Surface permittivity of ultrathin films
- Authors: Vysokikh D.K.1,2,3, Pukhov A.A.1,3, Kulikova D.P.2, Amiraslanov A.S.4, Baryshev A.V.2, Baburin A.S.2,4, Rodionov I.A.2,4, Dorofeenko A.V.1,2,3
-
Affiliations:
- Institute for Theoretical and Applied Electromagnetics of RAS
- Dukhov Research Institute of Automatics
- Moscow Institute of Physics and Technologies
- Bauman Moscow State Technical University
- Issue: No 5 (2024)
- Pages: 4-13
- Section: Interaction of electromagnetic field with materials
- URL: https://journal-vniispk.ru/2949-0553/article/view/278084
- DOI: https://doi.org/10.24412/2949-0553-2024-513-04-13
- EDN: https://elibrary.ru/YTQUYD
- ID: 278084
Cite item
Full Text
Abstract
Slabs of width much smaller than the wavelength are of high importance in many areas of electrodynamics. Such slabs are widely used as antireflection films, absorbers, catalysts and functional coatings. For treating optical systems involving ultrathin films, it is crucial to propose their proper description considering only necessary parameters. We provide a theoretical characterization of an arbitrary inhomogeneous ultrathin slab using surface permittivity , which does not require knowledge of the slab thickness. Moreover, we show that is a scalar complex value, i.e. the proposed approach does not include consideration of the anisotropic properties of the slab. We process experimentally measured ellipsometry spectra to confirm the reliability of proposed method. We also show that the description of the slab using does not significantly increase the discrepancy comparing to the description through a homogeneous layer of finite thickness, at the same time reducing the number of model parameters making it more convenient to use. In addition, we find a relation between the parameter and the resistance per square widely used in the description of thin conducting layers.
Full Text
1. Введение
Одной из важных задач оптики тонких плёнок является задача определения их оптических характеристик. Основной оптической характеристикой служит комплексная диэлектрическая проницаемость, которая в макроскопическом приближении описывает взаимодействие электромагнитной волны с веществом. С одной стороны, знание комплексной диэлектрической проницаемости используется в исследовании материалов в таких областях, как фотовольтаика, фотолюминесценция и физика полупроводников [1, 2]. С другой стороны, оптические характеристики плёнок необходимы для проектирования различных устройств [3].
Для определения оптических характеристик тонких плёнок широко используется спектроскопическая эллипсометрия [1, 2, 4–7]. В отличие от методов, основанных на измерении мощности сигнала, таких как спектроскопия пропускания, отражения и поглощения [8-10], в которых измеряются амплитудные коэффициенты, эллипсометрия также измеряет разность фаз коэффициентов отражения для двух поляризаций, что даёт дополнительную информацию об объекте [4]. Традиционный эллипсометрический анализ подразумевает расчёт эллипсометрических параметров Ψ, ∆ в зависимости от диэлектрической проницаемости и приведение этих параметров в соответствие с экспериментальными данными путём её вариации [5]. Эта процедура хорошо отлажена для различных диэлектрических и металлических плёнок достаточно большой, сравнимой с длиной волны толщины.
Однако для сверхтонких плёнок, т.е. пленок толщиной менее 10 нм, определение адекватных значений толщины и диэлектрической проницаемости затруднительно [11-16]. Это в первую очередь связано с сильной корреляцией между этими двумя величинами, которые в случае сверхтонких плёнок изменяются обратно пропорционально друг другу [11-12]. Как правило, сверхтонкие слои моделируются как некие однородные слои с толщиной, определяемой с помощью минимизации невязки [5, 6, 8–10, 17, 18]. Однако во многих случаях слой не является сплошным или шероховатость подложки сравнима с его толщиной. Возникает вопрос о физическом смысле толщины такого слоя. Кроме того, минимум невязки обычно оказывается недостаточно резким, что приводит к существенной ошибке при определении толщины слоя. Поэтому требуется иное описание сверхтонких плёнок, не использующее плохо определённый параметр – толщину плёнки.
В данной работе предложено такое описание. Вводится поверхностная диэлектрическая проницаемость, позволяющая характеризовать взаимодействие плёнки с излучением любой поляризации, падающим под произвольным углом. Применимость подхода проверена сравнением с экспериментальными данными. Проведено сравнение стандартного описания слоем конечной толщины с предложенным здесь подходом.
