Анализ термической устойчивости аморфных фаз в металлических сплавах Al87Ni8Gd5 и Al87Ni8Y5
- Авторы: Свиридова Е.А.1,2, Васильев С.В.1,2, Ткач В.И.1
-
Учреждения:
- ФГБНУ “Донецкий физико-технический институт им. А.А. Галкина”
- ФГБОУ ВО “Донбасская национальная академия строительства и архитектуры”
- Выпуск: Том 125, № 10 (2024)
- Страницы: 1252-1263
- Раздел: СТРУКТУРА, ФАЗОВЫЕ ПРЕВРАЩЕНИЯ И ДИФФУЗИЯ
- URL: https://journal-vniispk.ru/0015-3230/article/view/282252
- DOI: https://doi.org/10.31857/S0015323024100076
- EDN: https://elibrary.ru/JFGHZO
- ID: 282252
Цитировать
Полный текст
Аннотация
Методами дифференциальной сканирующей калориметрии и рентгенографического анализа изучена кинетика формирования нанофазных композитов и эволюция их структурных параметров в металлических стеклах Al87Ni8Gd5 и Al87Ni8Y5 с различной термической устойчивостью в условиях нагрева со скоростью 0.083 K/c. С использованием оригинальной и ряда известных моделей определены количественные изменения скоростей зарождения и роста нанокристаллов Al, а также значения кинетических (коэффициенты диффузии) и термодинамических (работа образования зародышей критического размера, разность термодинамических потенциалов аморфной и кристаллической фаз и удельная свободная энергия границы раздела зародыш/материнская фаза) параметров. По результатам сравнительного анализа установлено, что основной причиной повышенной термической устойчивости стекла Al87Ni8Y5 по сравнению со стеклом Al87Ni8Gd5 является более низкая диффузионная подвижность атомов.
Полный текст
ВВЕДЕНИЕ
Возможность получения металлических стекол была впервые экспериментально установлена в лабораторных условиях в 1960 г. [1], а уже в 2001 г рынок аморфных сплавов, получаемых закалкой из жидкого состояния, составлял несколько сотен миллионов евро [2]. Причина столь бурного прогресса заключается в высоком уровне ряда физических свойств металлических стекол, прежде всего магнитно-мягких сплавов, и в уникальных сочетаниях свойств. Однако аморфное состояние является термодинамически неравновесным и, следовательно, все металлические стекла имеют тенденцию к кристаллизации, которая сопровождается кардинальным изменением свойств. В большинстве стекол кристаллизация приводит к деградации физических свойств, однако в 90-е годы были открыты группы аморфных сплавов на основе железа [3] и алюминия [4], частичная кристаллизация которых, происходящая путем формирования в аморфной матрице большого количества нанокристаллов на основе базового компонента, приводит к заметному дополнительному улучшению магнитных и прочностных свойств. Если учесть, что формирование металлических стекол является следствием практически полного подавления процесса формирования кристаллических фаз в затвердевающем расплаве, неудивительно, что процесс кристаллизации играет ключевую роль в разработке материалов с аморфной и нанокристаллической структурами.
Одна из важнейших характеристик металлических стекол – это термическая устойчивость, количественными характеристиками которой являются значения времени или температуры начала кристаллизации аморфной фазы (tons и Tons) соответственно в изотермических условиях или при нагреве с постоянной скоростью. Термическая устойчивость стекол зависит от ряда факторов – таких как механизм кристаллизации и термическая предыстория, однако определяющим фактором является температура плавления (ликвидуса) сплава (Tm). В частности, значения Tons большинства металлических стекол лежат, как правило, в диапазоне (0.4–0.6)Tm. По этой причине для повышения термической устойчивости аморфных сплавов их дополнительно легировали тугоплавкими металлами – например, частичная замена никеля цирконием и гафнием в стеклах NiSiB приводила к повышению температуры кристаллизации более чем на 100 K [5]. Вероятной причиной повышения термической устойчивости авторы считают низкие значения коэффициента диффузии тугоплавких переходных металлов. Несколько иная причина более высокой (на 27 K) температуры начальной стадии кристаллизации аморфного сплава Al88Ni6Y6 по сравнению со сплавом Al88Ni10Y2 приведена в работе [6], авторы которой связывают этот эффект с изменением скорости гетерогенного зарождения нанокристаллов Al. Приведенные интерпретации причин изменений термической устойчивости металлических стекол, обусловленных изменениями химического состава, носят качественный характер и, следовательно, имеют ограниченную ценность.
Ввиду того, что кристаллизация представляет собой совокупность двух процессов – зарождения кристаллов и их последующего роста, более строгим представляется подход к анализу термической устойчивости, который базируется на количественных оценках скоростей этих процессов. Такой подход был продемонстрирован, в частности, в работе [7], где было установлено, что причиной более высокой, примерно на 60 K температуры кристаллизации металлического стекла Fe40Co40P14B6, по сравнению с Fe40Ni40P14B6 являются более низкие значения коэффициента межфазной диффузии (примерно на 4 порядка величины) и более высокие значения удельной свободной межфазной энергии (на 0.029 Дж/м2).
Очевидно, что для количественного анализа влияния легирования на термическую устойчивость металлических стекол необходимы оценки абсолютных значений скоростей зарождения (J) и роста (U) кристаллов и температурные зависимости этих параметров. Установление зависимостей J(T) и U(T) в стеклах экспериментально или из анализа экспериментальных данных является достаточно сложной и трудоемкой задачей, которая решена лишь для ограниченного круга металлических стекол (Fe40Ni40P14B6 [7] и Fe40Co40P14B6 [8]). Следует отметить, что количественный анализ процесса кристаллизации особенно важен для стекол, склонных к формированию нанофазных композитов, поскольку их физические свойства существенно зависят от структурных параметров (размеров нанокристаллов и их объемной доли). Размеры нанокристаллов в типичных нанофазных композитах лежат в диапазоне 10–30 нм, а объемная плотность нанокристаллов составляет 1021–1023 м–3 и, следовательно, условием формирования композитов является сочетание высоких скоростей зарождения и низких скоростей роста кристаллов. Электронно-микроскопические исследования структуры нанофазных композитов, образующихся в процессе нагрева аморфных сплавов AlNiCe, показали [9], что нанокристаллы чистого алюминия окружены оболочками аморфной фазы с повышенным содержанием легирующих элементов. Формирование такого рода оболочек (диффузионных полей) затрудняет переход атомов алюминия из матрицы в нанокристаллы, что приводит к снижению скорости их роста вплоть до полной остановки, когда оболочки растущих нанокристаллов приходят в соприкосновение. Это явление получило название “мягкого столкновения”, и для его количественного анализа на примере металлического стекла AlFeY было предложено [10] использовать аналитический подход, разработанный Хэмом [11] для описания диффузионно-контролируемого роста периодического массива одинаковых частиц. Корректность этого подхода к описанию роста нанокристаллов была подтверждена для ряда других металлических стекол [12], а несколько позднее в рамках модели “мягкого столкновения” были получены приближенные аналитические уравнения, описывающие рост нанокристаллов при постоянной температуре [13] и при линейном нагреве [14].
