Methane Emission from Lakes in the North of Western Siberia
- Authors: Kazantsev V.S.1, Krivenok L.A.1, Dvornikov Y.A.1,2, Lomov V.A.1, Sabrekov A.F.1,3
-
Affiliations:
- Obukhov Institute of Atmospheric Physics, Russian Academy of Sciences
- Department of Landscape Design and Sustainable Ecosystems, Agrarian-Technological Institute, Рeoples’ Friendship University of Russia (RUDN University)
- Yugra University
- Issue: Vol 59, No 3 (2023)
- Pages: 309-321
- Section: Articles
- URL: https://journal-vniispk.ru/0002-3515/article/view/136916
- DOI: https://doi.org/10.31857/S0002351523030057
- EDN: https://elibrary.ru/TNPJKD
- ID: 136916
Cite item
Full Text
Abstract
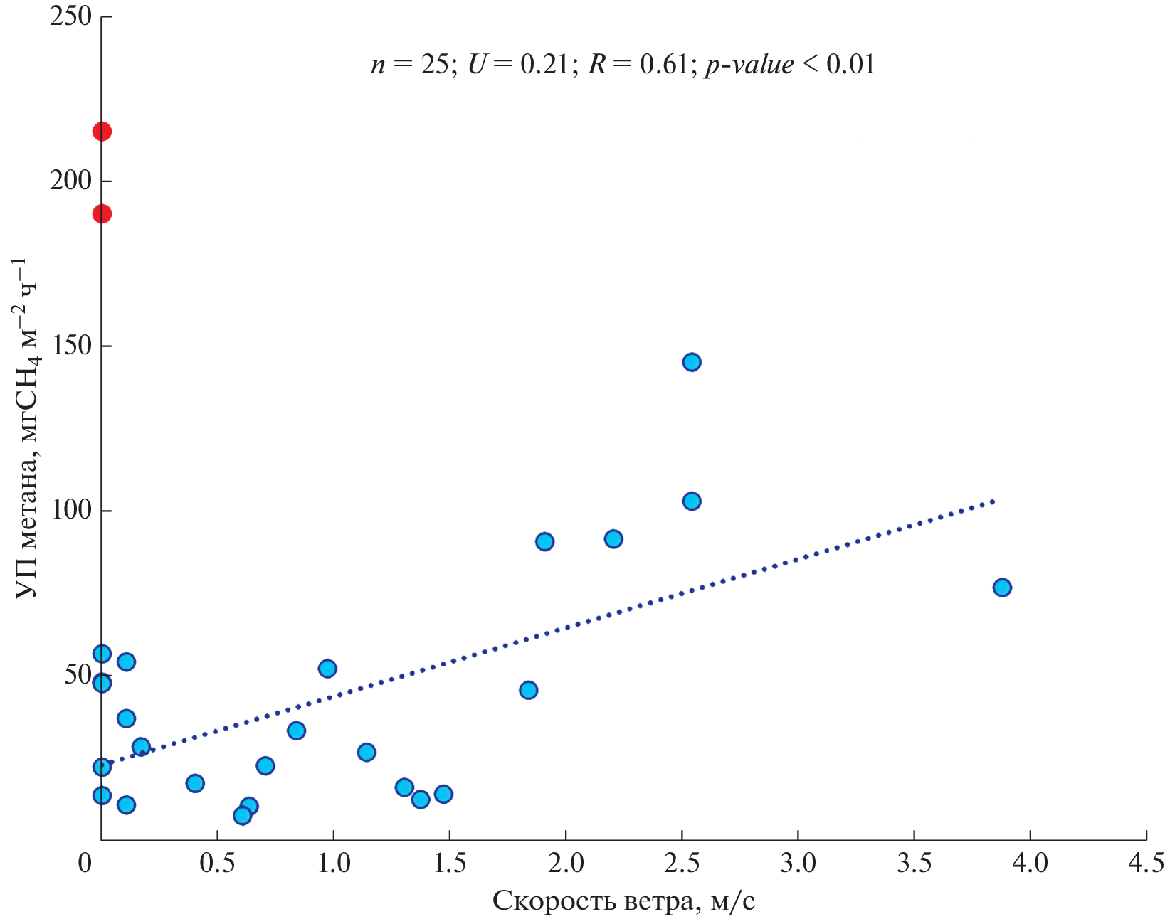
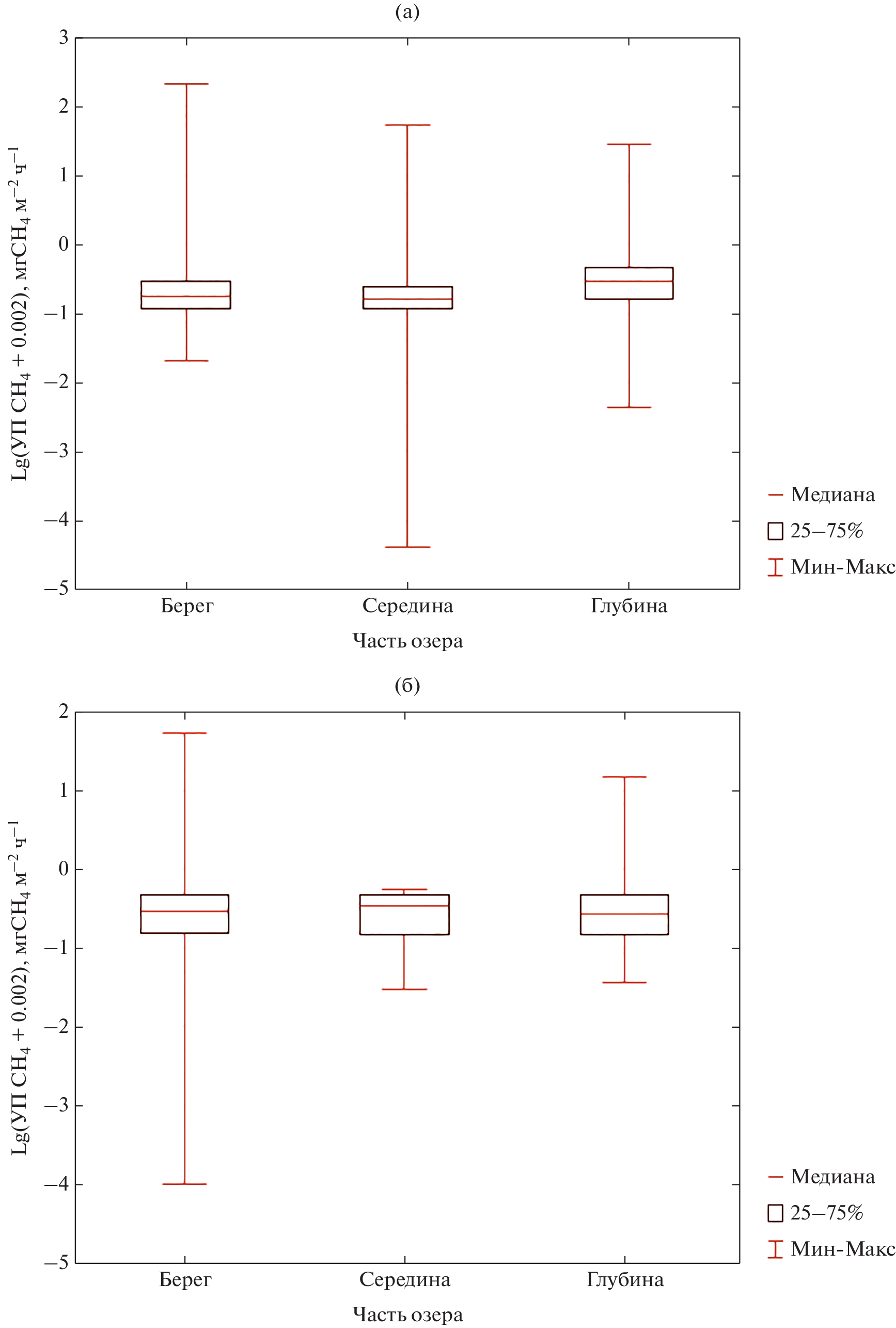
The paper presents the results of field measurements of methane fluxes into the atmosphere from thermokarst lakes located on the Russian Federation territory on the three key sites: foothills of the Polar Urals, coast of the Kara Sea and the northwestern part of the Yamal Peninsula. A total of 13 lakes were studied and about 500 methane fluxes were measured by the floating chamber method. The results showed most of the fluxes does not exceed 8 mg CH4 m–2 h–1. For more significant values, a statistically significant correlation with the wind speed was revealed, which largely determines the intensity of gas exchange on the “water-atmosphere” boundary. The exceptions are measurements in zone of lake methane seeps. For most lakes, the greatest scatter of measured fluxes was observed in the shallow part. The diurnal dynamics of methane fluxes was approximated by a sinusoidal function. For the lakes presented in the work, the range of emission assessment is 0.23–775.38 g CH4 h–1. Obtained results are important material for estimating regional methane emission from the surface of thermokarst lakes in the tundra zone.