2. Описание сверхтонкого слоя T-матрицами
В качестве достаточно общей постановки задачи рассмотрим прохождение плоской волны через неоднородный тонкий слой, находящийся между двумя диэлектриками, под произвольным углом (рис. 1). Направим ось z перпендикулярно слою, ось x – параллельно слою, так чтобы xz была плоскостью падения.
Рисунок 1 – Геометрия рассматриваемой системы и схематический вид пространственной зависимости мнимой и действительной частей диэлектрической проницаемости. Для s-поляризации 𝑎1, 𝑏1 – комплексные амплитуды электрического поля волн слева от слоя, 𝑎2, 𝑏2 – справа от слоя. Для p-поляризации 𝑎1, 𝑏1 – комплексные амплитуды магнитного поля волн слева от слоя, 𝑎2, 𝑏2 – справа от слоя
Для расчёта многослойных систем, как правило, используется метод Т-матриц [19, 20]. Вид Т-матрицы зависит от поляризации, т.е. различен для 𝑠- и 𝑝-поляризованных волн. Рассмотрим оба возможных варианта.
Начнём с 𝑠-поляризации. Уравнение Гельмгольца имеет вид:
. (1)
При условии малой толщины слоя оно даёт следующие граничные условия:
(2)
и
(3)
Таким образом, слой может быть охарактеризован безразмерной поверхностной диэлектрической проницаемостью .
Уравнения (2) и (3) представляют собой правила сшивки для s-поляризации, которое можно переписать через комплексные амплитуды электрического поля волн, распространяющихся вправо и влево, слева от слоя (𝑎1, 𝑏1) и справа от слоя (𝑎2, 𝑏2):
(4)
(5)
Чтобы составить матрицу прохождения через слой, запишем систему уравнений для 𝑎2 и 𝑏2:
Детерминант этой системы:
,
откуда нетрудно получить:
Соответствующая матрица задаётся выражением:
(6)
Введём обозначение для адмиттанса: . Тогда:
(7)
Рассмотрим теперь 𝑝-поляризацию. Для неё уравнение Гельмгольца имеет вид
(8)
Первое граничное условие, связанное с непрерывностью тангенциальной компоненты электрического поля, имеет вид
(9)
Второе граничное условие, описывающее скачок магнитного поля, имеет вид
.
Таким образом,
(10)
Заметим, что характеристикой слоя как для 𝑠-, так и для 𝑝-поляризации служит величина 𝜅.
Для 𝑝-поляризации условие сшивки записывается через комплексные амплитуды магнитного поля волн, распространяющихся вправо и влево, слева от слоя (𝑎1, 𝑏1) и справа от слоя (𝑎2, 𝑏2):
(11)
(12)
Для составления матрицы прохождения через слой перепишем систему уравнений в виде:
(13)
(14)
Детерминант системы уравнений (13), (14) равен 2, откуда нетрудно получить:
,
.
Обозначив импедансы , запишем матрицу прохождения через слой:
(15)
Таким образом, процессы отражения и пропускания волн обеих поляризаций могут быть полностью описаны с помощью поверхностной диэлектрической проницаемости
(16)
Часто свойства сверхтонких проводящих слоёв описываются с использованием такого параметра, как сопротивление на квадрат:
(17)
где 𝑑 – толщина слоя, 𝜎 – объёмная проводимость, которая связана с мнимой частью диэлектрической проницаемости 𝜀'’ соотношением , т.е.
(18)
Здесь использована запись в системе СИ, чтобы сопротивление измерялось в единицах Ом. Тогда, учитывая выражения (17) и (18), имеем . Поскольку есть импеданс вакуума, получим соотношение
(19)
Таким образом, действительное значение сопротивления на квадрат выражается через мнимую часть поверхностной диэлектрической проницаемости.
Заметим, что малым параметром в нашем подходе является величина , которая связана с поверхностной диэлектрической проницаемостью соотношением . В частности, в приведённом ниже расчёте для палладиевой плёнки величина оказывается меньше 0.1, тогда как принимает значения порядка единицы.
3. Верификация метода посредством сравнения с экспериментальными данными
Была проведена оценка применимости описания сверхтонких слоёв поверхностной диэлектрической проницаемостью путём обработки экспериментальных данных. Для этого были изготовлены образцы сверхтонких плёнок палладия на стеклянных подложках методом электронно-лучевого напыления. Часть образцов подверглась отжигу при температуре 600 С.
