Impedance Method Based on the Skin Effect for Controlling Surface Temperature and Non-Stationary Heat Flow in Electrically Conductive Thermophysical Objects
- Authors: Shafigullin I.D.1
-
Affiliations:
- Kazan National Research Technical University named after A.N. Tupolev-KAI
- Issue: Vol 5, No 1 (2025)
- Pages: 8-17
- Section: Электроника
- URL: https://journal-vniispk.ru/2782-5507/article/view/305621
- EDN: https://elibrary.ru/BMHNTD
- ID: 305621
Cite item
Abstract
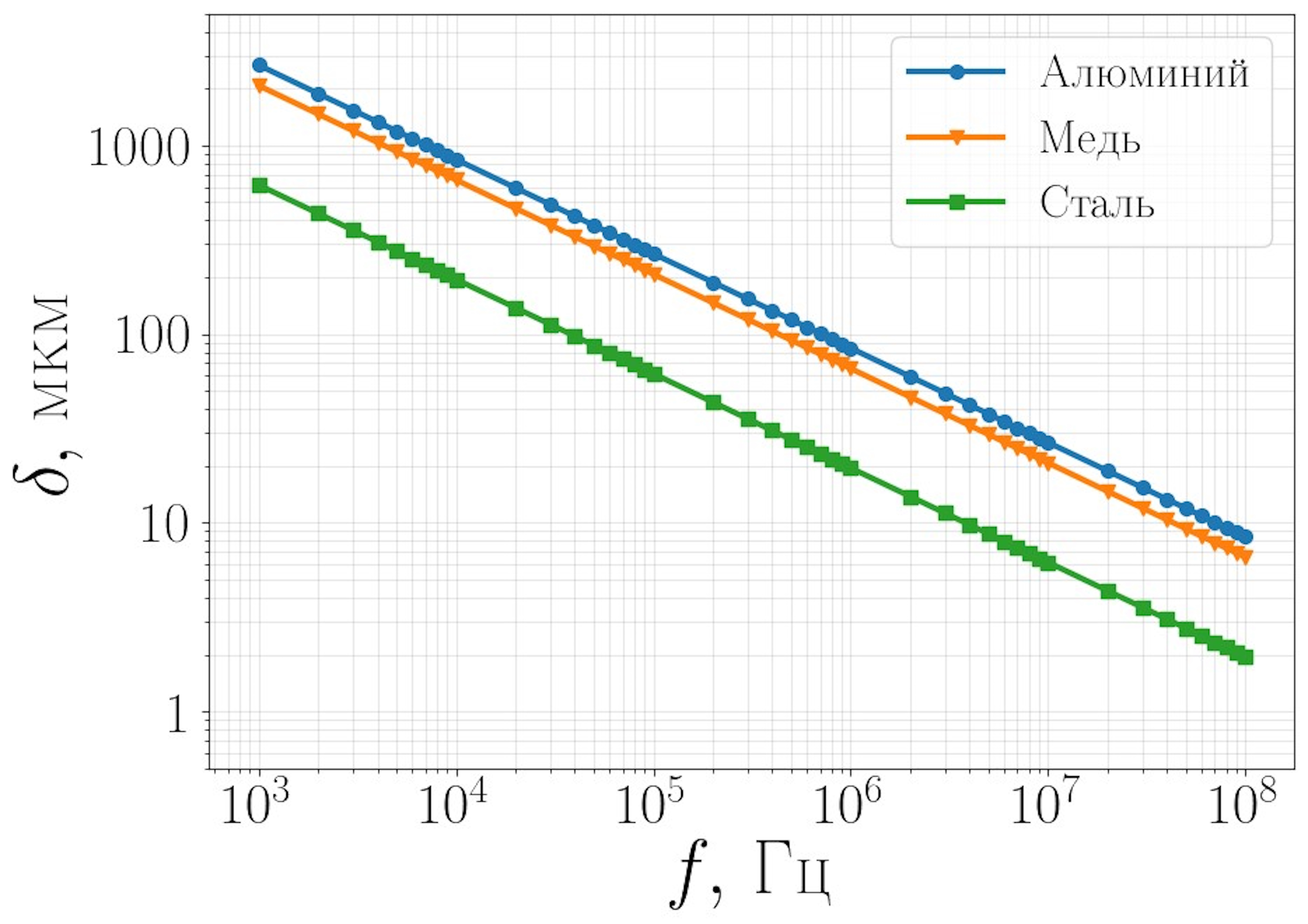
A new impedance method for measuring and monitoring surface temperature and non-stationary heat flow in conductive thermophysical objects is presented. The peculiarity of the method is the use of the electric skin effect, which allows using the conductive control object as a sensitive element, which increases the speed of measurements due to the absence of additional sensors in the measurement area. By electronic (frequency) control of the skin layer thickness, it is possible to change the sensitive area and sensitivity of measurements. The use of the mathematical apparatus of fractional operators allows us to relate the non-stationary heat flow to the surface temperature, which makes it possible to simultaneously measure two thermophysical quantities – surface temperature and non-stationary heat flow. A corresponding algorithm for numerically calculating the non-stationary heat flow using fractional derivatives of half order has been developed. Experimental studies of the proposed impedance method have been carried out and its advantages have been shown.