Поскольку изменения доли закристаллизованного объема X определяются в общем случае произведением скоростей зарождения и роста кристаллов, то по экспериментально измеренным зависимостям X(t) или X(T) и U(t) или U(T) можно определить изменения скорости зарождения соответственно в изотермических условиях или при нагреве с постоянной скоростью. Решение этой задачи зависит от механизма процесса кристаллизации и для наиболее простой модели “мгновенного роста” (промежутки времени достижения нанокристаллом предельного размера значительно короче длительности процесса) по экспериментально измеренным кинетическим кривым X(t) аморфного сплава Al92Sm8 были получены экспоненциально спадающие со временем значения скорости зарождения [15]. Аналогичный подход, использованный для анализа процесса нанокристаллизации металлических стекол на основе кобальта при нагреве с постоянной скоростью [16], показал, что скорость зарождения изменяется по кривой с максимумом. Куполообразная форма зависимости J(T) была получена для аморфного сплава Al87Ni8Y5 с использованием модели, учитывающей изменения размеров нанокристаллов [17]. Ввиду того, что в рамках анализа, проведенного в работе [17], рассматриваются количественные вариации как скорости зарождения, так и скорости роста нанокристаллов, использование такого подхода представляется перспективным для установления факторов, определяющих термическую устойчивость структуры металлических стекол, склонных к нанокристаллизации.
Исследования термической устойчивости группы аморфных сплавов на основе алюминия, проведенные в работе [18], показали, что при одинаковом содержании Al значения Tons могут различаться более чем на 50 K. В частности, при нагреве со скоростью 10 K/мин температура начала кристаллизации металлического стекла Al87Ni8Y5 оказалась заметно (на 31 K) выше, чем Tons стекла Al87Ni8Gd5 с аналогичным механизмом нанокристаллизации. Природа различий термической устойчивости исследованных стекол в [18] не анализировалась, поэтому в настоящей работе была поставлена цель: на основе модифицированного подхода, описанного в работах [15, 17], оценить скорости зарождения нанокристаллов Al в стеклах Al87Ni8Gd5 и Al87Ni8Y5 и установить факторы, определяющие различия их Tons.
МАТЕРИАЛЫ И МЕТОДЫ ИССЛЕДОВАНИЯ
Исследованные в работе металлические стекла номинальных составов Al87Ni8Gd5 и Al87Ni8Y5 были получены в форме лент шириной 10 мм и толщиной 40 ± 3 и 53 ± 4 мкм соответственно методом спиннингования расплава в защитной среде He. Подробности приготовления исходных сплавов и параметры процесса литья описаны в ряде более ранних публикаций [18, 19]. Термическую устойчивость аморфной структуры и кинетику перехода в кристаллическое состояние изучали методом дифференциальной сканирующей калориметрии – ДСК (NETZSCH DSC model 404), при скорости нагрева 0.083 K/с (5 K/мин). Для анализа структурных изменений в процессе нанокристаллизации образцы лент нагревали с такой же скоростью в установке ПРТ-1000 до различных температур и охлаждали на воздухе со скоростью около 5 K/с.
Структуру термообработанных образцов изучали рентгенографически на автоматизированном дифрактометре ДРОН-3М в фильтрованном кобальтовом излучении. На дифракционных картинах образцов с аморфно-нанокристаллической структурой в диапазоне углов первого аморфного гало выделяли вклады рассеяния от аморфной матрицы и отражений от плоскостей (111) и (200) алюминия. Средние размеры нанокристаллов Al рассчитывали по ширине рефлекса (111) B (с вычитанием поправки на инструментальное уширение) по уравнению Селякова–Шеррера [20] , где λ – длина волны излучения, а θ – угловое положение рефлекса. Относительную долю кристаллической фазы X определяли из отношения интенсивности рефлексов (111) и (200) (площади) к общей рассеянной интенсивности [21]. Несмотря на то, что такой подход не учитывает различия атомных факторов рассеяния материалов матрицы и нанокристаллов, оценки, полученные этим методом, разумно согласуются с данными других методик [22]. В свою очередь, по значениям X и L рассчитывали объемную плотность нанокристаллов.
РЕЗУЛЬТАТЫ
Аморфное состояние быстроохлажденных лент сплавов Al87Ni8Gd5 и Al87Ni8Y5 было идентифицировано рентгенографически [17, 18]. Термографический анализ [18] показал, что на термограммах ДСК этих лент присутствуют 3 максимума тепловыделения, первый из которых обусловлен процессом нанокристаллизации (формированием нанокристаллов Al), а второй и третий – формированием и укрупнением равновесных двойных и тройных интерметаллидов на основе алюминия. Исходя из цели настоящей работы, по фрагментам термограмм ДСК в области температур первого экзотермического максимума, показанным на рис. 1, были определены температуры начала (Tons), максимума скорости (Tx) и завершения нанокристаллизации (Tend). При нагреве со скоростью 0.083 K/с эти температуры составили соответственно для Al87Ni8Gd5 – 447, 466 и 495 K, а для Al87Ni8Y5 – 479, 494 и 519 K. Нагрев образцов лент Al87Ni8Gd5 и Al87Ni8Y5 до температур 527 и 563 K соответственно (выше Tend) приводит к формированию в аморфной матрице нанокристаллов Al (рис. 2).
Рис. 1. Фрагменты термограмм ДСК в температурных диапазонах первой стадии кристаллизации металлических стекол Al87Ni8Gd5 (сплошная линия) и Al87Ni8Y5 (штриховая линия) при нагреве со скоростью 0.083 K/с.
