Short-range order in gallium solid solutions in α-iron
- Authors: Ershov N.V.1, Kleinerman N.M.1, Gornostyrev Y.N.1, Lukshina V.A.1, Shishkin D.A.1,2, Timofeeva A.V.1, Naumov S.P.1, Svirid A.E.1
-
Affiliations:
- M.N. Mikheev Institute of Metal Physics, Ural Branch, Russian Academy of Sciences
- Ural Federal University
- Issue: Vol 125, No 7 (2024)
- Pages: 840-853
- Section: СТРУКТУРА, ФАЗОВЫЕ ПРЕВРАЩЕНИЯ И ДИФФУЗИЯ
- URL: https://journal-vniispk.ru/0015-3230/article/view/279677
- DOI: https://doi.org/10.31857/S0015323024070077
- EDN: https://elibrary.ru/JRIVZW
- ID: 279677
Cite item
Full Text
Abstract
Short-range order in soft magnetic FeGa alloys containing from 3 to 25 at% Ga was studied using nuclear gamma resonance (Mossbauer) spectroscopy. The Mossbauer spectra were analyzed via fitting with subspectra corresponding to different configurations of the neighborhoods of the Fe atoms with Ga in the first and second coordination shells. It has been shown that in samples of alloys containing from 3 to 17 at% gallium, the short-range order is almost independent of the heat treatment conditions (quenching from a paramagnetic state or exposure in a ferromagnetic state) and is characterized by the presence of pairs of Ga atoms in the position of the second neighbors (B2-type clusters). At a Ga content of 17 to 21 at%, the portion of B2 clusters turns out to be significantly higher after quenching than after annealing, which correlates with the observed effect of heat treatment on the magnitude of magnetostriction. As the Ga concentration (21–25 at%) further increases, the observed features in the distribution of Ga atoms indicate the appearance and growth of D03 phase regions.
Full Text
ВВЕДЕНИЕ
Прецизионные магнитомягкие сплавы Fe−X, где X = Si, Al, Ga и Ge, характеризующиеся высокой магнитной проницаемостью и низкой коэрцитивной силой, привлекают значительный интерес в связи с их широким использованием в радиоэлектронной промышленности. Сплавы Fe−Si и Fe−Al используются в качестве материалов магнитопроводов в сердечниках трансформаторов, электромагнитов, роторов и статоров электрических машин [1–3]. Сплавы Fe−Ga и Fe−Ge являются перспективными магнитострикционными материалами, применяемыми в качестве преобразователей электромагнитной энергии в механическую [4, 5].
Особый интерес к сплавам системы Fe−Ga связан с необычно высоким значением тетрагональной магнитострикции 3/2·λ100 = 400×10−6, полученном в сплаве, содержавшем около 17 ат.% Ga [6]. Величина магнитострикции зависит от термической предыстории образца [5]. Сплавы, подвергнутые закалке, имеют магнитострикцию на 20–25% выше, чем образцы, медленно охлажденные после отжига, что указывает на роль микроструктуры в формировании магнитных свойств Fe−Ga-сплавов. Согласно фазовой диаграмме [7, 8], при малых концентрациях галлия (до 15 ат.%) образуются неупорядоченные твердые растворы замещения с ОЦК-кристаллической решеткой или α-фаза (структура A2). По мере увеличения концентрации Ga в сплаве при 15–22 ат.%, в двухфазной области реализуются фазы α + α1 (структура D03) соответственно. Затем — упорядоченная фаза α1 стехиометрического состава Fe3Ga [9, 10]. В области температур 700°C и выше при концентрации более 23 ат.% Ga имеет место область фазы α2 (структура B2-типа CsCl) [9].
В работе [11] с помощью первопринципных расчетов коэффициентов магнитострикции показано, что образование в сплаве Fe−Ga структуры B2-типа обеспечивает (в отличие от D03-структуры) наблюдаемое возрастание коэффициента магнитострикции при увеличении содержания Ga. Согласно представлениям, сформулированным в работе [12], наличие пар атомов галлия, являющихся вторыми соседями и представляющими собой элемент ближнего B2-порядка, является причиной увеличения магнитострикции. При этом величина магнитострикции растет пропорционально квадрату концентрации галлия при увеличении его содержания до 17 ат.%. В настоящее время такая точка зрения остается дискуссионной [13, 14, 15]. Результаты исследований структуры и свойств сплавов Fe−Ga показывают [7, 10, 17–26], что практически важные магнитные свойства сплавов Fe−Ga, проявляющиеся в области неупорядоченного твердого раствора, обусловлены особенностями ближнего порядка (БП) в расположении атомов Ga. В то же время причины формирования того или иного БП и его влияния на магнитоупругие свойства сплавов Fe−Ga продолжают быть предметом обсуждений.
Одним из косвенных признаков влияния локального упорядочения на величину магнитострикции является ее различие в закаленных и отожженных образцах сплава при содержании галлия в интервале 17–20 ат.% [23]. В работах [27, 28] обращается внимание на то, что значительное увеличение магнитострикции в закаленных сплавах Fe−Ga обусловлено локальным упорядочением атомов Ga вдоль кристаллографических направлений <100>, сопровождающимся тетрагональным искажением матрицы. В результате формируется модифицированная D03-структура, в которой соседние пары атомов галлия, расположенные вдоль оси легкого намагничивания <100>, являются вторыми соседями. В отличие от закаленных образцов, при медленном охлаждении формируются выделения с обычной (кубической) D03-структурой.
Первопринципные исследования химического упорядочения в Fe−Ga-сплавах показали [29], что при переходе сплава из парамагнитного в ферромагнитное состояние эффективная энергия взаимодействия Ga−Ga на расстоянии первых и третьих соседей уменьшается, а на расстоянии вторых ‒ увеличивается. Этот результат предсказывает предпочтительное образование структуры типа B2 в парамагнитном состоянии. Моделирование структуры сплава при 18 ат.% Ga методом Монте-Карло с использованием рассчитанных межатомных взаимодействий показало, что в ферромагнитном состоянии должен формироваться ближний порядок D03, где атомы галлия являются третьими соседями.
В работах [30–32] атомная структура монокристаллических образцов сплавов Fe−Ga, содержащих 4, 9 и 18 ат.% галлия, исследована методом рентгеновской дифракции. Анализ дифрактограмм позволил заключить, что ближний порядок типа D03 формируется в сплаве с 18 ат.% галлия, при этом объем областей D03-фазы значительно увеличивается при отжиге. В сплавах с 4 и 9 ат.% галлия ближний порядок D03 отсутствует. Для всех составов вблизи узлов (001), (003) и (111) наблюдаются диффузные пики, интенсивность которых не зависит от режима термообработки (закалка или медленное охлаждение). Показано, что их появление связано с наличием и устойчивостью малых кластеров B2 типа. Подобное изменение БП (B2 — D03) с ростом концентрации легирующего элемента ранее наблюдали также в сплавах Fe−Si [33–38] и Fe−Al [39].
Кластеры B2-фазы существуют в Fe−Ga-сплавах при небольших концентрациях галлия (4 и 9 ат.%) и не зависят от условий термообработки (закалка или отжиг). Поскольку вероятность образовать пару Ga−Ga пропорциональна квадрату концентрации атомов галлия, CGa, по-видимому, присутствие B2-кластеров и их положительное влияние на увеличение магнитострикции, определяют квадратичный рост коэффициента λ100 с ростом CGa до 18 ат.%.
Численное моделирование диффузного рассеяния с помощью программного пакета DISCUS [40, 41] позволило определить количественные соотношения в атомной структуре ближнего порядка, а именно — количество и тип атомов, их смещения из узлов идеальной решетки, которые находятся в согласии с экспериментом. Моделирование показало, что B2-кластеры представляют собой “ядро”, состоящее из двух B2-ячеек, имеющих общую грань, окруженное растянутыми ячейками α-железа. B2-кластеры имеют анизотропную форму — они более протяженные вдоль одной из осей легкого намагничивания <100>.
