Turbulent Exchange in Unsteady Air-Sea Interaction at Small and Submesoscales
- Autores: Chukharev A.M.1, Pavlov M.I.1
-
Afiliações:
- Marine Hydrophysical Institute of the Russian Academy of Sciences
- Edição: Volume 60, Nº 1 (2024)
- Páginas: 95-104
- Seção: Articles
- URL: https://journal-vniispk.ru/0002-3515/article/view/261311
- DOI: https://doi.org/10.31857/S0002351524010097
- ID: 261311
Citar
Texto integral
Resumo
An adequate description of the interaction between the atmosphere and ocean remains one of the most important problems of modern oceanology and climatology. An extremely wide variety of physical processes occurring in the coupled layers, a large range of scales, a moving boundary, all this factors significantly complicates the creation of models that would allow calculating the physical characteristics in both media with the necessary accuracy. In this paper the temporal variability of dynamic parameters in the driving layer of the atmosphere and in the near-surface layer of the sea on small and sub-mesoscales from one to several tens of hours is considered. The collected experimental data show a very high correlation between the dynamic wind speed and turbulence intensity in the upper sea layer on all scales recorded. An important distinguishing feature of all measured physical quantities in both media is the presence of quasi-periodic oscillations with different periods. For a more accurate description of momentum and energy fluxes from the atmosphere a non-stationary model of turbulent exchange in the near-surface layer of the sea is proposed. The model takes into account quasi-periodicity in the intensity of dynamic interaction between the atmosphere and the sea at these scales. In the model we use the equations of momentum and turbulent energy balance, the system of equations is solved numerically, the calculation results are compared with other models and with experimental data. It is shown that taking into account the non-stationarity of the wind strain improves the correspondence between the calculations and the experimental data. It is noted that in the nonstationary case, the energy and momentum flux from the atmosphere and the turbulence intensity increases compared to the action of a constant average wind of the same duration. Therefore, the strong averaging often used in global models may markedly underestimate the intensity of the dynamic interaction between the atmosphere and ocean.
Palavras-chave
Texto integral
Статья подготовлена на основе устного доклада, представленного на IV Всероссийской конференции с международным участием “Турбулентность, динамика атмосферы и климата”, посвященной памяти академика АМ. Обухова (Москва, 22–24 ноября 2022 г.).
ВВЕДЕНИЕ
Возрастающие требования к моделям прогноза погоды и климата привели к необходимости создания объединенных моделей, учитывающих активное взаимодействие в сопряженных слоях атмосферы и моря (coupled models). Процессы переноса энергии и импульса от атмосферы к океану и обратно, как правило, нестационарны и сложным образом связаны с крупномасштабной циркуляцией обеих сред. Моделирование этих процессов остается не до конца решенной задачей из-за необходимости учета большого количества изменяющихся параметров, а также из-за осреднения, которое приходится делать в моделях. Во временных масштабах детализация изменчивости исследуемых характеристик часто ограничивается периодами в десятки часов, колебания на меньших масштабах при этом не рассматриваются, что может приводить к дополнительным ошибкам в оценке динамического взаимодействия атмосферы и моря. Например, в работах [Kundu, 1980, D’Alessio, 98] и ряде других обсуждались разные модели и разные временные масштабы для описания верхнего перемешанного слоя океана, где показаны, в том числе, роль потоков тепла и ленгмюровских циркуляций в интенсивности турбулентного перемешивания. При этом в [Kundu, 1980] оценивалось влияние динамического воздействия ветра на поверхность и диффузии турбулентности на заглубление однородного слоя, в качестве базовой ими использовалась модель [Gibson, Launder, 1976].
Широко используемый подход к описанию верхнего слоя океана разработан в [Large et al., 1994], где параметризация вертикального турбулентного обмена осуществлена алгебраическими функциями от глубины. Несмотря на важность данной проблемы и большое количество работ, посвященных ее решению, оценка реальных гидрофизических характеристик с помощью имеющихся моделей остается во многом неудовлетворительной [Belcher et al., 2012]. При этом одним из наиболее вероятных механизмов, влияющих на отличие реальных величин от смоделированных, считается циркуляция Ленгмюра, в большинстве современных моделей не учитываемая.