Рис. 2. Дифрактограммы быстроохлажденных лент сплавов Al87Ni8Gd5 и Al87Ni8Y5, подвергнутых нагревам до температур завершения нанокристаллизации (527 и 536 K соответственно). Штриховыми линиями показана схема разложения профиля на аморфную и кристаллическую составляющие.
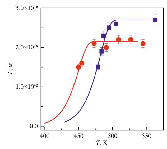
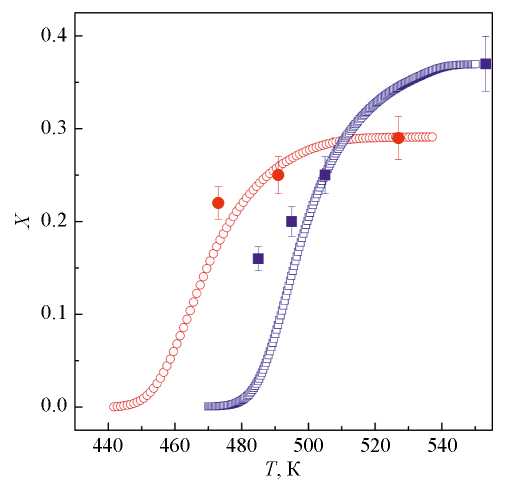
Анализ дифрактограмм показал, что средний размер нанокристаллов в нанофазном композите Al87Ni8Gd5 составляет 22 ± 1 нм, а их доля 0.29 ± 0.01, в то время как в стекле Al87Ni8Y5, кристаллизующимся при более высокой температуре, оба параметра L и X выше и составляют 27 ± 1 нм и 0.37± 0.01 соответственно.
Рентгенографические исследования образцов, подвергнутых нагревам до температур в диапазонах (Tons – Tend), показали, что размеры нанокристаллов с повышением температуры изменяются по кривым с насыщением (рис. 3). К сожалению, большие погрешности результатов обработки дифрактограмм термообработанных образцов с малыми (≤ 0.1) долями закристаллизованного объема не позволяют корректно определить структурные параметры нанофазных композитов на начальных стадиях превращения. По этой причине изменения X(T), показанные на рис. 4, определены путем интегрирования кривых скорости тепловыделения на термограммах ДСК (рис. 1) с последующей нормировкой на значения долей закристаллизованного объема, определенные рентгенографически на завершающих стадиях нанокристаллизации. Как видно из приведенных рисунков, построенные по данным ДСК кривые X(T), как и L(T), стремятся к выходу на “плато”, что согласуется с упомянутой выше моделью “мягкого столкновения”.
Рис. 3. Изменения средних размеров нанокристаллов Al в стеклах Al87Ni8Gd5 (●) и Al87Ni8Y5 (■) в процессе нагрева со скоростью 0.083 K/с. Точки – эксперимент, линии расчет по уравнению (6).
Рис. 4. Изменения доли нанокристаллической фазы в стеклах Al87Ni8Gd5 (●) и Al87Ni8Y5 (■) в процессе нагрева со скоростью 0.083 K/с. Сплошные символы – рентгенографические оценки, полые – нормированные данные ДСК.
АНАЛИЗ И ОБСУЖДЕНИЕ РЕЗУЛЬТАТОВ
Модель для оценки скорости зарождения
Из сравнения кривых X(T) и L(T), приведенных на рис. 3 и 4, видно, что прирост размеров нанокристаллов завершается при более низких температурах, чем увеличение доли закристаллизованного объема. Это означает, что прирост доли закристаллизованного объема обусловлен процессами зарождения и роста и, следовательно, сопоставление зависимостей X(T) и L(T) позволяет оценить изменения скорости зарождения. Так, для случая нагрева с постоянной скоростью распределение нанокристаллов по размерам N(T,L) может быть представлено как
(1)
с , где N0 – объемная плотность нанокристаллов, а n(T, L) – нормализованное их распределение по размерам. В предположении, что растущие нанокристаллы имеют сферическую форму, их объемная плотность может быть рассчитана из доли закристаллизованного объема как
(2)
Учитывая, что нанокристаллы Al в нанокомпозитных структурах расположены случайным образом отдельно друг от друга, их объемная плотность при нагреве с постоянной скоростью q может быть рассчитана по изменениям скорости зарождения J(T), как
(3)
Приравнивания выражения (2) и (3) и дифференцируя по температуре, получим выражение для J(T) в виде:
(4)
Принимая во внимание, что выражение представляет собой средний объем нанокристалла, изменения скорости зарождения в процессе нагрева могут быть определены по изменениям закристаллизованного объема и средних размеров нанокристаллов как
(5)
Оценка изменений скорости зарождения
Из соотношения (5) следует, что для оценки изменений скорости зарождения нанокристаллов Al необходимо знать изменения доли закристаллизованного объема и среднего размера зерна в процессе нанокристаллизации, показанные на рис. 3 и 4. Однако набор экспериментально определенных значений L(T) слишком ограничен для операции дифференцирования. Для устранения этой проблемы изменения размеров нанокристаллов в стеклах Al87Ni8Gd5 и Al87Ni8Y5 были аппроксимированы с помощью приближенного аналитического соотношения
(6)
выведенного в работе [14] для описания роста нанокристаллов в условиях “мягкого столкновения” при нагреве с постоянной скоростью. (Здесь: D(T) = D0exp(–QD/T) – эффективный коэффициент диффузии, определяющий переход атомов Al из аморфной фазы в нанокристалл, rs – половина расстояния между центрами нанокристаллов на завершающей стадии нанокристаллизации, λH = [(C0 – CI)/(CP – CI)]1/3 – концентрационный множитель, зависящий от концентрации легирующих элементов в нанокристалле (CP), и в матрице на границе с нанокристаллом (CI) и в начальный момент времени (C0), teff = T 2/(qQD) – эффективное время термически активируемого процесса при нагреве с постоянной скоростью, QD – энергия активации диффузии, деленная на постоянную Больцмана.) Если учесть, что нанокристаллы свободны от легирующих элементов, и предположить, что концентрация на границе растущего нанокристалла составляет 2C0, то значение концентрационного множителя составит (1/2)1/3 = 0.794.
