ИК-спектроскопические измерения атмосферного содержания азотной кислоты на станции NDACC St. Petersburg
- Авторы: Виролайнен Я.А.1, Тимофеев Ю.М.1, Поляков А.В.1, Поберовский А.В.1
-
Учреждения:
- Санкт-Петербургский государственный университет
- Выпуск: Том 59, № 2 (2023)
- Страницы: 192-199
- Раздел: Статьи
- URL: https://journal-vniispk.ru/0002-3515/article/view/136914
- DOI: https://doi.org/10.31857/S0002351523020074
- EDN: https://elibrary.ru/HPRNWS
- ID: 136914
Цитировать
Полный текст
Аннотация
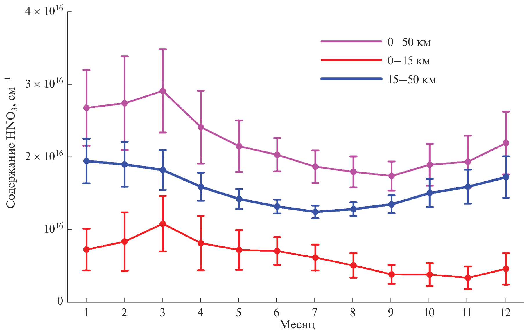
Азотная кислота (HNO3) в атмосфере оказывает значительное влияние на формирование озонового слоя, поэтому ее содержание регулярно измеряется с помощью различных локальных и дистанционных методов. Для получения информации о содержании HNO3 в различных слоях атмосферы на наблюдательной станции NDACC St. Petersburg в Петергофе мы использовали наземные измерения спектров солнечного ИК-излучения Фурье-спектрометром Bruker 125HR. Полученные ряды значений HNO3 продемонстрировали ярко-выраженный сезонный ход с максимумом зимой и ранней весной и с минимумом летом и ранней осенью. Вариации среднего сезонного хода азотной кислоты относительно средних за период 2009–2022 гг. величин менялись от –30 до +60%, от –25 до +25% и от –25 до +30% для слоев 0–15 км, 15–50 км и 0–50 км, соответственно. При этом не было выявлено статистически значимых трендов в рассматриваемых рядах данных. Сопоставление величин стратосферного содержания HNO3 с данными независимых спутниковых измерений приборами MLS и ACE-FTS показало их качественное и количественное согласие; коэффициент корреляции между наземными и спутниковыми измерениями HNO3 составил 0.88–0.93. Полученные данные по вертикальной структуре содержания азотной кислоты могут быть использованы как для анализа состояния озоносферы, так и для валидации спутниковых измерений и уточнения параметров атмосферных моделей.
Об авторах
Я. А. Виролайнен
Санкт-Петербургский государственный университет
Автор, ответственный за переписку.
Email: yana.virolainen@spbu.ru
Россия, 199034, Санкт-Петербург, Университетская наб., 7/9
Ю. М. Тимофеев
Санкт-Петербургский государственный университет
Email: yana.virolainen@spbu.ru
Россия, 199034, Санкт-Петербург, Университетская наб., 7/9
А. В. Поляков
Санкт-Петербургский государственный университет
Email: yana.virolainen@spbu.ru
Россия, 199034, Санкт-Петербург, Университетская наб., 7/9
А. В. Поберовский
Санкт-Петербургский государственный университет
Email: yana.virolainen@spbu.ru
Россия, 199034, Санкт-Петербург, Университетская наб., 7/9
Список литературы
- Виролайнен Я.А., Тимофеев Ю.М., Поляков А.В., Ионов Д.В., Кирнер О., Поберовский А.В., Имхасин Х. Сопоставление наземных измерений общего содержания О3, HNO3, HCl и NO2 c данными численного моделирования // Изв. РАН ФАО. 2016. Т. 52. № 1. С. 64–73.
- Виролайнен Я.А., Поляков А.В., Тимофеев Ю.М. Анализ изменчивости стратосферных газов по данным наземных спектроскопических наблюдений в районе Санкт-Петербурга // Изв. РАН. ФАО. 2021. Т. 57. № 2. С. 163–174.
- Виролайнен Я.А. Тимофеев Ю.М., Поберовский А.В., Поляков А.В. Анализ информативности наземного ИК спектроскопического метода определения вертикальной структуры содержания HNO3 в атмосфере // ОАО. 2022. Т. 35. № 11. С. 906–911.
- Dammers E., Shephard M.W., Palm M., Cady-Pereira K., Capps S., Lutsch E., Strong K., Hannigan J.W., Ortega I., Toon G.C., Stremme W., Grutter M., Jones N., Smale D., Siemons J., Hrpcek K., Tremblay D., Schaap M., Notholt J., and Erisman J.W. Validation of the CrIS fast physical NH3 retrieval with ground-based FTIR // Atmos. Meas. Tech. 2017. V. 10. № 7. P. 2645–2667.
- Hase H., Hannigan J.W., Coffey M.T., Goldman A., Hoepfner M., Jones N.B., Rinsland C.P., Wood S.W. Intercomparison of retrieval codes used for the analysis of high-resolution, ground-based FTIR measurements // J. Quant. Spectrosc. Radiat. Transfer 2004. V. 87. № 1. P. 25–52.
- Lindenmaier R., Strong K., Batchelor R.L., Chipperfield M.P., Daffer W.H., Drummond J.R., Duck T.J., Fast H., Feng W., Fogal P.F., Kolonjari F., Manney G. L., Manson A., Meek C., Mittermeier R. L., Nott G. J., Perro C., Walker K. A. Unusually low ozone, HCl, and HNO3 column measurements at Eureka, Canada during winter/spring 2011 // Atmos. Chem. Phys. 2012. V. 12. № 8. P. 3821–3835.