В работе [39] атомная структура магнитомягких сплавов Fe−Al исследована методами рентгеновской дифракции и мёссбауэровской спектроскопии. Аппроксимация γ-резонансных спектров несколькими секстетами дала возможность определить такие параметры БП, как относительные доли вкладов от конфигураций без атомов Al и с одним, двумя и тремя атомами Al в первой и во второй координационных сферах. Отклонение значений этих долей от среднестатистических вероятностей указывает на присутствие химического порядка в расположении атомов. Наибольшие отклонения наблюдаются при 12 и 15 ат.% Al. Условия предварительной термической обработки, такие как закалка из парамагнитного состояния и выдержка в ферромагнитном состоянии, дают близкие значения параметров БП.
Исследование тонкой структуры мёссбауэровских спектров сплавов α-FeGa имеет довольно продолжительную историю. Так, в работе 1964 г. [42] изучено влияние небольших количеств растворенных примесей замещения, в том числе и Ga, в α-железе на структуру магнитного расщепления мёссбауэровских спектров. Впервые было показано, что сверхтонкое поле уменьшается на величину, пропорциональную количеству атомов примеси первых и вторых ближайших соседей. Позднее было установлено [43], что в мёссбауэровских спектрах связь между сверхтонким полем, изомерным сдвигом и количеством атомов растворенного вещества в конкретной координационной сфере (КС) является линейной, влияние различных КС аддитивно и отсутствует квадрупольное расщепление. Сверхтонкое поле и изомерный сдвиг полностью определяются конфигурацией атомов Ga в первой и второй КС.
Структура образцов быстрозакаленных Fe−Ga сплавов, содержащих от 8.3 до 23.3 ат.% галлия, исследована в работе [44]. Методом рентгеновской дифракции при всех концентрациях было установлено неупорядоченное состояние – фаза A2. Мёссбауэровские спектры, измеренные при комнатной температуре, имеют магнитное расщепление. Распределения вероятности по сверхтонкому полю P(H) показали: случайное распределение атомов Ga в локальном окружении атомов Fe при 8.3 ат.% Ga, два локально упорядоченных окружения железа галлием при 17.9 и 20.5 ат.% Ga и три — при 23.3 ат.% Ga.
Закономерности формирования мёссбауэровских спектров неупорядоченных растворов Ga в ОЦК-железе были изучены в работе [45]. Вклады в сверхтонкое поле железа и изомерный сдвиг, обусловленные индивидуальной примесью Ga в двух или трех ближайших КС, были определены в зависимости от концентрации в пределах до 37 ат.% Ga. Авторы [45] показали, что учет только двух КС недостаточен для качественного описания спектров, в то время как модель с тремя КС вполне достаточна при концентрации Ga до 21 ат.%.
Ранее выполненные исследования показали [35, 36, 39, 42‒45], что метод мёссбауэровской спектроскопии характеризуется довольно высокой точностью определения относительных площадей подспектров, соответствующих вероятностям отдельных конфигураций в ближайшем окружении атома 57Fe, и является весьма информативным при исследовании БП в сплавах железа.
Цель настоящей работы − изучение концентрационной зависимости ближнего порядка в магнитомягких сплавах Fe−Ga и влияния на него термических обработок, таких как закалка после выдержки в парамагнитном состоянии или продолжительный отжиг в ферромагнитном состоянии. Необходимо выяснить принципиальную возможность определения параметров ближнего порядка в сплавах Fe−Ga за счет дискретной аппроксимации мёссбауэровских спектров и их зависимости от концентрации Ga. Анализ полученных результатов позволит интерпретировать тонкие особенности атомной структуры исследуемых сплавов.
ОБРАЗЦЫ И МЕТОДИКА ЭКСПЕРИМЕНТА
Сплавы железо−галлий с содержанием 3, 6, 9, 12, 15, 17, 21 и 25 ат.% Ga были получены методом индукционной плавки Fe (99.95%) и Ga (99.7%) в атмосфере аргона и были отлиты в виде поликристаллических стержней диаметром около 10 мм. Из стержней на электроискровом станке вырезаны диски диаметром 9−10 мм и толщиной 0.24−0.64 мм. Для рафинирования и снятия внутренних механических напряжений все образцы проходили отжиг в вакууме 10−5 мм Hg при температуре 1050°С в течение 4 часов с последующим медленным охлаждением с печью. После этого один образец каждого состава был отожжен в течение одного часа при температуре Tan = 450°C, которая не превосходит температуру Кюри сплава (TC уменьшается от 770 до 735°C по мере увеличения CGa), и медленно охлажден с печью. Второй образец после десятиминутного отжига Tan = 850°C в парамагнитном состоянии был подвергнут закалке в воду комнатной температуры (скорость закалки ~400 град./сек). Предполагается, что высокотемпературная выдержка должна приводить к разупорядочению атомов галлия в ОЦК-решетке железа (или к их упорядочению, соответствующему парамагнитному состоянию), а закалка фиксировать это состояние. Температура отжига 450°С существенно ниже точки Кюри сплава, но достаточна для активации диффузии галлия в железе и достижения равновесного состояния при ферромагнитном упорядочении. Для последующих мёссбауэровских исследований образцы механической и электрохимической шлифовкой утоняли до 20 мкм.
Химический состав сплавов проверяли методом энергодисперсионной спектроскопии (EDS) с использованием сканирующего электронного микроскопа Tescan Mira LMS (TESCAN, Чехия) с ускоряющим напряжением до 30 кВ, оснащенного кремниевым дрейфовым детектором Ultim Max 100 (Oxford Instruments, Великобритания). Для обработки EDS спектров использовали программное обеспечение AZtecCrystal. Элементный микроанализ, выполненный в отделе электронной микроскопии Центра коллективного пользования “Испытательный центр нанотехнологий и перспективных материалов” ИФМ УрО РАН (ЦКП ИФМ УрО РАН), показал, что состав образцов соответствует заявленному.
Мёссбауэровские спектры поглощения измерены на спектрометре СМ1101М, работающем в режиме постоянных ускорений. В качестве источника использован 57Со в металлической матрице Rh. В процессе измерений образец и источник находились при комнатной температуре. Регистрация спектров осуществлена в 512 каналов памяти анализатора. Калибровка шкалы скоростей была проведена с помощью эталонного поглотителя α-Fe. Величины изомерных сдвигов приведены относительно α-Fe при 295 К. Для получения информации о сверхтонких взаимодействиях на ядрах 57Fe проведена обработка экспериментальных спектров суперпозицией подспектров (компонент спектра) с помощью программы SPECTR, входящей в программный пакет MSTOOLS [46]. В качестве варьируемых параметров выступали: изомерный и квадрупольный сдвиги, сверхтонкое магнитное поле, ширины линии поглощения, относительные площади подспектров. Измерение мёссбауэровских спектров и их обработка проведены в отделе мёссбауэровской спектроскопии ЦКП ИФМ УрО РАН.
Интерпретация результатов обработки мессбауэровских спектров основана на данных о зависимости сверхтонкого магнитного поля (СТП) и изомерного сдвига (IS) от количества немагнитных атомов галлия в ближайших координационных сферах атома железа, приведенных, например в [42, 43, 45]. При этом также используются результаты классических работ Stearnes и др. о влиянии атомов таких немагнитных примесей, как Si и Al, на мёссбауэровские спектры сплавов с α-Fe [47‒49] и опыт, приобретенный при определении параметров БП из мёссбауэровских спектров неупорядоченных сплавов α-FeSi (5‒8 ат.% Si) и α-FeAl (3‒18 ат.% Al) [35, 36, 39].
ЭКСПЕРИМЕНТАЛЬНЫЕ РЕЗУЛЬТАТЫ И ОБСУЖДЕНИЕ
На рис. 1 приведены спектры ядерного гамма-резонанса (ЯГР) образцов сплавов Fe–Ga, содержащих от 3 до 25 ат.% галлия и подвергнутых термическим обработкам: (1) закалка в воде комнатной температуры после выдержки в течение 10 мин при температуре 850°C в парамагнитном состоянии и (2) отжиг в течение одного часа при температуре 450°C в ферромагнитном состоянии.
