Вклады нелинейных спектральных компонент в распределение вероятностей аномально высоких волн по результатам численного решения уравнений Эйлера
- Авторы: Слюняев А.В.1,2,3
-
Учреждения:
- Институт прикладной физики РАН
- Тихоокеанский океанологический институт им. В.И. Ильичева ДВО РАН
- Национальный исследовательский университет “Высшая школа экономики”
- Выпуск: Том 59, № 6 (2023)
- Страницы: 793-814
- Раздел: Статьи
- URL: https://journal-vniispk.ru/0002-3515/article/view/162280
- DOI: https://doi.org/10.31857/S000235152306010X
- EDN: https://elibrary.ru/ORXADF
- ID: 162280
Цитировать
Полный текст
Аннотация
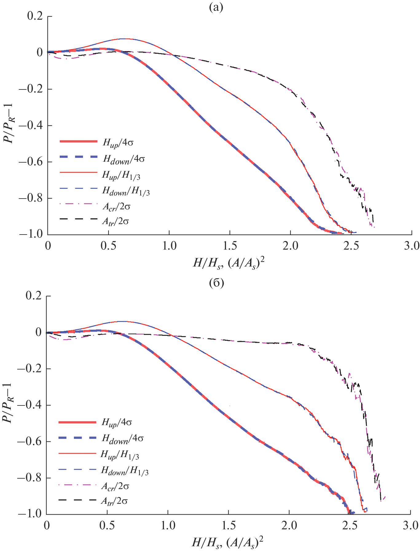
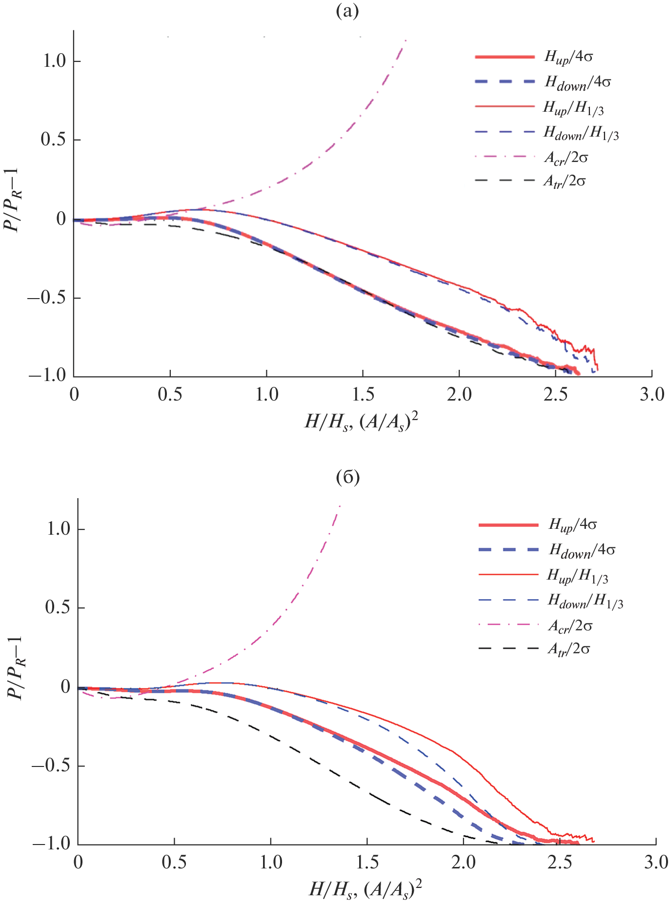
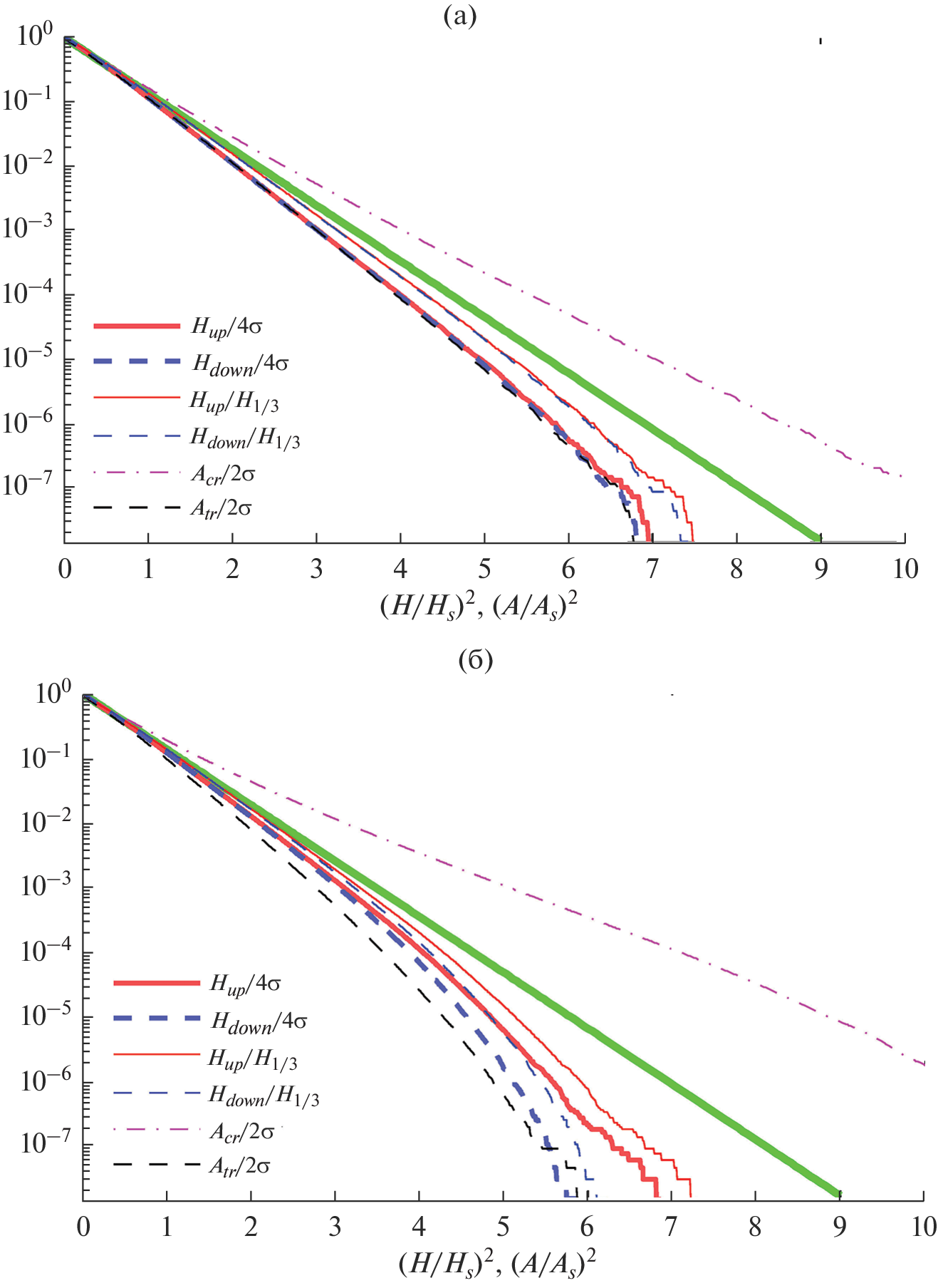
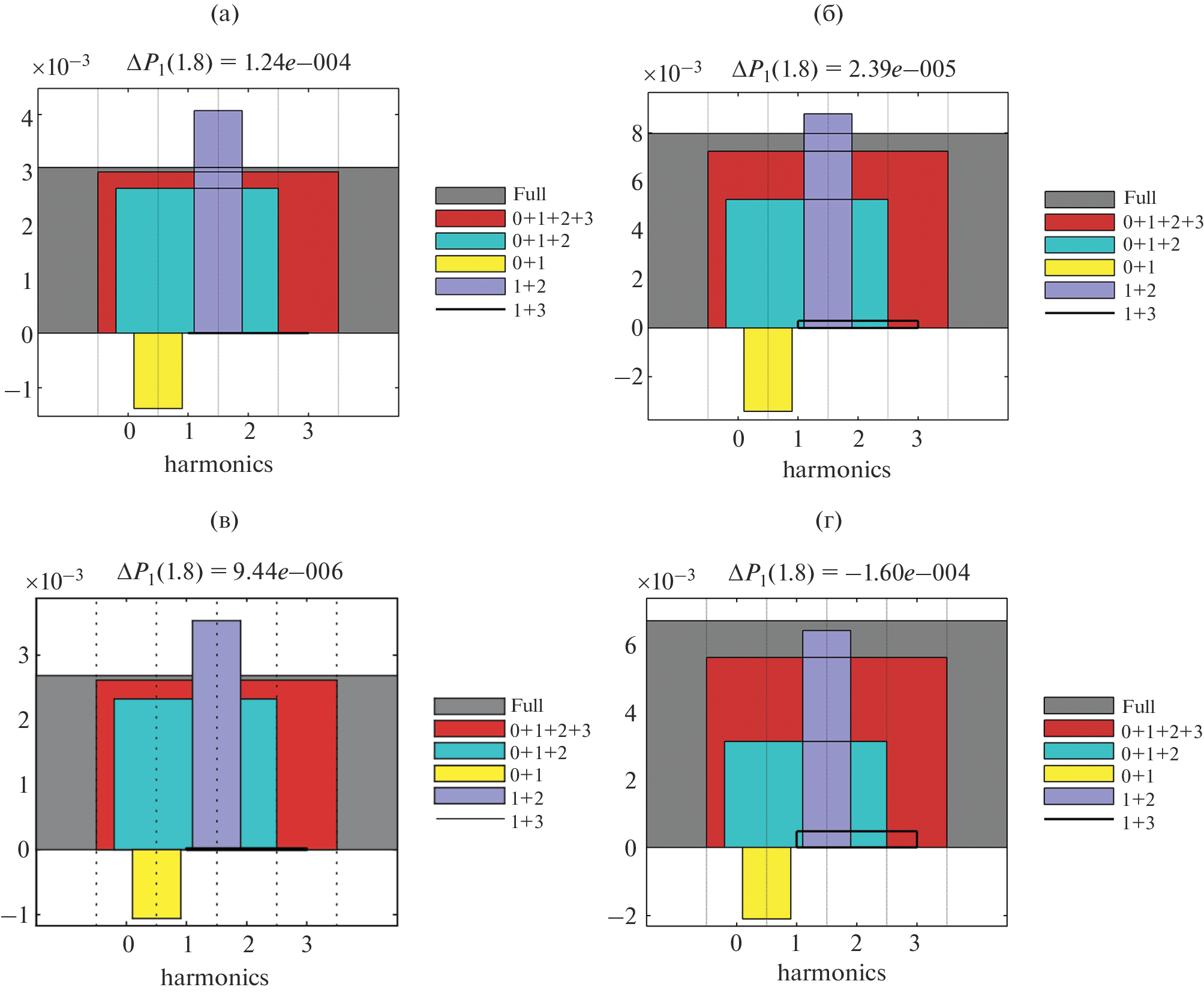
По результатам прямого численного моделирования нерегулярных нелинейных волн на поверхности глубокой воды в рамках трехмерных потенциальных уравнений гидродинамики определены вклады различных волновых компонент (второй, третьей и разностной гармоник) в формирование распределений вероятностей высот экстремальных волн, а также амплитуд гребней и ложбин. Проанализированы результаты моделирования с учетом 4- и 5-волновых нелинейных взаимодействий. Разные нелинейные гармоники участвуют в формировании распределений вероятностей сложным образом, существенно не поддающимся принципам линейного сложения и упорядочивания вклада по малому параметру нелинейности.
Об авторах
А. В. Слюняев
Институт прикладной физики РАН; Тихоокеанский океанологический институт им. В.И. Ильичева ДВО РАН; Национальный исследовательский университет “Высшая школа экономики”
Автор, ответственный за переписку.
Email: slunyaev@ipfran.ru
Россия, 603950, Нижний Новгород, ул. Ульянова, 46; Россия, 690041, Владивосток, ул. Балтийская, 43; Россия, 603155, Нижний Новгород, ул. Большая Печерская, 25/12
Список литературы
- Захаров В.Е. Устойчивость периодических волн на поверхности глубокой жидкости // Журн. прикл. механики и техн. физики. 1968. Т. 9. С. 86–94.
- Слюняев А.В. Нелинейное уравнение высокого порядка для огибающей гравитационных волн на воде конечной глубины // ЖЭТФ. 2005. V. 128. P. 1061–1077.
- Слюняев А.В., Кокорина А.В. Численное моделирование “волн-убийц” на морской поверхности в рамках потенциальных уравнений Эйлера // Изв. РАН. Физика атмосферы и океана. 2020. Т. 56. С. 210–223.
- Слюняев А.В., Пелиновский Д.Е., Пелиновский Е.Н. Морские волны-убийцы: наблюдения, физика и математика // Успехи физических наук. 2023. Т. 193. С. 155–181.
- Adcock T.A.A., Taylor P.H., Yan S., Ma Q.W., Janssen P.A.E.M. Did the Draupner wave occur in a crossing sea? // Proc. R. Soc. A. 2011. V. 467. P. 3004–3021.
- Annenkov S.Y., Shrira V.I. Effects of finite non-Gaussianity on evolution of a random wind wave field // Phys. Rev. E. 2022. V. 106. L042102.
- Annenkov S.Y., Shrira V.I. Spectral evolution of weakly nonlinear random waves: kinetic description versus direct numerical simulations // J. Fluid Mech. 2018. V. 844. P. 766–795.
