Otoacoustic emissions: major trends in pediatric practice
- Authors: Garbaruk E.S.1,2, Pavlov P.V.1, Gorkina O.K.1, Subora N.V.2, Belogurova M.B.2,3
-
Affiliations:
- St. Petersburg State Pediatric Medical University
- Academician I.P. Pavlov First St. Petersburg State Medical University of the Ministry of Healthcare of Russia
- Chemotherapy and Composite Treatment of Pediatric Tumors “Clinical Scientifi c and Practical Centre of Oncology”
- Issue: Vol 11, No 3 (2020)
- Pages: 101-108
- Section: Reviews
- URL: https://journal-vniispk.ru/pediatr/article/view/42537
- DOI: https://doi.org/10.17816/PED113101-108
- ID: 42537
Cite item
Abstract
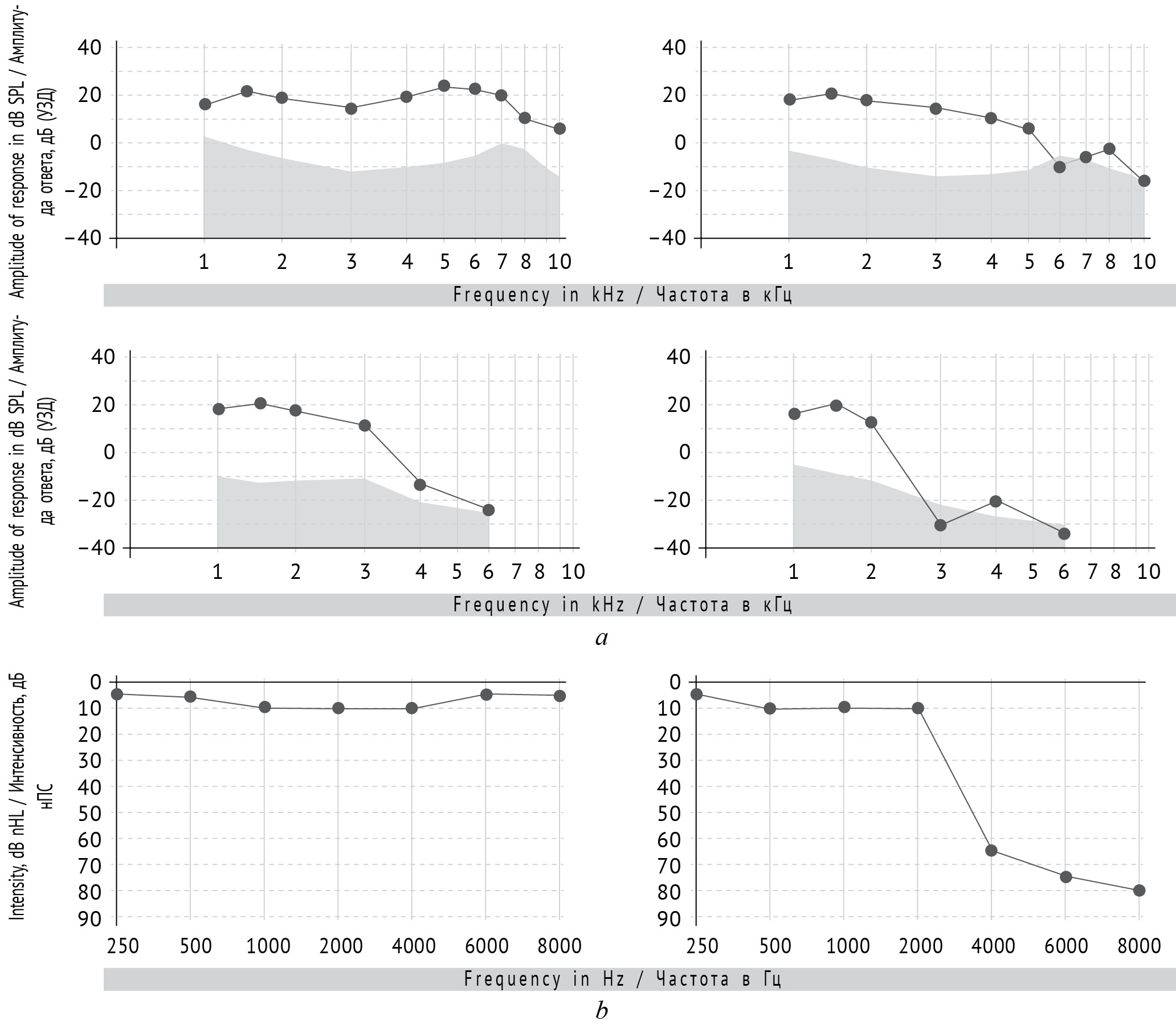
The high prevalence of hearing loss in children determines the need for reliable methods for the timely detection and diagnosis of hearing impairment at any age, starting from a birth. Otoacoustic emissions are widely used in hearing screening and audiological assessment as an objective tool for cochlear status evaluation. Over the past 30 years, their use in routine audiological assessments has increased significantly. Understanding the subtle processes that occur in the cochlea during the transmission of acoustic stimuli which generate otoacoustic emissions as well as knowledge about the registration parameters, otoacoustic emissions characteristics, otoacoustic emissions advantages and constraints are important for results analysis. Contemporary understanding of the occurrence of auditory sensations as well as the description of various types of otoacoustic emissions used in routine clinical practice (transient otoacoustic emissions and distorting product otoacoustic emissions) are presented in the review. The features of otoacoustic emissions using in pediatric practice are described: in newborns hearing screening, including the peculiarities of applying of this test for infants having had got their treatment in the intensive care units. Otoacoustic emissions significance for hearing diagnosis and as well as for ototoxicity monitoring is shown. Reliability, non-invasiveness, objectivity, simplicity of the otoacoustic emissions testing has done it one of the main methods both in hearing screening and diagnostics for children on any age.
