A soft sets review

Cover Page

Cite item

Full Text

Abstract

In this review we consider the so-called soft sets. In fact, it is a generalization of L. Zadeh’s fuzzy sets, which form the mathematical apparatus of artificial intelligence. On the other hand, the rejection of the notion of infinitesimality originates the foundations of a new mathematical analysis. Subsequently, many papers on soft sets have appeared, conferences have been organized, and there are publications on applications in various fields. The paper gives the basic definitions and terms of soft sets theory, and references to its practical applications.

Full Text

Введение. С развитием вычислительной техники и выделением таких областей, как теория игр, теория принятия решений, теория оптимизации, появилась потребность в расширении аппарата классической теории множеств. Применение данных теорий на практике связано с использованием данных, содержащих разного рода неопределенности. Классическая теория множеств подразумевает определение для элементов универсального множества функции принадлежности, которая принимает значение из множества 0,1 MathType@MTEF@5@5@+= feaahGart1ev3aqatCvAUfeBSjuyZL2yd9gzLbvyNv2Caerbov2D09 MBdbqedmvETj2BSbqeeuuDJXwAKbsr4rNCHbGeaGqik8fkY=xipgYl h9vqqj=hEeeu0xXdi9arFj0xirFj0dXdbba91qpK0=yr0RYxfr=Jbb f9q8aq0=yq=He9q8qqQ8frFve9Fve9Ff0dmeaabaqaciaacaGaaeqa baqabeGadaaakeaaqaaaaaaaaaWdbmaacmaapaqaa8qacaaIWaGaai ilaiaaigdaaiaawUhacaGL9baaaaa@35A0@ в зависимости от того, принадлежит рассматриваемый элемент множеству или нет. Расширить понятие функции принадлежности предложил Л. Заде в 1965 г. [1]. В нечетком множестве функция может принимать значение из замкнутого интервала 0,1 MathType@MTEF@5@5@+= feaahGart1ev3aqatCvAUfeBSjuyZL2yd9gzLbvyNv2Caerbov2D09 MBdbqedmvETj2BSbqeeuuDJXwAKbsr4rNCHbGeaGqik8fkY=xipgYl h9vqqj=hEeeu0xXdi9arFj0xirFj0dXdbba91qpK0=yr0RYxfr=Jbb f9q8aq0=yq=He9q8qqQ8frFve9Fve9Ff0dmeaabaqaciaacaGaaeqa baqabeGadaaakeaaqaaaaaaaaaWdbmaadmaapaqaa8qacaaIWaGaai ilaiaaigdaaiaawUfacaGLDbaaaaa@3561@ .

В дальнейшем появились несколько десятков различных обобщений и вариаций понятия нечеткого множества. Одним из таких расширений стали мягкие множества — термин, впервые введенный Д. А. Молодцовым (1948–2020) в [2]. Его подход отличается от подхода Заде, но, как показано в [2], нечеткие множества являются одним из представлений мягких множеств.

Цель статьи – ознакомление читателей с аппаратом данной теории, который находит свое применение во многих областях.

1. Основные определения. Мягкие множества были введены Д.А. Молодцовым для разрешения непределенностей в задачах теории игр. В первых публикациях в данной области [35] было показано, что устойчивости в играх с передачей информации можно добиться введением параметризующего множества для описания решения, которое получило название принцип оптимальности [3].

Определение 1 [3]. Под принципом оптимальности понимается отображение

R:m 2 C , MathType@MTEF@5@5@+= feaahGart1ev3aqatCvAUfeBSjuyZL2yd9gzLbvyNv2Caerbov2D09 MBdbqedmvETj2BSbqeeuuDJXwAKbsr4rNCHbGeaGqik8fkY=xipgYl h9vqqj=hEeeu0xXdi9arFj0xirFj0dXdbba91qpK0=yr0RYxfr=Jbb f9q8aq0=yq=He9q8qqQ8frFve9Fve9Ff0dmeaabaqaciaacaGaaeqa baqabeGadaaakeaaqaaaaaaaaaWdbiaadkfacaGG6aGaamyBaiabgk ziUkaaikdapaWaaWbaaSqabeaapeGaam4qaaaakiaacYcaaaa@3829@

где m MathType@MTEF@5@5@+= feaahGart1ev3aqatCvAUfeBSjuyZL2yd9gzLbvyNv2Caerbov2D09 MBdbqedmvETj2BSbqeeuuDJXwAKbsr4rNCHbGeaGqik8fkY=xipgYl h9vqqj=hEeeu0xXdi9arFj0xirFj0dXdbba91qpK0=yr0RYxfr=Jbb f9q8aq0=yq=He9q8qqQ8frFve9Fve9Ff0dmeaabaqaciaacaGaaeqa baqabeGadaaakeaaqaaaaaaaaaWdbiaad2gaaaa@321D@  – модель операции, C MathType@MTEF@5@5@+= feaahGart1ev3aqatCvAUfeBSjuyZL2yd9gzLbvyNv2Caerbov2D09 MBdbqedmvETj2BSbqeeuuDJXwAKbsr4rNCHbGeaGqik8fkY=xipgYl h9vqqj=hEeeu0xXdi9arFj0xirFj0dXdbba91qpK0=yr0RYxfr=Jbb f9q8aq0=yq=He9q8qqQ8frFve9Fve9Ff0dmeaabaqaciaacaGaaeqa baqabeGadaaakeaaqaaaaaaaaaWdbiaadoeaaaa@31F3@  -множество выборов оперирующей стороны, в общем случае зависящее от m MathType@MTEF@5@5@+= feaahGart1ev3aqatCvAUfeBSjuyZL2yd9gzLbvyNv2Caerbov2D09 MBdbqedmvETj2BSbqeeuuDJXwAKbsr4rNCHbGeaGqik8fkY=xipgYl h9vqqj=hEeeu0xXdi9arFj0xirFj0dXdbba91qpK0=yr0RYxfr=Jbb f9q8aq0=yq=He9q8qqQ8frFve9Fve9Ff0dmeaabaqaciaacaGaaeqa baqabeGadaaakeaaqaaaaaaaaaWdbiaad2gaaaa@321D@ . Позднее идея такого множества была обобщена и получила название мягкое множество.

Определение 2 [2]. Пара S,A MathType@MTEF@5@5@+= feaahGart1ev3aqatCvAUfeBSjuyZL2yd9gzLbvyNv2Caerbov2D09 MBdbqedmvETj2BSbqeeuuDJXwAKbsr4rNCHbGeaGqik8fkY=xipgYl h9vqqj=hEeeu0xXdi9arFj0xirFj0dXdbba91qpK0=yr0RYxfr=Jbb f9q8aq0=yq=He9q8qqQ8frFve9Fve9Ff0dmeaabaqaciaacaGaaeqa baqabeGadaaakeaaqaaaaaaaaaWdbmaabmaapaqaa8qacaWGtbGaai ilaiaadgeaaiaawIcacaGLPaaaaaa@3521@  называется мягким множеством над U MathType@MTEF@5@5@+= feaahGart1ev3aqatCvAUfeBSjuyZL2yd9gzLbvyNv2Caerbov2D09 MBdbqedmvETj2BSbqeeuuDJXwAKbsr4rNCHbGeaGqik8fkY=xipgYl h9vqqj=hEeeu0xXdi9arFj0xirFj0dXdbba91qpK0=yr0RYxfr=Jbb f9q8aq0=yq=He9q8qqQ8frFve9Fve9Ff0dmeaabaqaciaacaGaaeqa baqabeGadaaakeaaqaaaaaaaaaWdbiaadwfaaaa@3205@ , если S MathType@MTEF@5@5@+= feaahGart1ev3aqatCvAUfeBSjuyZL2yd9gzLbvyNv2Caerbov2D09 MBdbqedmvETj2BSbqeeuuDJXwAKbsr4rNCHbGeaGqik8fkY=xipgYl h9vqqj=hEeeu0xXdi9arFj0xirFj0dXdbba91qpK0=yr0RYxfr=Jbb f9q8aq0=yq=He9q8qqQ8frFve9Fve9Ff0dmeaabaqaciaacaGaaeqa baqabeGadaaakeaaqaaaaaaaaaWdbiaadofaaaa@3203@  – отображение из A MathType@MTEF@5@5@+= feaahGart1ev3aqatCvAUfeBSjuyZL2yd9gzLbvyNv2Caerbov2D09 MBdbqedmvETj2BSbqeeuuDJXwAKbsr4rNCHbGeaGqik8fkY=xipgYl h9vqqj=hEeeu0xXdi9arFj0xirFj0dXdbba91qpK0=yr0RYxfr=Jbb f9q8aq0=yq=He9q8qqQ8frFve9Fve9Ff0dmeaabaqaciaacaGaaeqa baqabeGadaaakeaaqaaaaaaaaaWdbiaadgeaaaa@31F1@  в множество всех подмножеств U MathType@MTEF@5@5@+= feaahGart1ev3aqatCvAUfeBSjuyZL2yd9gzLbvyNv2Caerbov2D09 MBdbqedmvETj2BSbqeeuuDJXwAKbsr4rNCHbGeaGqik8fkY=xipgYl h9vqqj=hEeeu0xXdi9arFj0xirFj0dXdbba91qpK0=yr0RYxfr=Jbb f9q8aq0=yq=He9q8qqQ8frFve9Fve9Ff0dmeaabaqaciaacaGaaeqa baqabeGadaaakeaaqaaaaaaaaaWdbiaadwfaaaa@3205@ , т.е. S:A 2 U MathType@MTEF@5@5@+= feaahGart1ev3aqatCvAUfeBSjuyZL2yd9gzLbvyNv2Caerbov2D09 MBdbqedmvETj2BSbqeeuuDJXwAKbsr4rNCHbGeaGqik8fkY=xipgYl h9vqqj=hEeeu0xXdi9arFj0xirFj0dXdbba91qpK0=yr0RYxfr=Jbb f9q8aq0=yq=He9q8qqQ8frFve9Fve9Ff0dmeaabaqaciaacaGaaeqa baqabeGadaaakeaaqaaaaaaaaaWdbiaadofacaGG6aGaamyqaiabgk ziUkaaikdapaWaaWbaaSqabeaapeGaamyvaaaaaaa@3756@ .

Определение 3 [6]. Пару F,A MathType@MTEF@5@5@+= feaahGart1ev3aqatCvAUfeBSjuyZL2yd9gzLbvyNv2Caerbov2D09 MBdbqedmvETj2BSbqeeuuDJXwAKbsr4rNCHbGeaGqik8fkY=xipgYl h9vqqj=hEeeu0xXdi9arFj0xirFj0dXdbba91qpK0=yr0RYxfr=Jbb f9q8aq0=yq=He9q8qqQ8frFve9Fve9Ff0dmeaabaqaciaacaGaaeqa baqabeGadaaakeaaqaaaaaaaaaWdbmaabmaapaqaa8qacaWGgbGaai ilaiaadgeaaiaawIcacaGLPaaaaaa@3514@  будем называть мягким отображением (мягкой функцией) из M MathType@MTEF@5@5@+= feaahGart1ev3aqatCvAUfeBSjuyZL2yd9gzLbvyNv2Caerbov2D09 MBdbqedmvETj2BSbqeeuuDJXwAKbsr4rNCHbGeaGqik8fkY=xipgYl h9vqqj=hEeeu0xXdi9arFj0xirFj0dXdbba91qpK0=yr0RYxfr=Jbb f9q8aq0=yq=He9q8qqQ8frFve9Fve9Ff0dmeaabaqaciaacaGaaeqa baqabeGadaaakeaaqaaaaaaaaaWdbiaad2eaaaa@31FD@  в U MathType@MTEF@5@5@+= feaahGart1ev3aqatCvAUfeBSjuyZL2yd9gzLbvyNv2Caerbov2D09 MBdbqedmvETj2BSbqeeuuDJXwAKbsr4rNCHbGeaGqik8fkY=xipgYl h9vqqj=hEeeu0xXdi9arFj0xirFj0dXdbba91qpK0=yr0RYxfr=Jbb f9q8aq0=yq=He9q8qqQ8frFve9Fve9Ff0dmeaabaqaciaacaGaaeqa baqabeGadaaakeaaqaaaaaaaaaWdbiaadwfaaaa@3205@  (где M – множество моделей), если F является отображением из множества M×A в множество подмножеств универсального множества U, т. е. F : M ×A 2U.