Рис. 1. Экспериментальные спектры образцов сплава Fe−Ga (показаны точками), содержащих 3, 6, 9, 12, 15, 17, 21 и 25 ат.% галлия (сверху вниз), закаленных в воду после выдержки в парамагнитном состоянии (слева) и медленно охлажденных после ферромагнитного отжига (справа). Огибающая точки сплошная линия — результат разложения экспериментального спектра на подспектры (тонкие сплошные линии). Под каждым спектром приведен разностный спектр — разность между экспериментальным спектром и результатом его аппроксимации.
По мере замещения атомов железа немагнитными атомами галлия происходит усложнение ЯГР-спектра. Уширение спектральных линий объясняется тем, что в спектре сплава дополнительно к координации n1 = 0 (ni — число атомов галлия в i-й координационной сфере вокруг поглощающего атома железа) появляются конфигурации, включающие один, два и более (n1 = 1, 2, 3, …) примесных атома в первой КС, содержащей восемь атомов [47, 48]. Относительные изменения СТП и изомерного сдвига в случае атомов галлия в α-железе были приведены в работе [42], где было показано, что поле уменьшается на 7.4(5) или на 5(1)%, если один атом Ga имеется в первой или во второй КС соответственно. При этом изомерный сдвиг увеличивается на 0.08(1) мм/с.
Подробнее изменение СТП на ядре атома железа при появлении в его окрестности атома p-элемента можно проследить на примере сплава Fe−Al [39]. При появлении в первой КС атома железа одного атома Al СТП уменьшается на ΔH ≈ 0.07×HFe или примерно на 7%, где HFe − значение СТП в чистом α-железе [47]. Общее уменьшение СТП пропорционально числу атомов Al в первой КС атома железа (n1). Необходимо учитывать вклады второй и третьей КС [47]. Поэтому в координации n1 = 0 могут быть выделены конфигурации: n1 n2 n3 = 000, 010, 001, 011, в координации n1 = 1 ‒ конфигурации n1 n2 = 10, 11, 12, а в координации n1 = 2 ‒ конфигурации n1 n2 = 20, 21. В работе [43] были установлены изменения величины магнитного поля на ядре 57Fe (СТП): ΔH ≈ −7.0, −3.7, +1.3 и −0.1% от НFe для одного атома Al в первой, второй, третьей и четвертой КС соответственно. Неоднократно было показано, что зависимость ΔH от расстояния между атомами железа и металлоида имеет осциллирующий и быстро затухающий характер [35, 39, 47, 50]. При появлении атома Ga (точно так же, как в случае атома Al [47]) в первой КС атома железа (57Fe) эффективное сверхтонкое магнитное поле на его ядре уменьшается и уменьшается расщепление соответствующего секстета [42, 43, 45].
По мере роста содержания галлия уменьшается интенсивность подспектра, который соответствует координации 8:0 (n1 = 0), и растет как доля координаций, когда n1 ≠ 0, так и число атомов галлия в первой (n1), второй (n3) и далее КС. В результате, как было показано ранее [52, 53], ЯГР-спектр сплава определяется суперпозицией подспектров, каждый из которых соответствует конфигурации с конкретным набором n1, n2, n3 …
Таким образом, мёссбауэровские спектры сплава Fe−Ga описываются суперпозицией магнитных секстетов, каждый из которых соответствует определенной конфигурации из атомов железа и p-элемента в локальном окружении атома железа [35, 36, 39, 42, 43, 47]. Ранее такой подход успешно использовали для обработки спектров образцов сплавов железо−кремний, содержащих от 3, 5, 6 и 8 ат.% Si [35, 36] и железо−алюминий от 3 до 18 ат.% Al [39]. Результаты аппроксимации каждого спектра сплавов Fe−Ga подспектрами (секстетами), их сумма − модельный спектр, подгоняемый к экспериментальному, и разница между ними также приведены на рис. 1. Для качественного описания экспериментального спектра оказалось достаточно не более восьми компонент (подспектров). Ширина первой линии зеемановского секстета, Γ, соответствующей ядерному переходу −1/2 → −3/2, в результате варьирования составила от 2.7 до 3.5 мм/с (что на 17–50% больше, чем Γ = 0.23 мм/с в α-железе). Относительная ошибка подгонки ширины ΔΓ не превышает 2.5%. Уширение линии в сплаве, скорее всего, объясняется влиянием локальных деформаций ОЦК-решетки, наблюдаемыми в рентгеновской дифракции сплавов [30]. Квадрупольный сдвиг был близок к нулю и далее не обсуждается. Погрешности определения относительных площадей компонент спектра не превышают 1%.
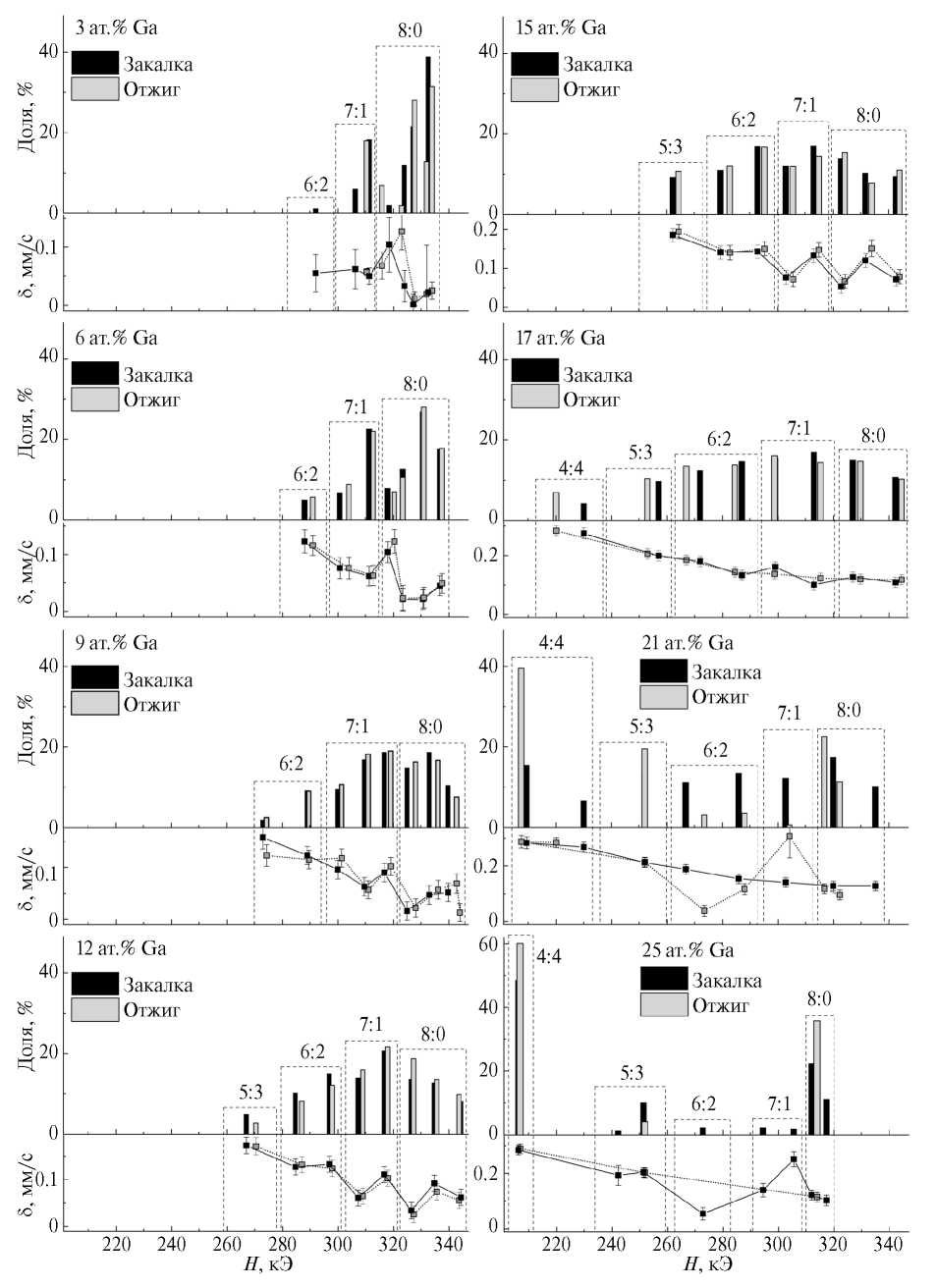
Гистограммы относительных площадей отдельных подспектров (секстетов) в виде прямоугольных столбцов (высота столбца соответствует площади подспектра), распределенные по величине соответствующего СТП, показаны на рис. 2. Предполагается равенство вероятностей эффекта Мёссбауэра для всех ядер 57Fe в различных неэквивалентных позициях (окружениях). Относительная площадь каждого отдельного секстета представляет собой долю (вероятность) определенной конфигурации из атомов Ga в локальном окружении атома железа с резонансно поглощающим ядром 57Fe и соответствующим значением СТП (H, кЭ). Значения изомерного сдвига (ИС) приведены под гистограммами на рис. 2 (δ, мм/с).