Full Text
##article.viewOnOriginalSite##About the authors
Ekaterina S. Garbaruk
St. Petersburg State Pediatric Medical University; Academician I.P. Pavlov First St. Petersburg State Medical University of the Ministry of Healthcare of Russia
Author for correspondence.
Email: kgarbaruk@mail.ru
PhD, Senior researcher, Research center
Russian Federation, Saint PetersburgPavel V. Pavlov
St. Petersburg State Pediatric Medical University
Email: pvpavlov@mail.ru
MD, PhD, Dr Med Sci, Professor, Head Department of Otorhinolaryngology
Russian Federation, Saint PetersburgOksana K. Gorkina
St. Petersburg State Pediatric Medical University
Email: gorkina-ok@yandex.ru
Assistant Professor, Department of Otorhinolaryngology
Russian Federation, Saint PetersburgNina V. Subora
Academician I.P. Pavlov First St. Petersburg State Medical University of the Ministry of Healthcare of Russia
Email: matchenkova@inbox.ru
Pediatric Oncologist, Raisa Gorbacheva Memorial Research Institute of Children Oncology, Hematology and Transplantation
Russian Federation, Saint PetersburgMargarita B. Belogurova
Academician I.P. Pavlov First St. Petersburg State Medical University of the Ministry of Healthcare of Russia; Chemotherapy and Composite Treatment of Pediatric Tumors “Clinical Scientifi c and Practical Centre of Oncology”
Email: deton.hospital31@inbox.ru
MD, PhD, Dr Med Sci, Professor, Head, Department of Oncology with a Course of Radiation Diagnostics and Radiotherapy
Russian Federation, Saint PetersburgReferences
- Белогурова М.Б., Гарбарук Е.С., Субора Н.В., Павлов П.В. Исследование эффекта ототоксичности у детей, получавших химиотерапию препаратами платины // Вопросы гематологии/онкологии и иммунопатологии в педиатрии. – 2018. – Т. 17. – № 3. – С. 22–27. [Belogurova MB, Garbaruk ES, Subora NV, Pavlov PV. Platinum induced hearing loss in children with cancer: the prospective study. Pediatric Hematology/Oncology and Immunopathology. 2018;17(3):22-27. (In Russ.)] https://doi.org/10.24287/1726-1708-2018-17-3-22-27.
- Гарбарук Е.С., Горкина О.К., Павлов П.В. Отоакустическая эмиссия: фундаментальные предпосылки и клиническое применение (обзор литературы) // Медицина: теория и практика. – 2019. – Т. 4. – № 3. – С. 70–77. [Garbaruk ES, Gorkina OK, Pavlov PV. Otoacoustic emissions: fundamental principles and clinical application (literature review). Meditsina: teoriya i praktika. 2019;4(3):70-77. (In Russ.)]
- Гарбарук Е.С., Нномзоо А., Павлов П.В., Горкина О.К. Алгоритм аудиологического наблюдения детей с врожденными пороками сердца // Педиатр. – 2019. – Т. 10. – № 2. – С. 129–135. [Garbaruk ES, Nnomzoo AA, Pavlov PV, Gorkina OC. Algorithm of hearing monitoring of children with congenital heart disease. Pediatrician (St. Petersburg). 2009;10(2):129-135. (In Russ.)]. https://doi.org/10.17816/PED102129-135.
- Дьяконова И.Н., Рахманова И.В., Ишанова Ю.С., Бурмистрова Д.С. Слуховая функция недоношенных детей после лечения ототоксическими антибиотиками // Вестник оториноларингологии. – 2018. – Т. 83. – № 2. – С. 9–13. [D’yakonova IN, Rakhmanova IV, Ishanova YuS, Burmistrova DS. The hearing function in the premature children following their treatment with the use of ototoxic antibiotics. Vestn Otorinolaringol. 2018;83(2): 9-13. (In Russ.)]. https://doi.org/10.17116/otorino20188329-13.
