff0dmeaabaqaciGa caGaaeqabaGabiWadaaakeaacaaI5aaaaa@3284@  - 10 MathType@MTEF@5@5@+= feaahGart1ev3aaatCvAUfeBSjuyZL2yd9gzLbvyNv2CaerbuLwBLn hiov2DGi1BTfMBaeXatLxBI9gBaebbnrfifHhDYfgasaacH8srps0l bbf9q8WrFfeuY=Hhbbf9v8qqaqFr0xc9pk0xbba9q8WqFfea0=yr0R Yxir=Jbba9q8aq0=yq=He9q8qqQ8frFve9Fve9Ff0dmeaabaqaciGa caGaaeqabaGabiWadaaakeaacaaIXaGaaGimaaaa@3336@ .

Таким образом, поток, проходящий по пути с меньшим числом связанных дуг, т.е. с меньшей кратностью δμi, получает меньшую «цену» в отношении использования PUs. На основе этого принципа строится алгоритм поиска максимального потока для параллельных сетей с одним множеством связанных дуг, который описан далее.

3. Алгоритм нахождения максимального потока в параллельной сети с одним множеством связанных дуг

Алгоритм нахождения максимального потока в параллельной сети с одним множеством связанных дуг состоит из следующих шагов.

Шаг 1. Пронумеровать параллельные пути μ i MathType@MTEF@5@5@+= feaahGart1ev3aaatCvAUfeBSjuyZL2yd9gzLbvyNv2CaerbuLwBLn hiov2DGi1BTfMBaeXatLxBI9gBaebbnrfifHhDYfgasaacH8srps0l bbf9q8WrFfeuY=Hhbbf9v8qqaqFr0xc9pk0xbba9q8WqFfea0=yr0R Yxir=Jbba9q8aq0=yq=He9q8qqQ8frFve9Fve9Ff0dmeaabaqaciGa caGaaeqabaGabiWadaaakeaacqaH8oqBdaWgaaWcbaGaamyAaaqaba aaaa@3491@  в неубывающем по δμi порядке. В случае, если δμi=δμi+1 (i<p), доупорядочить так, чтобы ρ~μi  ρ~μi+1.

Шаг. 2. Положить PresUs:= PUs.

Шаг. 3. Положить, что пропускная способность всех путей ρμi:= 0.

Шаг. 4. Производить перебор путей в порядке возрастания их порядковых номеров и для каждого из путей перейти на шаг 5. По завершении перебора путей перейти на шаг 7.

Шаг. 5. Если δμi=0, то ρμi :=ρ~μi и перейти на шаг 4; иначе перейти на шаг 6.

Шаг. 6. Вычислить ρp:=PresUs/δμi. Если ρpρ~μi, то PresUs:=PresUsρ~μiδμi, присвоить всем связанным дугам пути μ i MathType@MTEF@5@5@+= feaahGart1ev3aaatCvAUfeBSjuyZL2yd9gzLbvyNv2CaerbuLwBLn hiov2DGi1BTfMBaeXatLxBI9gBaebbnrfifHhDYfgasaacH8srps0l bbf9q8WrFfeuY=Hhbbf9v8qqaqFr0xc9pk0xbba9q8WqFfea0=yr0R Yxir=Jbba9q8aq0=yq=He9q8qqQ8frFve9Fve9Ff0dmeaabaqaciGa caGaaeqabaGabiWadaaakeaacqaH8oqBdaWgaaWcbaGaamyAaaqaba aaaa@3491@  пропускную способность, равную ρ~μi и ρμi:-ρ~μi, а также перейти на шаг 4; иначе присвоить всем связанным дугам пути μ i MathType@MTEF@5@5@+= feaahGart1ev3aaatCvAUfeBSjuyZL2yd9gzLbvyNv2CaerbuLwBLn hiov2DGi1BTfMBaeXatLxBI9gBaebbnrfifHhDYfgasaacH8srps0l bbf9q8WrFfeuY=Hhbbf9v8qqaqFr0xc9pk0xbba9q8WqFfea0=yr0R Yxir=Jbba9q8aq0=yq=He9q8qqQ8frFve9Fve9Ff0dmeaabaqaciGa caGaaeqabaGabiWadaaakeaacqaH8oqBdaWgaaWcbaGaamyAaaqaba aaaa@3491@  пропускную способность, равную ρ p MathType@MTEF@5@5@+= feaahGart1ev3aaatCvAUfeBSjuyZL2yd9gzLbvyNv2CaerbuLwBLn hiov2DGi1BTfMBaeXatLxBI9gBaebbnrfifHhDYfgasaacH8srps0l bbf9q8WrFfeuY=Hhbbf9v8qqaqFr0xc9pk0xbba9q8WqFfea0=yr0R Yxir=Jbba9q8aq0=yq=He9q8qqQ8frFve9Fve9Ff0dmeaabaqaciGa caGaaeqabaGabiWadaaakeaacqaHbpGCdaWgaaWcbaGaamiCaaqaba aaaa@34A2@  и ρμi:= ρp, установить PresUs=0 и перейти на шаг 7.