В операции подгонки свободными параметрами были значения D(T) и rs. Кривые L(T), показанные линиями на рис. 3, для сплавов Al87Ni8Gd5 и Al87Ni8Y5 были рассчитаны при следующих значениях параметров соответственно: D0 = 244.2 м2/с, QD = 21070 K, rs = 16.62 нм и D0 = 240.2 м2/с, QD = 22700 K, rs = 20.82 нм. Из представленных на рис. 5 температурных зависимостей D(T), построенных по этим параметрам, следует, что в исследуемой области температур эффективные коэффициенты диффузии в стекле Al87Ni8Gd5 приблизительно на порядок величины выше, чем в Al87Ni8Y5.
Рис. 5. Температурные зависимости эффективных коэффициентов диффузии, контролирующих рост нанокристаллов в стеклах Al87Ni8Gd5 (сплошная кривая) и Al87Ni8Y5 (штриховая кривая). Вертикальными отрезками показаны температуры начала нанокристаллизации.
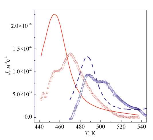
Подстановка полученных зависимостей L(T) и кинетических кривых нанокристаллизации X(T) в уравнение (5) и численное дифференцирование дают зависимости, показанные символами на рис. 6. Из проведенного анализа следует, что скорости зарождения в стеклах Al87Ni8Gd5 и Al87Ni8Y5 в процессе неизотермической нанокристаллизации изменяются по кривым с расщепленными максимумами. Координаты этих максимумов в стекле Al87Ni8Gd5 составляют 1020 м–3с–1 при 455 K и 1.4×1020 м–3с–1 при 470.5 K, а в стекле Al87Ni8Y5 – 9.3×1019 м–3с–1 при 487 K и 7.7×1019 м–3с–1 при 505 K. Возможные причины сложных профилей кривых J(T) будут обсуждены ниже, а здесь отметим, что полученные значения по порядку величины близки к построенной по экспериментальным данным температурной зависимости стационарной скорости зарождения нанокристаллов Al в стекле Al88Y7Fe5, имеющей максимум ~7×1019 м–3с–1 при 530 K [23].
Рис. 6. Определенные по экспериментальным данным Jexp(T) (точки) и рассчитанные изменения скорости зарождения Jst нанокристаллов Al в стеклах Al87Ni8Gd5 (○ и сплошная линия) и Al87Ni8Y5 (□ и штриховая линия) при нагреве со скоростью 5 K/мин.
Оценка параметров, контролирующих скорости зарождения
Ввиду того, что основной задачей настоящей работы является анализ факторов, обусловливающих различную термическую устойчивость аморфных фаз в сплавах Al87Ni8Gd5 и Al87Ni8Y5, представлялось интересным оценить численные значения параметров, контролирующих скорости зарождения нанокристаллов Al в этих сплавах. Для этой цели была выбрана классическая модель стационарного гомогенного зарождения, которая может быть использована для описания кристаллизации металлических стекол [24]. В наиболее простом варианте Тарнбала–Фишера [25] температурная зависимость скорости гомогенного зарождения описывается уравнением:
(7)
где NV – число атомов в единице объема, a0 – длина атомного прыжка через границу раздела кристаллической и материнской фаз, которая в капиллярном приближении Гиббса нулевой толщины принимается равной межатомному расстоянию, ∆G(T) – разность термодинамических потенциалов материнской и кристаллической фаз, σ(T) – удельная свободная энергия границы зародыш/матрица, W*(T) – работа образования зародыша критического размера, Vm – молярный объем материнской фазы, k – постоянная Больцмана. По сути, модель представляет собой произведение кинетического (диффузионного) и термодинамического сомножителей, первый из которых убывает по мере роста переохлаждения, а второй растет, формируя, таким образом, куполообразную форму зависимости Jst(T).
В классической теории кристаллизации подразумевается, что зарождение и рост кристаллов контролируются одним и тем же коэффициентом диффузии. Следовательно, в уравнении (7) неизвестными остаются температурные зависимости ∆G(T) и σ(T). Первая из этих зависимостей (разность свободных энергий жидкой и кристаллической фаз) определяется как
(8)
где DHm и Tm – теплота и температура плавления соответственно, а ∆сp – разность удельных теплоемкостей жидкой и кристаллической фаз. Однако зависимости ∆сp(T) измерены только для очень ограниченного круга сплавов, склонных к объемной аморфизации (например, CuZr [26]), поэтому для расчетов термодинамической движущей силы в переохлажденных расплавах был разработан ряд приближенных моделей [24]. Одна из таких моделей, предложенная Томпсоном и Спейпеном [27], содержит всего два параметра – скрытую теплоту (∆Hm) и температуру плавления (Tm), и корректность которой для глубоких переохлаждений подтверждена в работах [26, 28]:
(9)
была использована в настоящей работе. Однако уравнение (9) выведено для случая, когда кристаллические зародыши имеют тот же состав, что и материнская фаза, в то время как в процессе нанокристаллизации исследуемых стекол в аморфной матрице, содержащей 13 ат.% легирующих элементов, формируются нанокристаллы чистого Al. Очевидно, что термодинамический стимул для формирования зародыша с составом, отличным от состава материнской фазы, будет меньше. В частности, проведенный в рамках модели регулярных растворов анализ влияния состава матрицы (CM) на термодинамическую движущую силу формирования зародыша чистого компонента [29] дал выражение
(10)
Ввиду того, что в процессе зарождения и роста нанокристаллов Al аморфная матрица дополнительно обогащается легирующими элементами, как , то в диапазоне температур нанокристаллизации происходит дополнительное снижение термодинамической движущей силы. Используя значения DHm = 10802 Дж/моль и Tm = 933.5 K для чистого Al [30], по соотношению (9) с учетом изменений CM(T), которые достигают значений 0.183 и 0.206 в конце нанокристаллизации стекол Al87Ni8Gd5 и Al87Ni8Y5 соответственно, были рассчитаны термодинамические движущие силы процесса зарождения нанокристаллов Al, показанные на рис. 7. Как видно, нанокристаллизация приводит к увеличению наклона зависимостей ∆G(T), при этом движущая сила зарождения нанокристаллов Al в стекле Al87Ni8Y5 снижается быстрее, чем в стекле Al87Ni8Gd5, что обусловлено формированием более высокой доли кристаллической фазы.
Рис. 7. Изменения термодинамической движущей силы формирования зародышей Al в аморфных сплавах Al87Ni8Gd5 (сплошные линии) и Al87Ni8Y5 (штриховые линии). Вертикальными соответствующими линиями показаны температуры Tons и Tend при скорости нагрева 0.083 K/с.