Рис. 2. Гистограммы распределения долей и изомерных сдвигов (δ), соответствующих вкладам основных координаций вокруг атомов железа, таких как 8:0, 7:1, 6:2, 5:3 и 4:4 (объединены штриховыми прямоугольниками), по величине СТП (H), полученные аппроксимацией подспектрами мёссбауэровских спектров образцов сплава железо–галлий, содержащих 3, 6, 9, 12, 15, 17, 21 и 25 ат.% Ga.
При распределении вероятностей по числу атомов в КС (или по конфигурациям) использовано правило: один атом Ga в первой КС уменьшает СТП на атоме железа примерном на 6–7%, два — на 12–14% и т.д.; один атом Ga во второй КС — на 2–3%, два — на 4–6% и т.д.; один атом в третьей КС увеличивает СТП на 1–2%, примерно так, как было установлено для атомов галлия [42, 43] или алюминия [47]. Следует также учитывать, что определенные конфигурации более вероятны при данной концентрации атомов галлия. Например, при концентрации 3 ат.% конфигурация n1 n2 n3 = 000 более вероятна, чем n1 n2 n3 = 010, n1 n2 = 10 или n1 n2 = 11. Естественно, что по мере увеличения концентрации CGa вероятность координации 8:0 должна уменьшаться, а вероятности других координаций расти. Значения относительных площадей (вероятностей) и изомерных сдвигов подспектров, соответствующих ядрам атомов 57Fe, находящимся в координациях 8:0 (соответствует числу n1 = 0 атомов Ga в первой КС), 7:1 (n1 = 1), 6:2 (n1 = 2), 5:3 (n1 = 3) и 4:4 (n1 = 0), состоящих из одного или нескольких столбцов гистограммы, на рис. 2 объединены прямоугольниками, ограниченными штриховыми линиями.
Сумма относительных долей отдельных секстетов, входящих в координацию 8:0, представляет собой ее долю I0, в координацию 7:1 — долю I1, в координацию 6:2 — I2 и т.д. Иными словами, доля Ii — это доля (вероятность) конфигурации с i атомами Ga в первой КС и любым их числом во второй и третьей КС. Концентрационные зависимости вероятности появления координаций 8:0, 7:1, 6:2, 5:3 и 4:4, в спектрах закаленного и отожженного образцов сплавов, содержащих от 3 до 25 ат.% Ga (CGa), в сравнении с их значениями, рассчитанными по биномиальному распределению для случая статистического распределения Ga в решетке α-Fe, приведены в табл. 1 и на рис. 3.
Таблица 1. Концентрационная зависимость долей (вероятностей) основных конфигураций в сплавах железо–галлий: в случае среднестатистического распределения атомов по узлам ОЦК-решетки (ср.-ст.) и в образцах сплавов, подвергнутых термическим обработкам (закалка (от 850°C) и отжиг (450°C — 1 час))
CGa, % | ТО | I0 (8:0), % | I1 (7:1), % | I2 (6:2), % | I3 (5:3), % | I4 (4:4), % |
3 | ср.-ст. | 78.4 | 19.4 | 2.1 | ‒ | ‒ |
закалка | 74.3 | 24.3 | 1.2 | ‒ | ‒ | |
отжиг | 81.1 | 18.0 | ‒ | ‒ | ‒ | |
6 | ср.-ст. | 61.0 | 31.1 | 7.0 | ‒ | ‒ |
закалка | 65.2 | 29.3 | 5.0 | ‒ | ‒ | |
отжиг | 63.4 | 30.8 | 5.7 | ‒ | ‒ | |
9 | ср.-ст. | 47.0 | 37.2 | 12.9 | 2.5 | ‒ |
закалка | 44.0 | 45.1 | 11.0 | ‒ | ‒ | |
отжиг | 40.6 | 47.9 | 11.5 | ‒ | ‒ | |
12 | ср.-ст. | 36.0 | 39.2 | 18.7 | 5.1 | ‒ |
закалка | 34.6 | 34.7 | 25.2 | 5.0 | ‒ | |
отжиг | 42.2 | 37.7 | 20.3 | 2.8 | ‒ | |
15 | ср.-ст. | 27.2 | 38.5 | 23.8 | 8.4 | 1.8 |
закалка | 33.7 | 29.0 | 27.9 | 9.2 | ‒ | |
отжиг | 34.2 | 26.1 | 28.7 | 10.7 | ||
17 | ср.-ст. | 22.5 | 36.9 | 26.5 | 10.8 | 2.8 |
закалка | 25.8 | 32.6 | 27.2 | 9.8 | 4.3 | |
отжиг | 25.0 | 30.5 | 27.3 | 10.4 | 7.0 | |
21 | ср.-ст. | 15.2 | 32.3 | 30.0 | 16.0 | 5.3 |
закалка | 27.6 | 12.2 | 24.7 | 13.4 | 20.0 | |
отжиг | 33.8 | 0.6 | 6.6 | 19.5 | 39.5 | |
25 | ср.-ст. | 10.0 | 26.7 | 31.2 | 20.8 | 8.6 |
закалка | 33.6 | 4.0 | 2.2 | 11.5 | 48.6 | |
отжиг | 35.8 | ‒ | ‒ | 4.1 | 60.1 |
Рис. 3. Концентрационные зависимости долей (вероятностей) вкладов в мёссбауэровские спектры FeGa-сплавов конфигураций 8:0, 7:1, 6:2, 5:3 и 4:4 сравниваются с их среднестатистическими вероятностями. Приведены результаты, полученные после закалки из парамагнитного состояния и отжига в ферромагнитном состоянии. Среднестатистические вероятности (BD — binomial distribution, биномиальное распределение атомов по КС) показаны на графике штриховыми линиями.
Для получения более детальной информации о характере ближнего упорядочения атомов галлия в магнитомягких сплавах железо–галлий следует учесть, что: (1) в богатой железом части фазовой диаграммы Fe−Ga имеются фазы В2 и D03, для которых не характерна конфигурация, когда пара атомов Ga−Ga — первые соседи, и, наоборот, в областях B2-фазы пары атомов галлия являются вторыми соседями, а в областях D03-фазы ‒ третьими; (2) данные рентгеновской дифракции при концентрации галлия 4 и 9 ат.% показывают ближний порядок только В2-типа [51] и (3) результаты ab initio расчетов [29, 52] также отрицают возможность сближения атомов галлия на расстояние первых соседей в α-железе. Кроме того, магнитное состояние играет важную роль в формировании ближнего порядка (БП) в бинарных сплавах железа с кремнием, алюминием или галлием: БП типа В2 формируется при Т > ТС и фиксируется при закалке, в то время как в ферромагнитном состоянии более предпочтительным является БП типа D03 [53].