- Livesey N.J, Read W.G., Froidevaux L., Lambert A., Manney G.L., Pumphrey H.C., Santee M.L., Schwartz M.J., Wang S., Cofeld R.E., Cuddy D.T., Fuller R.A., Jarnot R.F., Jiang J.H., Knosp B.W., Stek P.C., Wagner P.A., and Wu D.L. Earth Observing System (EOS) Aura Microwave Limb Sounder (MLS) Version 3.3 Level 2 data quality and description document, Version 3.3x-1.0: Jet Propulsion Laboratory, California Institute of Technology, Pasadena, California, 2011.
- Livesey N.J, Read W.G., Wagner P.A., Froidevaux L., Santee M.L., Schwartz M.J., Lambert A., Millán Valle L.F., Pumphrey H.C., Manney G.L., Fuller R.A., Jarnot R F., Knosp B.W., Lay R.R. Version 5.0x Level 2 and 3 data quality and description document: Jet Propulsion Laboratory California Institute of Technology, Pasadena, California, 2020.
- NDACC database. https://www-air.larc.nasa.gov/missions/ ndacc/data.html.
- Ossohou M., Galy-Lacaux C., Yoboué V., Hickman J.E., Gardrat E., Adon M., Darras S., Laouali D., Akpo A., Ouafo M., Diop B., Opepa C. Trends and seasonal variability of atmospheric NO2 and HNO3 concentrations across three major African biomes inferred from long-term series of ground-based and satellite measurements // Atmos. Environ. 2019. V. 207. P. 148–166.
- Polyakov A., Poberovsky A., Makarova M., Virolainen Y., Timofeyev Y., Nikulina A. Measurements of CFC-11, CFC-12, and HCFC-22 total columns in the atmosphere at the St. Petersburg site in 2009–2019 // Atmos. Meas. Tech. 2021. V. 14. № 8. P. 5349–5368.
- Rinsland C.P., Zander R., Demoulin P. Ground-based infrared measurements of HNO3 total column abundances: Long-term trend and variability // J. Geophys. Res. Atmos. 1991. V. 96. P. 9379–9389.
- Semakin S.G., Poberovski, A.V., Timofeev Y.M. Ground-based spectroscopic measurements of the total nitric acid content in the atmosphere // Izv. Atmos. Ocean. Phys. 2013. V. 49. P. 294–297.
- Shan C., Zhang H., Wang W., Liu C., Xie Y., Hu Q., Jones N. Retrieval of Stratospheric HNO3 and HCl Based on Ground-Based High-Resolution Fourier Transform Spectroscopy // Remote Sens. 2021. V. 13. № 11. P. 2159.
- Sheese P.E., Walker K.A., Boone C.D., Bernath P.F., Froidevaux L., Funke B., Raspollini P., von Clarmann T. ACE-FTS ozone, water vapour, nitrous oxide, nitric acid, and carbon monoxide profile comparisons with MIPAS and MLS // J. Quant. Spectr. Radiat. Transf. 2017. V. 186. P. 63–80.
- Timofeyev Yu., Virolainen Ya., Makarova M., Poberovsky A., Polyakov A., Ionov D., Osipov S., Imhasin H. Ground-based spectroscopic measurements of atmospheric gas composition near Saint Petersburg (Russia) // J. Mol. Spectr. 2016. № 323. P. 2–14.
- Vigouroux C., De Maziere M., Errera Q., Chabrillat S., Mahieu E., Duchatelet P., Wood S., Smale D., Mikuteit S., Blumenstock T., Hase F., Jones N. Comparisons between ground-based FTIR and MIPAS N2O and HNO3 profiles before and after assimilation in BASCOE // Atmos. Chem. Phys. 2007. V. 7. № 2. P. 377–396.
- Wespes C., Hurtmans D., Clerbaux C., Santee M.L., Martin R.V., Coheur P.F. Global distributions of nitric acid from IAS-I/MetOP measurements // Atmos. Chem. Phys. 2009. V. 9. № 20. P. 7949–7962.
- Whole Atmosphere Community Climate Model (WACCM) Model Output ds313.6 | https://doi.org/10.5065/G643-Z138 https://rda.ucar.edu/datasets/ds313.6/#!description.
- WMO (World Meteorological Organization), Scientific Assessment of Ozone Depletion: 2018, Global Ozone Research and Monitoring Project–Report No. 58, 588 pp., Geneva, Switzerland, 2018.
- Wolff M.A., Kerzenmacher T., Strong K., Walker K.A., Toohey M., Dupuy E., Bernath P.F., Boone C.D., Brohede S., Catoire V., von Clarmann T., Coffey M., Daffer W.H., De Mazière M., Duchatelet P., Glatthor N., Griffith D.W.T., Hannigan J., Hase F., Höpfner M., Huret N., Jones N., Jucks K., Kagawa A., Kasai Y., Kramer I., Küllmann H., Kuttippurath J., Mahieu E., Manney G., McElroy C.T., McLinden C., Mébarki Y., Mikutei, S., Murtagh D., Piccolo C., Raspollini P., Ridolfi M., Ruhnke R., Santee M., Senten C., Smale D., Tétard C., Urban J., and Wood S. Validation of HNO3, ClONO2, and N2O5 from the Atmospheric Chemistry Experiment Fourier Transform Spectrometer (A-CE‑FT-S) // Atmos. Chem. Phys. 2008. V. 8. № 13. P. 3529–3562.
Дополнительные файлы







