Influence of the Non-Traditional Approximation on Momentum Transfer by Internal Waves in a Shear Flow
- Authors: Slepyshev A.A.1, Schadt M.A.2
-
Affiliations:
- Marine Hydrophysical Institute of the RAS
- Sevastopol Branch of Lomonosov Moscow State University
- Issue: Vol 60, No 5 (2024)
- Pages: 601-610
- Section: Articles
- URL: https://journal-vniispk.ru/0002-3515/article/view/282060
- DOI: https://doi.org/10.31857/S0002351524050035
- EDN: https://elibrary.ru/HYEKQK
- ID: 282060
Cite item
Full Text
Abstract
The Boussinesq approximation considers free internal waves in a plane-parallel stratified flow, taking into account the Earth's rotation. An analytically resolvable model with a linear flow velocity profile and uniform stratification is considered, when the wave propagates perpendicular to the flow. It is shown that taking into account the contribution of the horizontal component of the angular velocity of the Earth's rotation due to the Coriolis force (non-traditional approximation) practically does not change the dispersion curves, however, the vertical wave momentum flux increases slightly. The effect intensifies as you approach the equator. In the non-traditional approximation, the vertical momentum flux is not zero even in the absence of flow, while in the traditional approximation it is zero.
Keywords
Full Text
ВВЕДЕНИЕ
Внутренние волны около инерционной частоты имеют ярко выраженный пик на энергетических спектрах и исследование их динамики в этом спектральном диапазоне открыл ряд интересных эффектов [Бадулин и др., 1991; Saint-Guily, 1970; Каменкович и Кулаков, 1977; Ле Блон и Майсек, 1981; Gerkema and Shrira, 2005]. При отказе от традиционного приближения, т.е при учете вклада горизонтальной составляющей угловой скорости вращения Земли в силу Кориолиса внутренние волны существуют при частоте, меньшей инерционной [Бадулин и др., 1991; Saint-Guily, 1970; Каменкович и Кулаков, 1977; Ле Блон и Майсек, 1981; Gerkema and Shrira, 2005; Резник, 2015]. Их называют субинерционными внутренними волнами. Частотный диапазон их существования тем шире, чем слабее стратификация, поэтому они и заметно проявляются в верхнем квазиоднородном слое и на больших глубинах [Бадулин и др., 1991; Gerkema and Shrira, 2005]. Субинерционные внутренние волны захватываются областями со слабой стратификацией, где частота плавучести меньше инерционной [Бадулин и др., 1991; Gerkema and Shrira, 2005]. При приближении их частоты к минимально возможной вертикальный и горизонтальный масштабы волны стремятся к нулю [Бадулин и др., 1991; Gerkema and Shrira, 2005], что указывает на возможность диссипации энергии в малые масштабы, например при распространении субинерционных внутренних волн на горизонтально-неоднородных течениях или вследствие влияния β-эффекта. Суперинерционные внутренние волны, частота которых в нетрадиционном приближении несколько больше инерционной могут переходить в субинерционные вследствие широтного изменения параметра Кориолиса и далее в малые масштабы, будучи захваченными слоем слабой стратификации [Gerkema and Shrira, 2005]. В настоящей работе будет рассмотрено влияние нетрадиционного приближения на вертикальный перенос импульса внутренними волнами. Причем, будут рассмотрены внутренние волны с частотой заметно большей инерционной при сильной стратификации. Ясно, что на дисперсионных свойствах этих волн нетрадиционное приближение никак не скажется [Каменкович и Кулаков, 1977]. Но на вертикальный перенос импульса этими волнами нетрадиционное приближение оказывает влияние. Даже более того, в случае, когда вертикальный волновой поток импульса в традиционном приближении нулевой, в нетрадиционном приближении он окажется не нулевым.
Нелинейные эффекты при распространении пакетов внутренних волн проявляются в генерации средних на временном масштабе волны течений. Горизонтальная компонента эйлеровой скорости индуцированного течения пропорциональна квадрату текущей амплитуды волны, вертикальная компонента пропорциональна горизонтальному градиенту квадрата амплитуды и имеет разные знаки на переднем и заднем фронте пакета и вклада в вертикальный перенос не вносит [Борисенко и др., 1976; Grimshaw, 1977]. Стоксов дрейф следует отличать от индуцированного эйлерового течения, он присутствует и в слабонелинейной плоской волне [Ле Блон и Майсек, 1981; Longuet-Higgins, 1969]. Суммарная скорость дрейфа частиц жидкости складывается из суммы эйлеровой скорости среднего течения и скорости стоксова дрейфа [Ле Блон и Майсек, 1981].