Наиболее цитируемая работа [2], обобщающая полученные результаты, вышла в 1999 г. Она была опубликована на английском языке и положила начало широкому распространению аппарата теории мягких множеств для решения различных задач. Кроме определения мягких множеств и операций над ними в статье вводится понятие мягкой функции и рассматриваются свойства таких функций. Предлагается использование мягких функций в качестве функций выбора в задачах, связанных с неопределенностью стратегий в исследовании игр и теории операций, что должно упростить решение задачи в условиях расплывчатой и неопределенной информации. В [7] функция выбора определяется как R: 2 P ×E 2 P , MathType@MTEF@5@5@+= feaahGart1ev3aqatCvAUfeBSjuyZL2yd9gzLbvyNv2Caerbov2D09 MBdbqedmvETj2BSbqeeuuDJXwAKbsr4rNCHbGeaGqik8fkY=xipgYl h9vqqj=hEeeu0xXdi9arFj0xirFj0dXdbba91qpK0=yr0RYxfr=Jbb f9q8aq0=yq=He9q8qqQ8frFve9Fve9Ff0dmeaabaqaciaacaGaaeqa baqabeGadaaakeaaqaaaaaaaaaWdbiaadkfacaGG6aGaaGOma8aada ahaaWcbeqaa8qacaWGqbaaaOGaey41aqRaamyraiabgkziUkaaikda paWaaWbaaSqabeaapeGaamiuaaaakiaacYcaaaa@3C0C@

где E – множество параметров , P – множество ситуаций, 2P – множество всех подмножеств множества P, т. е. если XP MathType@MTEF@5@5@+= feaahGart1ev3aqatCvAUfeBSjuyZL2yd9gzLbvyNv2Caerbov2D09 MBdbqedmvETj2BSbqeeuuDJXwAKbsr4rNCHbGeaGqik8fkY=xipgYl h9vqqj=hEeeu0xXdi9arFj0xirFj0dXdbba91qpK0=yr0RYxfr=Jbb f9q8aq0=yq=He9q8qqQ8frFve9Fve9Ff0dmeaabaqaciaacaGaaeqa baqabeGadaaakeaaqaaaaaaaaaWdbiaadIfacqGHgksZcaWGqbaaaa@34DE@  – допустимое подмножество ситуаций, то R X,ε MathType@MTEF@5@5@+= feaahGart1ev3aqatCvAUfeBSjuyZL2yd9gzLbvyNv2Caerbov2D09 MBdbqedmvETj2BSbqeeuuDJXwAKbsr4rNCHbGeaGqik8fkY=xipgYl h9vqqj=hEeeu0xXdi9arFj0xirFj0dXdbba91qpK0=yr0RYxfr=Jbb f9q8aq0=yq=He9q8qqQ8frFve9Fve9Ff0dmeaabaqaciaacaGaaeqa baqabeGadaaakeaaqaaaaaaaaaWdbiaadkfadaqadaWdaeaapeGaam iwaiaacYcacqaH1oqzaiaawIcacaGLPaaaaaa@36DE@  множество –  ε-птимальных ситуаций. При наличии неопределенных факторов мягкое множество стратегий задается следующим способом:

Q(C,ε) = {cC π (c)R(π(c),ε)}, MathType@MTEF@5@5@+= feaahGart1ev3aaatCvAUfeBSjuyZL2yd9gzLbvyNv2CaerbuLwBLn hiov2DGi1BTfMBaeXatLxBI9gBaerbd9wDYLwzYbItLDharqqtubsr 4rNCHbGeaGqiVu0Je9sqqrpepC0xbbL8F4rqqrFfpeea0xe9Lq=Jc9 vqaqpepm0xbba9pwe9Q8fs0=yqaqpepae9pg0FirpepeKkFr0xfr=x fr=xb9adbaqaaeGaciGaaiaabeqaamaabaabaaGcbaGaamyuaiaacI cacaWGdbGaaiilaiabew7aLjaacMcacaqGGaGaeyypa0Jaaeiiaiaa cUhacaWGJbGaeyicI4Saam4qamaaeeaabaGaeqiWdahacaGLhWoaca GGOaGaam4yaiaacMcacqGHiiIZcaWGsbGaaiikaiabec8aWjaacIca caWGJbGaaiykaiaacYcacqaH1oqzcaGGPaGaaiyFaiaacYcaaaa@5310@

где C – множество стратегий лица принимающего решение, π:CP P MathType@MTEF@5@5@+= feaahGart1ev3aqatCvAUfeBSjuyZL2yd9gzLbvyNv2Caerbov2D09 MBdbqedmvETj2BSbqeeuuDJXwAKbsr4rNCHbGeaGqik8fkY=xipgYl h9vqqj=hEeeu0xXdi9arFj0xirFj0dXdbba91qpK0=yr0RYxfr=Jbb f9q8aq0=yq=He9q8qqQ8frFve9Fve9Ff0dmeaabaqaciaacaGaaeqa baqabeGadaaakeaaqaaaaaaaaaWdbiabec8aWjaacQdacaWGdbGaey OKH46efv3ySLgznfgDOfdaryqr1ngBPrginfgDObYtUvgaiqaacqWF pepudaqadaWdaeaapeGaamiuaaGaayjkaiaawMcaaaaa@4436@ . Определяется понятие гладкость, являющееся аналогом непрерывности функции. (По утверждению автора, каждая мягкая функция порождает свою топологию и переход к мягкой функции делает проблему устойчивой.) Обычно под устойчивостью функции понимается малое изменение значения функции при малом изменении значения ее аргумента. Но отсутствие устойчивости характерно для многих явлений в физике, экономике и других областях. Непрерывность мягких отображений, аналогично классической непрерывности отображений, позволяет обосновывать замену задачи поиска решений по приближенной информации и применение приближенных численных методов.

Но следует отметить, что быстрое развитие аппарата теории мягких множеств повлекло за собой некоторые сложности с корректным описанием операций над мягкими множествами. Изначально операции с мягкими множествами были определены как

Θ(( S , A),( S ,B)) = (S, A ×B), MathType@MTEF@5@5@+= feaahGart1ev3aaatCvAUfeBSjuyZL2yd9gzLbvyNv2CaerbuLwBLn hiov2DGi1BTfMBaeXatLxBI9gBaerbd9wDYLwzYbItLDharqqtubsr 4rNCHbGeaGqiVu0Je9sqqrpepC0xbbL8F4rqqrFfpeea0xe9Lq=Jc9 vqaqpepm0xbba9pwe9Q8fs0=yqaqpepae9pg0FirpepeKkFr0xfr=x fr=xb9adbaqaaeGaciGaaiaabeqaamaabaabaaGcbaGaeuiMdeLaai ikaiaacIcaceWGtbGbauaacaGGSaGaaeiiaiaadgeacaGGPaGaaiil aiaacIcaceWGtbGbayaacaGGSaGaamOqaiaacMcacaGGPaGaaeiiai abg2da9iaabccacaGGOaGaam4uaiaacYcacaqGGaGaamyqaiaabcca cqGHxdaTcaWGcbGaaiykaiaacYcaaaa@4C49@

где S (α,β) =Θ( S , α , S , β ) MathType@MTEF@5@5@+= feaahGart1ev3aaatCvAUfeBSjuyZL2yd9gzLbvyNv2CaerbuLwBLn hiov2DGi1BTfMBaeXatLxBI9gBaerbd9wDYLwzYbItLDharqqtubsr 4rNCHbGeaGqiVu0Je9sqqrpepC0xbbL8F4rqqrFfpeea0xe9Lq=Jc9 vqaqpepm0xbba9pwe9Q8fs0=yqaqpepae9pg0FirpepeKkFr0xfr=x fr=xb9adbaqaaeGaciGaaiaabeqaamaabaabaaGcbaGaam4uaiaabc cacaGGOaGaeqySdeMaaiilaiabek7aIjaacMcacaqGGaGaeyypa0Ja euiMdeLaaiikaiqadofagaqbaiaacYcadaqadaqaaiabeg7aHbGaay jkaiaawMcaaiaacYcaceWGtbGbayaacaGGSaWaaeWaaeaacqaHYoGy aiaawIcacaGLPaaacaGGPaaaaa@4B5F@  , αA MathType@MTEF@5@5@+= feaahGart1ev3aqatCvAUfeBSjuyZL2yd9gzLbvyNv2Caerbov2D09 MBdbqedmvETj2BSbqeeuuDJXwAKbsr4rNCHbGeaGqik8fkY=xipgYl h9vqqj=hEeeu0xXdi9arFj0xirFj0dXdbba91qpK0=yr0RYxfr=Jbb f9q8aq0=yq=He9q8qqQ8frFve9Fve9Ff0dmeaabaqaciaacaGaaeqa baqabeGadaaakeaaqaaaaaaaaaWdbiabeg7aHjabgIGiolaadgeaaa a@3514@ , βB MathType@MTEF@5@5@+= feaahGart1ev3aqatCvAUfeBSjuyZL2yd9gzLbvyNv2Caerbov2D09 MBdbqedmvETj2BSbqeeuuDJXwAKbsr4rNCHbGeaGqik8fkY=xipgYl h9vqqj=hEeeu0xXdi9arFj0xirFj0dXdbba91qpK0=yr0RYxfr=Jbb f9q8aq0=yq=He9q8qqQ8frFve9Fve9Ff0dmeaabaqaciaacaGaaeqa baqabeGadaaakeaaqaaaaaaaaaWdbiabek7aIjabgIGiolaadkeaaa a@3517@ . При этом получается результирующее мягкое множество, параметризованное парой параметров α MathType@MTEF@5@5@+= feaahGart1ev3aqatCvAUfeBSjuyZL2yd9gzLbvyNv2Caerbov2D09 MBdbqedmvETj2BSbqeeuuDJXwAKbsr4rNCHbGeaGqik8fkY=xipgYl h9vqqj=hEeeu0xXdi9arFj0xirFj0dXdbba91qpK0=yr0RYxfr=Jbb f9q8aq0=yq=He9q8qqQ8frFve9Fve9Ff0dmeaabaqaciaacaGaaeqa baqabeGadaaakeaaqaaaaaaaaaWdbiabeg7aHbaa@32CA@ , β MathType@MTEF@5@5@+= feaahGart1ev3aqatCvAUfeBSjuyZL2yd9gzLbvyNv2Caerbov2D09 MBdbqedmvETj2BSbqeeuuDJXwAKbsr4rNCHbGeaGqik8fkY=xipgYl h9vqqj=hEeeu0xXdi9arFj0xirFj0dXdbba91qpK0=yr0RYxfr=Jbb f9q8aq0=yq=He9q8qqQ8frFve9Fve9Ff0dmeaabaqaciaacaGaaeqa baqabeGadaaakeaaqaaaaaaaaaWdbiabek7aIbaa@32CC@ . Различные их виды вводились в [8–10]. Но некоторые утверждения, приведенные в [9], оказываются неверны [10, 11]. Поэтому в [10] вводятся новые понятия: ограниченное объединение, ограниченное пересечение и др., причем показывается, что для новых понятий законы де Моргана справедливы.

Возвращение к этой теме и определение того, какие операции над мягкими множествами являются корректными, было предпринято Молодцовым в [12].

Определение 4 [12]. Если задано мягкое множество (S, A), то задано семейство S S,A = S a |aA MathType@MTEF@5@5@+= feaahGart1ev3aqatCvAUfeBSjuyZL2yd9gzLbvyNv2Caerbov2D09 MBdbqedmvETj2BSbqeeuuDJXwAKbsr4rNCHbGeaGqik8fkY=xipgYl h9vqqj=hEeeu0xXdi9arFj0xirFj0dXdbba91qpK0=yr0RYxfr=Jbb f9q8aq0=yq=He9q8qqQ8frFve9Fve9Ff0dmeaabaqaciaacaGaaeqa baqabeGadaaakeaatuuDJXwAKzKCHTgD1jharyqr1ngBPrgigjxyRr xDYbaceaaeaaaaaaaaa8qacqWFsa=udaqadaWdaeaapeGaam4uaiaa cYcacaWGbbaacaGLOaGaayzkaaGaeyypa0ZaaiWaa8aabaWdbiaado fadaqadaWdaeaapeGaamyyaaGaayjkaiaawMcaaiaaykW7caqG8bGa aGPaVlaadggacqGHiiIZcaWGbbaacaGL7bGaayzFaaaaaa@4FBC@ . Два мягких множества (S, A), (S', A'), определенных над универсальным множеством X называются эквивалентными тогда и только тогда, когда S S,A =S S , A MathType@MTEF@5@5@+= feaahGart1ev3aqatCvAUfeBSjuyZL2yd9gzLbvyNv2Caerbov2D09 MBdbqedmvETj2BSbqeeuuDJXwAKbsr4rNCHbGeaGqik8fkY=xipgYl h9vqqj=hEeeu0xXdi9arFj0xirFj0dXdbba91qpK0=yr0RYxfr=Jbb f9q8aq0=yq=He9q8qqQ8frFve9Fve9Ff0dmeaabaqaciaacaGaaeqa baqabeGadaaakeaatuuDJXwAKzKCHTgD1jharyqr1ngBPrgigjxyRr xDYbaceaaeaaaaaaaaa8qacqWFsa=udaqadaWdaeaapeGaam4uaiaa cYcacaWGbbaacaGLOaGaayzkaaGaeyypa0Jae8NeWp1aaeWaa8aaba WdbiqadofapaGbauaapeGaaiilaiqadgeapaGbauaaa8qacaGLOaGa ayzkaaaaaa@48E7@ . Эквивалентные мягкие множества запишем как S,A S , A MathType@MTEF@5@5@+= feaahGart1ev3aqatCvAUfeBSjuyZL2yd9gzLbvyNv2Caerbov2D09 MBdbqedmvETj2BSbqeeuuDJXwAKbsr4rNCHbGeaGqik8fkY=xipgYl h9vqqj=hEeeu0xXdi9arFj0xirFj0dXdbba91qpK0=yr0RYxfr=Jbb f9q8aq0=yq=He9q8qqQ8frFve9Fve9Ff0dmeaabaqaciaacaGaaeqa baqabeGadaaakeaaqaaaaaaaaaWdbmaabmaapaqaa8qacaWGtbGaai ilaiaadgeaaiaawIcacaGLPaaacqGHfjcqdaqadaWdaeaapeGabm4u a8aagaqba8qacaGGSaGabmyqa8aagaqbaaWdbiaawIcacaGLPaaaaa a@3AA0@ .