Сравнительно недавно стало понятно, что объективные оценки основных гидрофизических параметров верхнего слоя океана требуют более детальной информации о процессах взаимодействия атмосферы и океана, о перераспределении тепла и импульса в пограничных слоях обеих сред [Belcher et al., 2012]. В последние десятилетия исследований турбулентности сформировалось убеждение, что перенос импульса, энергии и других величин в турбулентных сдвиговых течениях определяется в большой степени крупномасштабным вихревым движением, а не хаотическим мелкомасштабным. При этом форма, интенсивность и масштаб таких организованных движений различны в разных потоках [Хлопков, 2002]. Во взаимодействии океана и атмосферы роль таких структур исследована пока недостаточно. Как показывает численное моделирование, периодическое воздействие создает когерентные структуры в пограничном слое моря и увеличивает интенсивность турбулентных движений, причем для некоторой частоты имеется максимум такого увеличения, своего рода резонанс [Kim, 2003].
В настоящей работе предложена нестационарная модель турбулентного обмена в приповерхностном слое моря, учитывающая изменчивость ветрового потока импульса на малых масштабах, расчеты сопоставляются с результатами измерений мелкомасштабных флуктуаций гидрофизических полей, полученных в экспедиционных исследованиях на стационарной океанографической платформе МГИ на протяжении ряда лет.
Целью работы является уточнение расчета интенсивности вертикального турбулентного обмена в приповерхностном слое моря при нестационарном приводном ветре.
АППАРАТУРА И ИЗМЕРЕНИЯ
Проводимые отделом турбулентности Морского гидрофизического института РАН экспериментальные исследования в прибрежной зоне Черного моря направлены на изучение зависимости интенсивности турбулентного обмена в приповерхностном слое от определяющих параметров.
Для исследования мелкомасштабных турбулентных процессов в морской среде нами используется разработанный в МГИ измерительный комплекс “Сигма-1” [Самодуров и др., 2005]. При изучении турбулентности вблизи поверхности моря применяется позиционный вариант прибора, который дает возможность проводить измерения основных гидрофизических параметров и их флуктуации: температуру, электропроводность, давление, три компоненты пульсаций вектора скорости. Прибор оснащен системой контроля положения, которая включает в себя датчики линейных ускорений и компас, что позволяет пересчитывать пульсации скорости в неподвижную систему отсчета [Чухарев, 2010]. Одновременно регистрировались также фоновые гидрометеорологические величины: скорость и направление ветра, температура воды и воздуха, скорость и направление течения, параметры поверхностных волн и др. Скорость и направление течения, а также средние величины температуры воды и электропроводности определялись измерительным комплексом “Восток-М”, использовался также акустический измеритель профиля скорости течений DVS6000, регистрирующий все три компоненты. Скорость ветра и параметры волнения регистрировались сотрудниками отдела дистанционных методов исследований (ОДМИ) МГИ с помощью собственных измерительных средств. Данные о турбулентных характеристиках приводного слоя атмосферы, потоках импульса и тепла в совместных экспедициях в 2005–2015 гг. получены сотрудниками Института физики атмосферы РАН посредством комплекса микрометеорологических датчиков ИФА РАН. Измерения сопровождались непрерывным мониторингом стандартных метеорологических параметров.
Методика измерений турбулентных характеристик приповерхностного слоя моря включала в себя два основных направления: регистрация измеряемых величин на различных горизонтах (с выдержкой прибора на фиксированной глубине в течение 10–20 мин) для исследования зависимости интенсивности турбулентности от глубины при различных гидрометеорологических условиях и многочасовые записи (до 75 ч) на одном горизонте для изучения временной изменчивости этих характеристик. Более подробно методика проведения измерений позиционным вариантом комплекса “Сигма-1” описана в [Чухарев, 2010].