Для пакетов поверхностных волн показано, что суммарный средний импульс волнового пакета, проинтегрированный по глубине с учетом индуцированного течения и стоксова дрейфа равен нулю [Езерский и Папко, 1986; Фабрикант, 1988; Степанянц и Фабрикант, 1996; Мак-Интайр, 1984]. Однако переданный волновому пакету импульс при его генерации (квазиимпульс [Езерский и Папко, 1986; Фабрикант, 1988; Степанянц и Фабрикант, 1996] или псевдоимпульс в [Островский и Потапов, 2003]) передается длинноволновым возмущениям с масштабом порядка огибающей волнового пакета, генерируемым волновым пакетом [Фабрикант, 1988]. Горизонтальный поток импульса не равен нулю [Мак-Интайр, 1984]. В настоящей работе исследуется вертикальный поток импульса у внутренних волн при учете вращения Земли.
Внутренние волны в океане являются важным фактором, определяющим вертикальный обмен в океане. Это связано с тем, что при обрушении внутренних волн генерируется мелкомасштабная турбулентность, которая и ответственна за вертикальный обмен [Подымов и др., 2017; Самодуров и др., 1994; Охотников и Пантелеев, 1985]. Однако внутренние волны не только через обрушения влияют на вертикальный перенос. Сдвиги скорости течения, обусловленные внутренней волной, могут поддерживать уже сгенерированную турбулентность [Ivanov et al, 1984]. При учете турбулентной вязкости и диффузии внутренние волны затухают [Ле Блон и Майсек, 1981]. Вертикальные волновые потки импульса при этом отличны от нуля [Слепышев, 2016]. Вертикальные волновые потоки импульса отличны от нуля даже при отсутствии турбулентной вязкости и диффузии при учете вращения Земли и сдвигового течения [Слепышев и Лактионова, 2019; Анкудинов и Слепышев, 2021]. Если компонента скорости течения, перпендикулярная направлению распространения волны, зависит от вертикальной координаты, то вертикальные волновые потоки импульса отличны от нуля. Это было показано аналитически в работе [Слепышев и Лактионова, 2019] для плоскопараллельного сдвигового течения при однородной стратификации, когда волна распространяется перпендикулярно потоку в традиционном приближении. Уравнение для амплитуды вертикальной скорости тогда имеет комплексные коэффициенты, частота волны при фиксированном волновом числе – действительная, а собственная функция – комплексная и вертикальные волновые потоки импульса отличны от нуля. Однако в [Слепышев и Лактионова, 2019] пренебрегалось горизонтальным изменением средней плотности, т.е. рассматривался геострофически несбалансированный поток. Вертикальный градиент скорости течения не был сбалансирован горизонтальным градиентом плотности. Представляет интерес учесть горизонтальную неоднородность поля средней плотности в уравнении сохранения массы, выразив указанный горизонтальный градиент плотности через вертикальный сдвиг скорости течения, используя соотношение «термического ветра» [Каменкович, 1973], как это было сделано в работе [Jones, 1967]. Кроме того, еще представляет интерес учесть вклад горизонтальной составляющей угловой скорости вращения Земли в силу Кориолиса, т.е. изучить влияние нетрадиционного приближения на вертикальные волновые потоки импульса.
ПОСТАНОВКА ЗАДАЧИ
Рассматриваются свободные внутренние волны на плоскопараллельном стратифицированном течении с вертикальным сдвигом скорости в безграничном бассейне постоянной глубины при учете вращения Земли в нетрадиционном приближении. Скорость течения зависит от вертикальной координаты и направлена на восток. Система уравнений гидродинамики в приближении Буссинеска [Jones, 1967; Миропольский, 1981] для волновых возмущений имеет вид:
, (1)
, (2)
, (3)
, (4)
, (5)
,
где Ω — угловая скорость вращения Земли, φ — широта, f — параметр Кориолиса; ось x направлена в зональном направлении на восток, ось y в меридионально направлении на север, ось z направлена вертикально вверх; u, v, w — соответственно две горизонтальные и вертикальная компоненты волновой скорости течения; P и ρ – волновые возмущения давления и плотности; ρ0 – невозмущенная средняя плотность, – ее средняя по глубине величина, постоянная в приближении Буссинеска [Миропольский, 1981; Бреховских и Гончаров, 1982], U0(z) – скорость среднего течения, направленная вдоль оси x; g – ускорение свободного падения; действие оператора раскрывается по формуле . В уравнении сохранения массы (5) учитывается горизонтальный градиент средней плотности , как это сделано в работе [Jones, 1967]. Используя соотношение «термического ветра» [Каменкович, 1973], выразим через вертикальный градиент скорости течения :
. (6)
После подстановки (6) в (5) уравнение для волновых возмущений плотности преобразуется к виду:
. (7)
Граничные условия на поверхности моря (z = 0) – условие «твёрдой крышки», которое отфильтровывает внутренние волны от поверхностных [Миропольский, 1981; Бреховских и Гончаров, 1982]: w(0) = 0. Граничные условия на дне – условие «непротекания»: w(H) = 0, – H – глубина моря.