Таким образом, в уравнении (8) остается неизвестным единственный параметр σ(T). Удельная поверхностная энергия границы раздела материнской и кристаллической фаз оказывает сильное влияние на скорость зарождения, поэтому оценкам этого параметра посвящено много теоретических работ, опубликованных в разные годы (например, [31–33]). Тем не менее корректность и точность предложенных моделей является недостаточной. Поэтому σ(T) является параметром моделей процесса зарождения, преимущественно классических [34–36]. Для оценки значений параметра σ, который контролирует зарождение нанокристаллов Al в стеклах Al87Ni8Gd5 и Al87Ni8Y5, были использованы значения работы образования критических зародышей, которые рассчитывали из соотношения (7) как
(11)
Для приведенных на рис. 6 зависимостей Jexp(T) рассчитанные W*(T) имеют форму, показанную на рис. 8. Если в стекле Al87Ni8Gd5 работа образования критического зародыша является возрастающей функцией температуры, то в стекле Al87Ni8Y5 величина W*(T) изменяется немонотонно, что не согласуется с представлениями классической теории. Аналогичное немонотонное поведение W*(T), которое наблюдалось для серии оксидных стекол [37] в области температур ниже температур максимума скорости зарождения, авторы этой работы объясняют влиянием незавершенных процессов структурной релаксации. По всей видимости, аналогичные особенности изменения кривых W*(T) свидетельствуют о наличии общей причины наблюдаемых аномалий, для выяснения природы которых необходимы дальнейшие исследования. Примечательно, что в обоих исследованных в работе стеклах при температурах, выше температур максимумов скорости зарождения, изменения работы образования критических зародышей носят монотонный характер (рис. 8), и именно эти значения были использованы для оценки величин σ(T).
Рис. 8. Изменения работы образования критических зародышей, оцененные по соотношению (11) (символы) и рассчитанные по уравнению (7), в стеклах Al87Ni8Gd5 (○ и сплошные линии) и Al87Ni8Y5 (□ и штриховые линии) при нагреве со скоростью 0.083 K/с. Вертикальными линиями показаны температуры основных максимумов Jexp (рис. 6).
Изменения удельной свободной межфазной энергии σ(T) рассчитывали по следующему соотношению:
(12)
Расчеты показали, что значения σ(T) в стеклах Al87Ni8Gd5 и Al87Ni8Y5 (символы на рис. 9) лежат в пределах 0.090–0.096 и 0.090–0.092 Дж/м2 соответственно. Полученные значения близки к оценкам удельной свободной энергии аморфная фаза/кристалл Al (0.076 и 0.07 Дж/м2), приведенным в работах [35] и [36] для стекол Al88Y8Ni4 и Al88Y7Fe5 соответственно.
Рис. 9. Температурные зависимости удельной свободной энергии границы раздела кристаллической и аморфной (жидкой) фаз в сплавах на основе Al: 1 и 2 – Al87Ni8Gd5 и Al87Ni8Y5 соответственно, результаты настоящей работы, 3 – Al87Ni8Gd5, деформационно-индуцированная кристаллизация [38] с учетом давления, 4 – Al85Ce8Ni5Co2 [39], расчет по приближенной модели [32]. Звездочкой показано оцененное экспериментально значение для чистого Al [24].
Линейная аппроксимация значений σ(T) стекол Al87Ni8Gd5 и Al87Ni8Y5 (в соответствии с классической теорией [31]) дает уравнения (Дж/м2) σAlNiGd(T) = 0.035±0.002+(1.16±0.04)×10–4T и σAlNiY(T) = 0.073±0.001+(3.50±0.03)×10–5T, показанные линиями 1 и 2 соответственно на рис. 9. Экстраполяция полученных зависимостей к температуре плавления Al (933.5 K) дает значения 0.143 и 0.104 Дж/м2 для стекол Al87Ni8Gd5 и Al87Ni8Y5 соответственно, первое из которых выше, а второе ниже σ = 0.108 Дж/м2, найденного для зародышей в расплаве чистого Al [24]. Между полученными в работе зависимостями 1 и 2 располагается зависимость σ(T) = 0.058 + 6.69×10–5T, (линия 4) рассчитанная в рамках приближенной термодинамической модели [32] для зарождения Al в стекле Al85Ce8Ni5Co2 [39]. Следует отметить, что предложенная Баттеззати термодинамическая модель [32] включает в себя параметры (молярный объем, температуру и теплоту плавления) только Al, и, следовательно, соотношение, приведенное в работе [39], должно выполняться для всех алюминиевых стекол, склонных к нанокристаллизации, что не согласуется с результатами настоящей работы. Следует также учитывать, что абсолютные значения σ чувствительны к значениям экспериментальных параметров, которые используются для оценки, в особенности от выбора функции ΔG(T), а также от условий кристаллизации. В частности, анализ процесса нанокристаллизации стекла Al87Ni8Gd5 в условиях интенсивной пластической деформации под приложенным внешним давлением 4 ГПа [38] дал зависимость σ(T) = 0.069 + 3.76×10–5T (линия 3 на рис. 9), которая близка к зависимости σAlNiY(T). Сравнение совокупности данных на рис. 9 с экспериментальными оценками σ для расплавов Al–Cu (0.163 ± 0.016 Дж/м2) и Al–Si (0.169 ± 0.024 Дж/м2) [40] и с приведенными выше оценками для Al стекол свидетельствует о разумном характере полученных в работе значений. Тем не менее, с учетом критически важной роли удельной свободной энергии границы раздела зародыш/материнская фаза в процессе зарождения, задача корректного определения этого параметра остается актуальной.
Сравнение термической устойчивости аморфных фаз в стеклах Al87Ni8Gd5 и Al87Ni8Y5
Как установлено выше, кристаллизация стекол идет по механизму зарождения и роста и, следовательно, скорости этих процессов определяют термическую устойчивость аморфного состояния. Дифференцирование по температуре приведенных на рис. 3 рассчитанных изменений L(T) дает зависимости скоростей роста размеров нанокристаллов Al в процессе нанокристаллизации в условиях нагрева с постоянной скоростью, показанные на рис. 10. С повышением температуры нагрева скорости роста в стеклах Al87Ni8Gd5 и Al87Ni8Y5 возрастают, достигают максимальных значений 5.8×10–10 и 6.8×10–10 м/с при температурах 451 K и 484 K соответственно и затем резко падают до нулевых значений. Из модели “мягкого столкновения”, в рамках которой были рассчитаны изменения размеров (ур. (6)), следует, что возрастание скорости роста обусловлено увеличением коэффициента диффузии, а торможение – взаимодействием диффузионных полей. Примечательно, что, несмотря на более высокую диффузионную подвижность в стекле Al87Ni8Gd5 (рис. 5), скорости роста нанокристаллов при температуре начала кристаллизации в нем несколько ниже, чем в стекле Al87Ni8Y5 (5.6×10–10 и 6.5×10–10 м/с соответственно) (рис. 10).