Если в Fe−Ga-сплавах (подобно сплавам железа с кремнием или алюминием [35‒39]) образуются B2 — пары атомов Ga, то они дают наибольший вклад в координацию 6:2. В ближайшем окружении такой пары 4 атома Fe имеют по два атома Ga в первой КС. Это вклад в координацию 6:2 ‒ I2. И 8 атомов Fe имеют один атом Ga в первой КС (вклад в 7:1 — I1). Соотношение вероятностей I2/I1 = 4/8 = 0.5.
В случае установления БП D03-типа (пары Ga−Ga — третьи соседи) отношение должно быть равно I2/I1 = 2/12 ≈ 0.17. При образовании пары атомов Ga−Ga, расположенных на концах диагонали элементарной ОЦК-ячейки (пятые соседи), только один атом Fe будет одновременно первым соседом для двух атомов Ga (координация 6:2) и четырнадцать атомов Fe будут входить в координацию 7:1. Отношение I2/I1 = 1/14 ≈ 0.07.
Значения ИС приведены на рис. 2 непосредственно под столбцами гистограммы относительных площадей подспектров. ИС определяется плотностью s-электронов на ядре 57Fe и характеризуют валентное/спиновое состояние атома α-железа. ИС растет при увеличении числа атомов галлия в ближайшем окружении атома железа. Минимальное значение δ = 0–0.02 мм/c наблюдается при концентрациях 3–9 ат.% Ga, что соответствует конфигурациям без атомов галлия. По мере увеличения концентрации CGa количество атомов Ga в нескольких первых КС естественно растет. При этом ИС увеличивается ступенчато. Максимальное значение δ около 0.3 мм/с достигается в координациях 4:4 при наибольших концентрациях галлия (21 и 25 ат.%).
При содержании 3 ат.% Ga в спектре закаленного образца в основной координации 8:0 имеются четыре столбца, а в спектре отожженного образца — пять столбцов (рис. 2). Поскольку галлия мало, то наиболее высокие столбцы, скорее всего, происходят от конфигурации n1n2n3 = 000. Другие столбцы этой координации с меньшими значениями СТП являются вкладами конфигураций, в которых атомы галлия имеются во второй, третьей и, возможно, четвертой КС, но этот момент требует дополнительного исследования. Один атом Ga в первой КС дает вклад в координацию 7:1, который в спектре закаленного образца представлен двумя столбцами n1n2 = 10 и 11, а в спектре отожженного — одним n1n2 = 10. Поскольку атомы галлия не могут быть ближайшими соседями в решетке α-железа, то конфигурация n1n2 = 11 формируется парой атомов галлия, когда первый атом в первой КС атома железа, а второй — во второй КС, а между собой они — четвертые соседи. Вероятность координации 6:2, которая находится на уровне погрешности (1.2%), имеется только в спектре закаленного образца. Возможно, что это вклад B2-пар, которые в ферромагнитном состоянии энергетически не выгодны [29].
При 6 ат.% галлия в координации 8:0 выделяются четыре столбца, скорее всего, с числами n1n2n3 = 020, 010, 000 и 001, среди которых столбец n1n2n3 = 000 является самым высоким и имеет наименьшую величину ИС. Наибольшее значение СТП имеют столбцы конфигураций с одним атомом в третьей КС или n1n2n3 = 001, что соответствует вышеописанному правилу. В координации 8:0 наибольшее значение ИС имеют самые низкие столбцы конфигурации n1n2n3 = 020 (два атома Ga во второй КС). Это значение ИС близко по величине значению ИС координации 6:2. В координации 7:1 спектры содержат два подспектра n1n2 = 10 и 11 с близкими вероятностями. В спектре отожженного образца вклад n1n2 = 11 несколько больше, чем в спектре закаленного. Следовательно, при отжиге растет доля ближнего порядка, при котором пара атомов галлия — четвертые соседи. По данным нашего рентгеноструктурного анализа в образцах сплавов, содержащих от 4 и 9 ат.% Ga, имеются только кластеры B2-фазы, центрированные парами атомов Ga [51].
Поскольку соотношение интенсивностей I2/I1 ≈ 0.18, то для таких пар Ga−Ga можно оценить доли атомов галлия, дающие вклад в координацию 7:1, как равные 0.36 от пар и 0.64 от отдельных атомов. Пересчет на отдельные атомы галлия дает 2×0.36/(2×0.36 + 0.64) ≈ 0.53 — атомов в парах Ga-Ga и остальные отдельные (т.е. взаимно более удаленные) — 0.47. Таким образом, при концентрации 6 ат.% примерно по 3 ат.% галлия находится в парах и столько же — в виде отдельных атомов.
При аппроксимации спектров образцов сплавов, содержащих 9 ат.% Ga, в координациях 8:0 и 7:1 получено по три подспектра (по три столбца в гистограмме), в координации 6:2 ‒ по два. Наиболее высокий столбец в координации 8:0 — это конфигурация n1n2n3 = 000. При большем значением СТП столбец конфигурации с атомом Ga в третьей КС (n1n2n3 = 001), а при меньшем — с атомом Ga во второй КС (n1n2n3 = 010). Значения ИС указывают на присутствие атомов галлия в ближайшем окружении, например, в четвертой КС, которые не имеют соответствующих вкладов в гистограмму. Три столбца в координации 7:1 — это вклады конфигурации n1n2 = 10, 11 и 12, соответствующие значения ИС показывают на три, два и снова три атома галлия в ближайшем окружении атома железа. Конфигурация n1n2 = 11 образована парой атомов галлия: первый в первой КС атома железа, а второй — во второй КС, между собой эти атомы — четвертые соседи, а координация n1n2 = 12 — тройкой атомов галлия: первый в первой КС, второй и третий во второй КС атома железа. Для первого атома Ga второй и третий ‒ четвертые соседи, а между собой они третьи соседи (БП D03 типа). В координации 6:2 имеются два столбца, как в случае закаленного, так и в случае отожженного образцов (конфигурации n1n2 = 20, 21), последняя реализуется парой атомов Ga ‒ вторые соседи (БП B2-типа) и одним атомом Ga — четвертым соседом для обоих атомов пары.
Значения ИС соответствуют одинаковому количеству атомов галлия (скорее всего, три атома Ga) в ближайшем окружении атома железа в отожженном образце и разные — три (n1n2 = 20) и четыре (n1n2 = 21) в спектре закаленного образца. Соотношение вероятностей (интенсивностей) I2/I1 ≈ 0.24 позволяет аналогично предыдущему случаю концентрации 6 ат.% Ga рассчитать доли атомов в парах как 65% и доли отдельных атомов Ga – 35%. В сплаве примерно 5.8 ат.% атомов галлия в парах и ~3.2 ат.% в виде отдельных атомов.
В разложениях мёссбауэровских спектров образцов сплава с 12 ат.% Ga в координации 8:0 наблюдаются три секстета, по два секстета — в координациях 7:1 и 6:2 и один новый секстет — в координации 5:3. Все эти секстеты имеют одинаковые значения ИС в спектрах как закаленного, так и отожженного образцов сплава. Вероятности координаций 6:2 (I2) и 5:3 (I3) в спектрах закаленного образца выше (на 20% и на 44%, соответственно), чем в спектрах отожженного, а вероятности координаций 8:0 (I0 на 22%) и 7:1 (I1 на 9%), напротив, выше у отожженного. Если предположить, что основной тип БП — это B2, то получается, что после отжига в ферромагнитном состоянии доля B2-фазы понижается примерно на 20%. Соотношение I2/I1 = 0.73 после закалки и I2/I1 = 0.54 после отжига, что превышает типичное для B2 пар Ga−Ga значение I2/I1 = 0.5. Естественно предположить, что в сплаве встречаются тройки атомов, вытянутые вдоль кристаллографических осей <100>, для которых значение I2/I1 может достигать 1.0. В результате сочетаний атомов галлия, ориентированных вдоль линий <100> пар Ga−Ga и троек Ga–Ga–Ga, реализуются соотношения I2/I1 наблюдаемые экспериментально, а их значительное снижение после отжига свидетельствует об уменьшении в сплаве долей как пар Ga–Ga, так и троек Ga–Ga–Ga. Если предположить, что при концентрации галлия 12 ат.% в сплаве нет одиночных атомов Ga, тогда за счет пар достигается значение I2/I1 = 0.5, а разница отношений [(I2/I1)зак — [(I2/I1)отж] = 0.23 и 0.04 в случае закаленного и отожженного образцов, соответственно, объясняется снижением доли только троек. Возможно, что в сплаве имеются также “ломаные” тройки, состоящие из трех атомов галлия, принадлежащих одной грани ОЦК-ячейки, кроме вклада в координации 7:1 (I1) и 6:2 (I2), они дают вклад в интенсивность I3 координации 5:3. Судя по тому, что интенсивность вклада 5:3 после отжига также уменьшается, то и доля таких троек уменьшается.