Данные, получаемые с приборов “Сигма-1”, DVS6000 и “Восток”, вводились в бортовой компьютер в режиме реального времени, данные о скорости ветра и параметрах волнения обеспечивались сотрудниками ОДМИ. Часть используемых данных о динамической скорости в воздухе, была любезно предоставлена сотрудниками ИФА РАН, которыми проводились прямые измерения трех компонент пульсаций скорости с помощью акустического анемометра во время совместных экспедиций, а часть – рассчитывалась по скорости ветра, что также любезно была предоставлена сотрудниками ОДМИ МГИ. Компьютеры, принимающие информацию, периодически (не реже одного раза в сутки) синхронизировались. До начала экспедиции и после ее окончания измерительные комплексы “Сигма-1” и “Восток” калибровались в отделе стандартизации и метрологии МГИ.
ОБРАБОТКА ДАННЫХ
Все данные измерений подвергались предварительной обработке и первичному анализу с целью повышения достоверности результатов. Для дальнейшей обработки и анализа отбирались данные, полученные при направлении течения со стороны открытого моря, не искаженные искусственным препятствием (платформой). Ряды данных о турбулентных пульсациях вектора скорости течения пересчитывались в неподвижную систему координат и подвергались фильтрации двухступенчатым медианным фильтром.
Для оценки скорости диссипации турбулентной энергии ε сначала рассчитывались частотные спектры S(f), которые переводились в спектры волновых чисел S(k) при помощи гипотезы “замороженной турбулентности” Тэйлора , где U – скорость переноса вихрей через датчик, в качестве которой обычно использовалась скорость основного течения. В некоторых случаях (при малой скорости течения в слое активного волнового воздействия) применялась так называемая расширенная гипотеза Тэйлора, где в качестве переносной скорости использовалась орбитальная скорость частиц волны [Terray, 1996]. Далее использовался метод [Stewart, Grant, 1962] сравнения модельного спектра Насмита [Oakey, 1982] с экспериментальным спектром, что позволяет оценить ε по наилучшему совпадению спектров, причем влияние волнения и собственных колебаний прибора в этом случае мало влияет на точность оценки [Stewart, Grant, 1962].
Для расчета вейвлет-коэффициентов использовался вейвлет Морле и непрерывное вейвлет-преобразование:
где W – вейвлет-коэффициенты; a – масштаб вейвлет-преобразования; b – сдвиг по оси времени; ξ – исходный сигнал; φ – материнский вейвлет; t – время.
Для устранения влияния волновых движений на оценки энергии морской турбулентности, использовались значения вертикальной компоненты вектора скорости, как наименее подверженной искажениям. Данные предварительно подвергались фильтрации фильтром верхних частот с пороговой частотой 1 Гц.
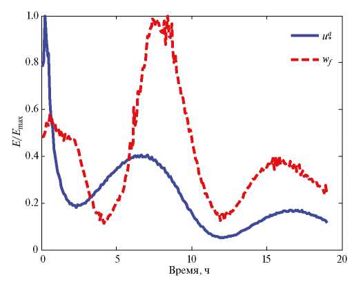
Важной чертой, которая проявлялась практически во всех измерениях, являлось наличие многочасовых (субмезомасштабных) периодичностей в значениях гидрометеорологических характеристик. На рис. 1 изображены изменения во времени энергии колебаний физических параметров в сопряженных слоях моря и атмосферы, рассчитанные с помощью вейвлет-анализа. Проведенные нами длительные наблюдения демонстрируют тесную взаимосвязь субмезомасштабных процессов в обеих средах, и в этих процессах в большинстве случаев проявляются квазипериодические колебания по всем наблюдаемым параметрам [Чухарев, Репина, 2012].
Рис. 1. Пример изменения средней по масштабам турбулентной энергии, нормированной на максимальное значение, в пограничных слоях атмосферы и моря 15–16 июня 2007 г.: динамическая скорость в воздухе и среднеквадратичная вертикальная пульсационная скорость wf на глубине 1 м, обработанная фильтром верхних частот с пороговой частотой 1 Гц.
По данным наблюдений в течение двух экспедиционных сезонов нами построена гистограмма значимых периодов (т.е. превышающих спектр “красного шума”) для динамической скорости в приводном слое , среднеквадратичной вертикальной составляющей пульсаций скорости в воде и скорости течения Ud (рис. 2). Мы здесь наблюдаем весьма широкий диапазон периодических процессов от нескольких часов до нескольких суток. Очень похожего вида гистограмма для прибрежных течений в районе г. Геленджика была получена в экспериментах [Зацепин и др., 2012].