Линейное приближение. Решения системы (1) – (4), (7) в линейном приближении ищем в виде:
(8)
где c.c. — комплексно сопряженные слагаемые, A – амплитудный множитель, θ – фаза волны; ∂θ / ∂y = l, ∂θ / ∂t = −ω, l – горизонтальное волновое число, ω – частота волны. Предполагается, что волна распространяется вдоль оси y, т.е. в меридиональном направлении.
Подставляя (8) в систему (1)–(4) и уравнение (7) находим связь амплитудных функций u10, v10, ρ10, P10 с w10 и уравнение для w10
(9)
, (10)
. (11)
Функция w10 удовлетворяет уравнению
, (12)
где ,
,
– квадрат частоты Брента–Вяйсяля.
Граничные условия для w10:
. (13)
Волновые потоки импульса. Из соотношений (8)–(9) находим вертикальные волновые потоки импульса:
, (14)
. (15)
Черта сверху в (14), (15) означает осреднение по периоду волны. Вертикальный волновой поток импульса отличен от нуля при учете вращения Земли. Краевая задача (12), (13) имеет комплексные коэффициенты и комплексные решения. Поэтому поток не нулевой. При и fc = 0 уравнение (12) имеет действительные коэффициенты и действительные решения, поэтому в этом случае вертикальный волновой поток импульса равен нулю. Если вращение Земли не учитывать, то уравнение (12) имеет действительные коэффициенты, решение краевой задачи (12), (13) — действительная функция и вертикальные волновые потоки импульса нулевые. Если волна распространяется под произвольным углом к плоскопараллельному потоку, то при отсутствии учета вращения Земли решение краевой задачи, аналогичной (12), (13) — действительная функция в гидродинамически устойчивом случае [Bulatov and Vladimirov, 2020], когда число Ричардсона больше 1/4, частота волны действительная и вертикальный волновой поток импульса равен нулю.
Нормирующий множитель A находится по известной величине максимальной амплитуды вертикальных смещений. Для этого выразим вертикальное смещение
ζ, используя соотношение :
Отсюда следует
. (16)
РЕЗУЛЬТАТЫ РАСЧЕТОВ
Уравнение (12) допускает точные аналитические решения при постоянной частоте Брента–Вяйсяля и постоянном сдвиге скорости течения. В этом случае N = const, , U0(z) = U00 · (z − H), H < 0. Тогда уравнение (12) упрощается к виду:
, (17)
где ,
. (18)
Решение краевой задачи (13), (17) имеет вид:
. (19)
При этом справедливо дисперсионное уравнение, вытекающее из граничного условия (13) при z = H:
, (20)
здесь учтено, что H < 0, n — целое положительное число.
Отсюда
. (21)
Преобразуем выражение (18) для b0 следующим образом:
(22)
Введем обозначение:
. (23)
Тогда
, (24)
. (25)
Подставим выражения для b0 (24) и a0 (25), в уравнение (21), получим квадратное уравнение для R:
. (26)
Уравнение (26) преобразуем к виду:
, (27)
где , .
Решение уравнения (27):
. (28)
Рассмотрим положительный корень уравнения (27), так как рассматриваются внутренние волны с частотой ω > f:
. (29)
Подставляя выражение для R (23) в (29), находим квадрат частоты волны:
, (30)
где n — номер моды, D = 4f2(fc + U00)2,
.