Сформулировано понятие корректности операций над мягкими множествами.

Определение 5 [12]. Унарная операция Ф азывается корректной, если для любой пары эквивалентных мягких множеств (S, A), (S', A'), заданных над универсальным множеством U, выполнено Ф(S, A)Ф( S ,  A ) MathType@MTEF@5@5@+= feaahGart1ev3aaatCvAUfeBSjuyZL2yd9gzLbvyNv2CaerbuLwBLn hiov2DGi1BTfMBaeXatLxBI9gBaerbd9wDYLwzYbItLDharqqtubsr 4rNCHbGeaGqiVu0Je9sqqrpepC0xbbL8F4rqqrFfpeea0xe9Lq=Jc9 vqaqpepm0xbba9pwe9Q8fs0=yqaqpepae9pg0FirpepeKkFr0xfr=x fr=xb9adbaqaaeGaciGaaiaabeqaamaabaabaaGcbaGaaeijeiaacI cacaWGtbGaaiilaiaabccacaWGbbGaaiykaiabgwKiajaabscbcaGG OaGabm4uayaafaGaaiilaiaabccaceWGbbGbayaacaGGPaaaaa@412D@ .

Определение 6 [12]. Бинарная операция Θ называется корректной, если для любой четверки попарно эквивалентных мягких множеств S,A S , A MathType@MTEF@5@5@+= feaahGart1ev3aqatCvAUfeBSjuyZL2yd9gzLbvyNv2Caerbov2D09 MBdbqedmvETj2BSbqeeuuDJXwAKbsr4rNCHbGeaGqik8fkY=xipgYl h9vqqj=hEeeu0xXdi9arFj0xirFj0dXdbba91qpK0=yr0RYxfr=Jbb f9q8aq0=yq=He9q8qqQ8frFve9Fve9Ff0dmeaabaqaciaacaGaaeqa baqabeGadaaakeaaqaaaaaaaaaWdbmaabmaapaqaa8qacaWGtbGaai ilaiaadgeaaiaawIcacaGLPaaacqGHfjcqdaqadaWdaeaapeGabm4u a8aagaqba8qacaGGSaGabmyqa8aagaqbaaWdbiaawIcacaGLPaaaaa a@3AA0@ , T,B T , B MathType@MTEF@5@5@+= feaahGart1ev3aqatCvAUfeBSjuyZL2yd9gzLbvyNv2Caerbov2D09 MBdbqedmvETj2BSbqeeuuDJXwAKbsr4rNCHbGeaGqik8fkY=xipgYl h9vqqj=hEeeu0xXdi9arFj0xirFj0dXdbba91qpK0=yr0RYxfr=Jbb f9q8aq0=yq=He9q8qqQ8frFve9Fve9Ff0dmeaabaqaciaacaGaaeqa baqabeGadaaakeaaqaaaaaaaaaWdbmaabmaapaqaa8qacaWGubGaai ilaiaadkeaaiaawIcacaGLPaaacqGHfjcqdaqadaWdaeaapeGabmiv a8aagaqba8qacaGGSaGabmOqa8aagaqbaaWdbiaawIcacaGLPaaaaa a@3AA4@ , заданных над универсальным множеством U, выполнено Θ((S,A,),(T,B,))Θ(( S , A ,),( T , B )). MathType@MTEF@5@5@+= feaahGart1ev3aqatCvAUfeBSjuyZL2yd9gzLbvyNv2CaerbuLwBLn hiov2DGi1BTfMBaeXatLxBI9gBaerbd9wDYLwzYbItLDharqqtubsr 4rNCHbGeaGqiVu0Je9sqqrpepC0xbbL8F4rqqrFfpeea0xe9Lq=Jc9 vqaqpepm0xbba9pwe9Q8fs0=yqaqpepae9pg0FirpepeKkFr0xfr=x fr=xb9adbaqaaeGaciGaaiaabeqaamaabaabaaGcbaGaeuiMdeLaai ikaiaacIcacaWGtbGaaiilaiaadgeacaGGSaGaaiykaiaacYcacaGG OaGaamivaiaacYcacaWGcbGaaiilaiaacMcacaGGPaGaeyyrIaKaeu iMdeLaaiikaiaacIcaceWGtbGbauaacaGGSaGabmyqayaafaGaaiil aiaacMcacaGGSaGaaiikaiqadsfagaqbaiaacYcaceWGcbGbauaaca GGPaGaaiykaiaac6caaaa@4FBD@

2. Мягкий анализ. На основе мягких множеств разработан мягкий анализ. В [2] предпринимается попытка сформулировать аппарат анализа, основанный на теории мягких множеств: мягкие верхний и нижний пределы, мягкое приближение (аналог дифференциала), мягкие аналоги интеграла. Особый интерес представляет доказательство идентичности мягких аналогов интеграла по Риману и по Перрону.

Определение 7 [2]. Мягким верхним ε,τ MathType@MTEF@5@5@+= feaahGart1ev3aqatCvAUfeBSjuyZL2yd9gzLbvyNv2Caerbov2D09 MBdbqedmvETj2BSbqeeuuDJXwAKbsr4rNCHbGeaGqik8fkY=xipgYl h9vqqj=hEeeu0xXdi9arFj0xirFj0dXdbba91qpK0=yr0RYxfr=Jbb f9q8aq0=yq=He9q8qqQ8frFve9Fve9Ff0dmeaabaqaciaacaGaaeqa baqabeGadaaakeaaqaaaaaaaaaWdbmaabmaapaqaa8qacqaH1oqzca GGSaGaeqiXdqhacaGLOaGaayzkaaaaaa@36EF@  -пределом функции f в точке x называется множество

Softlimit ¯ f,ε,τ x = v f(y)v+ε,yτ x , MathType@MTEF@5@5@+= feaahGart1ev3aqatCvAUfeBSjuyZL2yd9gzLbvyNv2CaerbuLwBLn hiov2DGi1BTfMBaeXatLxBI9gBaerbd9wDYLwzYbItLDharqqtubsr 4rNCHbGeaGqiVu0Je9sqqrpepC0xbbL8F4rqqrFfpeea0xe9Lq=Jc9 vqaqpepm0xbba9pwe9Q8fs0=yqaqpepae9pg0FirpepeKkFr0xfr=x fr=xb9adbaqaaeGaciGaaiaabeqaamaabaabaaGcbaWaa0aaaeaaca qGtbGaae4BaiaabAgacaqG0bGaaeiBaiaabMgacaqGTbGaaeyAaiaa bshaaaWaamWaaeaacaWGMbGaaiilaiabew7aLjaacYcacqaHepaDai aawUfacaGLDbaadaqadaqaaiaadIhaaiaawIcacaGLPaaacqGH9aqp daGadaqaaiaadAhacqGHiiIZdaabcaqaaiabl2riHcGaayjcSdGaam OzaiaacIcacaWG5bGaaiykaiabgsMiJkaadAhacqGHRaWkcqaH1oqz caGGSaGaeyiaIiIaamyEaiabgIGiolabes8a0naabmaabaGaamiEaa GaayjkaiaawMcaaaGaay5Eaiaaw2haaiaacYcaaaa@62C2@

а мягким нижним ε,τ MathType@MTEF@5@5@+= feaahGart1ev3aqatCvAUfeBSjuyZL2yd9gzLbvyNv2Caerbov2D09 MBdbqedmvETj2BSbqeeuuDJXwAKbsr4rNCHbGeaGqik8fkY=xipgYl h9vqqj=hEeeu0xXdi9arFj0xirFj0dXdbba91qpK0=yr0RYxfr=Jbb f9q8aq0=yq=He9q8qqQ8frFve9Fve9Ff0dmeaabaqaciaacaGaaeqa baqabeGadaaakeaaqaaaaaaaaaWdbmaabmaapaqaa8qacqaH1oqzca GGSaGaeqiXdqhacaGLOaGaayzkaaaaaa@36EF@  -пределом функции f в точке x множество

Softlimit ¯ f,ε,τ x = v f(y)vε,yτ x , MathType@MTEF@5@5@+= feaahGart1ev3aqatCvAUfeBSjuyZL2yd9gzLbvyNv2CaerbuLwBLn hiov2DGi1BTfMBaeXatLxBI9gBaerbd9wDYLwzYbItLDharqqtubsr 4rNCHbGeaGqiVu0Je9sqqrpepC0xbbL8F4rqqrFfpeea0xe9Lq=Jc9 vqaqpepm0xbba9pwe9Q8fs0=yqaqpepae9pg0FirpepeKkFr0xfr=x fr=xb9adbaqaaeGaciGaaiaabeqaamaabaabaaGcbaWaa0aaaeaaca qGtbGaae4BaiaabAgacaqG0bGaaeiBaiaabMgacaqGTbGaaeyAaiaa bshaaaWaamWaaeaacaWGMbGaaiilaiabew7aLjaacYcacqaHepaDai aawUfacaGLDbaadaqadaqaaiaadIhaaiaawIcacaGLPaaacqGH9aqp daGadaqaaiaadAhacqGHiiIZdaabcaqaaiabl2riHcGaayjcSdGaam OzaiaacIcacaWG5bGaaiykaiabgwMiZkaadAhacqGHsislcqaH1oqz caGGSaGaeyiaIiIaamyEaiabgIGiolabes8a0naabmaabaGaamiEaa GaayjkaiaawMcaaaGaay5Eaiaaw2haaiaacYcaaaa@62DE@

Множество

Softlimit ¯ f,α,β,τ x = v vαf(y)v+β,yτ x , MathType@MTEF@5@5@+= feaahGart1ev3aqatCvAUfeBSjuyZL2yd9gzLbvyNv2CaerbuLwBLn hiov2DGi1BTfMBaeXatLxBI9gBaerbd9wDYLwzYbItLDharqqtubsr 4rNCHbGeaGqiVu0Je9sqqrpepC0xbbL8F4rqqrFfpeea0xe9Lq=Jc9 vqaqpepm0xbba9pwe9Q8fs0=yqaqpepae9pg0FirpepeKkFr0xfr=x fr=xb9adbaqaaeGaciGaaiaabeqaamaabaabaaGcbaWaa0aaaeaaca qGtbGaae4BaiaabAgacaqG0bGaaeiBaiaabMgacaqGTbGaaeyAaiaa bshaaaWaamWaaeaacaWGMbGaaiilaiabeg7aHjaacYcacqaHYoGyca GGSaGaeqiXdqhacaGLBbGaayzxaaWaaeWaaeaacaWG4baacaGLOaGa ayzkaaGaeyypa0ZaaiWaaeaacaWG2bGaeyicI48aaqGaaeaacqWIDe sOaiaawIa7aiaadAhacqGHsislcqaHXoqycqGHKjYOcaWGMbGaaiik aiaadMhacaGGPaGaeyizImQaamODaiabgUcaRiabek7aIjaacYcacq GHaiIicaWG5bGaeyicI4SaeqiXdq3aaeWaaeaacaWG4baacaGLOaGa ayzkaaaacaGL7bGaayzFaaGaaiilaaaa@6A41@

называется мягким (α, β, τ)-пределом функции f в точке x.