Полученные в эксперименте данные были обработаны двумя способами: с помощью описания плёнки палладия слоем конечной толщины и поверхностной диэлектрической проницаемостью.
3.1. Обработка с использованием описания системы слоем конечной толщины
Экспериментальные данные для численной обработки были получены из эллипсометрических измерений параметров Ψ, ∆ (далее совместно приведены данные для слоя палладия с отжигом и без отжига). Эллипсометрия снималась при углах падения 45, 60 и 75 °.
В ходе обработки экспериментальных данных была произведена минимизация функции невязки, зависящей от расчётного эллипсометрического параметра , представляющего собой отношение комплексных амплитуд отражённых волн 𝑠- и 𝑝-поляризаций: этот параметр 𝜌𝑡ℎ𝑒𝑜𝑟(𝜆, 𝜃, 𝜀, 𝑑) зависит от длины волны падающего излучения λ, угла падения θ, диэлектрической проницаемости ε и толщины исследуемого слоя d. Таким образом, невязка равна
(20)
Здесь .
В результате поточечной минимизации функции невязки по длинам волн при фиксированной толщине слоя (𝑑 = 7 нм) была найдена дисперсионная зависимость 𝜀(𝜆), доставляющая невязке минимум (рис. 2).
Рисунок 2 – Зависимость действительной (левый столбец) и мнимой (правый столбец) частей диэлектрической проницаемости от длины волны. Толщина слоя выбрана равной 𝑑 = 7 нм для палладия без отжига (верхняя строка) и 𝑑 = 0.3 нм для палладия с отжигом (нижняя строка), что соответствует минимуму невязки
В предыдущих рассуждениях при минимизации функции невязки толщина слоя была фиксирована (𝑑 = 7 нм). Для нахождения же толщины слоя, минимизирующей невязку, построим новую функцию невязки, зависящую только от толщины. Для этого будем минимизировать значение невязки по ε и суммировать по всем длинам волн:
(21)
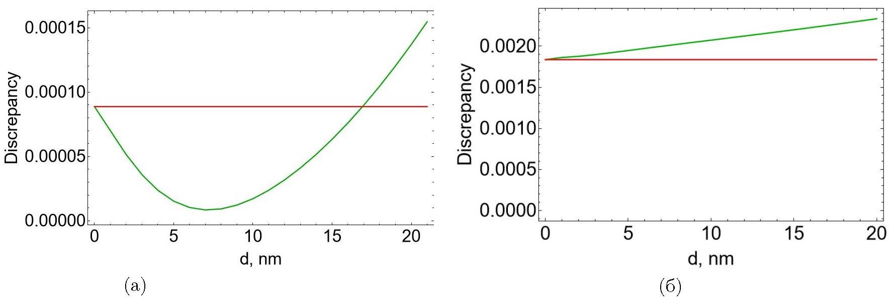
Оказалось, что полученная суммарная величина (21) имеет минимум при некотором значении толщины слоя (рис. 3).
Рисунок 3 – Зависимость невязки, суммированной по различным значениям длины волны, от толщины палладиевого слоя (зелёные кривые) и не зависящее от толщины значение невязки, рассчитанной через параметр тонкого слоя (красные горизонтальные линии) а) для палладия без отжига, б) для палладия с отжигом
Из полученной зависимости 𝜀 (𝜆) при фиксированном параметре 𝑑 = 7 нм были рассчитаны эллипсометрические параметры 𝜓 и ∆, которые находятся в хорошем соответствии с исходными экспериментальными данными (рис. 4).
