Фенольные соединения Rhodiola algida (Ledeb.) Fisch. & C.A. Mey.: новые гликозиды гербацетина, ВЭЖХ-МС профиль и орган-специфичное распределение
- Authors: Оленников Д.Н.1, Прокопьев A.С.2
-
Affiliations:
- Институт общей и экспериментальной биологии СО РАН
- Сибирский ботанический сад Томского государственного университета
- Issue: Vol 71, No 4 (2024)
- Pages: 455-464
- Section: ЭКСПЕРИМЕНТАЛЬНЫЕ СТАТЬИ
- URL: https://journal-vniispk.ru/0015-3303/article/view/268144
- DOI: https://doi.org/10.31857/S0015330324040084
- EDN: https://elibrary.ru/MNKQLY
- ID: 268144
Cite item
Full Text
Abstract
Фенольные соединения рода Rhodiola (Crassulaceae) являются предметом многочисленных исследований, однако основное число сведений литературы касается анализа корней и корневищ, в связи с чем метаболиты надземных органов мало изучены. Rhodiola algida (Ledeb.) Fisch. & C.A. Mey. – редкий и малоизученный вид рода, произрастающий в Алтае-Саянском регионе. В результате хроматографического разделения компонентов экстракта цветков R. algida были впервые выделены 16 известных соединений, среди которых галловая кислота, гликозиды гербацетина, госсипетина, гибисцетина, кверцетина и кемпферола, а также 4 новых флавоноида (I–IV). С применением данных УФ, ЯМР спектроскопии, масс-спектрометрии и химических превращений было установлено, что новые соединения представляли собой гербацетин 7-О-β-D-глюкопиранозид-8-О-(2‴-О-β-D-глюкопиранозил)-β-D-глюкуронопиранозид (родиалгин А, I), гербацетин 3-О-β-D-глюкопиранозид-8-О-(2‴-О-ацетил)-α-L-арабинопиранозид (родиалгин B, II), гербацетин 3-О-β-D-глюкопиранозид-8-О-(4‴-О-ацетил)-α-L-арабинопиранозид (родиалгин C, III) и гербацетин 8-О-(4′′-О-ацетил)-β-D-ксилопиранозид (родиалгин D, IV). Использование жидкостной хромато-масс-спектрометрии позволило выявить присутствие в R. algida 96 метаболитов, среди которых доминировали гликозиды гербацетина и госсипетина. Качественный состав и количественное содержание групп и отдельных соединений в различных органах R. algida отличались в широком диапазоне значений, указывая на орган-специфичную особенность накопления фенольных соединений в растении.
Full Text
Введение1
Род Rhodiola (Crassulaceae) включает более 70 видов, большинство из которых имеют Евразийский ареал и обладают хозяйственным значением в качестве лекарственных растений [1]. Фенольные соединение данного рода являются предметом пристального интереса ученых ввиду наличия у них различных видов биологической активности, в том числе адаптогенной, иммуностимулирующей, антимикробной и других [2]. Особый интерес среди фенолов рода вызывают флавоноиды, которые в большей части принадлежат к редкой группе 8-гидрокси-флавонолов, включая производные гербацетина, госсипетина и гибисцетина, выполняющие функции сигнальных молекул, УФ-фильтров и влияющие на устойчивость растений к засухе, жаре и заморозкам [3]. Среди многообразия видов Rhodiola, произрастающих в России, интерес представляют те, которые являются источником уникальных фенольных соединений. К числу таких видов относится Rhodiola algida (Ledeb.) Fisch. & C.A. Mey – алтае-саянский эндемик, который в настоящее время вводится в культуру [4]. Известные сведения о химическом составе R. algida касаются только компонентов подземных органов растения, в которых были обнаружены и определена структура 8 гликозидов гербацетина – родалгин, ацетилродалгин, диацетилродалгин, триацетилродалгин [5], родалин, ацетилродалин [6], родалид [7], а также показано присутствие двух неидентифицированных флавоноидов родалгизина и родалгизида [7]. Данные о химическом составе надземных органов R. algida отсутствуют.
Цель работы – определить групповой состав фенольных соединений R. algida, выделить основные соединения и провести хроматографическое профилирование надземных органов с применением метода жидкостной хроматографии масс-спектрометрии (ВЭЖХ-ДМД-ИЭР-МС).