Шаг. 7. Вычислить величину максимального потока, просуммировав ρμi. Завершить работу алгоритма.

Этот алгоритм имеет полиномиальную вычислительную сложность от размеров сети, так как подсчет количества связанных дуг для каждого из путей осуществим за линейное время, а сортировка путей по кратностям связанных дуг за полиномиальное MathType@MTEF@5@5@+= feaahGart1ev3aqatCvAUfeBSjuyZL2yd9gzLbvyNv2CaerbuLwBLn hiov2DGi1BTfMBaeXatLxBI9gBaerbd9wDYLwzYbItLDharqqtubsr 4rNCHbGeaGqiVu0Je9sqqrpepC0xbbL8F4rqqrFfpeea0xe9Lq=Jc9 vqaqpepm0xbba9pwe9Q8fs0=yqaqpepae9pg0FirpepeKkFr0xfr=x fr=xb9adbaqaaeGaciGaaiaabeqaamaabaabaaGcbaacbaqcLbsaqa aaaaaaaaWdbiaa=rbiaaa@3765@  c помощью известных алгоритмов сортировки, таких как сортировка бинарным деревом, сортировка слиянием, имеющих квадратичную вычислительную сложность (см. [3]).

Замечание 1.

1.Если работа алгоритма прекращается досрочно, то это означает, что суммарной пропускной способности связанных дуг недостаточно, чтобы обеспечить наличие ненулевого потока на каждом из параллельных путей.

2.Доупорядочение последовательности путей в случае δμi = δμi+1 по условию ρ~μi  ρ~μi+1 может существенно ускорить выполнение алгоритма, когда суммарной пропускной способности связанных дуг недостаточно, чтобы обеспечить наличие ненулевого потока на каждом из параллельных путей.

