Optical Characteristics of Atmospheric Aerosol Based On The Results of Measurements Near St. Petersburg from 2016 to 2021
- Authors: Shpak K.A.1, Nebosko E.Y.1, Ionov D.V.1
-
Affiliations:
- Saint Petersburg State University
- Issue: Vol 60, No 5 (2024)
- Pages: 611-622
- Section: Articles
- URL: https://journal-vniispk.ru/0002-3515/article/view/282062
- DOI: https://doi.org/10.31857/S0002351524050046
- EDN: https://elibrary.ru/HYBQST
- ID: 282062
Cite item
Full Text
Abstract
The paper presents the results of measurements of the optical characteristics of the aerosol particles using a solar photometer and nephelometer from 2016 to 2021, obtained at the atmospheric monitoring station in Peterhof (59.88°N, 29.83°E). The measurements were compared with the MERRA-2 reanalysis data. It is shown that inter–seasonal variability is observed in the region, characterized by low values of the Angstrom exponent in winter and high values in the warm season. The backscatter fraction has a similar but less pronounced seasonal cycle. The average value of the turbidity coefficient for the period is less than 0.10, which makes it possible to determine the observation station as a background one. Using the HYSPLIT model, the origin of air masses forming the atmospheric air state at the observation station was determined in cases of realization of the limiting values of the measured scattering coefficients (< 10 and > 70) and the Angstrom exponent (< 1). Air masses coming from the north-west direction correspond to clean and humid air from the marine area and are manifested in the minimum values of the measured parameters. The maximum values of the scattering coefficient are associated with fine aerosol coming in the atmosphere both from regional emissions sources (urban pollution from the territory of St. Petersburg) and as a result of transboundary transport from southwestern directions.
Full Text
ВВЕДЕНИЕ
Аэрозольные частицы являются важной составляющей атмосферной среды. Активно взаимодействуя с компонентами атмосферы в ходе процессов коагуляции и облакообразования, участвуя в химических реакциях, поглощении и рассеянии солнечного излучения, аэрозоль влияет на погоду и изменения климата в региональном и глобальном масштабах. Степень вовлеченности атмосферного аэрозоля в те или иные процессы зависит от размера, формы, химического состава и количества частиц. В этой связи непрерывное наблюдение за изменением характеристик атмосферного аэрозоля в целях изучения их взаимосвязи с различными климатическими параметрами является одной из важнейших задач физики атмосферы. Данные мониторинга оптических характеристик аэрозоля используются как для определения его радиационных свойств, так и для получения косвенной оценки микрофизических параметров аэрозольных частиц [Ångström, 1929; Eck et al., 1999; Delene et Ogren, 2002; Hansen et al., 2000; Mikhailov et al., 2006, Tami et al., 2006; Andreae and Rosenfeld, 2008; Jung et al., 2013;Smith and Bond, 2014].
Исследование изменчивости содержания основных газовых составляющих и аэрозолей является главной целью создания атмосферной мониторинговой станции в ресурсном центре (РЦ) «Геомодель» Санкт-Петербургского государственного университета [напр., Timofeyev et al, 2016; Фока и др, 2019]. Наблюдательная вышка расположена в городе Петергоф (59.88° с.ш., 29.83° в.д.), в 29 километрах к юго-западу от центра Санкт-Петербурга, численность населения которого превышает пять миллионов человек. Окрестности таких крупных мегаполисов характеризуются накоплением загрязнений в атмосферном воздухе, обусловленных интенсивными выбросами промышленных предприятий и автомобильного транспорта. Ввиду особенностей своего географического расположения и в зависимости от метеорологических условий (в частности, направления ветра и высоты пограничного слоя), Петергоф периодически оказывается в зоне выноса загрязнённых воздушных масс с территории Санкт-Петербурга, что приводит к чередованию городских и фоновых условий на рассматриваемой исследовательской станции [Власенко и др, 2019, 2023; Ионов и Поберовский, 2020].
За последнее десятилетие проанализирован достаточно большой объем данных измерений аэрозольных характеристик, выполнявшихся в Петергофе, как в приземном слое (например, концентрации углеродсодержащих компонентов, твердых частиц), так и в столбе атмосферы (например, аэрозольная оптическая толща (АОТ), параметр Ангстрема) [Свириденков и др., 2014, 2017; Волкова и др., 2018, 2020; Власенко и др., 2019]. На основе многолетних наблюдений выявлены некоторые сезонные особенности аэрозольной изменчивости. Согласно исследованиям на основе данных измерений термооптическим анализатором отношение органического (ОС) к элементарному (ЕС) углероду имеет летний максимум, превышающий минимальные зимние значения почти в 3 раза, и совпадающий по времени с пиком вегетационного периода. Для ЕС характерны минимальные концентрации летом, а для ОС наименьшие значения зарегистрированы в холодный сезон [Власенко и др, 2019, 2023]. Анализ данных измерений массовых концентраций PM1, PM2.5 и PM10 с использованием аэрозольного спектрометра GRIMM показал сильную межсуточную изменчивость с преобладающим количеством частиц размером меньше 1 мкм. Наибольшие значения концентрации РМ10 (около 8 мкг/м3) наблюдаются в зимнее время. [Волкова и др., 2020]. Измерения, выполненные за первые 4 года работы солнечного фотометра CIMEL СЕ 318 международной сети наблюдений AERONET, начиная с 2013 года, в целом хорошо согласуются с данными измерений аэрозольных характеристик на близлежащих станциях сети [Dubovik et al., 2000а, Волкова и др., 2018]. С 2012 года с помощью нефелометра TSI Model 3563 Integrating Nephelometer стали выполняться периодические, а затем и регулярные измерения коэффициентов рассеяния частицами приземного аэрозоля. Первые результаты анализа данных нефелометрических измерений коэффициента рассеяния были представлены в работе [Свириденков и др., 2014]. Позднее этот анализ был дополнен данными о среднем косинусе индикатрисы рассеяния атмосферного аэрозоля [Свириденков и др., 2017]. В настоящей работе представлены результаты комплексного исследования измерений оптических аэрозольных характеристик в Петергофе за период с 2016 по 2021 гг. как в приземном слое с помощью нефелометра, так и в толще атмосферы с использованием фотометра CIMEL.