Распределение столбцов по СТП в гистограммах образцов сплавов, содержащих 15 ат.% Ga, близко к распределению при 12 ат.% Ga. Имеются три столбца в координации 8:0, по два ‒ в 7:1 и 6:2, и по одному ‒ в 5:3. Корреляция величин ИС и СТП повторяет их корреляцию в образцах с 12 ат.% Ga. Для интерпретации результатов аппроксимации спектров образцов сплавов, содержащих 15 ат.% галлия, подспектрами подходят соображения из предыдущего рассмотрения для 12 ат.%. Разница в том, что результаты разложений практически не зависят от условий термической обработки.
Отношения I2/I1 = 0.96 после закалки и I2/I1 = 1.09 после отжига отличаются незначительно и объясняются присутствием в сплаве ориентированных вдоль осей <100> B2 пар Ga–Ga и троек Ga–Ga–Ga. В спектрах сплава при 15 ат.% Ga также имеется вклад координации 5:3, который после отжига в ферромагнитном состоянии увеличивается чуть больше, чем на 10%. Возможно, что в случае 15 ат.% Ga в координацию 5:3 дают вклад небольшие дефектные кластеры D03-фазы.
Основное различие результатов разложения спектров закаленного и отожженного образцов сплава, содержащего 17 ат.% Ga, состоит в повышении после отжига доли координации 4:4 более чем на 60%, что вполне соответствует результатам рентгеноструктурного анализа [30], и одновременно объясняет снижение магнитострикции в медленно охлажденных образцах по сравнению с закаленными [4, 5] из-за негативного влияния на нее БП D03-типа.
Вероятность других координаций почти не зависит от условий термической обработки, относительные изменения колеблются в пределах 3–6%, что несколько превосходит предел чувствительности метода (1%). Координация 8:0 встречается в областях сплава с пониженным содержанием галлия и в ячейках D03-фазы. Если после отжига увеличивается доля D03-фазы, то возможно, что одновременно уменьшается вклад обедненных галием областей, интенсивность I0 уменьшается на 3%. Координация 6:2 в основном происходит от пар или троек атомов галлия вторых соседей. Для таких пар характерно отношение вероятностей I2/I1 = 0.5, для троек — I2/I1 = 1.0. При 17 ат.% Ga отношение I2/I1 равно после закалки 0.83 и 0.90 после отжига. Небольшое количество атомов железа в координациях 7:1 и 6:2 может оказаться на поверхности областей D03-фазы. А координация 5:3 может находиться как на поверхности, так и в самих областях D03-фазы при нарушениях периодичности заполнения узлов решетки.
Спектры образцов сплавов, содержащих 21 ат.% галлия (рис. 1), и результаты их дискретной аппроксимации — гистограммы (рис. 2) зависят от условий термической обработки. Закаленный образец выглядит более разупорядоченным, поскольку его спектр разлагается на восемь компонент (секстетов), которые имеют вероятность от 7 до 20%. При этом наиболее вероятными являются координации 8:0, 6:2 и 4:4, интенсивность которых последовательно убывает: 28, 25 и 20%. Вероятности координаций 7:1 и 5:3 находятся на уровне 12–13%.
Координации 8:0 и 4:4 указывают на присутствие областей D03-типа в доле, достигающей 20%, поскольку только от D03-ячеек происходит координация 4:4 (I4 = 20%). В то же время сохраняется БП B2-типа, хотя интенсивность I2 = 25% (координация 6:2) имеет более сложное происхождение, поскольку в нее кроме пар и троек атомов Ga дают вклад границы областей D03-фазы. После ферромагнитного отжига спектр разлагается на семь подспектров. По сравнению с закаленным образцом примерно в два раза вырастает вероятность координации 4:4 (I4 = 39.5%), вероятность координации 8:0 увеличивается на 22% и достигает 34%, что происходит за счет одной линии, которая соответствует конфигурации с большим количеством атомов галлия во второй КС. Обе эти особенности указывают на значительный рост областей D03-фазы, который происходит за счет одиночных атомов Ga и B2-кластеров.
В то же время резко уменьшаются вероятности координаций 7:1 и 6:2, достигая 0.6% и 6.6%, т.е. на 95 и 63%, соответственно. Координация 5:3, вероятность которой после ферромагнитного отжига увеличивается на 46% и достигает 19.5%, происходит от областей D03-фазы, в которых из-за недостаточного количества атомов Ga имеет место нарушение периодичности заполнения подрешетки Ga; в первой КС атома железа не хватает одного атома Ga для образования координации 4:4, характерной для D03-фазы. Дело в том, что для областей D03-фазы характерно отношение интенсивностей I0/I4 = 0.5 (вероятность координации 8:0 по отношению к вероятности координации 4:4). После отжига отношение I0/I4 = 0.856. Но если сложить вклады от координаций 5:3 и 4:4, считая, что в координацию 5:3 дают вклад тоже области D03-фазы, но имеющие дефекты периодичности заполнения узлов, то отношение I0/(I4 + I3) = 0.58 становится ближе к ожидаемому.
Наибольшая степень упорядочения D03-типа достигается в образцах сплава, содержащего 25 ат.% галлия. Если спектр закаленного образца разлагается на семь подспектров, то спектр отожженного — на три. В закаленном образце сплава наиболее вероятными координациями являются 8:0 (34%), 5:3 (12%) и 4:4 (49%), а маловероятными 7:1 и 6:2 (4 и 2% соответственно), что свидетельствует о преобладании областей D03-фазы. Отношение I0/(I4 + I3) = 34/(12+49) = 0.56. B2-кластеры скорее всего отсутствуют в результате их поглощения областями D03-фазы. После отжига в ферромагнитном состоянии координации 7:1 и 6:2 отсутствуют, вероятность координации 5:3 уменьшается до 4%, а вероятности координаций 8:0 и 4:4 увеличиваются на 6 и 24%, достигая 36 и 60% соответственно. Следовательно, после отжига в сплаве образуются довольно большие области D03-фазы. Скорее всего, в образце сплава наводится дальний порядок D03-типа.
Результаты ЯГР-спектроскопии образцов сплавов железо–галлий, содержащих от 3 до 25 ат.% Ga, не противоречат фазовой диаграмме [7–8] и результатам рентгеноструктурного анализа [32, 51]. В то же время они позволяют получить параметры химического ближнего упорядочения Fe–Ga-сплавов в области неупорядоченного твердого раствора (A2-фазы) и важные количественные соотношения между ними.
ВЫВОДЫ
Методом ЯГР-спектроскопии исследован ближний порядок в сплавах Fe–Ga с содержанием Ga от 3 до 25 ат.%, подвергнутых закалке из парамагнитного состояния или выдержке в ферромагнитном состоянии Дискретная аппроксимация ЯГР-спектров подспектрами позволила определить долю как основных координаций атомов Ga в первой КС (8:0, 7:1, 6:2, 5:3 и 4:4), так и конфигураций, соответствующих разному числу атомов Ga во второй и третьей КС поглощающего атома Fe.
Показано, что в области твердого раствора (α-фаза, 3‒17 ат.% Ga) ближний порядок практически не зависит от условий термической обработки и характеризуется наличием пар атомов Ga в положении вторых соседей. Влияние условий термической обработки образцов (закалка или отжиг) на характер локального упорядочения атомов галлия проявляется, начиная с 17 ат.% Ga; доля кластеров B2-типа после закалки оказывается существенно выше, чем после отжига, и появляется существенная доля координации 4:4, характерной только для фазы D03. При концентрациях 21 и 25 ат.% Ga доля областей D03 фазы увеличивается и по мере увеличения содержания галлия, и в результате отжига в ферромагнитном состоянии. После завершения отжига образца сплава, содержащего 25 ат.% Ga, устанавливается D03 дальний порядок.