- Chalikov D.V. Numerical modeling of sea waves. Springer, 2016. 306 p.
- Chalikov D., Bulgakov K. Estimation of wave height probability based on the statistics of significant wave height // J. Ocean Eng. Mar. Energy. 2017. V. 3. P. 417–423.
- Christou M., Ewans K. Field measurements of rogue water waves // J. Phys. Oceanogr. 2014. V. 44. P. 2317–2335.
- Dalzell J.F. A note on finite depth second-order wave-wave interactions // Appl. Ocean Res. 1999. V. 21. P. 105–111.
- Dommermuth D. The initialization of nonlinear waves using an adjustment scheme // Wave Motion. 2000. V. 32. P. 307–317.
- Dommermuth D., Yue D.K.P. A high–order spectral method for the study of nonlinear gravity waves // J. Fluid Mech. 1987. V. 184. P. 267–288.
- Ducrozet G., Bonnefoy F., Touzé D.Le, Ferrant P. HOS-ocean: Open-source solver for nonlinear waves in open ocean based on High-Order Spectral method // Computer Physics Communications. 2016. V. 203. P. 245–254.
- Dyachenko A.I., Kachulin D.I., Zakharov V.E. Freak-waves: compact equation versus fully nonlinear one / In “Extreme ocean waves” Eds.: Pelinovsky E., Kharif C. Springer, 2016. P. 23–44.
- Fedele F., Brennan J., Ponce de León S., Dudley J., Dias F. Real world ocean rogue waves explained without the modulational instability // Sci. Rep. 2016. V. 6. P. 27715.
- Holthuijsen L.H. Waves in oceanic and coastal waters. Cambridge Univ. Press. 2007. 387 p.
- Kachulin D., Dyachenko A., Gelash A. Interactions of coherent structures on the surface of deep water // Fluids. 2019. V. 4. P. 83.
- Kharif C., Pelinovsky E., Slunyaev A. Rogue Waves in the Ocean. Springer-Verlag Berlin Heidelberg, 2009. 216 p.
- Massel S.R. Ocean surface waves: Their physics and prediction. World Scientifc Publ., Singapore, 1996. 491 p.
- Onorato M., Osborne R., Serio M. On the relation between two numerical methods for the computation of random surface gravity waves // Eur. J. Mech. B/Fluids. 2007. V. 26. P. 43–48.
- Sergeeva A., Slunyaev A. Rogue waves, rogue events and extreme wave kinematics in spatio-temporal fields of simulated sea states // Nat. Hazards Earth Syst. Sci. 2013. V. 13. P. 1759–1771.
- Slunyaev A., Klein M., Clauss G.F. Laboratory and numerical study of intense envelope solitons of water waves: generation, reflection from a wall and collisions // Physics of Fluids. 2017. V. 29. P. 047103.
- Slunyaev A., Kokorina A. Account of occasional wave breaking in numerical simulations of irregular water waves in the focus of the rogue wave problem // Water Waves. 2020. V. 2. P. 243–262.
- Slunyaev A.V. Effects of coherent dynamics of stochastic deep-water waves // Phys. Rev. E. 2020. V. 101. P. 062214.
- Slunyaev A.V. Persistence of hydrodynamic envelope solitons: detection and rogue wave occurrence // Phys. Fluids. 2021. V. 33. P. 036606.
- Slunyaev A.V., Kokorina A.V. Soliton groups as the reason for extreme statistics of unidirectional sea waves // J. Ocean Eng. Marine Energy. 2017. V. 3. P. 395–408.
- Slunyaev A.V., Sergeeva A.V., Didenkulova I. Rogue events in spatiotemporal numerical simulations of unidirectional waves in basins of different depth // Natural Hazards. 2016. V. 84. P. 549–565.
- Tanaka M. A method of studying nonlinear random field of surface gravity waves by direct numerical simulation // Fluid Dyn. Res. 2001a. V. 28. P. 41–60.
- Tanaka M. Verification of Hasselmann’s energy transfer among surface gravity waves by direct numerical simulations of primitive equations // J. Fluid Mech. 2001b. V. 444. P. 199–221.
- West B.J., Brueckner K., Janda R.S., Milder D.M., Milton R.L. A new numerical method for surface hydrodynamics // J. Geophys. Res. 1987. V. 92. P. 11803–11824.
- Xiao W., Liu Y., Wu G., Yue D.K.P. Rogue wave occurrence and dynamics by direct simulations of nonlinear wave-field evolution // J. Fluid Mech. 2013. V. 720. P. 357–392.
Дополнительные файлы


