МЕТОДИКА ИССЛЕДОВАНИЙ. ИЗМЕРИТЕЛЬНАЯ АППАРАТУРА
2.1. Нефелометр
Нефелометр TSI Model 3563 Integrating Nephelometer предназначен для наземного исследования рассеивающих свойства аэрозоля путём измерения коэффициентов полного σsp и рассеяния в заднюю полусферу света σbsp аэрозольными частицами на трёх длинах волн (450, 550 и 700 нм) [Anderson and Ogren, 1998]. Забор аэрозольных проб на наблюдательной станции СПбГУ происходит с высоты 50 м над уровнем моря.
Измерения коэффициента аэрозольного рассеяния на нескольких длинах волн позволяют перейти к конечным разностям и рассчитать параметр (показатель) Ангстрема рассеяния αS:
. (1)
В данной работе в качестве λ1 и λ2 используются длины волн 450 нм и 700 нм.
Величина показателя Ангстрема рассеяния существенно зависит от размера частиц, что позволяет её использовать в качестве оценки эффективного размера частиц. Значение, равное 4, указывает на частицы нанометрового размера, тогда как околонулевые значения указывают на присутствие крупных частиц [Anderson and Ogren, 1998; Weber et al., 2022].
Используя параметрический поход к отношению коэффициента рассеяния в заднюю полусферу к полному коэффициенту рассеяния bλ () (далее доля обратного рассеяния), можно рассчитать фактор асимметрии gλ [Andrews et al., 2006; Свириденков и др., 2017, Zhao et al., 2018]:
. (2)
Принимая значения от ‒1 до 1, фактор асимметрии характеризует вытянутость индикатрисы рассеяния. Предельные случаи соответствуют индикатрисе, имеющей вид направленной вперёд или назад дельта-функции. При нулевом значении индикатриса является сферической и, следовательно, излучение рассеивается равномерно во всех направлениях [Horvath et al., 2015].
2.2. Солнечный фотометр
Солнечный фотометр CIMELCE 318, входящий в сеть глобального аэрозольного мониторинга, регистрирует интенсивности прямой и рассеянной солнечной радиации в солнечном альмукантарате и в главной солнечной плоскости на 9 спектральных каналах (340, 380, 440, 500, 675, 870, 940, 1020 и 1640 нм). Прибор установлен на вышке на высоте 58 м над уровнем моря. Данные измерений фотометра интерпретируются стандартными алгоритмами в центре обработки AERONET (GSFC) [Eck et al., 1999; Dubovik et al., 2000a, 2000b; Schuster et al., 2006; Giles et al., 2019], основанными на анализе спектрального ослабления излучения атмосферой с учетом его рассеяния и поглощения аэрозольными частицами.
АОТ τλ оценивается путем вычета из полной оптической толщины вкладов молекулярного (рэлеевского) рассеяния, а также молекулярного поглощения озона и некоторых других малых газовых составляющих (NO2, CO2, CH4) [Holben et al, 1999, 2001]. Спектральная зависимость АОТ определяется эмпирическим выражением Ангстрема τλ = βλ-α [Ångström, 1964; Stefan et al., 2011; Имашев, 2012], где β – коэффициент замутнения по Ангстрему, равный АОТ на длине волны 1 мкм, а α — параметр Ангстрема, фактически вычисляемый как угол наклона между логарифмами указанных параметров τλ и λ [Eck et al., 1999; Schuster et al., 2006]. Расчет последнего включен в стандартную интерпретацию данных AERONET. Таким образом, для двух длин волн параметр Ангстрема и коэффициент замутнения находятся следующим образом:
. (3)
. (4)
Показатель Ангстрема ослабления варьируется в зависимости от размера частиц, их формы и химического состава. Его изменчивость позволяет оценить средний размер аэрозольных частиц в атмосфере. Как и в случае с показателем Ангстрема рассеяния, значения α ≤ 1 указывают на преобладание в распределении по размерам частиц крупной моды (радиус > 0.5 мкм), а при α ≥ 2 доминирует мелкодисперсный аэрозоль (радиус ≤ 0.5 мкм) [Eck et al., 1999; Schuster et al., 2006]. Коэффициент замутнения связан с количеством аэрозольных частиц и характеризует степень загрязнения атмосферы. Обычно значения β ≤ 0,1 соответствуют условиям чистой атмосферы, а β ≥ 0.4 – сильно загрязненной [Аngström, 1964].
Фотометрические измерения в солнечном альмукантарате несут информацию об угловом распределении рассеянного излучения, так называемой, фазовой функции рассеяния P(θ), где θ – это угол рассеяния. Знание P(θ) позволяет вычислить фактор асимметрии gλ, представляющий собой средний косинус угла рассеяния, взвешенный по интенсивности рассеянного света как функции угла. Он принимает значение 1 для рассеяния вперед, 0 для изотропного рассеяния и ‒1 для идеального обратного рассеяния. Степень вытянутости индикатрисы рассеяния зависит от размера частиц и показателя преломления.