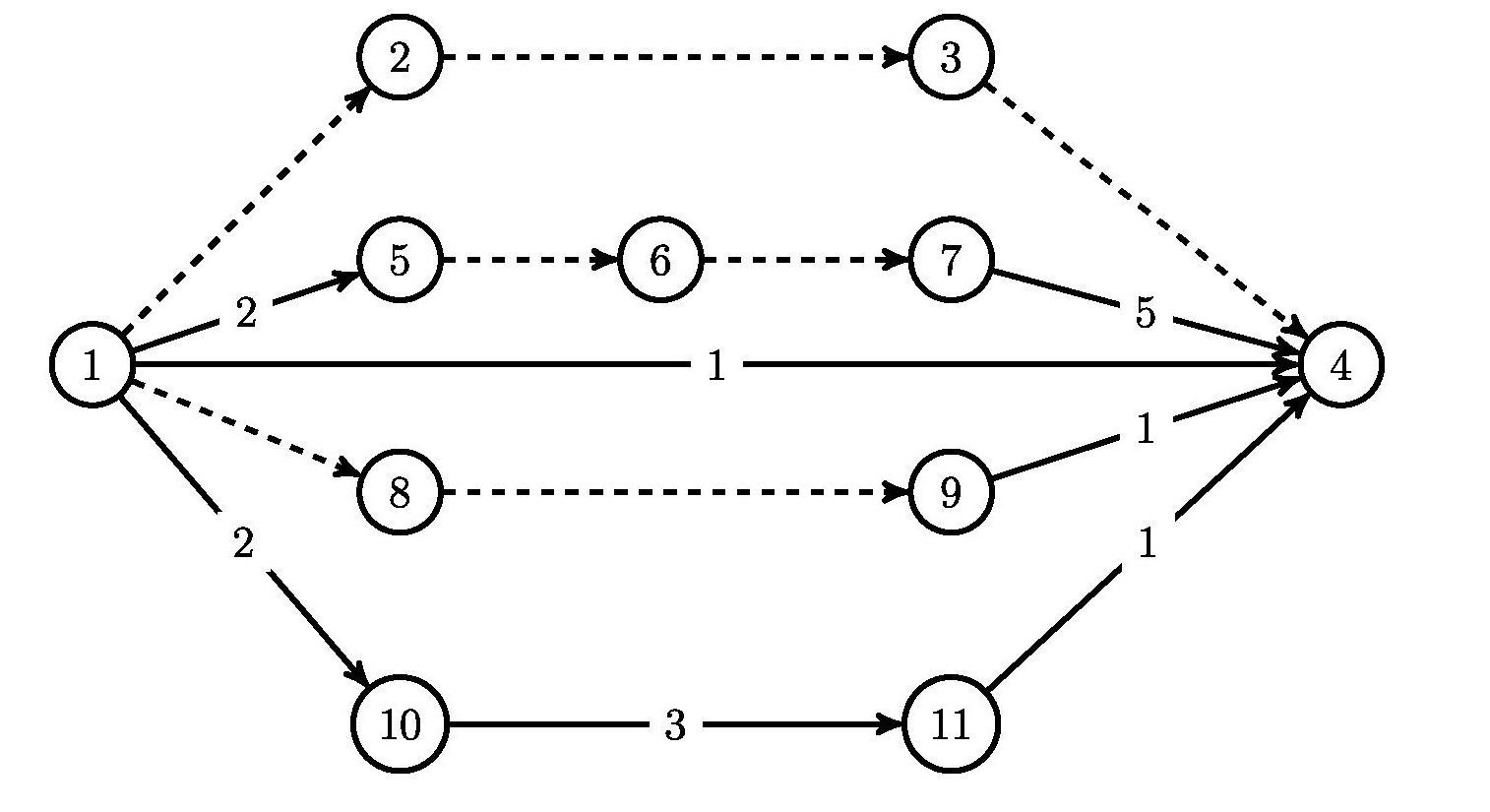
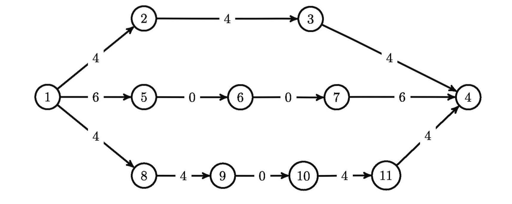
Пример 4. Применим вышеописанный алгоритм к сети, изображенной на рис. 11, для которой PUs=5, а пропускные способности дуг из U\Us указаны на рис. 11 рядом с каждой из дуг.