Определение 8 [2]. Множество

D ¯ f,α,β,τ x = v|f y f x + v+α x yx +β x ,yτ x MathType@MTEF@5@5@+= feaahGart1ev3aqatCvAUfeBSjuyZL2yd9gzLbvyNv2Caerbov2D09 MBdbqedmvETj2BSbqeeuuDJXwAKbsr4rNCHbGeaGqik8fkY=xipgYl h9vqqj=hEeeu0xXdi9arFj0xirFj0dXdbba91qpK0=yr0RYxfr=Jbb f9q8aq0=yq=He9q8qqQ8frFve9Fve9Ff0dmeaabaqaciaacaGaaeqa baqabeGadaaakeaaqaaaaaaaaaWdbiqadseapaGbaebapeWaamWaa8 aabaWdbiaadAgacaGGSaGaeqySdeMaaiilaiabek7aIjaacYcacqaH epaDaiaawUfacaGLDbaadaqadaWdaeaapeGaamiEaaGaayjkaiaawM caaiabg2da9maacmaapaqaa8qacaWG2bGaeyicI48efv3ySLgznfgD Ojdaryqr1ngBPrginfgDObcv39gaiqaacqWFDeIucaaMc8UaaeiFai aaykW7caWGMbWaaeWaa8aabaWdbiaadMhaaiaawIcacaGLPaaacqGH KjYOcaWGMbWaaeWaa8aabaWdbiaadIhaaiaawIcacaGLPaaacqGHRa WkdaqadaWdaeaapeGaamODaiabgUcaRiabeg7aHnaabmaapaqaa8qa caWG4baacaGLOaGaayzkaaaacaGLOaGaayzkaaWaaeWaa8aabaWdbi aadMhacqGHsislcaWG4baacaGLOaGaayzkaaGaey4kaSIaeqOSdi2a aeWaa8aabaWdbiaadIhaaiaawIcacaGLPaaacaGGSaGaeyiaIiIaam yEaiabgIGiolabes8a0naabmaapaqaa8qacaWG4baacaGLOaGaayzk aaaacaGL7bGaayzFaaaaaa@7727@

называется верхним (α, β, τ)-приближением функции f в точке x, а множество

D _ f,α,β,τ x = v|f y f x + vα x yx β x ,yτ x MathType@MTEF@5@5@+= feaahGart1ev3aqatCvAUfeBSjuyZL2yd9gzLbvyNv2Caerbov2D09 MBdbqedmvETj2BSbqeeuuDJXwAKbsr4rNCHbGeaGqik8fkY=xipgYl h9vqqj=hEeeu0xXdi9arFj0xirFj0dXdbba91qpK0=yr0RYxfr=Jbb f9q8aq0=yq=He9q8qqQ8frFve9Fve9Ff0dmeaabaqaciaacaGaaeqa baqabeGadaaakeaaqaaaaaaaaaWdbiqadseapaGba0bapeWaamWaa8 aabaWdbiaadAgacaGGSaGaeqySdeMaaiilaiabek7aIjaacYcacqaH epaDaiaawUfacaGLDbaadaqadaWdaeaapeGaamiEaaGaayjkaiaawM caaiabg2da9maacmaapaqaa8qacaWG2bGaeyicI48efv3ySLgznfgD Ojdaryqr1ngBPrginfgDObcv39gaiqaacqWFDeIucaaMc8UaaeiFai aaykW7caWGMbWaaeWaa8aabaWdbiaadMhaaiaawIcacaGLPaaacqGH LjYScaWGMbWaaeWaa8aabaWdbiaadIhaaiaawIcacaGLPaaacqGHRa WkdaqadaWdaeaapeGaamODaiabgkHiTiabeg7aHnaabmaapaqaa8qa caWG4baacaGLOaGaayzkaaaacaGLOaGaayzkaaWaaeWaa8aabaWdbi aadMhacqGHsislcaWG4baacaGLOaGaayzkaaGaeyOeI0IaeqOSdi2a aeWaa8aabaWdbiaadIhaaiaawIcacaGLPaaacaGGSaGaeyiaIiIaam yEaiabgIGiolabes8a0naabmaapaqaa8qacaWG4baacaGLOaGaayzk aaaacaGL7bGaayzFaaaaaa@775A@

нижним (α, β, τ)-пределом функции f в точке x.

Набор верхних и нижних (α, β, τ)-приближений образует верхние и нижние мягкие приближения. Под мягким приближением D подразумевается пересечение верних и нижних мягких приближений:

D f,α,β,γ,δ,τ = D ¯ f,α,β,τ x D _ f,γ,δ,τ x . MathType@MTEF@5@5@+= feaahGart1ev3aqatCvAUfeBSjuyZL2yd9gzLbvyNv2Caerbov2D09 MBdbqedmvETj2BSbqeeuuDJXwAKbsr4rNCHbGeaGqik8fkY=xipgYl h9vqqj=hEeeu0xXdi9arFj0xirFj0dXdbba91qpK0=yr0RYxfr=Jbb f9q8aq0=yq=He9q8qqQ8frFve9Fve9Ff0dmeaabaqaciaacaGaaeqa baqabeGadaaakeaaqaaaaaaaaaWdbiaadseadaWadaWdaeaapeGaam OzaiaacYcacqaHXoqycaGGSaGaeqOSdiMaaiilaiabeo7aNjaacYca cqaH0oazcaGGSaGaeqiXdqhacaGLBbGaayzxaaGaeyypa0Jabmira8 aagaqea8qadaWadaWdaeaapeGaamOzaiaacYcacqaHXoqycaGGSaGa eqOSdiMaaiilaiabes8a0bGaay5waiaaw2faamaabmaapaqaa8qaca WG4baacaGLOaGaayzkaaGaeyykICSabmira8aagaqha8qadaWadaWd aeaapeGaamOzaiaacYcacqaHZoWzcaGGSaGaeqiTdqMaaiilaiabes 8a0bGaay5waiaaw2faamaabmaapaqaa8qacaWG4baacaGLOaGaayzk aaGaaiOlaaaa@5F8B@

В дальнейшем разработанный аппарат анализа был применен для формулировки оптимизационных задач [13].

3. Рациональный анализ. Обобщением полученных результатов в области мягкого анализа является серия работ, посвященная началам рационального анализа. Так как при численном решении задач найденные значения являются лишь приближениями к иррациональностям, то логичным шагом стало использование мягких множеств аппарата, предназначенного для работы с неопределенностями, для построения анализа на базе рациональных чисел.

Так, в работе [14] вводится понятие рационального числа.

Определение 9 [14]. Мягким рациональным числом называется пара (S, A), где S отображение S:A 2 . MathType@MTEF@5@5@+= feaahGart1ev3aqatCvAUfeBSjuyZL2yd9gzLbvyNv2Caerbov2D09 MBdbqedmvETj2BSbqeeuuDJXwAKbsr4rNCHbGeaGqik8fkY=xipgYl h9vqqj=hEeeu0xXdi9arFj0xirFj0dXdbba91qpK0=yr0RYxfr=Jbb f9q8aq0=yq=He9q8qqQ8frFve9Fve9Ff0dmeaabaqaciaacaGaaeqa baqabeGadaaakeaaqaaaaaaaaaWdbiaadofacaGG6aGaamyqaiabgk ziUkaaikdapaWaaWbaaSqabeaatuuDJXwAK1uy0HMmaeHbfv3ySLgz G0uy0HgiuD3BaGaba8qacqWFAesuaaGccaGGUaaaaa@41EB@  

Как отмечено еще в [2], каждое мягкое отображение описывает свою собственную топологию. Далее последовательно даются определения в терминах мягких множеств верхней и нижней граней множества рациональных чисел, минимального и максимального элементов, окрестности множества. На этой основе формулируется понятие мягкого предела рациональной функции и мягкой непрерывности.

Определение 10 [14]. Отображение τ: 2 MathType@MTEF@5@5@+= feaahGart1ev3aqatCvAUfeBSjuyZL2yd9gzLbvyNv2Caerbov2D09 MBdbqedmvETj2BSbqeeuuDJXwAKbsr4rNCHbGeaGqik8fkY=xipgYl h9vqqj=hEeeu0xXdi9arFj0xirFj0dXdbba91qpK0=yr0RYxfr=Jbb f9q8aq0=yq=He9q8qqQ8frFve9Fve9Ff0dmeaabaqaciaacaGaaeqa baqabeGadaaakeaaqaaaaaaaaaWdbiabes8a0jaacQdatuuDJXwAK1 uy0HMmaeHbfv3ySLgzG0uy0HgiuD3BaGabaiab=PrirjabgkziUkaa ikdapaWaaWbaaSqabeaapeGae8NgHefaaaaa@4267@ , для которых Dom τ = MathType@MTEF@5@5@+= feaahGart1ev3aqatCvAUfeBSjuyZL2yd9gzLbvyNv2Caerbov2D09 MBdbqedmvETj2BSbqeeuuDJXwAKbsr4rNCHbGeaGqik8fkY=xipgYl h9vqqj=hEeeu0xXdi9arFj0xirFj0dXdbba91qpK0=yr0RYxfr=Jbb f9q8aq0=yq=He9q8qqQ8frFve9Fve9Ff0dmeaabaqaciaacaGaaeqa baqabeGadaaakeaaqaaaaaaaaaWdbiaadseacaWGVbGaamyBamaabm aapaqaa8qacqaHepaDaiaawIcacaGLPaaacqGH9aqptuuDJXwAK1uy 0HMmaeHbfv3ySLgzG0uy0HgiuD3BaGabaiab=Prirbaa@4300@ , называется отображением близости. Значение отображения близости интерпретируется как множество точек, τ MathType@MTEF@5@5@+= feaahGart1ev3aqatCvAUfeBSjuyZL2yd9gzLbvyNv2Caerbov2D09 MBdbqedmvETj2BSbqeeuuDJXwAKbsr4rNCHbGeaGqik8fkY=xipgYl h9vqqj=hEeeu0xXdi9arFj0xirFj0dXdbba91qpK0=yr0RYxfr=Jbb f9q8aq0=yq=He9q8qqQ8frFve9Fve9Ff0dmeaabaqaciaacaGaaeqa baqabeGadaaakeaaqaaaaaaaaaWdbiabes8a0baa@32F0@  -близких к точке x. Множество отображений близости обозначается = τ|τ ,2 MathType@MTEF@5@5@+= feaahGart1ev3aqatCvAUfeBSjuyZL2yd9gzLbvyNv2Caerbov2D09 MBdbqedmvETj2BSbqeeuuDJXwAKbsr4rNCHbGeaGqik8fkY=xipgYl h9vqqj=hEeeu0xXdi9arFj0xirFj0dXdbba91qpK0=yr0RYxfr=Jbb f9q8aq0=yq=He9q8qqQ8frFve9Fve9Ff0dmeaabaqaciaacaGaaeqa baqabeGadaaakeaatuuDJXwAK1uy0HMmaeHbfv3ySLgzG0uy0HgiuD 3BaGabaabaaaaaaaaapeGae8xgHaLaeyypa0ZaaiWaa8aabaWdbiab es8a0jaaykW7caqG8bGaaGPaVlabes8a0jabgIGiopaabmaapaqaa8 qacqWFAesucaGGSaGaaGOma8aadaahaaWcbeqaa8qacqWFAesuaaaa kiaawIcacaGLPaaaaiaawUhacaGL9baaaaa@4DE1@ .

Определение 11 [14]. Обратное отображение τ : 2 MathType@MTEF@5@5@+= feaahGart1ev3aqatCvAUfeBSjuyZL2yd9gzLbvyNv2Caerbov2D09 MBdbqedmvETj2BSbqeeuuDJXwAKbsr4rNCHbGeaGqik8fkY=xipgYl h9vqqj=hEeeu0xXdi9arFj0xirFj0dXdbba91qpK0=yr0RYxfr=Jbb f9q8aq0=yq=He9q8qqQ8frFve9Fve9Ff0dmeaabaqaciaacaGaaeqa baqabeGadaaakeaaqaaaaaaaaaWdbiabes8a09aadaahaaWcbeqaa8 qacqGHqgcRaaGccaGG6aWefv3ySLgznfgDOjdaryqr1ngBPrginfgD Obcv39gaiqaacqWFAesucqGHsgIRcaaIYaWdamaaCaaaleqabaWdbi ab=Prirbaaaaa@44A6@  определяется как

τ y = x|yτ x . MathType@MTEF@5@5@+= feaahGart1ev3aqatCvAUfeBSjuyZL2yd9gzLbvyNv2Caerbov2D09 MBdbqedmvETj2BSbqeeuuDJXwAKbsr4rNCHbGeaGqik8fkY=xipgYl h9vqqj=hEeeu0xXdi9arFj0xirFj0dXdbba91qpK0=yr0RYxfr=Jbb f9q8aq0=yq=He9q8qqQ8frFve9Fve9Ff0dmeaabaqaciaacaGaaeqa baqabeGadaaakeaaqaaaaaaaaaWdbiabes8a09aadaahaaWcbeqaa8 qacqGHqgcRaaGcdaqadaWdaeaapeGaamyEaaGaayjkaiaawMcaaiab g2da9maacmaapaqaa8qacaWG4bGaeyicI48efv3ySLgznfgDOjdary qr1ngBPrginfgDObcv39gaiqaacqWFAesucaaMc8UaaeiFaiaaykW7 caWG5bGaeyicI4SaeqiXdq3aaeWaa8aabaWdbiaadIhaaiaawIcaca GLPaaaaiaawUhacaGL9baacaGGUaaaaa@5412@