РЕЗУЛЬТАТЫ ИЗМЕРЕНИЙ
3.1. Статистика измерений
На рис. 1 представлено распределение по месяцам количества дней с измерениями нефелометром и солнечным фотометром на станции в Петергофе.
Рис. 1. Распределение по месяцам количества дней с измерениями на станции мониторинга в Петергофе (Санкт-Петербург) за 2016–2021 гг. Статистика представлена для а) нефелометра и б) солнечного фотометра.
Измерения солнечным фотометром проходят стандартизованную в рамках сети AERONET систему отбраковки измерений с учетом влияния различных факторов, в первую очередь таких, как наличие перистых облаков, смога, солнечных затмений, атмосферных температурных аномалий и слабой спектральной зависимости АОТ. Представленная на рисунке 1 статистика соответствует отобранным данным AERONET, так называемого, уровня 2.0 версии 3.0 [Giles et al., 2019]. Распределение данных по времени неравномерно: количество единичных измерений составляет от нескольких до 50–60 в день, в среднем регистрируется около 30 измерений в сутки. Наибольшее количество измерений приходится на весенне-летний период, которому соответствуют благоприятные погодные условия наблюдений. Отсутствие данных в 2017 и 2021 гг. связано с отправкой оборудования для калибровки в Обсерваторию Мауна-Лоа (США).
В отличие от фотометра, непрерывные данные измерений нефелометром регистрируются каждые 5 мин независимо от погодных условий, с последующим усреднением данных за час. Благодаря этому ряд данных измерений нефелометра более однороден, а количество дней с измерениями в среднем соответствует количеству дней в месяце. Отсутствие измерений нефелометра в 2019–2021 гг. связано с технической неисправностью прибора.
Анализ результатов измерений двух приборов, фотометра и нефелометра, позволяет компенсировать нехватку данных одного прибора данными другого (если не количественно, то качественно) для выявления характерных особенностей оптических аэрозольных параметров.
3.2. Сезонные особенности оптических параметров аэрозолей
В ходе работы были рассчитаны медианные суточные значения параметра Ангстрема по данным измерений нефелометра и фотометра за период 2016–2021 гг. (рис. 2) Были подобраны близкие интервалы длин волн для обоих приборов: 450–700 нм для нефелометра и 440-675 нм для фотометра.
Рис. 2. Медианные суточные значения параметра Ангстрема рассеяния на длинах волн 450–700 нм по данным измерений нефелометра (пустые кружки) и параметра Ангстрема ослабления на длинах волн 440–675 нм по данным измерений солнечного фотометра (черные кружки).
Среднее значение и среднеквадратичное отклонение (СКО) по данным нефелометра за весь период составило 1.82 ± 0.32, а по данным фотометра — 1.42 ± 0.32. Коэффициент корреляции между данными двух приборов был рассчитан на основе 263 пар и составил 0.66. При этом минимальная корреляция наблюдается зимой, а максимальная — весной. Величина показателя Ангстрема испытывает сильную межсуточную изменчивость, обусловленную, по-видимому, как близостью к потенциальным источникам загрязнения, так и географическими особенностями региона наблюдений с частой сменой воздушных масс. Вместе с тем, оба ряда данных измерений показателя Ангстрема демонстрируют ярко выраженный сезонный ход: в холодное время года наблюдаются минимальные значения (до 0.54 для нефелометра и 0.19 для фотометра), а летом — максимальные (до 2.66 и 2.04 соответственно).
Сезонная изменчивость параметра Ангстрема наглядно видна в среднемесячных данных, которые представлены на рис. 3.
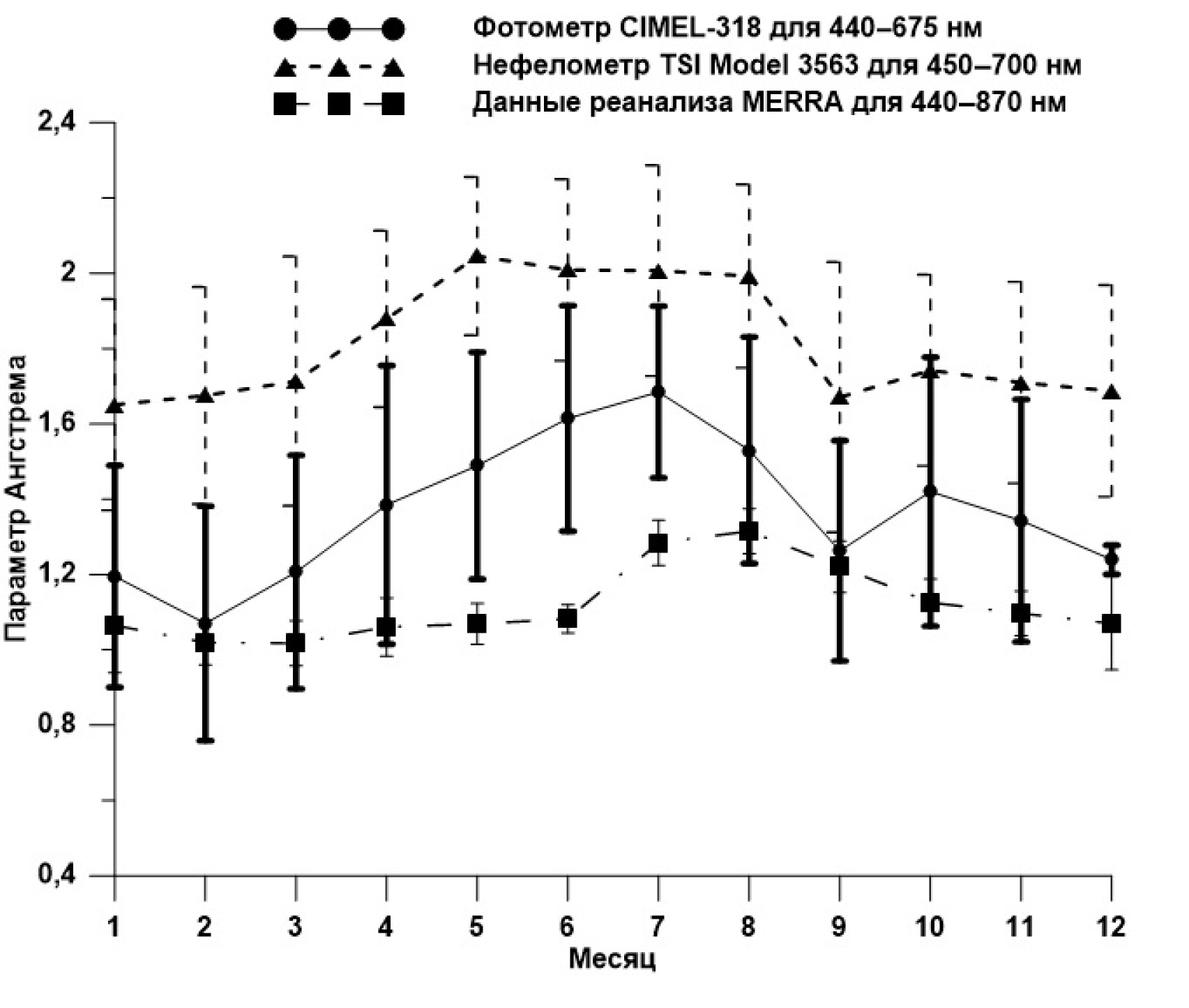
Рис. 3. Среднемесячные значения параметра Ангстрема по данным измерений нефелометра (рассеяние, 450–700 нм), фотометра CIMEL (ослабление, 440–675 нм) и по данным реанализа MERRA-2 (ослабление, 440–870 нм).