 

Рис. 11. Параллельная сеть

 

Обозначим пути из s MathType@MTEF@5@5@+= feaahGart1ev3aaatCvAUfeBSjuyZL2yd9gzLbvyNv2CaerbuLwBLn hiov2DGi1BTfMBaeXatLxBI9gBaebbnrfifHhDYfgasaacH8srps0l bbf9q8WrFfeuY=Hhbbf9v8qqaqFr0xc9pk0xbba9q8WqFfea0=yr0R Yxir=Jbba9q8aq0=yq=He9q8qqQ8frFve9Fve9Ff0dmeaabaqaciGa caGaaeqabaGabiWadaaakeaacaWGZbaaaa@32B9@  в t MathType@MTEF@5@5@+= feaahGart1ev3aaatCvAUfeBSjuyZL2yd9gzLbvyNv2CaerbuLwBLn hiov2DGi1BTfMBaeXatLxBI9gBaebbnrfifHhDYfgasaacH8srps0l bbf9q8WrFfeuY=Hhbbf9v8qqaqFr0xc9pk0xbba9q8WqFfea0=yr0R Yxir=Jbba9q8aq0=yq=He9q8qqQ8frFve9Fve9Ff0dmeaabaqaciGa caGaaeqabaGabiWadaaakeaacaWG0baaaa@32BA@  на рис. 11 как p 1 ,, p 5 MathType@MTEF@5@5@+= feaahGart1ev3aaatCvAUfeBSjuyZL2yd9gzLbvyNv2CaerbuLwBLn hiov2DGi1BTfMBaeXatLxBI9gBaebbnrfifHhDYfgasaacH8srps0l bbf9q8WrFfeuY=Hhbbf9v8qqaqFr0xc9pk0xbba9q8WqFfea0=yr0R Yxir=Jbba9q8aq0=yq=He9q8qqQ8frFve9Fve9Ff0dmeaabaqaciGa caGaaeqabaGabiWadaaakeaacaWGWbWaaSbaaSqaaiaaigdaaeqaaO GaaGilaiablAciljaaiYcacaWGWbWaaSbaaSqaaiaaiwdaaeqaaaaa @3815@  в порядке сверху вниз. Шаг 1 алгоритма предполагает вычисление δpi и ρ~pi. Для рис. 11 значения δpi путей и значения ρ~pi равны

δp1=3,δp2=2,δp3=0,δp4=2,δp5=0,

δp1=0,δp2=2,δp3=1,δp4=1,δp5=1.

Тогда по завершении шага 1 алгоритма порядок выбора путей будет следующим:

μ1=p3,μ2=p5,μ3=p2,μ4=p4,μ5=p1,

при этом пути p 3 MathType@MTEF@5@5@+= feaahGart1ev3aaatCvAUfeBSjuyZL2yd9gzLbvyNv2CaerbuLwBLn hiov2DGi1BTfMBaeXatLxBI9gBaebbnrfifHhDYfgasaacH8srps0l bbf9q8WrFfeuY=Hhbbf9v8qqaqFr0xc9pk0xbba9q8WqFfea0=yr0R Yxir=Jbba9q8aq0=yq=He9q8qqQ8frFve9Fve9Ff0dmeaabaqaciGa caGaaeqabaGabiWadaaakeaacaWGWbWaaSbaaSqaaiaaiodaaeqaaa aa@339F@ , p 5 MathType@MTEF@5@5@+= feaahGart1ev3aaatCvAUfeBSjuyZL2yd9gzLbvyNv2CaerbuLwBLn hiov2DGi1BTfMBaeXatLxBI9gBaebbnrfifHhDYfgasaacH8srps0l bbf9q8WrFfeuY=Hhbbf9v8qqaqFr0xc9pk0xbba9q8WqFfea0=yr0R Yxir=Jbba9q8aq0=yq=He9q8qqQ8frFve9Fve9Ff0dmeaabaqaciGa caGaaeqabaGabiWadaaakeaacaWGWbWaaSbaaSqaaiaaiwdaaeqaaa aa@33A1@  и p 2 MathType@MTEF@5@5@+= feaahGart1ev3aaatCvAUfeBSjuyZL2yd9gzLbvyNv2CaerbuLwBLn hiov2DGi1BTfMBaeXatLxBI9gBaebbnrfifHhDYfgasaacH8srps0l bbf9q8WrFfeuY=Hhbbf9v8qqaqFr0xc9pk0xbba9q8WqFfea0=yr0R Yxir=Jbba9q8aq0=yq=He9q8qqQ8frFve9Fve9Ff0dmeaabaqaciGa caGaaeqabaGabiWadaaakeaacaWGWbWaaSbaaSqaaiaaikdaaeqaaa aa@339E@ , p 4 MathType@MTEF@5@5@+= feaahGart1ev3aaatCvAUfeBSjuyZL2yd9gzLbvyNv2CaerbuLwBLn hiov2DGi1BTfMBaeXatLxBI9gBaebbnrfifHhDYfgasaacH8srps0l bbf9q8WrFfeuY=Hhbbf9v8qqaqFr0xc9pk0xbba9q8WqFfea0=yr0R Yxir=Jbba9q8aq0=yq=He9q8qqQ8frFve9Fve9Ff0dmeaabaqaciGa caGaaeqabaGabiWadaaakeaacaWGWbWaaSbaaSqaaiaaisdaaeqaaa aa@33A0@  попарно равны по δμi, поэтому были доупорядочены по ρ~μi.