Определение 12 [14]. Рассмотрим функцию fΦ MathType@MTEF@5@5@+= feaahGart1ev3aqatCvAUfeBSjuyZL2yd9gzLbvyNv2Caerbov2D09 MBdbqedmvETj2BSbqeeuuDJXwAKbsr4rNCHbGeaGqik8fkY=xipgYl h9vqqj=hEeeu0xXdi9arFj0xirFj0dXdbba91qpK0=yr0RYxfr=Jbb f9q8aq0=yq=He9q8qqQ8frFve9Fve9Ff0dmeaabaqaciaacaGaaeqa baqabeGadaaakeaaqaaaaaaaaaWdbiaadAgacqGHiiIZcqqHMoGraa a@3514@  c областью определения Dom f MathType@MTEF@5@5@+= feaahGart1ev3aqatCvAUfeBSjuyZL2yd9gzLbvyNv2Caerbov2D09 MBdbqedmvETj2BSbqeeuuDJXwAKbsr4rNCHbGeaGqik8fkY=xipgYl h9vqqj=hEeeu0xXdi9arFj0xirFj0dXdbba91qpK0=yr0RYxfr=Jbb f9q8aq0=yq=He9q8qqQ8frFve9Fve9Ff0dmeaabaqaciaacaGaaeqa baqabeGadaaakeaaqaaaaaaaaaWdbiaadseacaWGVbGaamyBamaabm aapaqaa8qacaWGMbaacaGLOaGaayzkaaGaeyOHI08efv3ySLgznfgD Ojdaryqr1ngBPrginfgDObcv39gaiqaacqWFAesuaaa@4321@  и μ MathType@MTEF@5@5@+= feaahGart1ev3aqatCvAUfeBSjuyZL2yd9gzLbvyNv2Caerbov2D09 MBdbqedmvETj2BSbqeeuuDJXwAKbsr4rNCHbGeaGqik8fkY=xipgYl h9vqqj=hEeeu0xXdi9arFj0xirFj0dXdbba91qpK0=yr0RYxfr=Jbb f9q8aq0=yq=He9q8qqQ8frFve9Fve9Ff0dmeaabaqaciaacaGaaeqa baqabeGadaaakeaaqaaaaaaaaaWdbiabeY7aTbaa@32E1@ , τ MathType@MTEF@5@5@+= feaahGart1ev3aqatCvAUfeBSjuyZL2yd9gzLbvyNv2Caerbov2D09 MBdbqedmvETj2BSbqeeuuDJXwAKbsr4rNCHbGeaGqik8fkY=xipgYl h9vqqj=hEeeu0xXdi9arFj0xirFj0dXdbba91qpK0=yr0RYxfr=Jbb f9q8aq0=yq=He9q8qqQ8frFve9Fve9Ff0dmeaabaqaciaacaGaaeqa baqabeGadaaakeaaqaaaaaaaaaWdbiabes8a0baa@32F0@  отображения близости. Число y MathType@MTEF@5@5@+= feaahGart1ev3aqatCvAUfeBSjuyZL2yd9gzLbvyNv2Caerbov2D09 MBdbqedmvETj2BSbqeeuuDJXwAKbsr4rNCHbGeaGqik8fkY=xipgYl h9vqqj=hEeeu0xXdi9arFj0xirFj0dXdbba91qpK0=yr0RYxfr=Jbb f9q8aq0=yq=He9q8qqQ8frFve9Fve9Ff0dmeaabaqaciaacaGaaeqa baqabeGadaaakeaaqaaaaaaaaaWdbiaadMhacqGHiiIZtuuDJXwAK1 uy0HMmaeHbfv3ySLgzG0uy0HgiuD3BaGabaiab=Prirbaa@3E60@  называется мягким τ,μ MathType@MTEF@5@5@+= feaahGart1ev3aqatCvAUfeBSjuyZL2yd9gzLbvyNv2Caerbov2D09 MBdbqedmvETj2BSbqeeuuDJXwAKbsr4rNCHbGeaGqik8fkY=xipgYl h9vqqj=hEeeu0xXdi9arFj0xirFj0dXdbba91qpK0=yr0RYxfr=Jbb f9q8aq0=yq=He9q8qqQ8frFve9Fve9Ff0dmeaabaqaciaacaGaaeqa baqabeGadaaakeaaqaaaaaaaaaWdbmaabmaapaqaa8qacqaHepaDca GGSaGaeqiVd0gacaGLOaGaayzkaaaaaa@36FE@  -пределом функции f в точке x MathType@MTEF@5@5@+= feaahGart1ev3aqatCvAUfeBSjuyZL2yd9gzLbvyNv2Caerbov2D09 MBdbqedmvETj2BSbqeeuuDJXwAKbsr4rNCHbGeaGqik8fkY=xipgYl h9vqqj=hEeeu0xXdi9arFj0xirFj0dXdbba91qpK0=yr0RYxfr=Jbb f9q8aq0=yq=He9q8qqQ8frFve9Fve9Ff0dmeaabaqaciaacaGaaeqa baqabeGadaaakeaaqaaaaaaaaaWdbiaadIhacqGHiiIZtuuDJXwAK1 uy0HMmaeHbfv3ySLgzG0uy0HgiuD3BaGabaiab=Prirbaa@3E5F@ , если fτ x μ y . MathType@MTEF@5@5@+= feaahGart1ev3aqatCvAUfeBSjuyZL2yd9gzLbvyNv2Caerbov2D09 MBdbqedmvETj2BSbqeeuuDJXwAKbsr4rNCHbGeaGqik8fkY=xipgYl h9vqqj=hEeeu0xXdi9arFj0xirFj0dXdbba91qpK0=yr0RYxfr=Jbb f9q8aq0=yq=He9q8qqQ8frFve9Fve9Ff0dmeaabaqaciaacaGaaeqa baqabeGadaaakeaaqaaaaaaaaaWdbiaadAgacqWIyiYBcqaHepaDda qadaWdaeaapeGaamiEaaGaayjkaiaawMcaaiabgAOinlabeY7aTnaa bmaapaqaa8qacaWG5baacaGLOaGaayzkaaGaaiOlaaaa@3EC9@

Определение 13 [14]. Функция f MathType@MTEF@5@5@+= feaahGart1ev3aqatCvAUfeBSjuyZL2yd9gzLbvyNv2Caerbov2D09 MBdbqedmvETj2BSbqeeuuDJXwAKbsr4rNCHbGeaGqik8fkY=xipgYl h9vqqj=hEeeu0xXdi9arFj0xirFj0dXdbba91qpK0=yr0RYxfr=Jbb f9q8aq0=yq=He9q8qqQ8frFve9Fve9Ff0dmeaabaqaciaacaGaaeqa baqabeGadaaakeaaqaaaaaaaaaWdbiaadAgaaaa@3216@  называется τ,μ MathType@MTEF@5@5@+= feaahGart1ev3aqatCvAUfeBSjuyZL2yd9gzLbvyNv2Caerbov2D09 MBdbqedmvETj2BSbqeeuuDJXwAKbsr4rNCHbGeaGqik8fkY=xipgYl h9vqqj=hEeeu0xXdi9arFj0xirFj0dXdbba91qpK0=yr0RYxfr=Jbb f9q8aq0=yq=He9q8qqQ8frFve9Fve9Ff0dmeaabaqaciaacaGaaeqa baqabeGadaaakeaaqaaaaaaaaaWdbmaabmaapaqaa8qacqaHepaDca GGSaGaeqiVd0gacaGLOaGaayzkaaaaaa@36FE@  -непрерывной в точке xDom f MathType@MTEF@5@5@+= feaahGart1ev3aqatCvAUfeBSjuyZL2yd9gzLbvyNv2Caerbov2D09 MBdbqedmvETj2BSbqeeuuDJXwAKbsr4rNCHbGeaGqik8fkY=xipgYl h9vqqj=hEeeu0xXdi9arFj0xirFj0dXdbba91qpK0=yr0RYxfr=Jbb f9q8aq0=yq=He9q8qqQ8frFve9Fve9Ff0dmeaabaqaciaacaGaaeqa baqabeGadaaakeaaqaaaaaaaaaWdbiaadIhacqGHiiIZcaWGebGaam 4Baiaad2gadaqadaWdaeaapeGaamOzaaGaayjkaiaawMcaaaaa@38EE@ ,  если справедливо включение fτ x μf x . MathType@MTEF@5@5@+= feaahGart1ev3aqatCvAUfeBSjuyZL2yd9gzLbvyNv2Caerbov2D09 MBdbqedmvETj2BSbqeeuuDJXwAKbsr4rNCHbGeaGqik8fkY=xipgYl h9vqqj=hEeeu0xXdi9arFj0xirFj0dXdbba91qpK0=yr0RYxfr=Jbb f9q8aq0=yq=He9q8qqQ8frFve9Fve9Ff0dmeaabaqaciaacaGaaeqa baqabeGadaaakeaaqaaaaaaaaaWdbiaadAgacqWIyiYBcqaHepaDda qadaWdaeaapeGaamiEaaGaayjkaiaawMcaaiabgAOinlabeY7aTjab lIHiVjaadAgadaqadaWdaeaapeGaamiEaaGaayjkaiaawMcaaiaac6 caaaa@40ED@

Определение 14 [14]. Функция f называется τ,π MathType@MTEF@5@5@+= feaahGart1ev3aqatCvAUfeBSjuyZL2yd9gzLbvyNv2Caerbov2D09 MBdbqedmvETj2BSbqeeuuDJXwAKbsr4rNCHbGeaGqik8fkY=xipgYl h9vqqj=hEeeu0xXdi9arFj0xirFj0dXdbba91qpK0=yr0RYxfr=Jbb f9q8aq0=yq=He9q8qqQ8frFve9Fve9Ff0dmeaabaqaciaacaGaaeqa baqabeGadaaakeaaqaaaaaaaaaWdbmaabmaapaqaa8qacqaHepaDca GGSaGaeqiWdahacaGLOaGaayzkaaaaaa@3705@  -непрерывной на множестве XDom f MathType@MTEF@5@5@+= feaahGart1ev3aqatCvAUfeBSjuyZL2yd9gzLbvyNv2Caerbov2D09 MBdbqedmvETj2BSbqeeuuDJXwAKbsr4rNCHbGeaGqik8fkY=xipgYl h9vqqj=hEeeu0xXdi9arFj0xirFj0dXdbba91qpK0=yr0RYxfr=Jbb f9q8aq0=yq=He9q8qqQ8frFve9Fve9Ff0dmeaabaqaciaacaGaaeqa baqabeGadaaakeaaqaaaaaaaaaWdbiaadIfacqGHgksZcaWGebGaam 4Baiaad2gadaqadaWdaeaapeGaamOzaaGaayjkaiaawMcaaaaa@394B@ , если для любого xX MathType@MTEF@5@5@+= feaahGart1ev3aqatCvAUfeBSjuyZL2yd9gzLbvyNv2Caerbov2D09 MBdbqedmvETj2BSbqeeuuDJXwAKbsr4rNCHbGeaGqik8fkY=xipgYl h9vqqj=hEeeu0xXdi9arFj0xirFj0dXdbba91qpK0=yr0RYxfr=Jbb f9q8aq0=yq=He9q8qqQ8frFve9Fve9Ff0dmeaabaqaciaacaGaaeqa baqabeGadaaakeaaqaaaaaaaaaWdbiaadIhacqGHiiIZcaWGybaaaa@3489@  верно включение fτ x π x f x MathType@MTEF@5@5@+= feaahGart1ev3aqatCvAUfeBSjuyZL2yd9gzLbvyNv2Caerbov2D09 MBdbqedmvETj2BSbqeeuuDJXwAKbsr4rNCHbGeaGqik8fkY=xipgYl h9vqqj=hEeeu0xXdi9arFj0xirFj0dXdbba91qpK0=yr0RYxfr=Jbb f9q8aq0=yq=He9q8qqQ8frFve9Fve9Ff0dmeaabaqaciaacaGaaeqa baqabeGadaaakeaaqaaaaaaaaaWdbiaadAgacqWIyiYBcqaHepaDda qadaWdaeaapeGaamiEaaGaayjkaiaawMcaaiabgAOinlabec8aWnaa dmaapaqaa8qacaWG4baacaGLBbGaayzxaaGaeSigI8MaamOzamaabm aapaqaa8qacaWG4baacaGLOaGaayzkaaaaaa@4350@ , где π MathType@MTEF@5@5@+= feaahGart1ev3aqatCvAUfeBSjuyZL2yd9gzLbvyNv2Caerbov2D09 MBdbqedmvETj2BSbqeeuuDJXwAKbsr4rNCHbGeaGqik8fkY=xipgYl h9vqqj=hEeeu0xXdi9arFj0xirFj0dXdbba91qpK0=yr0RYxfr=Jbb f9q8aq0=yq=He9q8qqQ8frFve9Fve9Ff0dmeaabaqaciaacaGaaeqa baqabeGadaaakeaaqaaaaaaaaaWdbiabec8aWbaa@32E8@  мягкое отображение близости π: MathType@MTEF@5@5@+= feaahGart1ev3aqatCvAUfeBSjuyZL2yd9gzLbvyNv2Caerbov2D09 MBdbqedmvETj2BSbqeeuuDJXwAKbsr4rNCHbGeaGqik8fkY=xipgYl h9vqqj=hEeeu0xXdi9arFj0xirFj0dXdbba91qpK0=yr0RYxfr=Jbb f9q8aq0=yq=He9q8qqQ8frFve9Fve9Ff0dmeaabaqaciaacaGaaeqa baqabeGadaaakeaaqaaaaaaaaaWdbiabec8aWjaacQdatuuDJXwAK1 uy0HMmaeHbfv3ySLgzG0uy0HgiuD3BaGabaiab=PrirjabgkziUkab =Lriqbaa@4155@ . Для того, чтобы отличить аргумент-параметр от аргумента-точки, в дальнейшем он будет указываться в квадратных скобках.