Помимо осредненных данных измерений нефелометра и фотометра, на рисунке также приведены данные реанализа MERRA-2 (Modern-Era Retrospective analysis for Research and Applications) о показателе Ангстрема ослабления в толще атмосферы, рассчитанного на основе ассимиляции глобальных экспериментальных данных для длин волн 440–870 нм [Rienecker et al., 2011]. Представленные среднемесячные значения показателя Ангстрема получены из ряда глобальных данных MERRA-2 (2016–2021 гг.) пространственного разрешения 0.5° широты x 0.625° долготы, сформированного для координат станции наблюдений с помощью интернет-ресурса Giovanni [https://giovanni.gsfc.nasa.gov/]. Среднее годовое значение показателя Ангстрема по данным MERRA-2 за весь период составило 1.12 ± 0.12.
Как в результатах наземных измерений, так и в данных реанализа наблюдается межсезонная изменчивость, характеризуемая низкими значениями показателя Ангстрема в холодное время года и высокими — в теплое. Для данных MERRA-2, по сравнению с данными измерений фотометра и нефелометра характерна наименьшая амплитуда как среднемесячных значений, так и сезонной изменчивости показателя Ангстрема. Данные измерений нефелометра систематически превышают данные реанализа. Вероятно, это объясняется тем, что данные реанализа MERRA-2, основу которых составляют результаты глобальных спутниковых измерений, имеют более грубое пространственное и временное разрешение. В нефелометрических измерениях коэффициентов аэрозольного рассеяния анализируются пробы приземного воздуха, и соответствующие им наблюдения носят локальный и непрерывный характер. Среднемесячные значения, рассчитанные по данным MERRA-2 и полученные на основе измерений фотометром CIMEL имеют близкие среднегодовые значения. Оба источника данных несут информацию о содержании аэрозольных частиц во всей толще атмосферы с учетом полного спектрального ослабления солнечного излучения. Наибольшие расхождения наблюдаются с мая по июль. Стоит также отметить и различия в интервалах длин волн, используемых для расчетов анализируемого показателя Ангстрема, у наземных приборов он уже (максимум 440–700 нм).
Качественно годовой ход показателя Ангстрема по данным наземных измерений хорошо согласуется. Наилучшее согласие в пределах доверительных интервалов наблюдается с июня по ноябрь. По-видимому, определяющим фактором в характере его сезонной изменчивости является вклад приземных аэрозолей. Их концентрация, в свою очередь, определяется наземными антропогенными и естественными источниками, особенностями подстилающей поверхности и метеорологическими факторами. Принимая во внимание, что в данных нефелометрических измерений параметра Ангстрема учитывается только рассеивающая составляющая, а в измерениях фотометра рассматривается полное ослабление солнечного излучения атмосферой, можно предположить, что абсорбирующая составляющая параметра Ангстрема не имеет заметного сезонного хода.
Согласно интерпретации обратной зависимости параметра Ангстрема от размера частиц [Schuster et al., 2006] наблюдается смещение размера аэрозоля в сторону мелкодисперсной моды в летние месяцы. В первую очередь, это связано с увеличением инсоляции. Сезонная вегетация растений и прогрев поверхности земли приводят к генерации органической компоненты аэрозоля. На фоне повышения температуры в шлейфе выбросов антропогенных источников происходит активизация фотохимических процессов и химических превращений из газовой фазы in situ с образованием вторичного аэрозоля. Причинами роста количества частиц крупного размера в зимний период могут служить выбросы частиц с наступлением отопительного сезона, которые в условиях повышенной относительной влажности приводят к коагуляции аэрозольных частиц и их гигроскопическому росту [Власенко и др., 2019].