Рис. 2. Гистограмма распределения выявленных периодичностей в пограничных слоях атмосферы и моря. – динамическая скорость в воздухе; wrms – среднеквадратические вертикальные пульсации скорости в воде; Ud – скорость течения. Измерения проводились в июне 2005 г. и в июне 2007 г. в районе океанографической платформы в Кацивели.
В большинстве случаев колебания интенсивности турбулентности в море очень четко коррелировали с . При умеренных и сильных ветрах масштабы периодичностей турбулентной энергии в приповерхностном слое были близки к масштабам изменчивости (рис. 3), в то время как связь с волнением прослеживается не так явно. Из этого следует вывод, в частности, о значительном влиянии тангенциального напряжения ветра на изменчивость морской турбулентности.
Рис. 3. Глобальные спектры динамической скорости в воздухе и фильтрованной среднеквадратичной вертикальной пульсационной скорости на глубине 1 м, рассчитанные с помощью вейвлет-анализа. Данные осреднены по 5 мин, измерения выполнены 17–18 июня 2007 г.
Таким образом, натурные наблюдения показывают важное свойство протекающих в пограничных слоях моря и атмосферы процессах – существенную нестационарность. По этой причине обычно используемое многочасовое или многосуточное осреднение гидрометеорологических характеристик не всегда оправдано, т.к. нивелирует изменчивость динамического взаимодействия моря и атмосферы на малых масштабах, тем самым снижая объективность модельных расчетов. Чтобы повысить достоверность модельных представлений динамического взаимодействия атмосферы и моря, нами предложена нестационарная модель турбулентного обмена для приповерхностного слоя, которая бы учитывала внутрисуточные субмезомасштабные изменения тангенциального напряжения ветра.
МОДЕЛЬ
Рассмотрим горизонтально однородный слой со свободной верхней границей, подверженной переменному тангенциальному напряжению ветра. Будем считать слой хорошо перемешанным, потоками тепла и солей на данном этапе пренебрегаем. Для описания динамики этого слоя предлагается модель, учитывающая нестационарность динамических процессов взаимодействия сопряженных слоев моря и атмосферы. В нашем случае в модели не учитывалась изменчивость поверхностного волнения и его влияние на сдвиг скорости течения, поскольку это более инерционная составляющая энергетического баланса и для расчета волнения используются и развиваются специальные модели (см., например, [Ратнер и др., 2021]). При таком подходе можно лучше проанализировать влияние отдельного важного фактора – потока импульса через поверхность вследствие тангенциального напряжения ветра и формированию дрейфового сдвигового течения. Главная цель использования предложенной нестационарной модели – учет переменного динамического атмосферного воздействия на поверхность моря на малых и субмезомасштабах, поэтому в модели не рассматриваются потоки плавучести и теплообмен с атмосферой. Уравнения баланса импульса и турбулентной кинетической энергии в приближении Буссинеска имеют вид:
(1)
(2)
(3)
Здесь U и V – средние горизонтальные компоненты скорости вдоль осей x и y соответственно, f – параметр Кориолиса, – пульсационные компоненты скорости, – турбулентная кинетическая энергия, Ew – энергия поверхностного волнения, – пульсации давления, ε – скорость диссипации. Для замыкания системы используются соотношения, выражающие турбулентные потоки импульса через коэффициент турбулентной вязкости:
(4)
где νt – коэффициент турбулентной вязкости, Sm – константа, l – турбулентный масштаб длины. Для l принимается упрощенная зависимость , z – глубина, zb – обратное волновое число самых коротких обрушивающихся волн [Kudryavtsev et al., 2008] используемое вместо параметра шероховатости z0, κ – постоянная Кармана.