Дальнейшее развитие рационального анализа продолжилось в [15], где предлагаются два подхода к построению мягкой производной рациональной функции.

Первый способ основан на идее, что производная функции f в точке x должна характеризовать скорость изменения функции на множестве τ x MathType@MTEF@5@5@+= feaahGart1ev3aqatCvAUfeBSjuyZL2yd9gzLbvyNv2Caerbov2D09 MBdbqedmvETj2BSbqeeuuDJXwAKbsr4rNCHbGeaGqik8fkY=xipgYl h9vqqj=hEeeu0xXdi9arFj0xirFj0dXdbba91qpK0=yr0RYxfr=Jbb f9q8aq0=yq=He9q8qqQ8frFve9Fve9Ff0dmeaabaqaciaacaGaaeqa baqabeGadaaakeaaqaaaaaaaaaWdbiabes8a0naabmaapaqaa8qaca WG4baacaGLOaGaayzkaaaaaa@3595@ . Вторая идея заключается в подходе к производной как к угловому коэффициенту линейной функции, приближающей исходную функцию. Свойства полученных мягких производных и дифференциалов рассматриваются применительно к лемме Ферма о локальном экстремуме и показывается, что мягкий аналог леммы устойчив к возмущениям. Также в этой работе вводится понятие мягкого интеграла.

Определение 15 [14]. Последовательность чисел x= x 1 ,, x n MathType@MTEF@5@5@+= feaahGart1ev3aqatCvAUfeBSjuyZL2yd9gzLbvyNv2Caerbov2D09 MBdbqedmvETj2BSbqeeuuDJXwAKbsr4rNCHbGeaGqik8fkY=xipgYl h9vqqj=hEeeu0xXdi9arFj0xirFj0dXdbba91qpK0=yr0RYxfr=Jbb f9q8aq0=yq=He9q8qqQ8frFve9Fve9Ff0dmeaabaqaciaacaGaaeqa baqabeGadaaakeaaqaaaaaaaaaWdbiaadIhacqGH9aqpdaqadaWdae aapeGaamiEa8aadaWgaaWcbaWdbiaaigdaa8aabeaak8qacaGGSaGa eyOjGWRaaiilaiaadIhapaWaaSbaaSqaa8qacaWGUbaapaqabaaak8 qacaGLOaGaayzkaaaaaa@3C54@ , n>1 MathType@MTEF@5@5@+= feaahGart1ev3aqatCvAUfeBSjuyZL2yd9gzLbvyNv2Caerbov2D09 MBdbqedmvETj2BSbqeeuuDJXwAKbsr4rNCHbGeaGqik8fkY=xipgYl h9vqqj=hEeeu0xXdi9arFj0xirFj0dXdbba91qpK0=yr0RYxfr=Jbb f9q8aq0=yq=He9q8qqQ8frFve9Fve9Ff0dmeaabaqaciaacaGaaeqa baqabeGadaaakeaaqaaaaaaaaaWdbiaad6gacqGH+aGpcaaIXaaaaa@33E1@ , называется τ MathType@MTEF@5@5@+= feaahGart1ev3aqatCvAUfeBSjuyZL2yd9gzLbvyNv2Caerbov2D09 MBdbqedmvETj2BSbqeeuuDJXwAKbsr4rNCHbGeaGqik8fkY=xipgYl h9vqqj=hEeeu0xXdi9arFj0xirFj0dXdbba91qpK0=yr0RYxfr=Jbb f9q8aq0=yq=He9q8qqQ8frFve9Fve9Ff0dmeaabaqaciaacaGaaeqa baqabeGadaaakeaaqaaaaaaaaaWdbiabes8a0baa@32F0@  -путем,  если для любых i=1,,n1 MathType@MTEF@5@5@+= feaahGart1ev3aqatCvAUfeBSjuyZL2yd9gzLbvyNv2Caerbov2D09 MBdbqedmvETj2BSbqeeuuDJXwAKbsr4rNCHbGeaGqik8fkY=xipgYl h9vqqj=hEeeu0xXdi9arFj0xirFj0dXdbba91qpK0=yr0RYxfr=Jbb f9q8aq0=yq=He9q8qqQ8frFve9Fve9Ff0dmeaabaqaciaacaGaaeqa baqabeGadaaakeaaqaaaaaaaaaWdbiaadMgacqGH9aqpcaaIXaGaai ilaiabgAci8kaacYcacaWGUbGaeyOeI0IaaGymaaaa@3963@  выполнено x i+1 τ x i MathType@MTEF@5@5@+= feaahGart1ev3aqatCvAUfeBSjuyZL2yd9gzLbvyNv2Caerbov2D09 MBdbqedmvETj2BSbqeeuuDJXwAKbsr4rNCHbGeaGqik8fkY=xipgYl h9vqqj=hEeeu0xXdi9arFj0xirFj0dXdbba91qpK0=yr0RYxfr=Jbb f9q8aq0=yq=He9q8qqQ8frFve9Fve9Ff0dmeaabaqaciaacaGaaeqa baqabeGadaaakeaaqaaaaaaaaaWdbiaadIhapaWaaSbaaSqaa8qaca WGPbGaey4kaSIaaGymaaWdaeqaaOWdbiabgIGiolabes8a0naabmaa paqaa8qacaWG4bWdamaaBaaaleaapeGaamyAaaWdaeqaaaGcpeGaay jkaiaawMcaaaaa@3C77@ . Множество τ MathType@MTEF@5@5@+= feaahGart1ev3aqatCvAUfeBSjuyZL2yd9gzLbvyNv2Caerbov2D09 MBdbqedmvETj2BSbqeeuuDJXwAKbsr4rNCHbGeaGqik8fkY=xipgYl h9vqqj=hEeeu0xXdi9arFj0xirFj0dXdbba91qpK0=yr0RYxfr=Jbb f9q8aq0=yq=He9q8qqQ8frFve9Fve9Ff0dmeaabaqaciaacaGaaeqa baqabeGadaaakeaaqaaaaaaaaaWdbiabes8a0baa@32F0@  -путей с начальной точкой x MathType@MTEF@5@5@+= feaahGart1ev3aqatCvAUfeBSjuyZL2yd9gzLbvyNv2Caerbov2D09 MBdbqedmvETj2BSbqeeuuDJXwAKbsr4rNCHbGeaGqik8fkY=xipgYl h9vqqj=hEeeu0xXdi9arFj0xirFj0dXdbba91qpK0=yr0RYxfr=Jbb f9q8aq0=yq=He9q8qqQ8frFve9Fve9Ff0dmeaabaqaciaacaGaaeqa baqabeGadaaakeaaqaaaaaaaaaWdbiaadIhaaaa@3228@  и конечной точкой y MathType@MTEF@5@5@+= feaahGart1ev3aqatCvAUfeBSjuyZL2yd9gzLbvyNv2Caerbov2D09 MBdbqedmvETj2BSbqeeuuDJXwAKbsr4rNCHbGeaGqik8fkY=xipgYl h9vqqj=hEeeu0xXdi9arFj0xirFj0dXdbba91qpK0=yr0RYxfr=Jbb f9q8aq0=yq=He9q8qqQ8frFve9Fve9Ff0dmeaabaqaciaacaGaaeqa baqabeGadaaakeaaqaaaaaaaaaWdbiaadMhaaaa@3229@  обозначается Path Path»  x,y,τ MathType@MTEF@5@5@+= feaahGart1ev3aqatCvAUfeBSjuyZL2yd9gzLbvyNv2Caerbov2D09 MBdbqedmvETj2BSbqeeuuDJXwAKbsr4rNCHbGeaGqik8fkY=xipgYl h9vqqj=hEeeu0xXdi9arFj0xirFj0dXdbba91qpK0=yr0RYxfr=Jbb f9q8aq0=yq=He9q8qqQ8frFve9Fve9Ff0dmeaabaqaciaacaGaaeqa baqabeGadaaakeaaqaaaaaaaaaWdbiaadcfacaWGHbGaamiDaiaadI gacaqG7cGaaqoOamaabmaapaqaa8qacaWG4bGaaiilaiaadMhacaGG SaGaeqiXdqhacaGLOaGaayzkaaaaaa@3E58@ .

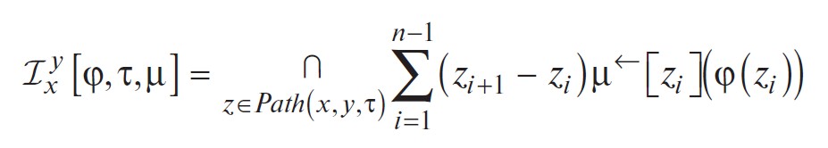
Определение 16 [15]. Множество

называется τ,μ MathType@MTEF@5@5@+= feaahGart1ev3aqatCvAUfeBSjuyZL2yd9gzLbvyNv2Caerbov2D09 MBdbqedmvETj2BSbqeeuuDJXwAKbsr4rNCHbGeaGqik8fkY=xipgYl h9vqqj=hEeeu0xXdi9arFj0xirFj0dXdbba91qpK0=yr0RYxfr=Jbb f9q8aq0=yq=He9q8qqQ8frFve9Fve9Ff0dmeaabaqaciaacaGaaeqa baqabeGadaaakeaaqaaaaaaaaaWdbmaabmaapaqaa8qacqaHepaDca GGSaGaeqiVd0gacaGLOaGaayzkaaaaaa@36FE@  -интегралом функции φ MathType@MTEF@5@5@+= feaahGart1ev3aqatCvAUfeBSjuyZL2yd9gzLbvyNv2Caerbov2D09 MBdbqedmvETj2BSbqeeuuDJXwAKbsr4rNCHbGeaGqik8fkY=xipgYl h9vqqj=hEeeu0xXdi9arFj0xirFj0dXdbba91qpK0=yr0RYxfr=Jbb f9q8aq0=yq=He9q8qqQ8frFve9Fve9Ff0dmeaabaqaciaacaGaaeqa baqabeGadaaakeaaqaaaaaaaaaWdbiabeA8aQbaa@32E8@  от x MathType@MTEF@5@5@+= feaahGart1ev3aqatCvAUfeBSjuyZL2yd9gzLbvyNv2Caerbov2D09 MBdbqedmvETj2BSbqeeuuDJXwAKbsr4rNCHbGeaGqik8fkY=xipgYl h9vqqj=hEeeu0xXdi9arFj0xirFj0dXdbba91qpK0=yr0RYxfr=Jbb f9q8aq0=yq=He9q8qqQ8frFve9Fve9Ff0dmeaabaqaciaacaGaaeqa baqabeGadaaakeaaqaaaaaaaaaWdbiaadIhaaaa@3228@  до y MathType@MTEF@5@5@+= feaahGart1ev3aqatCvAUfeBSjuyZL2yd9gzLbvyNv2Caerbov2D09 MBdbqedmvETj2BSbqeeuuDJXwAKbsr4rNCHbGeaGqik8fkY=xipgYl h9vqqj=hEeeu0xXdi9arFj0xirFj0dXdbba91qpK0=yr0RYxfr=Jbb f9q8aq0=yq=He9q8qqQ8frFve9Fve9Ff0dmeaabaqaciaacaGaaeqa baqabeGadaaakeaaqaaaaaaaaaWdbiaadMhaaaa@3229@ .