Рис. 10. Изменения скорости роста нанокристаллов Al в стеклах Al87Ni8Gd5 (сплошная линия) и Al87Ni8Y5 (штриховая линия) при нагреве со скоростью 0.083 K/с. Вертикальными линиями 1 и 2 обозначены температуры начала кристаллизации.
Совокупность установленных температурных зависимостей D(T), ΔG(T) и σ(T) позволяет рассчитать температурные зависимости скорости гомогенного стационарного зарождения Jst (ур. (7)) и сравнить их с кривыми Jexp(T), построенным по экспериментальным данным (рис. 6). Характерными отличиями рассчитанных кривых Jst(T) от Jexp(T) для стекол Al87Ni8Gd5 и Al87Ni8Y5 является наличие единственных более высоких максимумов (2.26×1020 м–3с–1 и 1.33×1020 м–3с–1 соответственно), температуры которых (454.5 и 487 K) совпадают с низкотемпературными “плечами” расщепленных максимумов. Как следует из рис. 6, купола рассчитанных и оцененных по экспериментальным данным кривых J(T) для стекла Al87Ni8Gd5 имеют более высокие значения и лежат в более низкотемпературной области, чем для Al87Ni8Y5, что и обусловливает более высокую термическую устойчивость последнего стекла в этом диапазоне температур.
Появление двойных максимумов на кривых скорости зарождения, оцененных по экспериментальным данным (рис. 6), по-видимому, является следствием: (i) недостаточно высокой точности аппроксимации уравнением (6) температурной зависимости изменений размера растущих нанокристаллов из-за малого числа экспериментальных точек и (ii) процедуры численного дифференцирования в выражении (4), содержащем экспериментальные точки и аппроксимирующую кривую роста нанокристаллов.
Из сравнения термодинамических параметров, определяющих скорости зарождения, видно, что значения термодинамической движущей силы кристаллизации ΔGAl стекла Al87Ni8Y5 в диапазоне температур нанокристаллизации выше, чем ΔGAl стекла Al87Ni8Gd5 (рис. 7), а значения удельной свободной энергии границы нанокристалл/матрица σ – ниже (рис. 9). Оба эти фактора обусловливают более низкие значения работы образования критических зародышей в стекле Al87Ni8Y5 при температурах выше температур максимумов скоростей зарождения (рис. 8) и соответственно отрицательно влияют на термическую устойчивость. Исключение составляет интервал температур < 460 K, где W *(T) в стекле Al87Ni8Y5 выше (рис. 8) и, следовательно, термодинамический сомножитель в уравнении (7) ниже, чем в стекле Al87Ni8Gd5. Тем не менее, повышение скорости зарождения в стекле Al87Ni8Y5 в этом диапазоне температур за счет термодинамического сомножителя компенсируется более низкими значениями коэффициента диффузии (рис. 5). В отличие от термодинамического сомножителя диффузионная подвижность атомов в стекле Al87Ni8Gd5 во всем диапазоне температур нанокристаллизации более чем на порядок величины выше, чем в стекле Al87Ni8Y5 (рис. 5). Как следует из проведенного анализа, именно это обстоятельство обусловливает более высокую скорость зарождения нанокристаллов Al и, соответственно, более высокую термическую устойчивость аморфной фазы в сплаве Al87Ni8Y5. О важном влиянии диффузии на термическую устойчивость свидетельствует тот факт, что значения работы образования критических зародышей W * (рис. 8) в диапазоне температур нанокристаллизации стекол Al87Ni8Gd5 и Al87Ni8Y5 (W *=9450–13 700 K и 10 740–14 310 K соответственно) заметно ниже (0.45–0.65), чем энергии активации эффективной диффузии в этих стеклах (21 070 и 22 700 K соответственно). Кроме этого, существенно различным температурам начала кристаллизации стекол Al87Ni8Gd5 (447 K) и Al87Ni8Y5 (479 K) соответствуют близкие значения эффективных коэффициентов диффузии = 4×10–19 м2/с и = 6×10–19 м2/с (рис. 5). Эти значения по порядку величины близки к экспериментально измеренным коэффициентам самодиффузии Al при этих температурах (3×10–20 и 2.9×10–19 м2/с), аппроксимированным соотношением Ds = 1.71×10–4exp(–15 200/T) [41], что свидетельствует о корректности полученных в работе оценок.
Безусловно, проведенный анализ носит приближенный характер, поскольку модель не учитывает ряд особенностей процесса кристаллизации стекол, в частности, нестационарность процесса зарождения, которая характерна для нанокристаллизации [23]. Кроме этого, при построении кривых Jexp(T) в рамках уравнения (5) использовалось численное дифференцирование экспериментальных кривых X(T) (рис. 4) и зависимости L(T), полученной подгонкой ограниченного числа экспериментальных точек (рис. 3). Именно этими причинами обусловлены отличия формы “экспериментальных” зависимостей J(T), приведенных на рис. 6, от максимумов тепловыделения на термограммах ДСК и зависимости Jst(T), рассчитанной в модели стационарного гомогенного зарождения. Для проведения более строгого в количественном отношении анализа процесса нанокристаллизации необходимы дополнительные эксперименты и модификация модели, однако, маловероятно, что это приведет к принципиальным изменениям результатов настоящей работы. Учитывая физически корректные значения кинетических и термодинамических параметров, контролирующих скорости зарождения и роста нанокристаллов, предложенный в настоящей работе подход может быть использован для анализа термической устойчивости аморфных фаз, склонных к нанокристаллизации.