В таблице приведены средние значения и СКО основных оптических характеристик для региона наблюдений в разные сезоны по данным двух приборов.
Таблица. Средние сезонные значения оптических параметров (параметр Ангстрема α440(675), параметр Ангстрема рассеяния αS 450(700), параметр замутнения β440(675), доля обратного рассеяния b450, АОТ τ500, факторы асимметрии g450 и g450) по данным измерений фотометра (Cimel 318) и нефелометра (TSI 3563) в Петергофе
Параметры Сезоны | α440(675) Cimel 318 | αS 450(700) TSI 3563 | β440(675) Cimel 318 | b450, × 10–1 TSI 3563 | τ500 Cimel 318 | g450 TSI 3563 | g440 Cimel 318 |
Зима | 1.13±0.29 | 1.67±0.28 | 0.04±0.03 | 1.08±0.14 | 0.09±0.05 | 0.67±0.02 | – |
Весна | 1.37±0.31 | 1.87±0.32 | 0.04±0.02 | 1.21±0.13 | 0.09±0.06 | 0.65±0.02 | 0.67±0.03 |
Лето | 1.59±0.25 | 2.01±0.25 | 0.04±0.02 | 1.18±0.16 | 0.12±0.07 | 0.66±0.03 | 0.68±0.02 |
Осень | 1.32±0.29 | 1.75±0.31 | 0.04±0.04 | 1.15±0.16 | 0.11±0.12 | 0.66±0.03 | 0.70±0.02 |
Связанные с угловым распределением рассеянного излучения показатель b450 и рассчитываемый на его основе фактор асимметрии g450 имеют слабо выраженный сезонный ход. Зимой значения b450 минимальны, а g450 максимальны. Значения параметра g440, полученные по данным измерений солнечного фотометра, не имеют статистически обеспеченных данных за зимний период. Для остальных же сезонов результаты измерений фотометра дают численное согласие с данными измерений нефелометра. Оба параметра являются функциями угла, и характерный ход за рассматриваемый период свидетельствует о влиянии более крупного аэрозоля в холодное время года и о преобладании мелкодисперсных частиц летом [Horvath et al., 2015; Свириденков и др., 2017]. В работе финских исследователей [Virkkula et al., 2011] были получены аналогичные сезонные особенности доли обратного рассеяния и параметра Ангстрема. Наблюдаемые при этом минимальные значения зимой свидетельствовали о росте антропогенных выбросов при сезонном отоплении дровами и углем, как в Финляндии, так и в Восточной Европе в холодное время года.
Величина коэффициента замутнения β440(675) служит количественным критерием чистоты атмосферы в регионе наблюдений, постоянное в течение года значение меньше 0.10 характеризует станцию наблюдения как фоновую, удаленную от интенсивных источников выбросов. За весь период наблюдений было зафиксировано не более 5% единичных измерений со значениями коэффициента замутнения от 0.10 до 0.40. Наибольшая изменчивость значений β440(675), как и АОТ на 500 нм, наблюдается осенью, СКО в течение сезона сопоставимо с величиной среднего значения. Такая особенность связана, прежде всего, с изменением метеорологических условий осенью: усиливающаяся циклоническая деятельность приводит к преобладанию пасмурной погоды с моросящими дождями и порывами ветра. При этом высота пограничного слоя становится ниже, что способствует накоплению антропогенных загрязнений в приземном слое [Волкова и др., 2020].
3.3. Траекторный анализ
Чтобы оценить возможные процессы трансформации в химическом и структурном составе аэрозоля на его пути от предполагаемых источников к станции наблюдения, необходим анализ истории формирования исследуемой воздушной массы. В этом анализе были рассмотрены предельные случаи с минимальными и максимальными значениями оптических характеристик.
С помощью траекторной модели HYSPLIT (HYbrid Single-Particle Lagrangian Integrated Trajectories, [Draxler et al., 1998]) были рассчитаны обратные траектории движения воздушных масс на середине высоты пограничного слоя с временным шагом 1 час на 12 часов назад. Полученные ансамбли кривых (общее число траекторий 1171) были объединены в кластеры преимущественных направлений, которые и представлены на рис. 4.
Рис. 4. Кластеры обратных траекторий движения воздушных масс по данным расчета модели HYSPLIT для дней с минимальными значениями αS 450(700) (менее 1) по измерениям нефелометра.
Рис. 4 представляет средние воздушные траектории с их процентным распределением по направлениям для тех дней наблюдений, когда параметр Ангстрема рассеяния по данным измерений нефелометра оказался меньше 1 (4% всех измерений). Данные измерений и расчетное время прихода воздушных масс в точку наблюдений соответствуют 12 часам UTC. В 80% дней измерений низкие значения (αS 450(700) <1) сопровождаются минимальными значениями измеренных коэффициентов полного и обратного рассеяния. Средняя величина σsp(550) составила для этой выборки данных 6.16 ± 2.22, а среднее значение σbsp(550) — 0.86 ± 0.32. В кривых траекторий выделяется 2 основных направления, юго-западное и северо-западное, соответствующие акватории Балтийского моря (вместе они описывают 91% от всех траекторий). Согласно расположению представленных на рисунке начальных точек обратных траекторий, в ансамбле отсутствуют воздушные массы восточного и южного секторов направлений. Морская поверхность, являющаяся естественным источником легко растворимых и гигроскопических аэрозольных частиц радиусом до десятков мкм, одновременно удалена от источников промышленных выбросов вторичного мелкодисперсного аэрозоля. Поэтому для воздушных масс, приходящих с удаленных морских акваторий, характерно преобладание крупнодисперсного аэрозоля, подтверждающееся низкими значениями параметра Ангстрема рассеяния.