Поскольку турбулентность считается хорошо развитой, изотропной, пульсациями давления пренебрегаем, т.к. в балансе турбулентной энергии они в этом случае играют незначительную роль [Монин, Яглом, 1965, с. 327]. Поэтому два слагаемых в правой части (3) могут быть выражены следующим образом [D’Alessio, 1998]:
(5)
Уравнение баланса турбулентной энергии в предлагаемой модели отличается от обычного вида дополнительным членом , который описывает турбулентный перенос волновой кинетической энергии, физический механизм которого предложен в [Kitaigorodskii, Lumley, 1983]. Скорость диссипации турбулентной энергии определяется, следуя [Craig, Banner, 1994], через масштабы скорости и длины:
(6)
где константа B = 16.6.
Таким образом, в системе (1)–(3) остаются неизвестными величины U, V и q.
Граничные и начальные условия принимались следующими:
на верхней границе
(7)
на нижней границе
(8)
Динамическая скорость в воде ρa и ρw – плотность воздуха и воды соответственно, cD – коэффициент сопротивления поверхности, Va – скорость ветра. Скорость течения в начальный момент времени полагалась равной нулю по всей глубине кроме поверхности, а турбулентная энергия и скорости диссипации задавались константой по всей глубине.
Скорость дрейфового (сдвигового) течения на поверхности U0 определялась через скорость ветра по эмпирической формуле [Егоров, 1974] , ([Va] = м/с, [U0] = см/с, φ – широта).
Расчет генерации турбулентности сдвиговым течением осуществляется в соответствии с приведенными выше формулами, после подстановки коэффициента турбулентной вязкости соотношение примет следующий вид:
Турбулентный перенос кинетической энергии волнения будем считать пропорциональным волновой энергии на данном горизонте и характерному масштабу турбулентных пульсаций скорости, в качестве которого используем динамическую скорость в воде [Чухарев, 2013]. Тогда уравнение (3) приведется к виду
Кинетическая энергия волнения рассчитывалась с учетом наличия спектра:
где ω – циклическая частота, g – ускорение свободного падения, в качестве спектральной функции Sη(ω) использовался модельный спектр [Donelan et al., 1985], который рассчитывается с учетом степени развития волнения: отношения скорости ветра к фазовой скорости волнения (Va/cp).
Описанная система уравнений (1)–(8) решалась численно на равномерной сетке по неявной схеме [Самарский, 1977]. В качестве теста использовалось сравнение с полученными в наших экспериментах данными о скорости диссипации турбулентной энергии, рассчитанными по методике [Stewart, Grant, 1962] и с некоторыми стационарными моделями. На рис. 4 приведены сравнительные расчеты по модели [Kudryavtsev et al., 2008], по многомасштабной модели [Чухарев, 2013] и по нестационарной модели (1)–(8) при задаваемом постоянном ветре, поскольку в стационарных моделях ветер считался неизменным. Результаты расчета по нестационарной модели несколько отличаются от приведенных стационарных моделей, но в то же время удовлетворительно согласуются с экспериментальными данными, что свидетельствует об адекватности модели.
Рис. 4. Скорость диссипации турбулентной энергии: экспериментальные данные и модельные расчеты. Точками обозначены данные эксперимента; K&al. – модель [Kudryavtsev et al., 2008]; MultSc – многомасштабная модель [Чухарев, 2013]; NS stat – нестационарная модель, V10 – скорость ветра на высоте 10 м, HS – высота значительных волн, fp – частота спектрального пика волнения.
Другие тестовые расчеты по модели приведены на рис. 5, где показано изменение продольной компоненты средней скорости с течением времени при периодическом воздействии касательного напряжения ветра на поверхность. Рассчитанные значения скорости соответствуют физическим представлениям о характере движения в таких условиях: происходит периодическое увеличение компоненты скорости и видно затухание с глубиной. Уменьшение с течением времени глубины проникновения колебаний связано с перераспределением импульса между компонентами. Рассчитанные модельные значения турбулентного потока импульса изображены на рис. 6, где также прослеживается затухание амплитуды колебаний с глубиной и запаздывание во времени с ростом глубины. То есть и в этом случае мы видим физически правильное воспроизведение эволюции гидрофизических характеристик и их поведение на разных глубинах.
Рис. 5. Модельное изменение продольной компоненты дрейфовой скорости.
