Matrix metalloproteinaze inchibitors system and experimental drug-resistant kidney tuberculosis treatment effectiveness
- Authors: Esmedlyaeva D.S.1, Alekseeva N.P.2, Dyakova M.E.1, Muravyev A.N.1, Ariel B.M.1, Vinogradova T.I.1
-
Affiliations:
- Saint Petersburg State Pediatric Medical University
- Saint Petersburg University
- Issue: Vol 14, No 4 (2023)
- Pages: 51-58
- Section: Original studies
- URL: https://journal-vniispk.ru/pediatr/article/view/232072
- DOI: https://doi.org/10.17816/PED14451-58
- ID: 232072
Cite item
Abstract
BACKGROUND: Nephrotuberculosis is characterized by the accumulation of extracellular matrix proteins, the regulation of which is carried out by matrix metal propriets (MMP).
AIM: To study the dynamics of the MMP / inhibitors of the blood in the treatment of experimental nephrotuberculosis using mesenchymal stem cells (MSC).
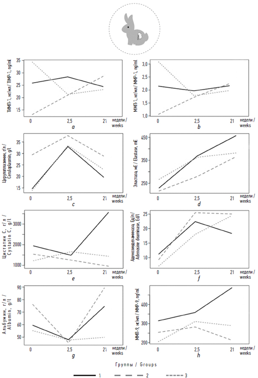
MATERIALS AND METHODS: Among the 20 rabbits with nephrotuberculosis caused by the Mycobacterium tuberculosis, the group 1 compiled by untrue animals; group 2 — with anti-tuberculosis therapy; group 3 — with anti-tuberculosis therapy and mesenchymal stem cells. The development of nephrotuberculosis was confirmed by the reaction with Diaskintest. In the blood serum, the levels of MMP (MMP-1,-9), their tissue inhibitor-TIMP-1, cystatin C (CC), creatinine (KR), albumin (AL), ceruloplasmin (CP), neutrophilic elastasis (NE) and adenosin deaminase (ADA) were determined. A histological examination of the kidneys was carried out. Used Statistica 7.0.
RESULTS: The presence of specific inflammation in the kidneys by 2.5 weeks in all groups was confirmed by increased levels of ADA, CP and a decrease in the body weight of animals, but was not accompanied by changes in the MMP-1,-9, TIMP-1, CC and KR. By the 21st week after infection in all groups, an increased level of ADA, NE and the KR was preserved, and the concentrations of CP and AL were normalized. In group 1 alone, high levels of MMP-9 and CC, foci of specific inflammation and distinct glomerulus changes were noted. The differences between the groups 3 and 2 were associated with lower values of the area of interstitial fibrosis and collagen (p = 0.03). A discriminant function based on the values of the MMP-1,-9, TIMP-1, NE, KR and CC, characterizing significant differences between three groups has been obtained.
CONCLUSIONS: 1. Nephrotuberculosis in rabbits infected with the Mycobacterium tuberculosis 5582 Beijing genotype, after 2.5 weeks was characterized by an increase in the blood of ADA, NE, CP and a decrease in AL, and the lack of changes in the MMP-1,-9 and TIMP-1, KR and CC. 2. The processing of nephrotuberculosis was accompanied by an increase in the blood of concentrations of hell, NE and KR, MMP-9 and CC, but not MMP-1 and TIMP-1. 3. The therapy of the anti-tuberculosis and mesenchymal stem cells normalized the levels of the MMP-9 and the CC, but not ADA and NE. 4. The complex from MMP-1,-9, TIMP-1, NE, KR and CC, allows you to differentiate groups with different vephrotuberculosis activity.
Full Text
##article.viewOnOriginalSite##About the authors
Dilyara S. Esmedlyaeva
Saint Petersburg State Pediatric Medical University
Author for correspondence.