Аналогичные исследования ранее выполнялись на основе данных измерений финских наблюдательных станций SMEAR II и Pallas [Virkkula et al., 2011; Aaltonen et al., 2006]. Статистический анализ обратных траекторий для этих станций показал, что наиболее чистые атмосферные условия были связаны с воздушными массами, берущими начало в Северном Ледовитом океане и в Северной Атлантике. Этим направлениям соответствовали самые низкие средние значения параметра Ангстрема рассеяния и коэффициентов полного и обратного рассеяния.
В свою очередь, условия измерений с наибольшими значениями параметра Ангстрема, а также коэффициентов рассеяния и поглощения согласно проведенным исследованиям были связаны с источниками соответствующего аэрозоля в Центральной или Восточной Европе [Virkkula et al., 2011], а также в российской промышленной зоне Кольского полуострова [Aaltonen et al., 2006].
Анализ данных измерений с величиной параметра Ангстрема рассеяния больше 2 не позволяет определить расположение потенциальных источников регистрируемых частиц, поскольку рассчитанные обратные траектории указывают на поступление соответствующих воздушных масс со всех возможных направлений.
На рис. 5 представлены кластеры обратных траекторий движения воздушных масс предельного случая высоких значений коэффициента полного рассеяния (больше 70), составляющие 8% от всех измерений. Данное пороговое значение было выбрано эмпирически, на основе картирования ансамблей обратных траекторий с использованием различиных критериев по величине σsp, с целью локализации предполагаемых источников характерных воздушных масс. Средние значения σsp(550) и σbsp(550) равны 96.61 ± 35.53 и 10.66 ± 5.04 соответственно.
Рис. 5. Кластеры обратных траекторий движения воздушных масс по данным расчета модели HYSPLIT для дней с высокими значениями σsp(550) (более 70) по измерениям нефелометра.
Приведенные на рисунке кривые описывают 3 преимущественных направления: юго-юго-запад, юго-восток и северо-восток, при этом 59% всех траекторий лежат в южном секторе и указывают на континентальное происхождение соответствующих воздушных масс. Протяженность кривой северо-восточного кластера (35% траекторий) составляет около 120 км, что свидетельствует о небольшой средней скорости ветра и ближнем переносе воздушных масс. Обратные траектории этого сектора направлений пересекают территорию городской агломерации Санкт-Петербурга, что может указывать на вероятность существенного вклада антропогенных источников в загрязнение воздушного бассейна на станции наблюдения. Высоким значениям σsp(550) соответствует средний уровень параметра Ангстрема, 1.71 ± 0.29. Последнее указывает на присутствие источников аэрозольных частиц полидисперсного распределения по размерам со смещением в сторону доминирования мелкодисперсной моды. Это могут быть, как региональные источники (вынос антропогенных загрязнений с территории Санкт-Петербурга или его южных пригородов), так и дальний перенос твердых частиц из Восточной Европы.
ЗАКЛЮЧЕНИЕ
Проанализированы данные наземных измерений основных оптических параметров атмосферы с помощью солнечного фотометра CIMEL CE 318 и нефелометра TSI Model 3563 вблизи Санкт-Петербурга с 2016 по 2021 гг. Показано, что годовой ход параметра Ангстрема имеет ярко выраженный характер, с максимумом летом и минимумом в холодное время года. При этом результаты измерений нефелометром систематически превышают данные измерений фотометром: средние значения параметра Ангстрема составляют 1.82 ± 0.32 и 1.42 ± 0.32, соответственно. Сравнение результатов наблюдений с данными реанализа MERRA-2 демонстрирует близкое количественное согласие с данными измерений солнечного фотометра, в отличие от данных нефелометрических измерений. Расхождения, по-видимому, связаны с существенными различиями в пространственно-временном разрешении сравниваемых между собой данных, максимальном в измерениях нефелометром и минимальном (грубом) в данных MERRA-2. Доля обратного рассеяния имеет летний максимум, равный 0.121 ± 0.013, и зимний минимум – 0.108 ± 0.014. Фактор асимметрии g450, рассчитываемый на основе данных измерений нефелометром, имеет среднегодовое значение 0.66 ± 0.02, сопоставимое с результатами измерений солнечным фотометром. Сезонная изменчивость параметров свидетельствует о том, что в теплое время года наблюдается смещение характерного размера аэрозоля в сторону мелкодисперсной моды, что может быть связано с активизацией фотохимических процессов и генерацией вторичного аэрозоля.
На основе расчетов модели HYSPLIT исследованы кластеры обратных траекторий движения воздушных масс для случаев со значениями измеренных коэффициентов рассеяния < 10 и > 70 и параметра Ангстрема < 1. Минимальные значения параметров характерны для воздушных масс, пришедших с северо-западного направления, что соответствует чистому и влажному воздуху с морской акватории. Максимальные значения коэффициента рассеяния ассоциируются с мелкодисперсным аэрозолем, поступающим в атмосферу как от региональных источников эмиссий (городские загрязнения с территории Санкт-Петербурга), так и в результате трансграничного переноса с юго-западных направлений.