Рис. 6. Модельный расчет изменения потока импульса по глубине с течением времени при периодическом воздействии тангенциального напряжения ветра на поверхность моря (толстая сплошная линия) и при постоянном ветре (тонкая маркированная линия). Шаг по времени 0.5 ч.
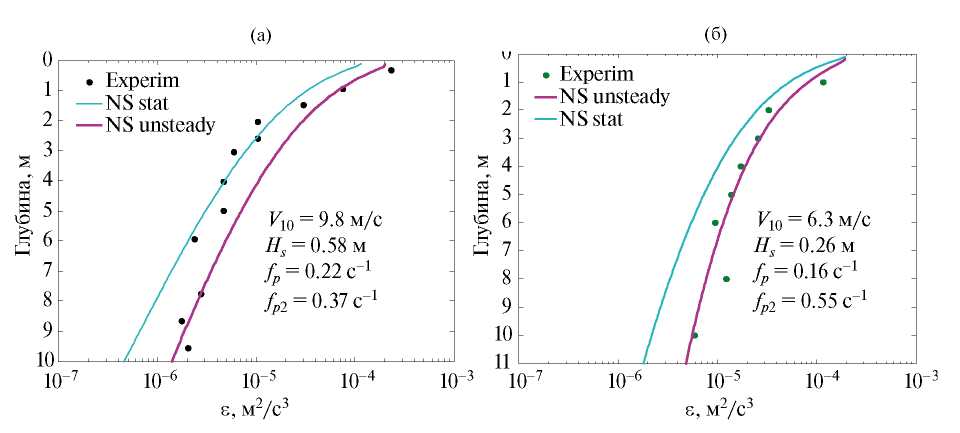
Результаты верификации модели на натурных данных приведены на рис. 7. На двух примерах при различных гидрометеорологических условиях показано, что нестационарная модель ближе к экспериментальным значениям скорости диссипации по сравнению с расчетами по этой же модели при постоянном среднем ветровом воздействии. Обращает на себя внимание увеличение интенсивности турбулентности в нестационарном случае, т.е. поток импульса из атмосферы при этом становится больше.
Рис. 7. Отличия в скорости диссипации в модельных расчетах при постоянном и переменном воздействии ветра на поверхность моря одинаковой продолжительности. Точки – экспериментальные значения, NS – нестационарная модель при постоянном (stat) и переменном (unsteady) потоке импульса на поверхности. Измерения выполнены 16 октября 2009 г. (a) и 21 сентября 2015 г. (б).
ЗАКЛЮЧЕНИЕ
Анализ большого числа натурных измерений гидрофизических характеристик в приповерхностном слое моря показывает значительное преобладание нестационарных процессов, как на внутрисуточных, так и на многодневных временных масштабах. Такая разномасштабная периодичность в изменчивости наблюдаемых величин обусловлена наличием достаточно крупных структур, которые в современной литературе принято называть субмезомасштабными. Диапазон линейных масштабов при этом составляет от сотен метров до десятков километров.
В то же время довольно большая часть моделей для описания крупномасштабных океанических процессов и процессов взаимодействия океана и атмосферы оперирует осредненными полями физических величин, при этом “не замечая” малые и субмезомасштабные колебания. Возможно, такое осреднение является одной из причин частого расхождения расчетных и фактических значений температуры поверхности океана или глубины верхнего перемешанного слоя [Belcher et al., 2012].
В нашей нестационарной модели в отличие от стандартной формулировки задачи в уравнение баланса турбулентной энергии введен дополнительный член, описывающий турбулентный перенос волновой кинетической энергии. Главной переменной величиной, определяющей турбулентный режим, считается скорость ветра, характеристики волнения при этом принимались средними за наблюдаемые отрезок времени и считались постоянными.
В рассмотренной нестационарной модели турбулентного обмена вблизи поверхности моря показано, что учет квазипериодичности динамического атмосферного воздействия на морскую поверхность на малых и субмезомасштабах приводит к заметному увеличению интенсивности турбулентного переноса импульса и энергии, увеличивая тем самым интенсивность вертикального перемешивания в морской среде. Верификация модельных расчетов на натурных данных, полученных в прибрежной зоне Черного моря, демонстрирует объективность предложенной модели.