ВЫВОДЫ
Анализ причин существенного различия температур начала кристаллизации стекол Al87Ni8Gd5 и Al87Ni8Y5 (447 и 479 K соответственно), проведенный путем сравнения значений скоростей зарождения и роста нанокристаллов и входящих в них кинетических и термодинамических параметров, позволяет сформулировать следующие выводы:
- Нанокристаллизация Al87Ni8Gd5 и Al87Ni8Y5, протекающая по механизму зарождения и роста, приводит к формированию нанофазных композитов, в которых средние размеры нанокристаллов алюминия составляют 22 и 27 нм, а их объемные доли 0.29 и 0.37 соответственно. Установлено, что с повышением температуры оба параметра возрастают по кривым с насыщением, при этом размеры зерен выходят на “плато” при более низких температурах, чем значения доли нанозерен.
- Установлено, что в диапазоне температур исследований нанокристаллизации (440–540 K) определенные по скорости роста значения эффективных коэффициентов диффузии в стекле Al87Ni8Gd5 приблизительно в 10–20 раз выше, чем в Al87Ni8Y5, однако при температурах начала кристаллизации они примерно одинаковы (4×10–19 м2/с и 6×10–19 м2/с соответственно). Хорошее согласие этих значений с экспериментально измеренными значениями коэффициента самодиффузии чистого Al при соответствующих температурах свидетельствует о корректности оценок этого параметра.
- Предложена модель кинетики нанокристаллизации без столкновений растущих нанокристаллов, в рамках которой по изменениям доли закристаллизованного объема и средних размеров нанокристаллов оценены изменения скорости зарождения Jexp(T).
- Путем аппроксимации зависимости Jexp(T) классическим уравнением скорости стационарного гомогенного зарождения определены значения работы образования критических зародышей W *, составляющие (0.45–0.65) от энергий активации эффективной диффузии. Расчеты с использованием значений W * и термодинамических моделей, описывающих температурные зависимости разности термодинамических потенциалов кристаллической и аморфной фаз различного состава при больших отклонениях от равновесия, дали значения величины удельной свободной межфазной энергии в стеклах Al87Ni8Gd5 и Al87Ni8Y5 в пределах 0.090–0.096 и 0.090–0.092 Дж/м2 соответственно. Показано, что полученные значения σ и рассчитанные по ним линейные зависимости σ(T) хорошо согласуются с известными литературными данными.
- Из результатов сравнительного количественного анализа скоростей зарождения и роста нанокристаллов и параметров, определяющих их значения, установлено, что повышенная термическая устойчивость аморфного состояния в сплаве Al87Ni8Y5 по сравнению с Al87Ni8Gd5 обусловлена более низкой диффузионной подвижностью атомов.
Данная работа финансировалась за счет средств бюджета института. Никаких дополнительных грантов на проведение или руководство данным конкретным исследованием получено не было.
Авторы данной работы заявляют, что у них нет конфликта интересов.
Об авторах
Е. А. Свиридова
ФГБНУ “Донецкий физико-технический институт им. А.А. Галкина”; ФГБОУ ВО “Донбасская национальная академия строительства и архитектуры”
Автор, ответственный за переписку.
Email: ksvir@list.ru
Россия, ул. Р. Люксембург, 72, Донецк, 283048; ул. Державина, 2, Макеевка, 286123
С. В. Васильев
ФГБНУ “Донецкий физико-технический институт им. А.А. Галкина”; ФГБОУ ВО “Донбасская национальная академия строительства и архитектуры”
Email: ksvir@list.ru
Россия, ул. Р. Люксембург, 72, Донецк, 283048; ул. Державина, 2, Макеевка, 286123
В. И. Ткач
ФГБНУ “Донецкий физико-технический институт им. А.А. Галкина”
Email: ksvir@list.ru
Россия, ул. Р. Люксембург, 72, Донецк, 283048
Список литературы
- Klement W., Willens R.H., Duwez P. Non-crystalline structure in solidified gold-silicon alloys // Nature. 1960. V. 187. P. 869–870.
- Warlimont H. Amorphous metals driving materials and process innovations // Mater. Sci. Eng. 2001. V. A304–306. P. 61–67.
- McHenry M.E., Willard M.A., Laughlin D.E. Amorphous and nanocrystalline materials for applications as soft magnets // Progr. Mater. Sci. 1999. V. 44. P. 291–433.
- Inoue A. Amorphous, nanoquasicrystalline and nanocrystalline alloys in Al-based systems // Progr. Mater. Sci. 1998. V. 43. P. 365–520.
- Дональд И.В., Дэвис Х.А. Образование и стабильность некоторых аморфных сплавов на основе железа и никеля / В кн. Быстрозакаленные металлы. М.: Металлургия, 1983. С. 139–147.
- Абросимова Г.Е., Аронин А.С. Влияние концентрации редкоземельного элемента на параметры наноструктуры в сплавах на основе алюминия // ФТТ. 2009. Т. 51. № 9. С. 1665–1671.
- Popov V.V., Tkatch V.I., Rassolov S.G., Aronin A.S. Effect of replacement of Ni by Co on thermal stability of Fe40Co40P14B6 metallic glass // J. Non-Cryst. Sol. 2010. V. 356. P. 1344–1348.
- Vasiliev S.V., Svyrydova K.A., Vasylyeva N.V., Tkatch V.I. Description of non-isothermal crystallization kinetics of Fe48Co32P14B6 metallic glass using the isothermal analysis data // Acta Mater. 2023. V. 244. art. 118558.
- Hono K., Zhang Y., Tsai A.P., Inoue A., Sakurai T. Solute partitioning in partially crystallized Al-Ni-Ce(–Cu) metallic glasses // Scr. Metall. Mater. 1995. V. 32. № 2. Р. 191–196.
- Allen D.R., Foley J.C., Perepezko J.H. Nanocrystal development during primary crystallization of amorphous alloys // Acta Mater. 1998. V. 46. № 2. Р. 431–440.
- Ham F.S. Theory of diffusion-limited precipitation // J. Phys. Chem. Sol. 1958. V. 6. P. 335–351.
- Yi J.J., Kong L.T., Ferry M., Tang C.G., Sha G., Li J.F. Origin of the separated α-Al nanocrystallization with Si added to Al86Ni9La5 amorphous alloy // Mater. Characteriz. 2021. V. 178. art. 111199.
- Tkatch V.I., Rassolov S.G., Moiseeva T.N., Popov V.V. Analytical description of isothermal primary crystallization of glasses: Fe85B15 // J. Non-Cryst. Sol. 2005. V. 351. P. 1658–1664.