Работа выполняется при поддержке СПбГУ, шифр проекта 103752493. Для измерений использовалось оборудование РЦ «Геомодель» Научного парка СПбГУ.
About the authors
K. A. Shpak
Saint Petersburg State University
Author for correspondence.
Email: k.shpak@spbu.ru
Russian Federation, 7/9, Universitetskaya Emb., Saint Petersburg, 199034
E. Yu. Nebosko
Saint Petersburg State University
Email: k.shpak@spbu.ru
Russian Federation, 7/9, Universitetskaya Emb., Saint Petersburg, 199034
D. V. Ionov
Saint Petersburg State University
Email: k.shpak@spbu.ru
Russian Federation, 7/9, Universitetskaya Emb., Saint Petersburg, 199034
References
- Власенко С.С., Волкова К.А., Ионов Д.В., и др. Изменчивость углеродсодержащей фракции атмосферного аэрозоля вблизи Санкт-Петербурга // Известия РАН. Физика атмосферы и океана. 2019. Т. 55. № 6. C. 147–156.
- Власенко С.С., Иванова О.А., Рышкевич Т.И., Михайлов Е.Ф. Оценка пространственного распределения потенциальных источников углеродсодержащего аэрозоля по данным локальных измерений вблизи Санкт-Петербурга // Известия РАН. Физика атмосферы и океана. 2023. Т. 59. № 6. С. 774–785.
- Волкова К.А., Поберовский А.В., Тимофеев Ю.М. и др. Аэрозольные оптические характеристики по данным измерений солнечного фотометра CIMEL (АЕRONET) вблизи Санкт-Петербурга // Оптика атмосферы и океана. 2018. Т. 31. № 6. С. 425–431.
- Волкова К.А., Аникин С.С., Михайлов Е.Ф. и др. Сезонная и суточная изменчивость концентраций аэрозольных частиц вблизи Санкт-Петербурга // Оптика атмосферы и океана. 2020. Т. 33. № 5. С. 407–414.
- Имашев С.А. Методика расчета параметра ангстрема и коэффициента замутнения атмосферы по результатам фотометрических измерений // Вестник КРСУ. 2012. Т. 12. № 4. С. 175–178.
- Ионов, Д.В., Поберовский А.В. Изменчивость содержания оксидов азота в приземном слое атмосферы по данным наблюдений в Петергофе // Метеорология и гидрология. 2020. № 10. С. 73–81.
- Свириденков М.А., Веричев К.С., Власенко С.С., Емиленко А.С., Михайлов Е.Ф., Небосько Е.Ю. Определение характеристик атмосферного аэрозоля по данным трехволнового интегрирующего нефелометра. // Оптика атмосферы и океана. 2014. Т. 27. № 03. С. 175–181.
- Свириденков М.А., Михайлов Е.Ф., Небосько Е.Ю. Параметризация среднего косинуса индикатрисы рассеяния света атмосферным аэрозолем // Оптика атмосферы и океана. 2017. № 5. С. 16–21.
- Фока С.Ч., Макарова М.В., Поберовский А.В., Тимофеев Ю.М. Временные вариации концентрации СО2, СН4 и СО в пригороде Санкт-Петербурга (Петергоф) // Оптика атмосферы и океана. 2019. Т. 32. № 10. С. 860–866.
- Aaltonen V., Lihavainen H., Kerminen V.-M., Komppula M., Hatakka J., Eneroth K., Kulmala M., and Viisanen Y. Measurements of optical properties of atmospheric aerosols in Northern Finland // Atmos. Chem. Phys. 2006.V. 6. P. 1155–1164.
- Anderson T.L. and Ogren J.A. Determining Aerosol Radiative Properties Using the TSI 3563 Integrating Nephelometer // Aerosol Science and Technology. 1998.V. 29. №1. P. 57–69.
- Andreae M.O. and Rosenfeld D. Aerosol–cloud–precipitation interactions. Part 1. The nature and sources of cloud-active aerosols // Earth-Science Rev., 2008, V. 89. P. 13−41.
- Andrews E., Sheridan P.J., Fiebig M., McComiskey A., Ogren J.A., Arnott P., Covert D., Elleman R., Gasparini R., Collins D., Jonsson H., Schmid B., Wang J. Comparison of methods for deriving aerosol asymmetry parameter // J. Geophys. Res. 2006. V. 111.
- Ångström A. On the Atmospheric Transmission of Sun Radiation and on Dust in the Air // Geographiska Annaler. 1929. V. 11. P. 156.
- Ångström A. The parameters of atmospheric turbidity // Tellus. 1964.V. 16. № 1, P. 64–75.
- Delene, D.J. and Ogren, J.A. Variability of aerosol optical properties at four North American surface monitoring sites // J. Atmos.Sci. 2002.V. 59. P. 1135–1150.
- Draxler R.R. and Hess G.D. An overview of the HYSPLIT-4 modelling system for trajectories, dispersion and deposition // Australian Meteorological Magazine. 1998.V. 47. №4.P. 295–308.
- Dubovik O., Smirnov A., Holben B., King M., Kaufman Y., Eck T., Slutsker I. Accuracy assessments of aerosol optical properties retrieved from Aerosol Robostic Network (AERONET) Sun and sky radiance measurements // J. Geophys. Res. 2000a. V. 105. № 8. Р. 9791–9806.
- Dubovik O. and King M.D. A flexible inversion algorithm for retrieval of aerosol optical properties from Sun and sky radiance measurements // J. Geophys. Res. 2000b. V. 105. P. 20673–20696.