Основные выводы настоящей работы состоят в следующем:
- Существующие на сегодняшний день модели недостаточно хорошо описывают интенсивность вертикального турбулентного обмена вблизи поверхности моря. Основная причина – теоретическое описание при взаимодействии двух сред различных физических процессов и трансформации их энергии в турбулентность остается неудовлетворительным.
- На основе многосуточных непрерывных наблюдений в сопряженных слоях моря и атмосферы выявлены значимые периодичности в интенсивности турбулентных пульсаций с масштабами от одного часа до десятков часов, в которых присутствуют закономерности, характерные для когерентных структур. Масштабы структур, выявленных по интенсивности турбулентности, составляют от 2 до 42–44 ч (~0.3–15 км), по скорости ветра и скорости течения – свыше 70 ч.
- Прослеживается высокая корреляция структур в морской среде с атмосферными процессами.
- Разработана нестационарная модель турбулентного обмена в приповерхностном слое моря, которая хорошо согласуется с экспериментами и правильно описывает фазовые сдвиги и изменчивость по глубине гидрофизических параметров. Показано, что учет нестационарности динамического воздействия на поверхность моря улучшает соответствие расчетов и натурных измерений.
- По модельным расчетам за один и тот же период времени, при нестационарном ветровом воздействии поток импульса из атмосферы больше, чем если предполагать ветер постоянным, равным среднему значению переменного.
Авторы выражают искреннюю благодарность сотрудникам ИФА РАН, а также сотрудникам ОДМИ, ЧГПП и отдела океанографии МГИ РАН за предоставленные данные и помощь в проведении экспериментов.
Экспериментальные исследования проведены в рамках госзадания FNNN-2021-0004, анализ данных и разработка модели выполнены при финансовой поддержке РНФ, проект 22-17-00150.
Sobre autores
A. Chukharev
Marine Hydrophysical Institute of the Russian Academy of Sciences
Autor responsável pela correspondência
Email: alexchukh@mail.ru
Rússia, Kapitanskaya str., 2, Sevastopol, 299011
M. Pavlov
Marine Hydrophysical Institute of the Russian Academy of Sciences
Email: alexchukh@mail.ru
Rússia, Kapitanskaya str., 2, Sevastopol, 299011
Bibliografia
- Зацепин А.Г., Пиотух В. Б., Корж А.О., Куклева О.Н., Соловьев Д.М. Изменчивость поля течений в прибрежной зоне Черного моря по измерениям донной станции adcp // Океанология. 2012. Т. 52. № 5. С. 629–642. https:// doi.org/10.22449/0233-7584-2021-5623-640
- Монин А.С., Яглом А.М. Статистическая гидромеханика. Ч. 1. М.: Наука, 1965. 639 с.
- Ратнер Ю.Б., Фомин В.В., Холод А.Л., Иванчик А.М. Модернизированная система оперативного прогноза морского волнения Черноморского центра морских прогнозов // Морской гидрофизический журнал. 2021. Т. 37. № 5. С. 623– 640. https://doi.org/10.22449/0233-7584-20215-623-640
- Самарский А.А. Теория разностных схем. М.: Наука, 1977. 656 с.
- Самодуров А.С., Дыкман В.З., Барабаш В.А. Ефремов О.И., Зубов А.Г., Павленко О.И. Измерительный комплекс “Сигма-1” для исследования мелкомасштабных характеристик гидрофизических полей в верхнем слое моря // Мор. гидрофиз. журн. 2005. № 5. С. 60 – 71.
- Хлопков Ю.И., Жаров В.А., Горелов С.Л. Когерентные структуры в турбулентном пограничном слое. М.: МФТИ, 2002. 129 с.
- Чухарев А.М. Модель турбулентности со многими временными масштабами для приповерхностного слоя моря // Изв. РАН. Физика атмосферы и океана. 2013. Т. 49. № 4. С. 477–488. https://doi.org/10.7868/S0002351513040020
- Чухарев А.М. Применение измерительного комплекса“Сигма-1” для исследования турбулентно сти на океанографической платформе // Экологическая безопасность прибрежной и шельфовой зон и комплексное использование ресурсов шельфа. 2010. Вып. 21. С. 231–238.