На шаге 2 PresUs:=5. На шаге 3 пропускные способности всех путей ρμ1,ρμ5 обнуляются. В цикле, начинающемся на шаге 4, пути μ 1 MathType@MTEF@5@5@+= feaahGart1ev3aaatCvAUfeBSjuyZL2yd9gzLbvyNv2CaerbuLwBLn hiov2DGi1BTfMBaeXatLxBI9gBaebbnrfifHhDYfgasaacH8srps0l bbf9q8WrFfeuY=Hhbbf9v8qqaqFr0xc9pk0xbba9q8WqFfea0=yr0R Yxir=Jbba9q8aq0=yq=He9q8qqQ8frFve9Fve9Ff0dmeaabaqaciGa caGaaeqabaGabiWadaaakeaacqaH8oqBdaWgaaWcbaGaaGymaaqaba aaaa@345E@  и μ 2 MathType@MTEF@5@5@+= feaahGart1ev3aaatCvAUfeBSjuyZL2yd9gzLbvyNv2CaerbuLwBLn hiov2DGi1BTfMBaeXatLxBI9gBaebbnrfifHhDYfgasaacH8srps0l bbf9q8WrFfeuY=Hhbbf9v8qqaqFr0xc9pk0xbba9q8WqFfea0=yr0R Yxir=Jbba9q8aq0=yq=He9q8qqQ8frFve9Fve9Ff0dmeaabaqaciGa caGaaeqabaGabiWadaaakeaacqaH8oqBdaWgaaWcbaGaaGOmaaqaba aaaa@345F@  будут получать пропускные способности величиной 1 MathType@MTEF@5@5@+= feaahGart1ev3aaatCvAUfeBSjuyZL2yd9gzLbvyNv2CaerbuLwBLn hiov2DGi1BTfMBaeXatLxBI9gBaebbnrfifHhDYfgasaacH8srps0l bbf9q8WrFfeuY=Hhbbf9v8qqaqFr0xc9pk0xbba9q8WqFfea0=yr0R Yxir=Jbba9q8aq0=yq=He9q8qqQ8frFve9Fve9Ff0dmeaabaqaciGa caGaaeqabaGabiWadaaakeaacaaIXaaaaa@327C@  на шаге 5, поскольку не имеют в своем составе связанных дуг. Для пути μ 3 MathType@MTEF@5@5@+= feaahGart1ev3aaatCvAUfeBSjuyZL2yd9gzLbvyNv2CaerbuLwBLn hiov2DGi1BTfMBaeXatLxBI9gBaebbnrfifHhDYfgasaacH8srps0l bbf9q8WrFfeuY=Hhbbf9v8qqaqFr0xc9pk0xbba9q8WqFfea0=yr0R Yxir=Jbba9q8aq0=yq=He9q8qqQ8frFve9Fve9Ff0dmeaabaqaciGa caGaaeqabaGabiWadaaakeaacqaH8oqBdaWgaaWcbaGaaG4maaqaba aaaa@3460@  на шаге 5 будет определена пропускная способность величиной в ρ~μ3=2, поскольку ρpρ~μ3, а PresUs на данном шаге станет равным 1 MathType@MTEF@5@5@+= feaahGart1ev3aaatCvAUfeBSjuyZL2yd9gzLbvyNv2CaerbuLwBLn hiov2DGi1BTfMBaeXatLxBI9gBaebbnrfifHhDYfgasaacH8srps0l bbf9q8WrFfeuY=Hhbbf9v8qqaqFr0xc9pk0xbba9q8WqFfea0=yr0R Yxir=Jbba9q8aq0=yq=He9q8qqQ8frFve9Fve9Ff0dmeaabaqaciGa caGaaeqabaGabiWadaaakeaacaaIXaaaaa@327C@ .