- Rassolov S.G., Tkatch V.I., Maslov V.V., Maksimov V.V., Svyrydova K.A., Zhikharev I.V. Nanocrystallization of Al-based glasses via nucleation and growth under "soft impingement" conditions // Phys. Stat. Sol. C. 2010. V. 7. № 5. P. 1340–1343.
- Antonowicz J. Time-resolved X-ray diffraction study of nanocrystallization in Al-based metallic glasses // J. Non-Cryst. Sol. 2005. V. 351. P. 2383–2387.
- Blazquez J.S., Millan M., Conde C.F., Conde A. Nucleation rate and nanocrystallization of Co60-(Fe, Mn)18-Nb6-B16 amorphous alloys in the frame of instantaneous growth approximation // J. Alloys Comp. 2010. V. 505. P. 91–95.
- Рассолов С.Г., Ткач В.И., Максимов В.В., Коваленко О.В., Моисеева Т.Н., Попов В.В. Зарождение нанокристаллов Al в аморфном сплаве Al87Ni8Y5 при нагреве с постоянной скоростью // Физика и техника высоких давлений. 2013. Т. 23. № 1. С. 18–29.
- Tkatch V.I., Rassolov S.G., Nosenko V.K., Maksimov V.V., Moiseeva T.N., Svyrydova K.A. Estimation of diffusivity governing primary nanocrystallization and its relation to thermal stability of amorphous phases // J. Non-Cryst. Sol. 2012. V. 358. Р. 2727–2733.
- Маслов В.В., Ткач В.И., Носенко В.К., Рассолов С.Г., Попов В.В., Максимов В.В., Сегида Е.С. Микротвердость и структура нанофазных композитов, формирующихся при нагреве аморфных сплавов Al87Ni8RE (RE = Y, Gd) и Al86Ni8–xCoxGd6 (x = 2, 6) // Металлофиз. новейшие технол. 2011. Т. 33. № 5. С. 661–672.
- Горелик С.С., Скаков Ю.А., Расторгуев Л.Н. Рентгенографический и электронно-оптический анализ. М.: МИСИС, 2002. 360 с.
- Wesseling P., Ko B.C., Lewandowski J.J. Quantitative evaluation of α-Al nano-particles in amorphous Al87Ni7Gd6 – comparison of XRD, DSC, and TEM // Scripta Mater. 2003. V. 48. Р. 1537–1541.
- Yang H.W., Wen J., Quan M.X., Wang J.Q. Evaluation of the volume fraction of nanocrystals devitrified in Al-based amorphous alloys // J. Non-Cryst. Sol. 2009. V. 355. P. 235–238.
- Duan T., Shen Y., Imhoff S.D., Yi F., Voyles P.M., Perepezko J.H. Nucleation kinetics model for primary crystallization in Al–Y–Fe metallic glass // J. Chem. Phys. 2023. V. 158. art. 064504.
- Kelton K.F. Crystal nucleation in liquids and glasses / Solid State Phys. – Advances in Research and Application. Acad. Press. New York. 1991. V. 45. P. 75–177.
- Turnbull D., Fisher J.C. Rate of nucleation in condensed systems // J. Chem. Phys. 1949. V. 17. № 1. P. 71–73.
- Castellero A., Battezzati L. Thermophysical parameters governing the glass formation and crystallization of CuZr // J. Non-Cryst. Sol. 2023. V. 610. art. 122311.
- Thompson C.V., Spaepen F. On the approximation of the free energy change on crystallization // Acta Metal. 1979. V. 22. № 12. Р. 1855–1859.
- Ji X., Pan Y. Gibbs free energy difference in metallic glass forming liquids // J. Non-Cryst. Sol. 2007. V. 353. Р. 2443–2446.
- Thompson C.V., Spaepen F. Homogeneous crystal nucleation in binary metallic melts // Acta Metall. 1983. V. 31. № 12. P. 2021–2027.
- Свойства элементов / Справочник. Под ред. Г.В. Самсонова. ч. 1. М.: Металлургия, 1976. 600 с.
- Spaepen F. Homogeneous nucleation and the temperature dependence of the crystal-melt interfacial tension // Solid State Phys. – Advances in Research and Application. Acad. Press. New York. 1994. V. 47. P. 1–32.
- Battezzati L. Thermodynamic quantities in nucleation // Mater. Sci. Eng. A. 2001. V. 304–306. P. 103–107.
- Jian Z., Li N., Zhu M., Chen J., Chang F., Jie W. Temperature dependence of the crystal-melt interfacial energy of metals // Acta Mater. 2012. V. 60. P. 3590–3603.
- Greer A.L. Crystallization of metallic glasses // Mater. Sci. Eng. A. 1994. V. 179/180. P. 41–45.
- Jiang X.Y., Zhong Z.C., Greer A.L. Particle-size effects in primary crystallization of amorphous Al–Ni–Y alloys // Mater. Sci. Eng. A. 1997. V. 226–228. P. 789–793.
- Kelton K.F., Croat T.K., Gangopadhyay A.K., Xing L.-Q., Greer A.L., Weyland M., Li X., Rajan K. Mechanisms for nanocrystals formation in metallic alloys // J. Non-Cryst. Sol. 2003. V. 317. P. 71–77.
- Schmelzer J.W.P., Tropin T.V., Fokin V.M., Abyzov A.S., Zanotto E.D. Effects of glass transition and structural relaxation on crystal nucleation: Theoretical description and model analysis // Entropy. 2020. V. 22. art. 1098.
- Свиридова Е.А., Васильев С.В., Абросимова Г.Е., Ткач В.И. Анализ процесса зарождения нанокристаллов Al в металлическом стекле AlNiGd в процессе отжига и интенсивной пластической деформации // ЖТФ. 2024. Т. 94. № 2. С. 216–222.
- Henits P., Revesz A., Varga L.K., Kovacz Zs. The evolution of the microstructure in amorphous Al85Ce8Ni5Co2 alloy during heat treatment and severe plastic deformation: A comparative study // Intermetallics. 2011. V. 19. Р. 267–275.
- Gunduz M., Hunt J.D. The measurement of solid-liquid surface energies in the Al-Cu, Al-Si and Pb-Sn systems // Acta Metall. 1985. V. 33. № 9. P. 1651–1672.
- Volin T.E., Baluffi R.W. Annealing kinetics and the self-diffusion coefficient in aluminum // Phys. Stat. Sol. 1968. V. 25. P. 163–173.
Дополнительные файлы