About the authors
V. S. Kazantsev
Obukhov Institute of Atmospheric Physics, Russian Academy of Sciences
Author for correspondence.
Email: kazantsev@ifaran.ru
Russia, 119017, Moscow, Pyzhevskii per., 3
L. A. Krivenok
Obukhov Institute of Atmospheric Physics, Russian Academy of Sciences
Email: kazantsev@ifaran.ru
Russia, 119017, Moscow, Pyzhevskii per., 3
Yu. A. Dvornikov
Obukhov Institute of Atmospheric Physics, Russian Academy of Sciences; Department of Landscape Design and Sustainable Ecosystems, Agrarian-Technological Institute, Рeoples’ Friendship University of Russia (RUDN University)
Email: kazantsev@ifaran.ru
Russia, 119017, Moscow, Pyzhevskii per., 3; Russia, 117198, Moscow, Miklukho-Maklaya str., 6
V. A. Lomov
Obukhov Institute of Atmospheric Physics, Russian Academy of Sciences
Email: kazantsev@ifaran.ru
Russia, 119017, Moscow, Pyzhevskii per., 3
A. F. Sabrekov
Obukhov Institute of Atmospheric Physics, Russian Academy of Sciences; Yugra University
Email: kazantsev@ifaran.ru
Russia, 119017, Moscow, Pyzhevskii per., 3; Russia, 628012, Khanty-Mansiysk, Chekhova str., 16
References
- Глаголев М.В., Клепцова И.Е., Казанцев В.C. и др. Эмиссия метана из болотных ландшафтов тундры Западной Сибири // Вестник ТГПУ. 2010a. № 3(93). С. 78–86.
- Глаголев М.В., Сабреков А.Ф., Казанцев В.С. Измерение газообмена на границе почва/атмосфера. Томск: Издательство Томского государственного педагогического университета, 2010b. 96 с.
- Голубятников Л.Л., Казанцев В.С. Вклад тундровых озер Западной Сибири в метановый бюджет атмосферы // Изв. РАН. Физика атмосферы и океана. 2013. Т. 49. № 4. С. 430–438.
- Забелина С.А., Широкова Л.С., Климов С.И. и др. Эмиссия метана с поверхности термокарстовых озер большеземельской тундры // Мониторинг состояния и загрязнения окружающей среды. Основные результаты и пути развития. 2017. С. 152–153.
- Ребристая О.В., Хитун О.В. Ботанико-географические особенности флоры Центрального Ямала // Ботанический журнал. 1998. Т. 83. № 7. С. 37–52.
- Юрцев Б.А., Толмачев А.И., Ребристая О.В. Флористическое ограничение и разделение Арктики // Арктическая флористическая область / Под ред. Юрцева Б.А. Ленинград: Наука, 1978. С. 9–104.
- Bastviken D., Cole J.J., Pace M.L., Van de Bogert M.C. Fates of methane from different lake habitats: Connecting whole lake budgets and CH4 emissions // J. Geophys. Res. 2008. V. 113. № G2. G02024. https://doi.org/10.1029/2007JG000608
- Bastviken D., Santoro A.L., Marotta H. et al. Methane emissions from Pantanal, South America, during the low water season: toward more comprehensive sampling // Environ. Sci. Technol. 2010. V. 44. № 14. P. 5450–5455.
- Bazhin N. Methane Emission from Bottom Sediments // Chem. Sustain. Dev. 2003. V. 11. P. 577–580.
- CAVM Team. Circumpolar Arctic Vegetation Map. (1 : 7,500,000 scale), Conservation of Arctic Flora and Fauna (CAFF). Map № 1. 2003.
- Cole J.J., Caraco N.F. Atmospheric exchange of carbon dioxide in a low-wind oligotrophic lake measured by the addition of SF6 // Limnol. Oceanogr. 1998. № 43. P. 647–656.
- Dvornikov Y., Leibmann M., Heim B. et al. Geodatabase and WebGIS project for long-term permafrost monitoring at the VaskinyDachi Research Station, Yamal, Russia // Polarforschung. 2016. V. 85. № 2. P. 107–115.
- Dvornikov Y.A., Leibmann M.O., Heim B. et al. Thermodenudation on Yamal peninsula as a source of the dissolved organic matter increase in thaw lakes // Earth’s Cryosph. 2017. V. 21. № 2. P. 28–37.