Рисунок 4 – Значения эллипсометрических параметров 𝜓 (левый столбец) и ∆ (правый столбец), найденные теоретически (кривые) и полученные экспериментально (точки), для разных углов падения (показаны цветом): для палладия без отжига (верхняя строка) и для палладия с отжигом (нижняя строка)
3.2. Обработка с использованием поверхностной диэлектрической проницаемости
Далее была произведена численная обработка тех же данных с помощью описания сверхтонкого слоя поверхностной диэлектрической проницаемостью 𝜅. Заметим, что расчётный эллипсометрический параметр при таком подходе зависит от длины волны падающего излучения 𝜆, угла падения 𝜃 и значения поверхностной диэлектрической проницаемости 𝜅: . При этом параметр 𝜌, как и функция невязки, не зависит от толщины слоя:
(22)
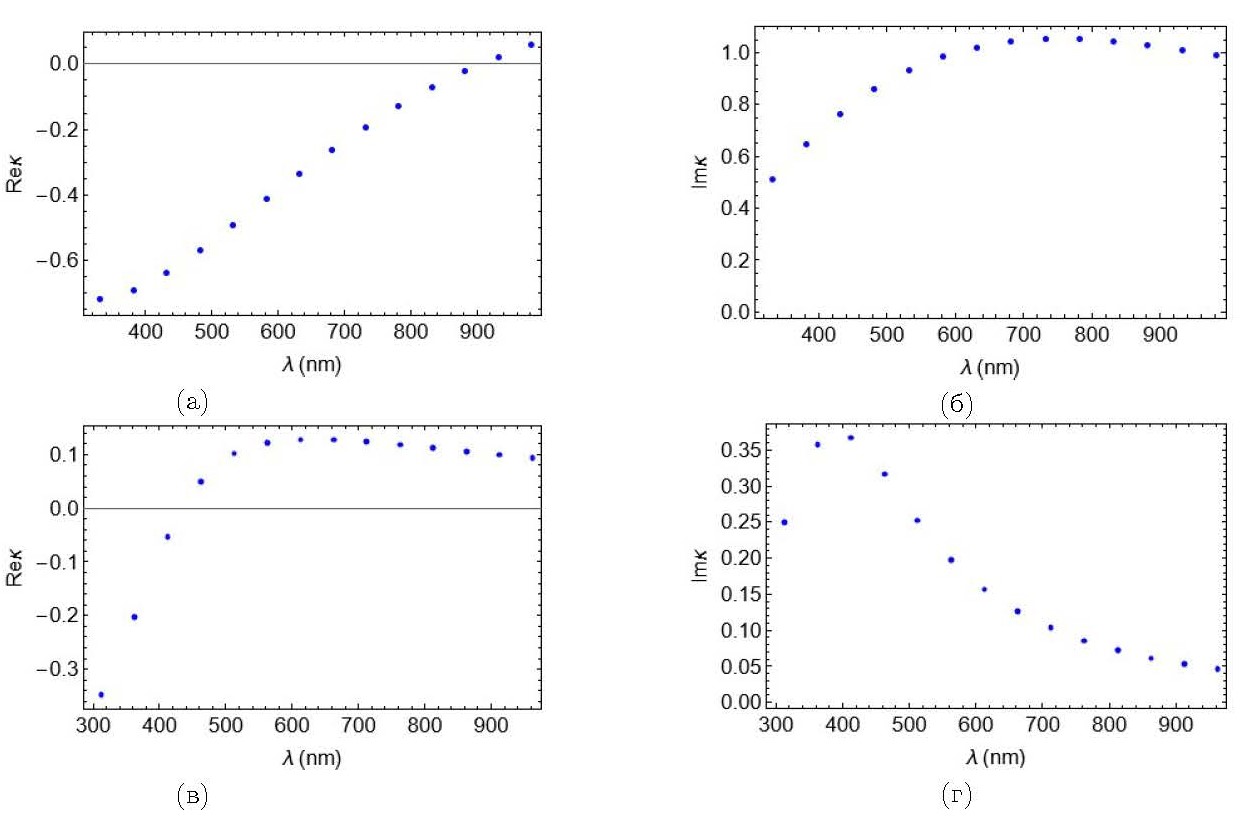
В результате поточечной минимизации функции невязки при каждой длине волны была найдена дисперсионная зависимость 𝜅(𝜆), доставляющая невязке минимум (рис. 5). Из полученной зависимости 𝜅(𝜆) были рассчитаны эллипсометрические параметры 𝜓 и Δ, которые также находятся в хорошем соответствии с параметрами, найденными экспериментально (рис. 6).
Рисунок 5 – Зависимость действительной (левый столбец) и мнимой (правый столбец) частей параметра 𝜅 от длины волны 𝜆 = 300–1 000 нм для палладия без отжига (верхняя строка) и палладия с отжигом (нижняя строка)
Рисунок 6 – Значения эллипсометрических параметров 𝜓 (левый столбец) и Δ (правый столбец), найденные теоретически (кривые) и полученные экспериментально (точки), для разных углов падения (показаны цветом): для палладия без отжига (верхняя строка) и палладия с отжигом (нижняя строка)
Суммированная по длинам волн невязка
, (23)
найденная при описании электродинамических свойств тонкого слоя посредством параметра 𝜅, не зависит от толщины слоя. Для удобства сравнения с предыдущими результатами величина этой суммарной невязки отмечена на рис. 3.