- Лалаянц М.Р., Бражкина Н.Б., Гептнер Е.Н., и др. Слуховые вызванные потенциалы у детей с заболеванием спектра аудиторных нейропатий // Вестник оториноларингологии. – 2018. – Т. 83. – № 4. – С. 15–20. [Lalayants MR, Brazhkina NB, Geptner EN, et al. Auditory evoked potentials in children with auditory neuropathy spectrum disorder. Vestn Otorinolaringol. 2018;83(4):15-20. (In Russ.)] https://doi.org/10.17116/otorino201883415.
- Остроумова О.Д., Ших Е.В., Реброва Е.В., и др. Лекарственно-индуцированная тугоухость как проявление лекарственно-индуцированной ототоксичности // Вестник оториноларингологии. – 2019. – Т. 84. – № 4. – С. 72–80. [Ostroumova OD, Chikh EV, Rebrova EV, et al. Drug-induced hearing loss as a manifestation of drug-induced ototoxicity. Vestn Otorinolaringol. 2019;84(4):72-80. (In Russ.)] https://doi.org/10.17116/otorino20198404172.
- Пальчун В.Т., Левина Ю.В., Мельников О.А. Отоакустическая эмиссия: исследование нормы // Вестник оториноларингологии. – 1999. – № 1. – С. 5–9. [Pal’chun VT, Levina YuV, Mel’nikov OA. Otoakusticheskaya emissiya: issledovanie normy. Vestn Otorinolaringol. 1999;(1):5-9. (In Russ.)]
- Министерство Здравоохранения Российской Федерации. Сенсоневральная тугоухость у детей: клинические рекомендации. – 2016. – 29 с. [The Ministry of Health of the Russian Federation. Sensonevral’naya tugoukhost’ u detey: klinicheskie rekomendatsii. 2016. 29 p. (In Russ.)]
- Таварткиладзе Г.А. Руководство по клинической аудиологии. – М.: Медицина, 2013. [Tavartkiladze GA. Rukovodstvo po klinicheskoy audiologii. Mоscow: Meditsina; 2013. (In Russ.)]
- Чадха Д.Ш. Глобальные действия при нарушениях слуха // Вестник оториноларингологии. – 2018. – Т. 83. – № 4. – С. 5–8. [Chadha DrS. Global action for hearing loss. Vestn Otorinolaringol. 2018;83(4):5-8. (In Russ.)]
- Ясинская А.А., Таварткиладзе Г.А. Эффективность аудиологического скрининга у новорожденных, основанного на использовании автоматизированной регистрации задержанной вызванной отоакустической эмиссии и стационарных слуховых вызванных потенциалов // Российская оториноларингология. – 2008. – № S1. – С. 421–426. [Yasinskaya AA, Tavartkiladze GA. Effektivnost’ audiologicheskogo skrininga u novorozhdennykh, osnovannogo na ispol’zovanii avtomatizirovannoy registratsii zaderzhannoy vyzvannoy otoakusticheskoy emissii i statsionarnykh slukhovykh vyzvannykh potentsialov. Russian otorhinolaryngology. 2008;(S1):421-426. (In Russ.)]
- Brock PR, Knight KR, Freyer DR, et al. Platinum-Induced Ototoxicity in Children: A Consensus Review on Mechanisms, Predisposition, and Protection, Including a New International Society of Pediatric Oncology Boston Ototoxicity Scale. J Clin Oncol. 2012;30(19): 2408-2417. https://doi.org/10.1200/JCO.2011. 39.1110.
- Dhar S, Hall JW. Otoacoustic Emissions: Principles, Procedures, and Protocols. 2nd ed. Plural Publishing; 2018.
- Fettiplace R, Hackney CM. The sensory and motor roles of auditory hair cells. Nat Rev Neurosci. 2006;7(1): 19-29. https://doi.org/10.1038/nrn1828.
- The joint committee on infant hearing. Year 2019 position statement: principles and guidelines for early hearing detection and intervention programs. J Early Hear Detect Interv. 2019;4(2):1-44.
- Kemp DT. Otoacoustic emissions, their origin in cochlear function, and use. Br Med Bull. 2002;63: 223-241. https://doi.org/10.1093/bmb/63.1.223.
- Maung MM, Lwin YY, Aung N, et al. Diagnostic accuracy of distortion product otoacoustic emissions (DPOAE) and transient evoked otoacoustic emissions (TEOAE) in high risk newborn: a comparative study. Clin Pediatr. OA. 2016;1(110):2.
- Otoacoustic emissions — clinical applications. 2nd ed. Ed. by R.M. Robinette, T. Glattke. New York: Thieme; 2002.
- Thornton ARD. Maturation of click evoked otoacoustic emissions in the first few days of life. In: Otoacoustic Emissions from Maturation to Ageing. Series in Audiology Number 1. Ed. by F. Grandori, L. Collet, P. Ravazzani. London: Decker Europe; 1999. P. 21-32.
- Who.int [Internet]. Estimates [cited 2020 Jul 4]. Available from: http://www.who.int/pbd/deafness/estimates/en/.
Supplementary files