- Чухарев А.М., Репина И.А. Взаимодействие пограничных слоев моря и атмосферы на малых и средних масштабах в прибрежной зоне // Мор. гидроф. журн. 2012. № 2. С. 60-78.
- Belcher S.E., Grant A.L.M., Hanley K.E. еt al. A global perspective on Langmuir turbulence in the ocean surface boundary layer // Geophys. Res. Let. 2012. Vol. 39. L18605. https://doi.org/10.1029/2012GL052932
- Craig P.D., Banner M.L. Modelling wave-enhanced turbulence in the ocean surface layer // J. Phys. Oceanogr. 1994. V. 24. P. 2546–2559. https://doi.org/10.1175/1520-0485(1994)024 <2546:MWETIT>2.0.CO;2
- D’Alessio S.J.D., Abdella K., McFarlane N.A. A new second order turbulence closure scheme for modeling the oceanic mixed layer // J. Phys. Oceanogr. 1998. V. 28. № 8. P. 1624–1641. https://doi.org/10.1175/1520-0485(1998)028 <1624:ANSOTC>2.0.CO;2
- Donelan M.A, Hamilton J., Hui W.H. Directional spectra of wind-generated waves // Phyl. Trans. R. Soc. Lond. 1985. V. 315. № 1534. P. 509–562. https://doi.org/10.1098/rsta.1985.0054
- Gibson M.M., Lounder B.E. On the calculation of horizontal, turbulent free shear flows under gravitational influence // ASME J. Heat Transfer. 1976. V. 98. P. 81–87. https://doi.org/10.1115/1.3450474
- Kim K., Sung H.J. DNS of turbulent boundary layer with time–periodic blowing through a spanwise slot // Proceedings of the Asian Computational Fluid Dynamics Conference (5th). 2003. P. 835–842.
- Kitaigorodskii S.A., Lumley J.L. Wave turbulence interactions in the upper ocean. Part I: The energy balance of the interacting fields of surface wind waves and wind-induced three-dimensional turbulence // J. Phys. Oceanogr. 1983. V. 13. № 11. P. 1977–1987. https://doi.org/10.1175/1520-0485(1983)013< 1977:WTIITU>2.0.CO;2
- Kudryavtsev V., Shrira V., Dulov V., Malinovsky V. On the vertical structure of wind-driven sea currents // J. Phys. Oceanogr. 2008. V. 38. № 10. P. 2121–2144. https://doi.org/10.1175/2008JPO3883.1
- Kundu P.K. A numerical investigation of mixed-layer dynamics // J. Phys. Oceanogr. 1980. V. 10. № 2. P. 220–236. https://doi.org/10.1175/1520-0485(1980)010 <0220:ANIOML>2.0.CO;2
- Large, W.G., McWilliams J.C., Doney S.C. Oceanic vertical mixing: a review and a model with a nonlocal boundary layer parameterization. // Rev. Geophys. 1994. V. 32. № 4. P. 363–403. https://doi.org/10.1029/94RG01872
- Oakey, N.H. Determination of the rate of dissipation of turbulent energy from simultaneous temperature and velocity shear microstructure measurements // J. Phys. Oceanogr. 1982. V. 12. № 3. P. 256–271. https://doi.org/10.1175/1520-0485(1982)012 <0256:DOTROD>2.0.CO;2
- Stewart R.W., Grant H.L. Determination of the rate of dissipation of turbulent energy near the sea surface in the presence of waves // J. Geophys. Res. 1962. V. 67. № 8. Р. 3177–3180. https://doi.org/10.1029/JZ067i008p03177
- Terray E.A., Donelan M.A., Agrawal Y.C., Drennan W.M., Kahma K.K., Williams A.J., Hwang P.A., Kitaigorodskii S.A. Estimates of kinetic energy dissipation under breaking waves // J. Phys. Oceanogr. 1996. V. 26. № 5. P. 792–807. https://doi.org/10.1175/1520-0485(1996)026 <0792:EOKEDU>2.0.CO;2
Arquivos suplementares