Можно заметить, что описание, использующее параметр тонкого слоя 𝜅, даёт несколько большую погрешность по сравнению со стандартным описанием (раздел 3.1), однако это компенсируется простотой использования данного подхода, а также отсутствием в нём избыточных параметров.
4. Заключение
Был предложен качественно новый подход к описанию электромагнитных свойств сверхтонких слоёв, основанный на использовании поверхностной диэлектрической проницаемости вместо объёмной. Основное преимущество данного метода состоит в том, что он не требует учёта такого трудно интерпретируемого параметра, как толщина сверхтонкого слоя, и, как следствие, более удобен для применения на практике. Более того, отсутствие лишних параметров снижает склонность метода к «переобучению». Применимость данного метода продемонстрирована на примере обработки эллипсометрических данных для сверхтонких палладиевых плёнок как с отжигом при температуре 600 °С, так и без отжига. В обоих случаях получено хорошее совпадение значений эллипсометрических параметров 𝜓 и Δ, полученных из эксперимента и найденных теоретически при помощи минимизации функции невязки. Несмотря на то, что классический подход к описанию свойств сверхтонких слоёв даёт меньшую абсолютную ошибку при определении эллипсометрических параметров по сравнению с подходом, предложенным в нашей статье, простота и физическая обоснованность последнего дают основание полагать, что он имеет большие перспективы для широкого практического применения.
About the authors
D. K. Vysokikh
Institute for Theoretical and Applied Electromagnetics of RAS; Dukhov Research Institute of Automatics; Moscow Institute of Physics and Technologies
Author for correspondence.
Email: vysokikh.dk@phystech.edu
Russian Federation, Moscow; Moscow; Moscow
A. A. Pukhov
Institute for Theoretical and Applied Electromagnetics of RAS; Moscow Institute of Physics and Technologies
Email: vysokikh.dk@phystech.edu
Russian Federation, Moscow; Moscow
D. P. Kulikova
Dukhov Research Institute of Automatics
Email: vysokikh.dk@phystech.edu
Russian Federation, Moscow
A. S. Amiraslanov
Bauman Moscow State Technical University
Email: vysokikh.dk@phystech.edu
Russian Federation, Moscow
A. V. Baryshev
Dukhov Research Institute of Automatics
Email: vysokikh.dk@phystech.edu
Russian Federation, Moscow
A. S. Baburin
Dukhov Research Institute of Automatics; Bauman Moscow State Technical University
Email: vysokikh.dk@phystech.edu
Russian Federation, Moscow; Moscow
I. A. Rodionov
Dukhov Research Institute of Automatics; Bauman Moscow State Technical University
Email: vysokikh.dk@phystech.edu
Russian Federation, Moscow; Moscow
A. V. Dorofeenko
Institute for Theoretical and Applied Electromagnetics of RAS; Dukhov Research Institute of Automatics; Moscow Institute of Physics and Technologies
Email: vysokikh.dk@phystech.edu
Russian Federation, Moscow; Moscow; Moscow
References
- Shirayama M., Kadowaki H., Miyadera T., Sugita T., Tamakoshi M., Kato M., Fujiseki T., Murata D., Hara S., Murakami T. N. Optical transitions in hybrid perovskite solar cells: ellipsometry, density functional theory, and quantum efficiency analyses for // Physical Review Applied. ‒ 2016. ‒ V. 5. ‒ N 1. ‒ P. 014012.
- Zhao M., Shi Y., Dai J., Lian J. Ellipsometric study of the complex optical constants of a CsPbBr perovskite thin film // Journal of Materials Chemistry C. ‒ 2018. ‒ V. 6. ‒ N 39. ‒ P. 10450-10455.
- Ke X., Gu H., Zhao X., Chen X., Shi Y., Zhang C., Jiang H., Liu S. Simulation method for study on outcoupling characteristics of stratified anisotropic OLEDs // Optics Express. ‒ 2019. ‒ V. 27. ‒ N 16. ‒ P. A1014-A1029.
- Xia R., Gu H., Liu S., Zhang K., Yip H. L., Cao Y. Optical analysis for semitransparent organic solar cells // Solar RRL. ‒ 2019. ‒ V. 3. ‒ N 1. ‒ P. 1800270.