- Eck T.F., Holben B.N., Reid J.S., Dubovik O., Smirnov A., O'Neill N.T., Slutsker I., and Kinne S. Wavelength dependence of the optical depth of biomass burning, urban and desert dust aerosols // J. Geophys. Res. 1999. V. 104. P. 31333–31350.
- GilesD.M., Sinyuk A., Sorokin M.G., Schafer J. S., Smirnov A., Slutsker I., Eck T.F., Holben B.N., Lewis J.R., Campbell J.R, Welton E.J., Korkin S.V., and Lyapusti A.I. Advancements in the Aerosol Robotic Network (AERONET) Version 3 database – automated near-real-time quality control algorithm with improved cloud screening for Sun photometer aerosol optical depth (AOD) measurements // Atmos. Meas. Tech. 2019. V. 12. P. 169–209.
- Hansen J., Sato M., Ruedy R., Lacis A., Oinas V. Global warming in the twenty-first century: An alternative scenario // Proc. Natl. Acad. Sci. 2000. V. 97. № 18. P. 9875-9880.
- Holben B.N., Eck T.I., Slutsker I., Tanre D., Buis J.P., Setzer A., Vemote E., Reagan J. A., Kaufman Y.J., Nakajima T., Lavenu F., Jankowiak I., and Smirnov A. AERONET-A Federated Instrument Network and Data Archive for Aerosol Characterization // Remote Sensing of Environment. 1998. V. 66. № 1. P. 1–16.
- Holben B.N., Tanre D., Smirnov A., Eck T. F., Slutsker I., Abuhassan N., Newcomb W.W., Schafer J., Chatenet B., Lavenue F., Kaufman Y.J., Vande Castle J., Setzer A., Markham B., Clark D., Frouin R., Halthore R., Karneli A., O'Neill N.T., Pietras C., Pinker R.T., Voss K., Zibordi G. An emerging ground-based aerosol climatology: Aerosol Optical Depth from AERONET, J. Geophys. Res. 2001. V. 106. P. 12067–12097.
- Horvath H., Kasahara M., Tohno S., Olmo F.J., Lyamani H., Alados-Arboledas L., Quirantes A. and Cachorro V. Relationship between fraction of backscattered light and asymmetry parameter // Journal of Aerosol Science. 2015.
- Jung, C.H., Um, J., Lee, J.Y. et al. Sensitivity analysis of the Ångstrom exponent for multimodal aerosol size distributions //Asia-Pacific J Atmos Sci.2013. V. 49. P. 625–634.
- Mikhailov, E.F., Vlasenko S.S., Podgorny I.A., Ramanathan V., and Corrigan C.E. Optical properties of soot–water drop agglomerates: An experimental study // J. Geophys. Res. 2006. V. 111.
- Rienecker M.M., Suarez M.J., Gelaro R., Todling R., Bacmeister J., Liu E., Bosilovich M., Schubert S.D., Takacs L., Kim G.-K., Bloom S., Chen J., Collins D., Conaty A., da Silva A.M., Gu W., Joiner J., Koster R.D., Lucchesi R., Molod A., Owens T., Pawson S., Pegion P., Redder C.R., Reichle R., Robertson F.R., Ruddick A.G., Sienkiewicz M., Woollen J. MERRA-NASA’s modern-era retrospective analysis for research applications // J Clim. 2011. V. 24. № 14. P. 3624–3648.
- Schuster G.L., Dubovik O., and Holben B.N. Angstrom exponent and bimodal aerosol size distributions // J. Geophys. Res. 2006. V. 111.
- Smith S.J. and Bond T.C. Two hundred fifty years of aerosols and climate: the end of the age of aerosols // Atmos. Chem. Phys. 2014. V. 14. № 2. P. 537–549.
- Stefan, S., Mihai, L., Nicolae, D., & Boscornea, A. Angstrom turbidity in the lower layers of the troposphere // Environmental Engineering and Management Journal. 2011.V. 10. P. 133–138.
- Tami C. Bond and Robert W. Bergstrom.Light Absorption by Carbonaceous Particles: An Investigative Review // Aerosol Science and Technology. 2006.V. 40. № 1. P. 27–67.
- Timofeyev Y., Virolainen Y., Makarova M., Poberovsky A., Polyakov A., Ionov D., Osipov S., Imhasin H. Ground-based spectroscopic measurements of atmospheric gas composition near Saint Petersburg (Russia) // J. Molecular Spectroscopy. 2016. V. 323. P. 2–14.
- Virkkula A., Backman J., Aalto P.P., Hulkkonen M., Riuttanen L., Nieminen T., dal Maso M., Sogacheva L., de Leeuw J., Kulmala M. Seasonal cycle, size dependencies, and source analyses of aerosol optical properties at the SMEAR II measurement station in Hyytiala, Finland // Atmos. Chem. Phys. 2011. V. 11. P. 4445–4468.
- Weber P., Petzold A., Bischof O.F., Fischer B., Berg M., Freedman A., Onasch T.B., and Bundke U. Relative errors in derived multi-wavelength intensive aerosol optical properties using cavity attenuated phase shift single-scattering albedo monitors, a nephelometer, and tricolour absorption photometer measurements // Atmos. Meas. Tech. 2022.V. 15. P. 3279–3296.
- Zhao G., Zhao C., Kuang Y., Bian Y., Tao J., Shen C., and Yu Y. Calculating the aerosol asymmetry factor based on measurements from the humidified nephelometer system // Atmos. Chem. Phys. 2018. V. 18. P. 9049–9060.
Supplementary files