Для μ,τ MathType@MTEF@5@5@+= feaahGart1ev3aqatCvAUfeBSjuyZL2yd9gzLbvyNv2Caerbov2D09 MBdbqedmvETj2BSbqeeuuDJXwAKbsr4rNCHbGeaGqik8fkY=xipgYl h9vqqj=hEeeu0xXdi9arFj0xirFj0dXdbba91qpK0=yr0RYxfr=Jbb f9q8aq0=yq=He9q8qqQ8frFve9Fve9Ff0dmeaabaqaciaacaGaaeqa baqabeGadaaakeaaqaaaaaaaaaWdbmaabmaapaqaa8qacqaH8oqBca GGSaGaeqiXdqhacaGLOaGaayzkaaaaaa@36FE@  -интеграла сформулированы достаточные условия существования и рассматриваются аналоги некоторых свойств, в частности свойства дифференцируемости.

Последней работой по данной тематике стала [16], в которой определен градиент функции в многомерном случае. При помощи мягкого градиента формулируются условия для приближенного локального экстремума. При использовании мягкого градиента предлагается построить различные аналоги производной классического анализа, например производной по направлению. При этом показано, что задача численного нахождения мягкого градиента сводится к решению конечной системы линейных неравенств.

4. Мягкие дифференциальные уравнения. Еще одним приложением стала формулировка мягких аналогов определенных дифференциальных уравнений первого порядка [17], разрешенных относительно производной. Для одного из типов уравнений приводится соответствующее мягкое интегральное уравнение. Находится решение мягкой задачи Коши для вещественной и интервальной функций.

Определение 17 [17]. Множество

D y,x;h,ε = vE|y x +vΔxεy x+Δx y x +vΔx+ε, Δx 0,h x MathType@MTEF@5@5@+= feaahGart1ev3aqatCvAUfeBSjuyZL2yd9gzLbvyNv2Caerbov2D09 MBdbqedmvETj2BSbqeeuuDJXwAKbsr4rNCHbGeaGqik8fkY=xipgYl h9vqqj=hEeeu0xXdi9arFj0xirFj0dXdbba91qpK0=yr0RYxfr=Jbb f9q8aq0=yq=He9q8qqQ8frFve9Fve9Ff0dmeaabaqaciaacaGaaeqa baqabeGadaaakeaafaqabeWabaaabaaabaWefv3ySLgznfgDOfdary qr1ngBPrginfgDObYtUvgaiqaaqaaaaaaaaaWdbiab=nq8enaadmaa paqaa8qacaWG5bGaaiilaiaadIhacaGG7aGaamiAaiaacYcacqaH1o qzaiaawUfacaGLDbaacqGH9aqpdaGadaWdaeaapeGaamODaiabgIGi olaadweacaaMc8UaaeiFaiaaykW7caWG5bWaaeWaa8aabaWdbiaadI haaiaawIcacaGLPaaacqGHRaWkcaWG2bGaeuiLdqKaamiEaiabgkHi Tiabew7aLjabgsMiJkaadMhadaqadaWdaeaapeGaamiEaiabgUcaRi abfs5aejaadIhaaiaawIcacaGLPaaacqGHKjYOcaWG5bWaaeWaa8aa baWdbiaadIhaaiaawIcacaGLPaaacqGHRaWkcaWG2bGaeuiLdqKaam iEaiabgUcaRiabew7aLjaacYcacaa5GcGaeyiaIiIaeuiLdqKaamiE aiabgIGiopaabmaapaqaa8qacaaIWaGaaiilaiaadIgadaqadaWdae aapeGaamiEaaGaayjkaiaawMcaaaGaayjkaiaawMcaaaGaay5Eaiaa w2haaaWdaeaaaaaaaa@7CC8@

называется h,ε MathType@MTEF@5@5@+= feaahGart1ev3aqatCvAUfeBSjuyZL2yd9gzLbvyNv2Caerbov2D09 MBdbqedmvETj2BSbqeeuuDJXwAKbsr4rNCHbGeaGqik8fkY=xipgYl h9vqqj=hEeeu0xXdi9arFj0xirFj0dXdbba91qpK0=yr0RYxfr=Jbb f9q8aq0=yq=He9q8qqQ8frFve9Fve9Ff0dmeaabaqaciaacaGaaeqa baqabeGadaaakeaaqaaaaaaaaaWdbmaabmaapaqaa8qacaWGObGaai ilaiabew7aLbGaayjkaiaawMcaaaaa@3617@  -приближенным дифференциалом функции y MathType@MTEF@5@5@+= feaahGart1ev3aqatCvAUfeBSjuyZL2yd9gzLbvyNv2Caerbov2D09 MBdbqedmvETj2BSbqeeuuDJXwAKbsr4rNCHbGeaGqik8fkY=xipgYl h9vqqj=hEeeu0xXdi9arFj0xirFj0dXdbba91qpK0=yr0RYxfr=Jbb f9q8aq0=yq=He9q8qqQ8frFve9Fve9Ff0dmeaabaqaciaacaGaaeqa baqabeGadaaakeaaqaaaaaaaaaWdbiaadMhaaaa@3229@  в точке x MathType@MTEF@5@5@+= feaahGart1ev3aqatCvAUfeBSjuyZL2yd9gzLbvyNv2Caerbov2D09 MBdbqedmvETj2BSbqeeuuDJXwAKbsr4rNCHbGeaGqik8fkY=xipgYl h9vqqj=hEeeu0xXdi9arFj0xirFj0dXdbba91qpK0=yr0RYxfr=Jbb f9q8aq0=yq=He9q8qqQ8frFve9Fve9Ff0dmeaabaqaciaacaGaaeqa baqabeGadaaakeaaqaaaaaaaaaWdbiaadIhaaaa@3228@ . Здесь h MathType@MTEF@5@5@+= feaahGart1ev3aqatCvAUfeBSjuyZL2yd9gzLbvyNv2Caerbov2D09 MBdbqedmvETj2BSbqeeuuDJXwAKbsr4rNCHbGeaGqik8fkY=xipgYl h9vqqj=hEeeu0xXdi9arFj0xirFj0dXdbba91qpK0=yr0RYxfr=Jbb f9q8aq0=yq=He9q8qqQ8frFve9Fve9Ff0dmeaabaqaciaacaGaaeqa baqabeGadaaakeaaqaaaaaaaaaWdbiaadIgaaaa@3218@ , ε MathType@MTEF@5@5@+= feaahGart1ev3aqatCvAUfeBSjuyZL2yd9gzLbvyNv2Caerbov2D09 MBdbqedmvETj2BSbqeeuuDJXwAKbsr4rNCHbGeaGqik8fkY=xipgYl h9vqqj=hEeeu0xXdi9arFj0xirFj0dXdbba91qpK0=yr0RYxfr=Jbb f9q8aq0=yq=He9q8qqQ8frFve9Fve9Ff0dmeaabaqaciaacaGaaeqa baqabeGadaaakeaaqaaaaaaaaaWdbiabew7aLbaa@32D2@  вещественные функции, которые играют роль параметров, описывающих приближенное понятие. Функция h MathType@MTEF@5@5@+= feaahGart1ev3aqatCvAUfeBSjuyZL2yd9gzLbvyNv2Caerbov2D09 MBdbqedmvETj2BSbqeeuuDJXwAKbsr4rNCHbGeaGqik8fkY=xipgYl h9vqqj=hEeeu0xXdi9arFj0xirFj0dXdbba91qpK0=yr0RYxfr=Jbb f9q8aq0=yq=He9q8qqQ8frFve9Fve9Ff0dmeaabaqaciaacaGaaeqa baqabeGadaaakeaaqaaaaaaaaaWdbiaadIgaaaa@3218@  определяет близкие к x MathType@MTEF@5@5@+= feaahGart1ev3aqatCvAUfeBSjuyZL2yd9gzLbvyNv2Caerbov2D09 MBdbqedmvETj2BSbqeeuuDJXwAKbsr4rNCHbGeaGqik8fkY=xipgYl h9vqqj=hEeeu0xXdi9arFj0xirFj0dXdbba91qpK0=yr0RYxfr=Jbb f9q8aq0=yq=He9q8qqQ8frFve9Fve9Ff0dmeaabaqaciaacaGaaeqa baqabeGadaaakeaaqaaaaaaaaaWdbiaadIhaaaa@3228@  справа точки, а функция ε MathType@MTEF@5@5@+= feaahGart1ev3aqatCvAUfeBSjuyZL2yd9gzLbvyNv2Caerbov2D09 MBdbqedmvETj2BSbqeeuuDJXwAKbsr4rNCHbGeaGqik8fkY=xipgYl h9vqqj=hEeeu0xXdi9arFj0xirFj0dXdbba91qpK0=yr0RYxfr=Jbb f9q8aq0=yq=He9q8qqQ8frFve9Fve9Ff0dmeaabaqaciaacaGaaeqa baqabeGadaaakeaaqaaaaaaaaaWdbiabew7aLbaa@32D2@  точность аппроксимации. При фиксированных значениях y MathType@MTEF@5@5@+= feaahGart1ev3aqatCvAUfeBSjuyZL2yd9gzLbvyNv2Caerbov2D09 MBdbqedmvETj2BSbqeeuuDJXwAKbsr4rNCHbGeaGqik8fkY=xipgYl h9vqqj=hEeeu0xXdi9arFj0xirFj0dXdbba91qpK0=yr0RYxfr=Jbb f9q8aq0=yq=He9q8qqQ8frFve9Fve9Ff0dmeaabaqaciaacaGaaeqa baqabeGadaaakeaaqaaaaaaaaaWdbiaadMhaaaa@3229@  и x MathType@MTEF@5@5@+= feaahGart1ev3aqatCvAUfeBSjuyZL2yd9gzLbvyNv2Caerbov2D09 MBdbqedmvETj2BSbqeeuuDJXwAKbsr4rNCHbGeaGqik8fkY=xipgYl h9vqqj=hEeeu0xXdi9arFj0xirFj0dXdbba91qpK0=yr0RYxfr=Jbb f9q8aq0=yq=He9q8qqQ8frFve9Fve9Ff0dmeaabaqaciaacaGaaeqa baqabeGadaaakeaaqaaaaaaaaaWdbiaadIhaaaa@3228@  приближенный дифференциал можно рассматривать как мягкое множество над вещественной прямой.

По аналогии с обыкновенным дифференциальным уравнением первого порядка, разрешенным относительно производной, строятся два типа мягких дифференциальных уравнений.

Определение 18 [17]. Мягкое дифференциальное уравнение типа A MathType@MTEF@5@5@+= feaahGart1ev3aqatCvAUfeBSjuyZL2yd9gzLbvyNv2Caerbov2D09 MBdbqedmvETj2BSbqeeuuDJXwAKbsr4rNCHbGeaGqik8fkY=xipgYl h9vqqj=hEeeu0xXdi9arFj0xirFj0dXdbba91qpK0=yr0RYxfr=Jbb f9q8aq0=yq=He9q8qqQ8frFve9Fve9Ff0dmeaabaqaciaacaGaaeqa baqabeGadaaakeaaqaaaaaaaaaWdbiaadgeaaaa@31F1@  имеет вид

f x,y D y,x;h,ε . MathType@MTEF@5@5@+= feaahGart1ev3aqatCvAUfeBSjuyZL2yd9gzLbvyNv2Caerbov2D09 MBdbqedmvETj2BSbqeeuuDJXwAKbsr4rNCHbGeaGqik8fkY=xipgYl h9vqqj=hEeeu0xXdi9arFj0xirFj0dXdbba91qpK0=yr0RYxfr=Jbb f9q8aq0=yq=He9q8qqQ8frFve9Fve9Ff0dmeaabaqaciaacaGaaeqa baqabeGadaaakeaaqaaaaaaaaaWdbiaadAgadaqadaWdaeaapeGaam iEaiaacYcacaWG5baacaGLOaGaayzkaaGaeyOHI08efv3ySLgznfgD Ofdaryqr1ngBPrginfgDObYtUvgaiqaacqWFdeprdaWadaWdaeaape GaamyEaiaacYcacaWG4bGaai4oaiaadIgacaGGSaGaeqyTdugacaGL BbGaayzxaaGaaiOlaaaa@4D21@

Здесь f функция двух вещественных аргументов, значениями которой являются подмножества вещественной оси, в частности вещественные числа.