- Esri, Garmin, HERE, GEBCO, NOAA, National Geographic, Geonames.org et al. 2020. ESRI World Ocean Base [Online map]. URL: https://services.arcgisonline.com/ArcGIS/ rest/services/Ocean/World_Ocean_Base/MapServer/ tile/%7Bz%7D/%7By%7D/%7Bx%7D (22.12.2022).
- UNESCO/IHA GHG measurement guidelines for freshwater reservoirs / Goldenfum J.A. (Ed.). International Hydropower Association (IHA): London, UK, 2010. 138 p. URL: https://www.hydropower.org/publications/ ghg-measurement-guidelines-for-freshwater-reservoirs (30.01.23).
- Gruca-Rokosz R., Tomaszek J. Methane and Carbon Dioxide in the Sediment of a Eutrophic Reservoir: Production Pathways and Diffusion Fluxes at the Sediment–Water Interface // Water Air Soil Pollut. 2015. V. 226. P. 16–32.
- Guerin F., Abril G. Significance of pelagic aerobic methane oxidation in the methane and carbon budget of a tropical reservoir // J. Geophys. Res. 2007. V. 112. P. 3006–3020.
- Harrison J., Deemer B., Birchfield M., O`Malley M. Reservoir Water-Level Drawdowns Accelerate and Amplify Methane Emission // Environ. Sci. Technol. 2017. V. 51. № 3. P. 1267–1277.
- IPCC, 2021: Climate Change 2021: The Physical Science Basis. Contribution of Working Group I to the Sixth Assessment Report of the Intergovernmental Panel on Climate Change / Masson-Delmotte V et al. (eds). Cambridge University Press, Cambridge, United Kingdom and New York, NY, USA, 2021. 2391 p. https://doi.org/10.1017/9781009157896
- Kazantsev V.S., Krivenok L.A., CherbuninaM.Yu. Methane emissions from thermokarst lakes in the southern tundra of Western Siberia // Geogr. Environ. Sustain. 2018. V. 11. № 1. P. 58–73.
- Klaus M., Vachon D. Challenges of predicting gas transfer velocity from wind measurements over global lakes // Aquat. Sci. 2020. V. 82. № 3. P. 53.
- Liss P.S., Slater P.G. Flux of gases across the air-sea interface // Nature. 1974. V. 247. P. 181–184.
- Milberg P., Tornqvist L., Westerberg L., Bastviken D. Temporal variations in methane emissions from emergentaquatic macrophytes in two boreonemoral lakes // AoB Plants. 2017. V. 9. № 4. https://doi.org/10.1093/aobpla/plx029
- Miller B., Arntzen E., Goldman A., Richmond M. Methane Ebullition in Temperate Hydropower Reservoirs and Implications for US Policy on Greenhouse Gas Emissions // Env. Manag. 2017. V. 60. № 4. P. 615–629.
- Ostrovsky I., McGinnis D., Lapidus L., Eckert W. Quantifying gas ebullition with echosounder: the role of methane transport by bubbles in a medium-sized lake // Limn. and Oceanogh-Meth. 2018. V. 6. № 2. P. 105–118.
- Repo E., Huttunen J.T., Naumov A.V. et al. Release of CO2 and CH4 from small wetland lakes in western Siberia // Tellus B: Chem. Phys. Meteorol. 2007. V. 59. № 5. P. 788–796.
- Sabrekov A., Glagolev M., Kleptsova I., Maksyutov S. CH4 emission from West-Siberia tundra mires // Environmental Dynamics and Global Climate Change. 2011. V. 2. № 1. P. 1–16.
- Sander R. Compilation of Henry’s law constants (version 4.0) for water as solvent // Atmos. Chem. Phys. 2015. V. 15. P. 4399–4981. https://doi.org/10.5194/acp-15-4399-2015
- Savvichev A., Rusanov I., Dvornikov Yu. et al. The water column of the Yamal tundra lakes as a microbial filter preventing methane emission // Biogeosciences. 2021. V. 18. № 9. P. 2791–2807.
- Striegl R.G., Michmerhuizen C.M. Hydrologic influence on methane and carbon dioxide dynamics at two northcentral Minnesota lakes // Limnol. Oceanogr. 1998. V. 43. P. 1519–1529. https://doi.org/10.4319/lo.1998.43.7.1519
- Theil H. Economic forecasts and policy. North-Holland Pub Co, Amsterdam, 1958. 562 p.
- Utsumi M., Nojiri Y., Nakamura T. et al. Dynamics of dissolved methane and methane oxidation in dimictic Lake Nojiri during winter // Limnol. Oceanogr. 1998. V. 43. P. 10–17. https://doi.org/10.4319/lo.1998.43.1.0010
Supplementary files