Метод ЯГР-спектроскопии достаточно чувствителен к малым изменениям количества атомов галлия в первой КС атома железа и при этом “видит” атомы второй сферы. Так в координациях 7:1 и 6:2, т.е. с одним и двумя атомами Ga в первой КС атома железа выделяются также вклады без Ga или с одним (двумя) атомом Ga во второй КС. При этом между собой атомы галлия являются четвертыми соседями. Установлено, что при 6 ат.% Ga около половины атомов составляют B2-пары (Ga–Ga — вторые соседи) и около половины в виде отдельных (взаимно более удаленных) атомов, а при 9 ат.% — две трети существуют в парах и около одной трети раздельно.
Исследования проведены за счет гранта Российского научного фонда (проект № 22-12-00179 https://rscf.ru/project/22-12-00179/, ИФМ УрО РАН, Свердловская обл.).
Работа была выполнена с использованием оборудования центра коллективного пользования ИФМ УрО РАН “Испытательный центр нанотехнологий и перспективных материалов”.
Авторы данной работы заявляют, что у них нет конфликта интересов.
About the authors
N. V. Ershov
M.N. Mikheev Institute of Metal Physics, Ural Branch, Russian Academy of Sciences
Author for correspondence.
Email: nershov@imp.uran.ru
Russian Federation, Ekaterinburg, 620108
N. M. Kleinerman
M.N. Mikheev Institute of Metal Physics, Ural Branch, Russian Academy of Sciences
Email: nershov@imp.uran.ru
Russian Federation, Ekaterinburg, 620108
Yu. N. Gornostyrev
M.N. Mikheev Institute of Metal Physics, Ural Branch, Russian Academy of Sciences
Email: nershov@imp.uran.ru
Russian Federation, Ekaterinburg, 620108
V. A. Lukshina
M.N. Mikheev Institute of Metal Physics, Ural Branch, Russian Academy of Sciences
Email: nershov@imp.uran.ru
Russian Federation, Ekaterinburg, 620108
D. A. Shishkin
M.N. Mikheev Institute of Metal Physics, Ural Branch, Russian Academy of Sciences; Ural Federal University
Email: nershov@imp.uran.ru
Russian Federation, Ekaterinburg, 620108; Ekaterinburg, 620002
A. V. Timofeeva
M.N. Mikheev Institute of Metal Physics, Ural Branch, Russian Academy of Sciences
Email: nershov@imp.uran.ru
Russian Federation, Ekaterinburg, 620108
S. P. Naumov
M.N. Mikheev Institute of Metal Physics, Ural Branch, Russian Academy of Sciences
Email: nershov@imp.uran.ru
Russian Federation, Ekaterinburg, 620108
A. E. Svirid
M.N. Mikheev Institute of Metal Physics, Ural Branch, Russian Academy of Sciences
Email: nershov@imp.uran.ru
Russian Federation, Ekaterinburg, 620108
References
- Дружинин В.В. Магнитные свойства электротехнической стали. М.: Энергия, 1974. 240 с.
- Зайкова В.А., Старцева И.Е., Филиппов Б.Н. Доменная структура и магнитные свойства электротехнических сталей. М.: Наука, 1992. 272 с.
- Freitas A.S., de Albuquerque D.F., Fittipaldi I.P., Moreno N.O. Magnetic properties of Fe–Al for quenched diluted spin-1 Ising model // JMMM. 2014. V. 362. P. 226–228.
- Clark A.E., Hathaway K.B., Wun-Fogle M., Restorff J.B., Lograsso T.A., Keppens V.M., Petculescu G., Taylor R.A. Extraordinary Magnetoelasticity and Lattice Softening in bcc Fe-Ga Alloys // J. Appl. Phys. 2003. V. 93. P. 8621–8623.
- Wu D., Xing Q., McCallum R.W., Lograsso T.A. Magnetostriction of iron-germanium single crystals // J. Appl. Phys. 2008. V. 103. P. 07B307(1–3).
- Cullen J.R., Clark A.E., Wun-Fogle M., Restor J.B., Lograsso T.A. Magnetoelasticity of Fe–Ga and Fe–Al alloys // J. Magn. Magn. Mater. 2001. V. 226–230. P. 948–949.
- Kubaschewski O. Iron-binary Phase Diagrams. Springer-Verlag, Berlin, 1982. 185 р.
- Ikeda O., Kainuma R., Ohnuma I., Fukamichi K., Ishida K.J. Phase equilibria and stability of ordered b. c. c. phases in the Fe-rich portion of the Fe–Ga system // J. Alloys Compd. 2002. V. 347. № 1–2. P. 198–205.
- Lograsso T.A., Summers E.M. Detection and quantification of
- chemical order in Fe–Ga alloys using high resolution X-ray diffraction // Mater. Sci. Eng. 2006. V. A 416. P. 240–245.
- Mohamed A.K., Cheverikin V.V., Medvedeva S.V., Bobrikov I.A., Balagurov A.M., Golovin I.S. First- and second-order phase transitions in Fe-(17–19) at.% Ga alloys // Mater. Lett. 2020. V. 279. P. 128508(4).
- Wu R. Origin of large magnetostriction in FeGa alloys // J. Appl. Phys. 2002. V. 91. P. 7358–7360.
- Cullen J., Zhao P., Wuttig M. Anisotropy of crystalline ferromagnets with defects // J. Appl. Phys. 2007. V. 101. 123922.
- Boisse J., Zapolsky H., Khachaturyan A.G. Atomic-scale modeling of nanostructure formation in Fe–Ga alloys with giant magnetostriction: Cascade ordering and decomposition // Acta Mater. 2011. V. 59. № 7. P. 2656–2668.
- Huang M., Lograsso T.A. Short range ordering in Fe–Ge and Fe–Ga single crystals // Appl. Phys. Lett. 2009. V. 95. 171907(3).
- Wang H., Zhang Y.N., Wu R.Q., Sun L.Z., Xu D.S., Zhang Z.D. Understanding strong magnetostriction in alloys // Sci. Rep. 2013. V. 3. № 1. P. 3521(5).
- Marchant G.A., Woodgate C.D., Patrick C.E., Staunton J.B. Ab initio calculations of the phase behavior and subsequent magnetostriction of within the disordered local moment picture // Phys. Rev. B. 2021. V. 103. P. 094414(14).
- Zhang M.C., Jiang H.L., Gao X.X., Zhu J., Zhou S.Z. Magnetostriction and microstructure of the melt-spun alloy // J. Appl. Phys. 2006. V. 99. № 2. Р. 023903(3).
- Pascarelli S., Ruffoni M.P., Turtelli R.S., Kubel F., Grössinger R. Local structure in magnetostrictive melt-spun alloys // Phys. Rev. B. 2008. V. 77. P. 184406(8).
- Petculescu G., Wu R., McQueeney R.J. Magnetoelasticity of bcc Fe–Ga Alloys // Handbook of Magnetic Materials, edited by K.H.J. Buschow (Elsevier, Oxford, UK) 2012. V. 20. P. 123–226.
- Wang H., Zhang Y.N., Wu R.Q., Sun L.Z., Xu D.S., Zhang Z.D. Understanding strong magnetostriction in alloys // Sci. Rep. 2013. V. 3. № 1. P. 3521(5).
- Viehland D., Li J.F., Lograsso T., Wuttig M. Structural studies of by reciprocal space mapping // Appl. Phys. Lett. 2002. V. 81. № 17. P. 3185–3187.
- Cao H., Gehring P.M., Devreugd C.P., Rodriguez-Rivera J.A., Li J., Viehland D. Role of Nanoscale Precipitates on the Enhanced Magnetostriction of Heat-Treated Galfenol () Alloys // Phys. Rev. Lett. 2009. V. 102. P. 127201(4).