Для пути μ 4 MathType@MTEF@5@5@+= feaahGart1ev3aaatCvAUfeBSjuyZL2yd9gzLbvyNv2CaerbuLwBLn hiov2DGi1BTfMBaeXatLxBI9gBaebbnrfifHhDYfgasaacH8srps0l bbf9q8WrFfeuY=Hhbbf9v8qqaqFr0xc9pk0xbba9q8WqFfea0=yr0R Yxir=Jbba9q8aq0=yq=He9q8qqQ8frFve9Fve9Ff0dmeaabaqaciGa caGaaeqabaGabiWadaaakeaacqaH8oqBdaWgaaWcbaGaaGinaaqaba aaaa@3461@  на шаге 5 будет израсходована вся остаточная пропускная способность PresUs, за счет которой связанным дугам этого пути будет назначена пропускная способность ρ p =0,5 MathType@MTEF@5@5@+= feaahGart1ev3aaatCvAUfeBSjuyZL2yd9gzLbvyNv2CaerbuLwBLn hiov2DGi1BTfMBaeXatLxBI9gBaebbnrfifHhDYfgasaacH8srps0l bbf9q8WrFfeuY=Hhbbf9v8qqaqFr0xc9pk0xbba9q8WqFfea0=yr0R Yxir=Jbba9q8aq0=yq=He9q8qqQ8frFve9Fve9Ff0dmeaabaqaciGa caGaaeqabaGabiWadaaakeaacqaHbpGCdaWgaaWcbaGaamiCaaqaba GccaaI9aGaaGimaiaaiYcacaaI1aaaaa@37A2@ , после чего произойдет переход на шаг 7 с подсчетом величины максимального потока и завершение работы алгоритма, следовательно путь μ 5 MathType@MTEF@5@5@+= feaahGart1ev3aaatCvAUfeBSjuyZL2yd9gzLbvyNv2CaerbuLwBLn hiov2DGi1BTfMBaeXatLxBI9gBaebbnrfifHhDYfgasaacH8srps0l bbf9q8WrFfeuY=Hhbbf9v8qqaqFr0xc9pk0xbba9q8WqFfea0=yr0R Yxir=Jbba9q8aq0=yq=He9q8qqQ8frFve9Fve9Ff0dmeaabaqaciGa caGaaeqabaGabiWadaaakeaacqaH8oqBdaWgaaWcbaGaaGynaaqaba aaaa@3462@  не будет обработан в цикле и назначенная для него на шаге 3 пропускная способность останется равной 0 MathType@MTEF@5@5@+= feaahGart1ev3aaatCvAUfeBSjuyZL2yd9gzLbvyNv2CaerbuLwBLn hiov2DGi1BTfMBaeXatLxBI9gBaebbnrfifHhDYfgasaacH8srps0l bbf9q8WrFfeuY=Hhbbf9v8qqaqFr0xc9pk0xbba9q8WqFfea0=yr0R Yxir=Jbba9q8aq0=yq=He9q8qqQ8frFve9Fve9Ff0dmeaabaqaciGa caGaaeqabaGabiWadaaakeaacaaIWaaaaa@327B@ . Итак, по результатам работы алгоритма максимальный поток для параллельной сети со связанными дугами с рис. 11 будет равен 4,5 MathType@MTEF@5@5@+= feaahGart1ev3aaatCvAUfeBSjuyZL2yd9gzLbvyNv2CaerbuLwBLn hiov2DGi1BTfMBaeXatLxBI9gBaebbnrfifHhDYfgasaacH8srps0l bbf9q8WrFfeuY=Hhbbf9v8qqaqFr0xc9pk0xbba9q8WqFfea0=yr0R Yxir=Jbba9q8aq0=yq=He9q8qqQ8frFve9Fve9Ff0dmeaabaqaciGa caGaaeqabaGabiWadaaakeaacaaI0aGaaGilaiaaiwdaaaa@33F4@ .