При U00 → 0, fc → 0 дисперсионное соотношение (30) переходит в известное соотношение для однородной стратификации (31) [Ле Блон и Майсек, 1981; Миропольский, 1981; Бреховских и Гончаров, 1982], соответствующий предельный переход выполнен в Приложении:
. (31)
Из (14), (15), используя (19), находим вертикальные волновые потоки импульса:
, (32)
, (33)
где .
Нормирующий множитель A находится по известной максимальной амплитуде вертикальных смещений ζmax (16):
.
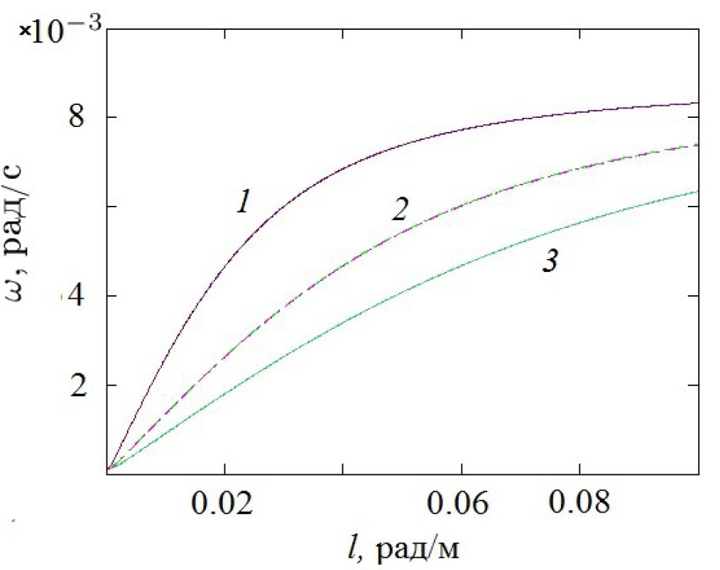
На рис. 1 показаны дисперсионные кривые первых трех мод, рассчитанные по формуле (30) при N = 5 цикл/ч, H = −100 м, U00 = 2 × 10−3 с−1 на широте φ = 44°50' при учете fc и при его неучете, когда fc = 0 (параметры модели соответствуют северо-западному шельфу Черного моря в летний период). Из рисунка видно, что fc практически не влияет на дисперсионные кривые. Вертикальные волновые потоки импульса рассчитываются для внутренней волны низшей моды при длине волны λ = 100 м, ζmax = 1 м. Вертикальный волновой поток импульса (32) показан на рис. 2 как при учете fc, так и при его неучете, когда fc = 0. Из рисунка видно, что fc никак не влияет на вертикальный волновой поток импульса . Аналогичные расчеты сделаны для потока (33). Результат сравнения этого потока при учете и неучете fc представлен на рис. 3. При учете fc (кривая 1) волновой поток несколько больше по абсолютной величине потока при fc = 0 (кривая 2). Указанные расчеты делались в горизонтально-неоднородном по средней плотности случае, т.е. когда в уравнении (5) . Представляет интерес сравнить волновые потоки импульса в горизонтально-однородном случае, когда (как это делалось в работе [Слепышев и Лактионова, 2019]) и в горизонтально-неоднородном случае. На рис. 4 представлен профиль вертикального волнового потока импульса в горизонтально-неоднородном случае (кривая 1) и в горизонтально-однородном случае (кривая 2). В горизонтально-неоднородном случае поток выше почти в два раза. Представляет интерес рассмотреть влияние течения на вертикальные волновые потоки импульса. На рис. 5 показан вертикальный профиль потока импульса при наличия течения (сплошная кривая) и при его отсутствии (штриховая линия), когда U00 = 0 в нетрадиционном приближении. Присутствие течения заметно усиливает поток импульса. В традиционном приближении поток импульса равен нулю при отсутствии течения, так как в (33) тогда a0 = 0. Таким образом, вертикальный поток импульса не нулевой даже при отсутствии течения в нетрадиционном приближении. Поток импульса при отсутствии течения практически не отличается от потока при наличии течения.
Рис. 1. Дисперсионные кривые первых трех мод.
Рис. 2. Профиль вертикального волнового потока импульса с учетом и без учета fc.
Рис. 3. Профили вертикального волнового потока импульса с учетом fc (1) и без его учета (2).
Рис. 4. Профили вертикального волнового потока импульса в горизонтально-неоднородном (1) и горизонтально-однородном (2) по средней плотности случае.
Рис. 5. Зависимость от вертикальной координаты волнового потока импульса при наличии течения (1) и при его отсутствии (2).