- Du Y., Huang M., Chang S., Schlagel D.L., Lograsso T.A., McQueeney R.J. Relation between Ga ordering and magnetostriction of Fe-Ga alloys studied by X-ray diffuse scattering // Phys. Rev. B. 2010. V. 81. № 5. P. 054432(9).
- Du Y., Huang M., Lograsso T.A., McQueeney R.J. X-ray diffuse scattering measurements of chemical short-range order and lattice strains in a highly magnetostrictive alloy in an applied magnetic field // Phys. Rev. B. 2012. V. 85. № 21. P. 214437(6).
- Ke Y., Jianga C., Tao J., Duan H. Local inhomogeneous structural origin of giant magnetostriction in Fe-Ga alloys // J. Alloys Compd. 2017. V. 725. № 1–2. P. 14–22.
- Rahman N., Li M., Ma T., Yan M. Microstructural origin of the magnetostriction deterioration in slowly cooled // J. Alloys Compd. 2019. V. 786. P. 300–305.
- Lograsso T.A., Ross A.R., Schlagel D.L., Clark A.E., Wun-Fogled M. Structural transformations in quenched Fe–Ga alloys // J. Alloys Compd. 2003. V. 350. № 1–2. P. 95–101.
- He Y.K., Ke X., Jiang C., Miao N., Wang H., Coey J.M.D., Wang Y., Xu H. Interaction of trace rare-earth dopants and nanoheterogeneities induces giant magnetostriction in Fe–Ga alloys // Adv. Funct. Mater. 2018. V. 28. № 20. P. 1800858(9).
- Петрик М.В., Горбатов О.И., Горностырев Ю.Н. Роль магнетизма в формировании ближнего порядка в сплаве Fe–Ga // Письма в ЖЭТФ. 2013. Т. 98. № 12. С. 912–915.
- Черненков Ю.П., Ершов Н.В., Лукшина В.А. Влияние отжига в ферромагнитном состоянии на структуру сплава железа с 18 ат.% галлия // ФТТ. 2019. Т. 61. № 1. С. 12–21.
- Черненков Ю.П., Ершов Н.В., Лукшина В.А. Обнаружение новой фазы типа B1 в монокристаллах магнитомягких сплавов Fe–Al и Fe–Ga // ФТТ. 2019. Т. 61. № 11. С. 2000–2008.
- Черненков Ю.П., Смирнов О.П., Лукшина В.А., Тимофеева А.В., Петрик М.В., Кузнецов А.Р., Ершов Н.В., Горностырев Ю.Н., Шишкин Д.А. Ближний порядок и его устойчивость в магнитомягком железо-галлиевом сплаве // ФММ. 2024. Т. 125. № 1. C. 86–95.
- Черненков Ю.П., Федоров В.И., Лукшина В.А., Соколов Б.К., Ершов Н.В. Рентгеновское диффузное рассеяние от монокристаллов α-Fe и α- // ФММ. 2005. Т. 100. № 3. С. 39–47.
- Ершов Н.В., Черненков Ю.П., Лукшина В.А., Федоров В.И. Рентгенодифракционные исследования особенностей атомной структуры сплава Fe–Si в α-области фазовой диаграммы // ФТТ. 2009. Т. 51. № 3. С. 417–422.
- Ершов Н.В., Клейнерман Н.М., Лукшина В.А., Пилюгин В.П., Сериков В.В. Особенности локальной атомной структуры сплава Fe-Si в α-области фазовой диаграммы // ФТТ. 2009. Т. 51. № 6. С. 1165–1171.
- Сериков В.В., Клейнерман Н.М., Лукшина В.А., Ершов Н.В. Ближний порядок в сплавах (x = 0.05–0.08) с наведенной магнитной анизотропией // ФТТ. 2010. Т. 52. № 2. С. 316–322.
- Ершов Н.В., Черненков Ю.П., Лукшина В.А., Федоров В.И. Структура сплавов α-FeSi с 8 и 10 at.% кремния // ФТТ. 2012. Т. 54. № 9. С. 1813–1819.
- Ершов Н.В., Черненков Ю.П., Лукшина В.А., Смирнов О.П. Ближний порядок в магнитомягком сплаве α-FeAl // ФТТ. 2018. Т. 60. № 9. С. 1619–1631.
- Ершов Н.В., Клейнерман Н.М., Лукшина В.А., Черненков Ю.П., Шишкин Д.А., Смирнов О.П., Семенов В.Г. Ближний порядок в “неупорядоченных” твердых растворах алюминия в α-железе // ФТТ. 2023. Т. 65. № 3. С. 372–385.
- Proffen Th., Neder R.B. DISCUS, a program for diffuse scattering and defect structure simulations // J. Appl. Crystallogr. 1997. V. 30. P. 171–175.
- Chernenkov Yu.P., Ershov N.V., Lukshuna V.A., Fedorov V.I., Sokolov B.K. An X-ray diffraction study of the short-range ordering in the soft-magnetic Fe–Si alloys with induced magnetic anisotropy // Physica B. 2007. V. 396. № 1–2. P. 220–230.
- Wertheim G.K., Jaccarino V., Wernick J.H., Buchanan D.N.E. Range of the exchange interaction in iron alloys // Phys. Rev. Lett. 1964. V. 12. № 1. P. 24–27.
- Newkirk L.R., Tsuei C.C. Mössbauer study of hyperfine magnetic interactions in Fe-Ga solid solutions // J. Appl. Phys. 1971. V. 42. № 13. P. 5250–5253.
- Dunlap R.A., McGraw J.D., Farrell S.P. A Mössbauer effect study of structural ordering in rapidly quenched Fe–Ga alloys // J. Magn. Magn. Mater. 2006. V. 305. № 2. P. 315–320.
- Błachowski A., Ruebenbauer K., Zukrowski J., Przewoznik J. Charge and spin density on iron nuclei in the BCC Fe–Ga alloys studied by Mössbauer spectroscopy // J. Alloys Compd. 2008. V. 455. № 1–2. P. 47–51.
- Русаков B.C. Мессбауэровская спектроскопия локально неоднородных систем. ОПНИ ИЯФ НЯЦ РК, Алматы. 2000. 438 с.
- Stearns M.B. Model for the Origin of Ferromagnetism in Fe: Average‒Moment Internal‒Field Variations in FeSi and FeAl Alloys // Phys. Rev. В. 1972. V. 6. № 9. P. 3326–3331.
- Stearns M.B. Internal Magnetic Fields, Isomer Shifts, and Relative Abundances of the Various Fe Sites in FeSi Alloys // Phys. Rev. 1963. V. 129. No. 3. P. 1136–1144.
- Stearns M.B. Spin‒Density Oscillations in Ferromagnetic Alloys. I. "Localized" Solute Atoms: Al, Si, Mn, V, and Cr in Fe // Phys. Rev. 1966. V. 147. No. 2. P. 439–453.
- Arzhnikov A.K., Dobysheva L.V. Local magnetic moments and hyperfine magnetic fields in disordered metal-metalloid alloys // Phys. Rev. B. 2000. V. 62. № 9. P. 5324.
- Черненков Ю.П., Ершов Н.В., Горностырев Ю.Н., Лукшина В.А., Смирнов О.П., Шишкин Д.А. Рентгеноструктурный анализ ближнего порядка в твердых растворах железо-галлий // ФММ. 2022. Т. 123. № 10. С. 1054–1062.
- Петрик М.В., Горностырев Ю.Н. Локальные деформации и химическая связь в магнитомягких сплавах Fe–X (X = Si, Al, Ga, Ge) // ФММ. 2013. Т. 114. № 6. С. 514–518.
- Горбатов О.И., Кузнецов А.Р., Горностырев Ю.Н., Рубан А.В., Ершов Н.В., Лукшина В.А., Черненков Ю.П., Федоров В.И. Роль магнетизма в формировании ближнего порядка в сплавах железо-кремний // ЖЭТФ. 2011. Т. 139. № 5. С. 969–982.
Supplementary files