Заключение.

В работе были рассмотрены параллельные сети со связанными дугами как отдельный класс сетей. Показано что из всех сетей со связанными дугами можно выделить классы, для которых существуют алгоритмы с полиномиальным временем решения потоковых задач (подобно представленному алгоритму нахождения максимального потока) несмотря на NP-разрешимость общей задачи.

Дальнейшая работа по изучению потоков в сетях со связанными дугами может включать решение задачи о максимальном потоке в параллельных сетях с несколькими множествами связанных дуг. Помимо параллельных сетей, большой интерес представляет выделение других классов сетей и отыскание для них быстрых алгоритмов решения потоковых задач.

×

Об авторах

Яков Михайлович Ерусалимский

Южный федеральный университет

Автор, ответственный за переписку.
Email: vaskorohodov@sfedu.ru
Россия, Ростов-на-Дону

Владимир Александрович Скороходов

Южный федеральный университет

Email: vaskorohodov@sfedu.ru
Россия, Ростов-на-Дону

Владислав Андреевич Русаков

Южный федеральный университет

Email: ymerusalimskiy@sfedu.ru
Россия, Ростов-на-Дону

Список литературы

  1. Водолазов Н. Н. Исследование стационарных и динамических потоков в сетях без ограничений и с ограничениями на достижимость/ Дисс. на соиск. уч. степ. канд. физ.-мат. наук. — Ярославль: Ярославский государственный университет им. П. Г. Демидова, 2010.
  2. Ерусалимский Я. М., Скороходов В. А. Потоки в сетях со связанными дугами// Изв. вузов. Сев.-Кав. рег. Естеств. науки. — 2003. — № 8. — С. 9–12.
  3. Кормен Т., Лейзерсон Ч., Ривест Р., Штайн К. Алгоритмы: построение и анализ. — М.: Вильямс, 2005.
  4. Скороходов В. А. Потоки в обобщенных сетях со связанными дугами// Модел. анал. информ. сист. — 2012. — 19, № 2. — С. 41–52.
  5. Erusalimskiy I. M., Rusakov V. A. Some networks that allow splashes of dynamic flows and finding the maximum splash value// J. Math. Sci. — 2023. — 271. — P. 223—232. 6. Ford L. R. Jr., Fulkerson D. R. Flows in Networks. — Princeton: Princeton Univ. Press, 2010.
  6. Goldberg A. P., Tarjan R. E. Efficient maximum flow algorithms// Commun. ACM. — 2014. — 57, № 8. — P. 82–89.
  7. Newman M. Networks: An Introduction. — New York: Oxford Univ. Press, 2010.