About the authors
I. D. Shafigullin
Kazan National Research Technical University named after A.N. Tupolev-KAI
Author for correspondence.
Email: email@example.com
ORCID iD: 0000-0001-8140-1436
Postgraduate student, senior lecturer at the Department of Radioelectronics and Information Measurement Technology, Institute of Radioelectronics, Photonics and Digital Technologies, KNITU-KAI named after A.N. Tupolev
Russian Federation, 10, K. Marx, Kazan, 420111, Russian FederationReferences
- Дивин, А.Г. Методы и средства измерений, испытаний и контроля. Часть 3. Средства измерения температуры, оптических и радиационных величин: учеб. пособие / А.Г. Дивин, С.В. Пономарев – Тамбов: Тамбовский государственный технический университет, ЭБС АСВ, 2013. – 117 с.
- Sabitov, A. F. Up-to-Third-Order Determination of Time Constants of Models of Avionics Thermocouples in Gas Temperature Control Loop of Automatic Control System of Gas Turbine Engine / A. F. Sabitov, I. A. Safina // Journal of Engineering Thermophysics. – 2024. – Vol. 33, No. 2. – P. 376-383. – doi: 10.1134/S1810232824020127.
- Бондарь, О. Г. Исследование метода измерения температуры при двухпроводном подключении термометра сопротивления / О. Г. Бондарь, Е. О. Брежнева, К. А. Ботиков // Известия Юго-Западного государственного университета. – 2024. – Т. 28, № 1. – С. 71-87. – doi: 10.21869/2223-1560-2024-28-1-71-87.
- Щетка как интеллектуальный узел электродвигателя / О.Г. Морозов, В.И. Артемьев, А.А. Кузнецов и др. // Инженерный вестник Дона. – 2016. – №1(40). – С. 18.
- Четырехкомпонентные адресные волоконные брэгговские структуры – новый элемент радиофотонных многосенсорных сетей / О.Г. Морозов, А.Ж. Сахабутдинов, И.И. Нуреев и др. // Прикладная фотоника. – 2023. – Т. 10, № 6. – С. 43-65.
- Distributed fiber optic sensors for tunnel monitoring: A state-of-the-art review / X. Zhang, H. Zhu, X. Jiang, W. Broere // Journal of Rock Mechanics and Geotechnical Engineering. – 2024. – Vol. 16, No. 9. – P. 3841-3863. – doi: 10.1016/j.jrmge.2024.01.008.
- Evdokimov, Y. K. One-dimensional continuously distributed sensors for thermophysical fields: Method of measurement, model, and numerical algorithm / Y.K. Evdokimov, E.S. Denisov, L.Y. Fadeeva // Measurement. – 2021. – Vol. 186. – P. 110082. – doi: 10.1016/j.measurement.2021.110082.
- Сапожников, С.З. Основы градиентной теплометрии / С.З. Сапожников, В.Ю. Митяков, А.В. Митяков. – Санкт-Петербург: Санкт-Петербургский политехнический университет Петра Великого, 2012. – 203 с. – ISBN 978-5-7422-3854-6.
- Hofmeister, A.M. Theory and Measurement of Heat Transport in Solids: How Rigidity and Spectral Properties Govern Behavior / A.M. Hofmeister // Materials. – 2024. Vol. 17. No.18. – P.4469. doi: 10.3390/ma17184469.
- Патент № 2739719 C1 РФ, МПК G01N 27/12. Способ определения концентрации газа: № 2020126167: заявл. 03.08.2020: опубл. 28.12.2020 / Ю.К. Евдокимов, Л.Ю. Фадеева, Е.С. Денисов; заявитель ФГБОУ ВО «КНИТУ-КАИ». – 11 с. – Бюл №1.
- Broadband mechanoresponsive liquid metal sensors / Md. S. Rahman, Ju. E. Huddy, A. B. Hamlin, W. J. Scheideler // npj Flexible Electronics. – 2022. – Vol. 6, No. 1. – P. 71. – doi: 10.1038/s41528-022-00206-3.