Касаясь влияния fc на волновой поток представляет интерес исследовать влияние широты на относительную разность потоков при учете fc и при неучете fc. Пусть — вертикальный волновой поток импульса при . Введем величину η по формуле:
,
тогда величина η — относительное отличие максимумов модулей потоков при учете fc и при неучете fc. На рис. 6 представлен график зависимости η от широты в горизонтально-неоднородном случае. Величина η достигает максимума в окрестности экватора и монотонно спадает к полюсам, хотя сами потоки стремятся к нулю при приближении к экватору.
Рис. 6. Зависимость от широты относительного отклонения максимумов модулей потока с учетом fc и без его учета.
ВЫВОДЫ
1. Вертикальный волновой поток импульса у инерционно-гравитационных внутренних волн при наличии сдвигового течения, перпендикулярного направлению распространения волны отличен от нуля.
2. Учет вклада горизонтальной составляющей угловой скорости Земли в силу Кориолиса несколько увеличивает по абсолютной величине волновой поток импульса . Вертикальный волновой поток импульса практически не изменяется. Дисперсионные кривые также практически не меняются.
3. При приближении к экватору влияние горизонтальной составляющей угловой скорости Земли на волновой поток импульса усиливается.
4. Учет горизонтальной неоднородности поля средней плотности почти в два раза увеличивает поток импульса .
5. Вертикальный волновой поток импульса отличен от нуля в нетрадиционном приближении и при отсутствии течения, в то время как в традиционном приближении он тогда нулевой. Однако течение заметно усиливает вертикальный волновой поток импульса и практически не сказывается на потоке .
Работа выполнена в рамках государственного задания по теме FNNN-2021-0004 «Фундаментальные исследования процессов, определяющих потоки вещества и энергии в морской среде и на ее границах, состояние и эволюцию физической и биогеохимической структуры морских систем в современных условиях» (шифр «Океанологические процессы»).
ПРИЛОЖЕНИЕ
Дисперсионное соотношение (30) имеет вид:
, (П1)
где n — номер моды, D = 4f2(fc + U00)2, .
Покажем, что при U00 → 0, fc → 0 дисперсионное соотношение (П1) переходит в известное соотношение для однородной стратификации (31). Вынесем в знаменателе дроби в (П1) величину за скобки:
. (П2)
Введем безразмерный параметр α:
. (П3)
Тогда дисперсионное соотношение (П3) приобретает вид:
. (П4)
При U00 → 0, fc → 0 параметр α стремится к нулю и справедливо разложение с точностью до членов первого порядка по α:
. (П5)
Подставляя (П5) в (П4) получаем:
. (П6)
Подставим α в (П6):
. (П7)
Подставим B в (П7):
. (П8)
Сделаем в (П8) предельный переход U00 → 0, fc → 0, получим:
. (П9)
Получено дисперсионное соотношение (31) для однородной стратификации.
About the authors
A. A. Slepyshev
Marine Hydrophysical Institute of the RAS
Author for correspondence.
Email: slep55@mail.ru
Russian Federation, 2, Kapitanskaya St., Sevastopol, 299011
M. A. Schadt
Sevastopol Branch of Lomonosov Moscow State University
Email: slep55@mail.ru
Russian Federation, 7, Geroi Sevastopolya St., Sevastopol, 299001
References
- Анкудинов Н.О., Слепышев А.А. Вертикальный перенос импульса внутренними волнами в двумерном потоке // Изв. РАН. Механика жидкости и газа. 2021. № 3. С. 39–47.
- Бадулин С.И., Василенко В.М., Яремчук М.И. Об особенности интерпретации квазиинерционных движений на примере данных эксперимента Мегаполигон // Изв. АН СССР. Физика атмосферы и океана. 1991. Т. 27. № 6. С. 638–647.
- Борисенко Ю.Д., Воронович А.Г., Леонов А.И., Миропольский Ю. З. К теории нестационарных слабонелинейных внутренних волн в стратифицированной жидкости // Изв. АН СССР. Физика атмосферы и океана. I976. T. 12. №3. С. 293–301
- Бреховских Л.М., Гончаров В.В. Введение в механику сплошных сред. М.: Наука. 1982. 337 с.
- Езерский А.Б., Папко В.В. Лабораторное исследование крупномасштабных потенциальных течений, индуцируемых пакетом поверхностных волн // Изв. АН СССР. Физика атмосферы и океана. 1986. Т. 22. № 9. С. 979–986.