Определение 19 [17]. Мягкое дифференциальное уравнение типа B MathType@MTEF@5@5@+= feaahGart1ev3aqatCvAUfeBSjuyZL2yd9gzLbvyNv2Caerbov2D09 MBdbqedmvETj2BSbqeeuuDJXwAKbsr4rNCHbGeaGqik8fkY=xipgYl h9vqqj=hEeeu0xXdi9arFj0xirFj0dXdbba91qpK0=yr0RYxfr=Jbb f9q8aq0=yq=He9q8qqQ8frFve9Fve9Ff0dmeaabaqaciaacaGaaeqa baqabeGadaaakeaaqaaaaaaaaaWdbiaadkeaaaa@31F2@  записывается как

f x,y D y,x;h,ε . MathType@MTEF@5@5@+= feaahGart1ev3aqatCvAUfeBSjuyZL2yd9gzLbvyNv2Caerbov2D09 MBdbqedmvETj2BSbqeeuuDJXwAKbsr4rNCHbGeaGqik8fkY=xipgYl h9vqqj=hEeeu0xXdi9arFj0xirFj0dXdbba91qpK0=yr0RYxfr=Jbb f9q8aq0=yq=He9q8qqQ8frFve9Fve9Ff0dmeaabaqaciaacaGaaeqa baqabeGadaaakeaaqaaaaaaaaaWdbiaadAgadaqadaWdaeaapeGaam iEaiaacYcacaWG5baacaGLOaGaayzkaaGaey4HIO8efv3ySLgznfgD Ofdaryqr1ngBPrginfgDObYtUvgaiqaacqWFdeprdaWadaWdaeaape GaamyEaiaacYcacaWG4bGaai4oaiaadIgacaGGSaGaeqyTdugacaGL BbGaayzxaaGaaiOlaaaa@4D1F@

Здесь f MathType@MTEF@5@5@+= feaahGart1ev3aqatCvAUfeBSjuyZL2yd9gzLbvyNv2Caerbov2D09 MBdbqedmvETj2BSbqeeuuDJXwAKbsr4rNCHbGeaGqik8fkY=xipgYl h9vqqj=hEeeu0xXdi9arFj0xirFj0dXdbba91qpK0=yr0RYxfr=Jbb f9q8aq0=yq=He9q8qqQ8frFve9Fve9Ff0dmeaabaqaciaacaGaaeqa baqabeGadaaakeaaqaaaaaaaaaWdbiaadAgaaaa@3216@  – функция двух вещественных аргументов, значениями которой являются подмножества вещественной оси.

Для задачи исследуется вопрос существования мягких решений, изучается зависимость решения от начальных условий. При рассмотрении мягкой задачи Коши определяется и соответствующее интегральное уравнение. Показано, что достаточные условия существования решения мягкой задачи Коши также являются достаточными условиями существования мягкого интегрального уравнения.

5. Обобщения и применение мягких множеств. Подробное обсуждение моделей поведения человека и формулировки математических постановок задач с использованием принципа оптимальности приведено в [7]. Рассматриваются задачи на максимум в случае независимых и связанных ограничений, на поиск равновесия, задачи оптимизации в игровой обстановке, иерархические игры. Автор отмечает, что сведение сложных задач вариационного типа к эк- стремальным задачам на исходных множествах удалось при единственном предположении об ограниченности целевых функций, не потребовалось ни непрерывности, ни компактности, ни дополнительных условий регулярности. Отдельно постановка задачи на максимин приводится в [6]. В работе рассматриваются способы ослабления условий устойчивости таких задач. Примечательно, что устойчивость мягкого отображения не требует ограничения на непрерывность или полунепрерывность функций модели.

Предложения по применению аппарата теории мягких множеств в задачах теории принятия решений [18] и дальнейшее рассмотрение мягких множеств в области алгебры [19–22] позволили развить методы многокритериального принятия решений, которые используются в медицинских целях для постановки диагнозов.

В [23] предложена концепция нейросети на основе мягких множеств, а также мягких нечетких множеств.

Заключение. Несмотря на то, что теория мягких множеств создавалась как инструмент для решения задач теории игр и в основном применяется при решении оптимизационных задач, ее потенциал намного шире. Это, в частности, показывает разработанный на базе мягких множеств аппарат рационального анализа. Главной тенденцией в области оптимизации выступает дальнейшая модификация мягких множеств и появление гибридных моделей.

×

About the authors

V. N. Bobylevа

Federal Research Center “Computer Science and Control” of the Russian Academy of Sciences

Author for correspondence.
Email: vbobylev@frccsc.ru
Russian Federation, Moscow

E. K. Egorova

Federal Research Center “Computer Science and Control” of the Russian Academy of Sciences

Email: eegorova@frccsc.ru
Russian Federation, Moscow

V. Yu. Leonov

Federal Research Center “Computer Science and Control” of the Russian Academy of Sciences

Email: vleonov@frccsc.ru
Russian Federation, Moscow

References

  1. Zadeh L.A. Fuzzy Sets // Inf. Control. 1965. V. 8. № 3. P. 338–353. ISSN 0019-9958. https://doi.org/10.1016/S0019-9958(65)90241-X.
  2. Molodtsov D.A. Soft Set Theory – First Results // Computers & Mathematics with Applications. 1999. V. 37. № 4/5. P. 19–31. ISSN 0898-1221, 1873-7668. https://doi.org/10.1016/s0898-1221(99)00056-5.
  3. Молодцов Д.А. Устойчивость и регуляризация принципов оптимальности // ЖВМиМФ. 1980. Т. 20. № 5. С. 25–38. ISSN 0041-5553. https://doi.org/10.1016/0041-5553(80)90086-5.
  4. Молодцов Д.А. Аппроксимация принципов оптимальности в задаче нахождения кратного максмина // Докл. АН СССР. 1985. Т. 32. С. 426–428. ISSN 0197-6788.
  5. Молодцов Д.А. Структура регуляризующих принципов оптимальности // Докл. АН СССР. 1985. Т. 32. С. 82—85. ISSN 0197-6788.
  6. Молодцов Д.А., Ковков Д.В. Устойчивость и аппроксимация максиминных задач // АиТ. 2014. Т. 75. № 3. С. 447–457. ISSN 0005-1179, 1608-3032. https://doi.org/ 10.1134/S0005117914030035.
  7. Молодцов Д.А. Принципы оптимальности как математическая модель поведения человека // Математическое моделирование. 1991. Т. 3. № 5. С. 29–48. ISSN 0234-0879.
  8. Ma Z.M., Yang W., Hu B.Q. Soft Set Theory Based on Its Extension // Fuzzy Information and Engineering. 2010. V. 2. № 4. P. 423–432. ISSN 1616-8658. https://doi.org/10.1007/s12543-010-0060-7.
  9. Maji P.K., Biswas R., Roy A.R. Soft Set Theory // Computers & Mathematics with Applications. 2003. V. 45. № 4. P. 555–562. ISSN 0898-1221. https://doi.org/10.1016/S0898-1221(03)00016-6.
  10. Ali M.I., Feng F., Liu X., Min W.K., Shabir M. On Some New Operations in Soft Set Theory // Computers & Mathematics with Applications. 2009. V. 57. № 9. P. 1547–1553. ISSN 0898-1221, 1873-7668. https://doi.org/10.1016/j.camwa.2008.11.009.
  11. Yang C.F. A Note on “Soft Set Theory” [Comput. Math. Appl. 45 (4–5) (2003) 555–562] // Computers & Mathematics with Applications. 2008. V. 56. № 7. P. 1899–1900. ISSN 0898-1221. https://doi.org/10.1016/j.camwa.2008.03.019.
  12. Молодцов Д.А. Структура мягких множеств // Нечеткие системы и мягкие вычисления. 2017. Т. 12. № 1. С. 5–18. ISSN 1819-4362.
  13. Kovkov D.V., Kolbanov V.M., Molodtsov D.A. Soft Sets Theory-based Optimization // J. Computer and Systems Sciences International. 2007. V. 46. № 6. P. 872–880. ISSN 1064-2307, 1555-6530. https://doi.org/10.1134/S1064230707060032.
  14. Молодцов Д.А. Начала рационального анализа – непрерывность функций // Нечеткие системы и мягкие вычисления. 2019. Т. 2. С. 126–141. ISSN 18194362. https://doi.org/10.26456/fssc57.
  15. Молодцов Д.А. Начала рационального анализа – производные и интегралы // Нечеткие системы и мягкие вычисления. 2020. Т. 15. № 1. С. 5–25. ISSN 1819-4362. https://doi.org/10.26456/fssc70.
  16. Acharjee S., Molodtsov D.A. Soft Rational Line Integral // Vestnik Udmurtskogo Universiteta. Matematika. Mekhanika. Komp’yuternye Nauki. 2021. V. 31. № 4. P. 578–596. ISSN 2076-5959, 1994-9197. https://doi.org/10.35634/vm210404.
  17. Молодцов Д.А. Мягкое дифференциальное уравнение // ЖВМиМФ. 2000. Т. 40. № 8. С. 1116–1128. ISSN 0965-5425.
  18. Maji P.K., Roy A.R., Biswas R. An Application of Soft Sets in a Decision Making Problem // Computers & Mathematics with Applications. 2002. V. 44. № 8. P. 1077–1083. ISSN 0898-1221. https://doi.org/10.1016/S0898-1221(02)00216-X.
  19. Aktas H., Cagman N. Soft Sets and Soft Groups // Information Sciences. 2007. V. 177. № 13. P. 2726–2735. ISSN 0020-0255, 1872-6291. https://doi.org/10.1016/j.ins.2006.12.008.
  20. Park C.H., Jun Y.B., Ozturk M.A. Soft WS-algebras // Communications of the Korean Mathematical Society. 2008. V. 23. № 3. P. 313–324. ISSN 1225-1763. https://doi.org/10.4134/CKMS.2008.23.3.313 ; Publisher: Korean Mathematical Society.
  21. Jun Y.B., Park C.H. Applications of Soft Sets in Ideal Theory of BCK/BCI-algebras // Information Sciences. 2008. V. 178. № 11. P. 2466– 2475. ISSN 0020-0255. https://doi.org/10.1016/j.ins.2008.01.017.
  22. Ma X., Zhan J., Xu Y. Lattice Implication Algebras Based on Soft Set Theory // Computational Intelligence. World Scientific, 2010. P. 535–540. ISBN 978-981-4324-69-4. https://doi.org/10.1142/9789814324700 0080.
  23. Liu Z., Alcantud J.C.R., Qin K., Xiong L. The Soft Sets and Fuzzy Sets-Based Neural Networks and Application // IEEE Access. 2020. V. 8. P. 41615–41625. https://doi.org/10.1109/ACCESS.2020.2976731.

Supplementary files

Supplementary Files
Action
1. JATS XML
2. Formula

Download (20KB)

Copyright (c) 2024 Russian Academy of Sciences

Согласие на обработку персональных данных с помощью сервиса «Яндекс.Метрика»

1. Я (далее – «Пользователь» или «Субъект персональных данных»), осуществляя использование сайта https://journals.rcsi.science/ (далее – «Сайт»), подтверждая свою полную дееспособность даю согласие на обработку персональных данных с использованием средств автоматизации Оператору - федеральному государственному бюджетному учреждению «Российский центр научной информации» (РЦНИ), далее – «Оператор», расположенному по адресу: 119991, г. Москва, Ленинский просп., д.32А, со следующими условиями.

2. Категории обрабатываемых данных: файлы «cookies» (куки-файлы). Файлы «cookie» – это небольшой текстовый файл, который веб-сервер может хранить в браузере Пользователя. Данные файлы веб-сервер загружает на устройство Пользователя при посещении им Сайта. При каждом следующем посещении Пользователем Сайта «cookie» файлы отправляются на Сайт Оператора. Данные файлы позволяют Сайту распознавать устройство Пользователя. Содержимое такого файла может как относиться, так и не относиться к персональным данным, в зависимости от того, содержит ли такой файл персональные данные или содержит обезличенные технические данные.

3. Цель обработки персональных данных: анализ пользовательской активности с помощью сервиса «Яндекс.Метрика».

4. Категории субъектов персональных данных: все Пользователи Сайта, которые дали согласие на обработку файлов «cookie».

5. Способы обработки: сбор, запись, систематизация, накопление, хранение, уточнение (обновление, изменение), извлечение, использование, передача (доступ, предоставление), блокирование, удаление, уничтожение персональных данных.

6. Срок обработки и хранения: до получения от Субъекта персональных данных требования о прекращении обработки/отзыва согласия.

7. Способ отзыва: заявление об отзыве в письменном виде путём его направления на адрес электронной почты Оператора: info@rcsi.science или путем письменного обращения по юридическому адресу: 119991, г. Москва, Ленинский просп., д.32А

8. Субъект персональных данных вправе запретить своему оборудованию прием этих данных или ограничить прием этих данных. При отказе от получения таких данных или при ограничении приема данных некоторые функции Сайта могут работать некорректно. Субъект персональных данных обязуется сам настроить свое оборудование таким способом, чтобы оно обеспечивало адекватный его желаниям режим работы и уровень защиты данных файлов «cookie», Оператор не предоставляет технологических и правовых консультаций на темы подобного характера.

9. Порядок уничтожения персональных данных при достижении цели их обработки или при наступлении иных законных оснований определяется Оператором в соответствии с законодательством Российской Федерации.

10. Я согласен/согласна квалифицировать в качестве своей простой электронной подписи под настоящим Согласием и под Политикой обработки персональных данных выполнение мною следующего действия на сайте: https://journals.rcsi.science/ нажатие мною на интерфейсе с текстом: «Сайт использует сервис «Яндекс.Метрика» (который использует файлы «cookie») на элемент с текстом «Принять и продолжить».