- Евдокимов, Ю.К. Метод и алгоритм радиочастотного зондирования неоднородных электропроводящих структур / Ю.К. Евдокимов, Л.Ю. Фадеева // Вестник ИжГТУ им. М.Т. Калашникова. – 2023. – Т. 26, № 2. – С.94-102. – doi: 10.22213/2413-1172-2023-2-94-102.
- Timmerberg J. The use of skin effect for measurement of thickness of sputtered protective-coatings / J. Timmerberg, A. Martinovs // Transport and aerospace engineering. - 2014.- Vol. 1. - P. 37-42.
- Евдокимов, Ю.К. Импеданс длинной линии с микрорельефной неоднородной поверхностью с учетом скин-эффекта / Ю.К. Евдокимов, Л.Ю. Фадеева // Вестник КГТУ им. А.Н. Туполева. – 2019. – Т. 75, № 3. – С. 169-173.
- Патент № 2787300 C1 РФ, МПК G01K 17/08. Способ определения нестационар-ного теплового потока: № 2022113215: заявл.17.05.2022: опубл.09.01.2023 / Ю.К. Евдоки-мов, Л.Ю. Фадеева, И.Д. Шафигуллин и др.; заявитель КНИТУ-КАИ». – 11 с. – Бюл. № 1.
- Патент № 2787301 C1 РФ, МПК G01K 17/06. Способ определения нестационарного теплового потока: № 2022113216: заявл. 17.05.2022: опубл. 09.01.2023 / Ю.К. Евдокимов, Л.Ю. Фадеева, И.Д. Шафигуллин, Е.С. Денисов; заявитель ФГБОУ ВО «КНИТУ-КАИ». – 16 с. – Бюл. № 1.
- Седалищев, В. Н. Физические основы получения информации. Ч.1. Генераторные и параметрические измерительные преобразователи: учебное пособие / В.Н. Седалищев – Барнаул: Изд-во АлтГТУ. – 2014. – 283 с.
- Кондратьев, Г. М. Прикладная физика. Теплообмен в приборостроении: Серия «Выдающиеся ученые ИТМО». / Г.М. Кондратьев, Г.Н. Дульнев, Е.С. Платунов, Н.А. Ярышев – Санкт-Петербург: СПбГУ ИТМО, 2003. – 560 с.
- Бабенко Ю.И. Метод дробного дифференцирования в прикладных задачах теории тепломассообмена / Ю.И. Бабенко. – Санкт-Петербург: НПО «Профессионал». – 2009. – 584 с.
- Nigmatullin, R.R. On fractional filtering versus conventional filtering in economics / R.R. Nigmatullin, T. Omay, D. Baleanu // Communications in Nonlinear Science and Numerical Simulation. – 2010. – Vol. 15, No. 4. – P. 979-986. – doi: 10.1016/j.cnsns.2009.05.027.
- Реализация операции дробного дифференцирования на языке программирования Python / И.Д. Шафигуллин, Е.С. Денисов, Ю.К. Евдокимов, Л.Ю. Фадеева // Нигматуллинские чтения - 2023: Сборник докладов Международной научной конференции, Казань, 09–12 октября 2023 года. – Казань: Академия наук Республики Татарстан, 2023. – С. 73-78.
- Шафигуллин, И.Д. Оценка времени расчета производной половинного порядка, основанного на алгоритме быстрого преобразования Фурье / И.Д. Шафигуллин // VI Научный форум "Телекоммуникации: теория и технологии" ТТТ-2023 : Материалы XXV Международной научно-технической конференции, Казань, 22–24 ноября 2023 года. – Казань: Казанский национальный исследовательский технический университет им. А.Н. Туполева-КАИ, 2023. – С. 449-450.
- Евдокимов, Ю.К. Частотные характеристики импеданса планарных и сферических электродных систем в электропроводящих средах / Ю.К. Евдокимов, И.Д. Шафигуллин // Приборы и системы. Управление, контроль, диагностика. – 2024. – №10. – С. 13-22. – doi: 10.25791/pribor.10.2024.1527.
- Шафигуллин, И.Д. Метод балансировки измерительного моста переменного тока для разработки устройства измерения нестационарного теплового потока / И.Д. Шафигуллин // Проблемы и перспективы развития энергетики, электротехники и энергоэффективности: материалы VIII Международной научно-технической конференции, Чебоксары, 22 ноября 2024 года. – Чебоксары: Чувашский государственный университет имени И.Н. Ульянова, 2024. – С. 191-196.
- Шафигуллин, И.Д. Система измерения и контроля поверхностной температуры электропроводящих объектов на основе импеданса скин-слоя / И.Д. Шафигуллин // Южно-Сибирский научный вестник. – 2025. – № 2(60). – С. 59-65.
Supplementary files