Дополнительные файлы

Доп. файлы
Действие
1. JATS XML
2. Рис. 1. Сеть с двумя связанными дугами

Скачать (23KB)
3. Рис. 2. Неоптимальное назначение пропускных способностей связанных дуг

Скачать (22KB)
4. Рис. 3. Оптимальное назначение пропускных способностей связанных дуг

Скачать (24KB)
5. Рис. 4. Сеть со связанными дугами 1-2 и 3-5

Скачать (29KB)
6. Рис. 5. Блокирующий поток в сети со связанными дугами

Скачать (35KB)
7. Рис. 6. Максимальный поток в сети со связанными дугами

Скачать (31KB)
8. Рис. 7. Параллельная сеть со связанными дугами

Скачать (70KB)
9. Рис. 8. Параллельная сеть с ненулевыми пропускными способностями пути 1-2-3-4

Скачать (63KB)
10. Рис. 9. Параллельная сеть с ненулевыми пропускными способностями пути 1-5-6-7-4

Скачать (64KB)
11. Рис. 10. Параллельная сеть с VGρ = VG

Скачать (75KB)
12. Рис. 11. Параллельная сеть

Скачать (89KB)

© Ерусалимский Я.М., Скороходов В.А., Русаков В.А., 2024

Согласие на обработку персональных данных с помощью сервиса «Яндекс.Метрика»

1. Я (далее – «Пользователь» или «Субъект персональных данных»), осуществляя использование сайта https://journals.rcsi.science/ (далее – «Сайт»), подтверждая свою полную дееспособность даю согласие на обработку персональных данных с использованием средств автоматизации Оператору - федеральному государственному бюджетному учреждению «Российский центр научной информации» (РЦНИ), далее – «Оператор», расположенному по адресу: 119991, г. Москва, Ленинский просп., д.32А, со следующими условиями.

2. Категории обрабатываемых данных: файлы «cookies» (куки-файлы). Файлы «cookie» – это небольшой текстовый файл, который веб-сервер может хранить в браузере Пользователя. Данные файлы веб-сервер загружает на устройство Пользователя при посещении им Сайта. При каждом следующем посещении Пользователем Сайта «cookie» файлы отправляются на Сайт Оператора. Данные файлы позволяют Сайту распознавать устройство Пользователя. Содержимое такого файла может как относиться, так и не относиться к персональным данным, в зависимости от того, содержит ли такой файл персональные данные или содержит обезличенные технические данные.

3. Цель обработки персональных данных: анализ пользовательской активности с помощью сервиса «Яндекс.Метрика».

4. Категории субъектов персональных данных: все Пользователи Сайта, которые дали согласие на обработку файлов «cookie».

5. Способы обработки: сбор, запись, систематизация, накопление, хранение, уточнение (обновление, изменение), извлечение, использование, передача (доступ, предоставление), блокирование, удаление, уничтожение персональных данных.

6. Срок обработки и хранения: до получения от Субъекта персональных данных требования о прекращении обработки/отзыва согласия.

7. Способ отзыва: заявление об отзыве в письменном виде путём его направления на адрес электронной почты Оператора: info@rcsi.science или путем письменного обращения по юридическому адресу: 119991, г. Москва, Ленинский просп., д.32А

8. Субъект персональных данных вправе запретить своему оборудованию прием этих данных или ограничить прием этих данных. При отказе от получения таких данных или при ограничении приема данных некоторые функции Сайта могут работать некорректно. Субъект персональных данных обязуется сам настроить свое оборудование таким способом, чтобы оно обеспечивало адекватный его желаниям режим работы и уровень защиты данных файлов «cookie», Оператор не предоставляет технологических и правовых консультаций на темы подобного характера.

9. Порядок уничтожения персональных данных при достижении цели их обработки или при наступлении иных законных оснований определяется Оператором в соответствии с законодательством Российской Федерации.

10. Я согласен/согласна квалифицировать в качестве своей простой электронной подписи под настоящим Согласием и под Политикой обработки персональных данных выполнение мною следующего действия на сайте: https://journals.rcsi.science/ нажатие мною на интерфейсе с текстом: «Сайт использует сервис «Яндекс.Метрика» (который использует файлы «cookie») на элемент с текстом «Принять и продолжить».