- Fujiwara H. Spectroscopic Ellipsometry: Principles and Applications. ‒ Hoboken: John Wiley & Sons, 2007.
- Song B., Gu H., Zhu S., Jiang H., Chen X., Zhang C., Liu S. Broadband optical properties of graphene and HOPG investigated by spectroscopic Mueller matrix ellipsometry // Applied Surface Science. ‒ 2018. ‒ V. 439. ‒ P. 1079-1087.
- Song B., Gu H., Fang M., Ho Y.-T., Chen X., Jiang H., Liu S. Complex optical conductivity of two-dimensional : A striking layer dependency // The Journal of Physical Chemistry Letters. ‒ 2019. ‒ V. 10. ‒ N 20. ‒ P. 6246-6252.
- Gu H., Song B., Fang M., Hong Y., Chen X., Jiang H., Ren W., Liu S. Layer-dependent dielectric and optical properties of centimeter-scale 2D WSe 2: evolution from a single layer to few layers // Nanoscale. ‒ 2019. ‒ V. 11. ‒ N 47. ‒ P. 22762-22771.
- Brindza M., Flynn R. A., Shirk J. S., Beadie G. Thin sample refractive index by transmission spectroscopy // Optics Express. ‒ 2014. ‒ V. 22. ‒ N 23. ‒ P. 28537-28552.
- Hoffman A. J., Alekseyev L., Howard S. S., Franz K. J., Wasserman D., Podolskiy V. A., Narimanov E. E., Sivco D. L., Gmachl C. Negative refraction in semiconductor metamaterials // Nature materials. ‒ 2007. ‒ V. 6. ‒ N 12. ‒ P. 946-950.
- Gray A., Balooch M., Allegret S., De Gendt S., Wang W.-E. Optical detection and characterization of graphene by broadband spectrophotometry // Journal of Applied Physics. ‒ 2008. ‒ V. 104. ‒ N 5.
- Tompkins H. G., Hilfiker J. N. Spectroscopic ellipsometry: practical application to thin film characterization. ‒ New York: Momentum Press, 2015.
- Arwin H. Adsorption of proteins at solid surfaces // Ellipsometry of Functional Organic Surfaces and Films. ‒ 2014. ‒ P. 29-46.
- Arwin H., Aspnes D. E. Unambiguous determination of thickness and dielectric function of thin films by spectroscopic ellipsometry // Thin Solid Films. ‒ 1984. ‒ V. 113. ‒ N 2. ‒ P. 101-113.
- Gordan O. D., Zahn D. R. Small organic molecules // Ellipsometry of Functional Organic Surfaces and FilmsSpringer, 2014. ‒ C. 197-219.
- Richter R. P., Rodenhausen K. B., Eisele N. B., Schubert M. Coupling spectroscopic ellipsometry and quartz crystal microbalance to study organic films at the solid-liquid interface // Ellipsometry of Functional Organic Surfaces and Films. ‒ 2014. ‒ P. 223-248.
- Kulikova D. P., Dobronosova A. A., Kornienko V. V., Nechepurenko I. A., Baburin A. S., Sergeev E. V., Lotkov E. S., Rodionov I. A., Baryshev A. V., Dorofeenko A. V. Optical properties of tungsten trioxide, palladium, and platinum thin films for functional nanostructures engineering // Optics express. ‒ 2020. ‒ V. 28. ‒ N 21. ‒ P. 32049-32060.
- Song B., Gu H., Fang M., Chen X., Jiang H., Wang R., Zhai T., Ho Y. T., Liu S. Layer‐dependent dielectric function of wafer‐scale 2D // Advanced Optical Materials. ‒ 2019. ‒ V. 7. ‒ N 2. ‒ P. 1801250.
- Hao J., Zhou L. Electromagnetic wave scatterings by anisotropic metamaterials: Generalized 4× 4 transfer-matrix method // Physical Review B—Condensed Matter and Materials Physics. ‒ 2008. ‒ V. 77. ‒ N 9. ‒ P. 094201.
- Katsidis C. C., Siapkas D. I. General transfer-matrix method for optical multilayer systems with coherent, partially coherent, and incoherent interference // Applied optics. ‒ 2002. ‒ V. 41. ‒ N 19. ‒ P. 3978-3987.
Supplementary files