Email: diljara-e@yandex.ru
ORCID iD: 0000-0002-9841-0061
PhD, Cand. Sci. (Biol.), Senior Research Associate, Research Laboratory of Microbiology, Biochemistry and Immunogenetics
Russian Federation, Saint PetersburgNina P. Alekseeva
Saint Petersburg University
Email: ninaalexeyeva@mail.ru
ORCID iD: 0000-0001-8837-6739
PhD, Cand. Sci. (Phys. and Math.), Assistant Professor of Scientific Technical Information Department
Russian Federation, Saint PetersburgMarina E. Dyakova
Saint Petersburg State Pediatric Medical University
Email: marinadyakova@yandex.ru
ORCID iD: 0000-0002-7810-880X
Dr. Sci. (Biol.), Senior Research Associate, Rresearch Laboratory of Microbiology, Biochemistry and Immunogenetics
Russian Federation, Saint PetersburgAlexander N. Muravyev
Saint Petersburg State Pediatric Medical University
Email: urolog5@gmail.com
ORCID iD: 0000-0002-6974-5305
MD, PhD, Cand. Sci. (Med.), Scientific Secretary
Russian Federation, Saint PetersburgBoris M. Ariel
Saint Petersburg State Pediatric Medical University
Email: arielboris@rambler.ru
ORCID iD: 0000-0002-7243-8621
MD, PhD, Dr. Sci. (Med.), Professor, Scientific Consultant
Russian Federation, Saint PetersburgTatyana I. Vinogradova
Saint Petersburg State Pediatric Medical University
Email: vinogradova@spbniif.ru
ORCID iD: 0000-0002-5234-349X
MD, PhD, Dr. Sci. (Med.), Professor, Head of the Research Laboratory of Experimental Medicine
Russian Federation, Saint PetersburgReferences
- Mushkin AYu, Belilovskii EM, Pershin AA. Vnelegochnyi tuberkulez v Rossiiskoi Federatsii: sopostavlenie nekotorykh ofitsial’nykh dannykh i rezul’tatov anketnogo skrininga. Medical Alliance. 2013;(1):80–85. (In Russ.)
- Akiyama K, Shikata K, Sugimoto H, et al. Changes in serum concentrations of matrix metalloproteinases, tissue inhibitors of metalloproteinases and type IV collagen in patients with various types of glomerulonephritis. Res Commun Mol Pathol Pharmacol. 1997;95(2):115–128.
- Bauvois B, Mothu N, Nguyen J, et al. Specific changes in plasma concentrations of matrix metalloproteinase-2 and -9, TIMP-1 and TGF-beta1 in patients with distinct types of primary glomerulonephritis. Nephrol Dial Transplant. 2007;22(4):1115–1122. doi: 10.1093/ndt/gfl743
- Berta M, Sturm G, Juri L, et al. Bacteriological diagnosis of renal tuberculosis: an experience at the regional tuberculosis laboratory in Córdoba Province, Argentina. Rev Argent Microbiol. 2011;43(3): 191–194. doi: 10.1590/S0325-75412011000300006
- Ferguson TW, Komenda P, Tangri N. Cystatin C as a biomarker for estimating glomerular filtration rate. Curr Opin Nephrol Hypertens. 2015;24(3):295–300. doi: 10.1097/mnh.0000000000000115
- Giusti G. Adenosine deaminase. Bergmeyer H., editor. Methods of enzymatic analysis. Vol. 2. New York: Academic Press, 1974. P. 1092–1099. doi: 10.1016/B978-0-12-091302-2.X5001-4
- Gudleviciene Z, Kundrotas G, Liudkeviciene R, et al. Quick and effective method of bone marrow mesenchymal stem cell extraction. Open Med (Wars). 2014;10(1):44–49. doi: 10.1515/med-2015-0008
- MacLean E, Broger T, Yerlikaya S, et al. A systematic review of biomarkers to detect active tuberculosis. Nat Microbiol. 2019;4(5):748–758. doi: 10.1038/s41564-019-0380-2
- Marti HP. Role of matrix metalloproteinases in the progression of renal lesions. Presse Med. 2000;29(14):811–817.
- Muneer A, Macrae B, Krishnamoorthy S, Zumla A. Urogenital tuberculosis — epidemiology, pathogenesis and clinical features. Nat Rev Urol. 2019;16(10):573–598. doi: 10.1038/s41585-019-0228-9
- Murav’ev AN, Vinogradova TI, Remezova AN, et al. The use of mesen-chymal stem cells in the complex treatment of kidney tuberculosis (experimental study). Biomedicines. 2022;10(12):3062. doi: 10.3390/biomedicines10123062
- Nissinen L, Kähäri V-M. Matrix metalloproteinases in inflammation. Biochim Biophys Acta. 2014;1840(8):2571–2580. doi: 10.1016/j.bbagen.2014.03.007
- Visser L, Blout ER. The use of p-nitrophenyl N-tert-butyloxycarbonyl-L-alaninate as substrate for elastase. Biochim Biophys Acta. 1972;268(1):257–260. doi: 10.1016/0005-2744(72)90223-9
Supplementary files