- Каменкович В.М., Кулаков А.В. К вопросу о влиянии вращения на волны в стратифицированном океане // Океанология. 1977. Т. 17. № 3. С. 400–410.
- Каменкович В.М. Основы динамики океана. Л.: Гидрометеоиздат, 1973. С. 128.
- Ле Блон П., Майсек Л. Волны в океане. М.: Мир, 1981. Ч. 1. 480 с. Ч. 2. 363 с.
- Мак-Интайр М. Миф о «волновом импульсе» // Современная гидродинамикака. Успехи и проблемы. М.: Мир, 1984. С. 454–476.
- Миропольский Ю.З. Динамика внутренних гравитационных волн в океане. Л.: Гидрометеоиздат. 1981. 302 с.
- Островский Л.А., Потапов А.И. Введение в теорию модулированных волн. М.: Физматлит, 2003. С. 92.
- Охотников И.Н., Пантелеев Н.А. Сдвиговая неустойчивость внутренних волн и вертикальный обмен в океане // Морской гидрофизический журнал. 1985. № 3. С. 13–20.
- Подымов О.И., Зацепин А.Г., Островский А.Г. Вертикальный турбулентный обмен в черноморском пикноклине и его связь с динамикой вод // Океанология. 2017. Т. 57. № 4. С. 546–559. https://doi.org/10.7868/S0030157417040049
- Резник Г.М. Волновые движения в устойчиво-нейтрально стратифицированном океане // Океанология. 2015. Т. 55. № 6. С. 875–882.
- Самодуров А.С., Любицкий А.А., Пантелеев Н.А. Вклад опрокидывающихся внутренних волн в структурообразование, диссипацию энергии и вертикальную диффузию в океане // Морской гидрофизический журнал. 1994. № 3. С. 14–27.
- Слепышев А.А., Лактионова Н.В. Вертикальный перенос импульса внутренними волнами в сдвиговом потоке // Изв. РАН Физика атмосферы и океана. 2019. Т. 55. № 6. С. 194–200.
- Слепышев А.А. Вертикальный перенос импульса внутренними волнами при учете турбулентной вязкости и диффузии // Изв. РАН. Физика атмосферы и океана. 2016. Т. 52. № 3. С. 342–349.
- Степанянц Ю.А., Фабрикант А.Л. Распространение волн в сдвиговых потоках. М.: Наука. Физматлит, 1996. 240 с.
- Фабрикант А.Л. Импульс волнового пакета в среде и индуцированные средние течения. Препринт № 183 ИПФ АН СССР. Горький, 1988. 20 с.
- Bulatov V.V., Vladimirov Yu.V. Dynamics of internal gravity waves in the ocean with shear flows // Russian Journal of Earth Sciences. 2020. V. 20. ES4004. doi: 10.2205/2020ES000732
- Gerkema T, Shrira V.I. Near-inertial waves in the ocean: beyond the traditional approximation // J. Fluid Mech. 2005. V. 52. P. 195–219.
- Gerkema T., Shrira V.I. Near-inertial waves on the ‘‘nontraditional’’ b-plane // Journal Geophys.Res. 2005. V.110. C01003. doi: 10.1029/2004JC002519
- Grimshaw R. The modulation of an internal gravity wave packet and the resonance with the mean motion // Stud. In Appl. Math. 1977. V. 56. Р. 241–266. doi.org/10.1002/sapm1977563241
- Ivanov A.V., Ostrovsky L.A., Soustova I.A., Thimring L.Sh. Interaction of internal waves and turbulenсе in the upper layer of the ocean // Dynamics of Atmosheres and Ocean. 1984. V. 3. № 7. P. 221–232
- Jones W.L. Propagation of internal waves in fluids with shear flow and rotation // J. Fluid Mech. 1967. V. 30. Pt. 3. P. 439–448. doi: 10.1017/S0022112067001521
- Longuet-Higgins M.S. On the transport of mass by time varying ocean current // Deep-Sea Research 1969. V. 16. № 5. P. 431–447. doi.org/10.1016/0011-7471(69)90031-X
- Saint-Guily, B. On internal waves: Effects of the horizontal component of the Earthʼs rotation and of a uniform current // Dtsch. Hydrogr. Z. 1970. V. 23. P. 16–23.
Supplementary files