Материалы и методы
Общие экспериментальные условия. Надземные органы (листья, цветки, стебли) R. algida были собраны в фазу цветения в различных районах России и Монголии в 2021–2022 гг.: окрестности поселка Красная Гора, Усть-Коксинский р-н, Республика Алтай, 50°04ʹ11.7ʺN 85°14ʹ13.7ʺE; Саянский перевал, Таштыпский р-н, Республика Хакасия, 51°42ʹ16.6ʺN 89°52ʹ51.1ʺE; окрестности сомона Сагсай, Баян-Улэгэйский аймак, Монголия, 48°14ʹ58.7ʺN 88°57ʹ12.3ʺE, и высушены при 40°С до влажности ≤ 5% в конвекционном сушильном шкафу ПРО ШСП-У 35/150-120 (ООО “Новые технологии”, Россия). Семена и корни растений собирали в сентябре 2021–2022 гг. на тех же природных участках. Для выделения соединений цветки R. algida использовали свежими. Для колоночной хроматографии использовали полиамид, нормально- (SiO2) и обращенно-фазовый силикагель (ОФ-SiO2), Сефадекс LH-20 (“Sigma-Aldrich”, Сент-Луис, США). Спектрофотометрические исследования проводили на спектрофотометре СФ-2000 (“ОКБ Спектр”, Россия). Масс-спектры регистрировали на TQ-масс-спектрометре LCMS-8050 (“Shimadzu”, Япония) [8], спектры ЯМР – на спектрометре VXR 500S (“Varian”, США). Препаративную ВЭЖХ осуществляли на жидкостном хроматографе LC-20 Prominence (“Shimadzu”), снабженном колонкой Shim-pak PREP-ODS (20 мм × 250 мм × 15 мкм) и фотодиодным детектором SPD-M30A (“Shimadzu”); при скорости – 1 мл/мин и температуре колонки 20°С.
Количественный анализ групп фенольных соединений. Содержание групп фенольных соединений в образцах органов R. algida определяли спектрофотометрическим методом, используя известные методики: флавонолы – дифференциальная спектрофотометрия с алюминия (III) хлоридом в пересчете на гербацетина 3,8-ди-О-глюкозид (≥95%, № CDX-00008102; “LGC Ltd.”, Великобритания) [9], галлотаннины – после метанолиза и окисления с KIO3 в пересчете на 1-О-галлоил глюкозу (≥98%, № MG13684; “Biosynth Ltd.”, Великобритания) [10], процианидины – по реакции с 4-диметиламинокоричным альдегидом в пересчете на процианидин В1 с применением набора Proanthocyanidins Assay Kit (№ KB03017; “BQC Redox Technologies”, Испания), катехины – по реакции с ванилином в пересчете на (+)-катехин (≥99%, № 43412; “Sigma-Aldrich”, Сент-Луис, США) [11] и антоцианы – pH дифференциальная спектрофотометрия в пересчете на цианидин-3-О-глюкозид (≥98%, № PHL89616; “Sigma-Aldrich”, Сент-Луис, США) [12].
Выделение соединений из цветков R. algida. Свежие цветки R. algida (2 кг) измельчали в гомогенизаторе с изопропанолом (1 : 3), после чего добавляли растворитель до соотношения 1 : 15 и экстрагировали при 40°С в ультразвуковой ванне (2 ч, ×3). Объединенный экстракт фильтровали и концентрировали досуха. Получено 105 г экстракта, который разделяли на полиамиде (5 кг), при элюировании водой (фракция 1, 35 г), 60% этанолом (фракция 2, 22 г) и 0.5% NH3 в 90% этаноле (фракция 3, 31 г). Концентрация фенольных соединений во фракции 1 была следовой, поэтому дальнейшее разделение было осуществлено для фракций 2 и 3, которые хроматографировали методом флэш-хроматографии на Сефадексе LH-20 (2 × 90 см, элюент этанол–вода 90 : 10 → 50 : 50), ОФ-SiO2 (2 × 40 см, элюент вода–ацетонитрил 80 : 20 → 20 : 80) и SiO2 (3 × 40 см, элюент этилацетат–этанол 100 : 0 → 60 : 40). Соединения с близкими временами удерживания разделяли, используя препаративную ВЭЖХ в градиентном режиме (элюент А – вода, элюент В – ацетонитрил; программа элюирования: 0–15 мин 10–30% В в А, 15–80 мин 30–70% В в А, 80–120 мин 70–100% В в А). В результате было выделено 16 известных соединений, включая галловую кислоту (750 мг), госсипетин 3-О-глюкозид (80 мг), гербацетин 3-О-глюкозид-8-О-ксилозид (родалидин, 250 мг), гербацетин 8-О-арабинозид (родалгин, 40 мг), кверцетин 3-О-рамнозид (кверцитрин, 25 мг), кемпферол 4ʹ-О-глюкозид (15 мг) и кемпферол 3-О-рамнозид (афцелин, 10 мг) из фракции 2, и госсипетин 3-О-глюкозид-8-О-глюкуронид (310 мг), госсипетин 3-О-глюкуронид (35 мг), госсипетин 8-О-глюкуронид (15 мг), гербацетин 8-О-(2ʺ-О-глюкозил)-глюкуронид (родиквадрин С, 80 мг), гербацетин 3-О-глюкозид-8-О-глюкуронид (1.4 г), гербацетин 3-О-глюкуронид (20 мг), гербацетин 8-О-глюкуронид (мелокорин, 250 мг), гибисцетин 3-О-глюкозид-8-О-глюкуронид (1.1 г) и гербацетин 3-О-глюкозид-8-О-(2ʺ-О-ацетил)-ксилозид (120 мг), идентифицированных по данным УФ, ЯМР спектроскопии и масс-спектрометрии [5, 6, 8]. Из фракции ТФЭ-3 также были выделены 4 новых соединения, в том числе родиалгин А (420 мг; I), родиалгин B (105 мг; II), родиалгин C (50 мг; III) и родиалгин D (40 мг; IV).
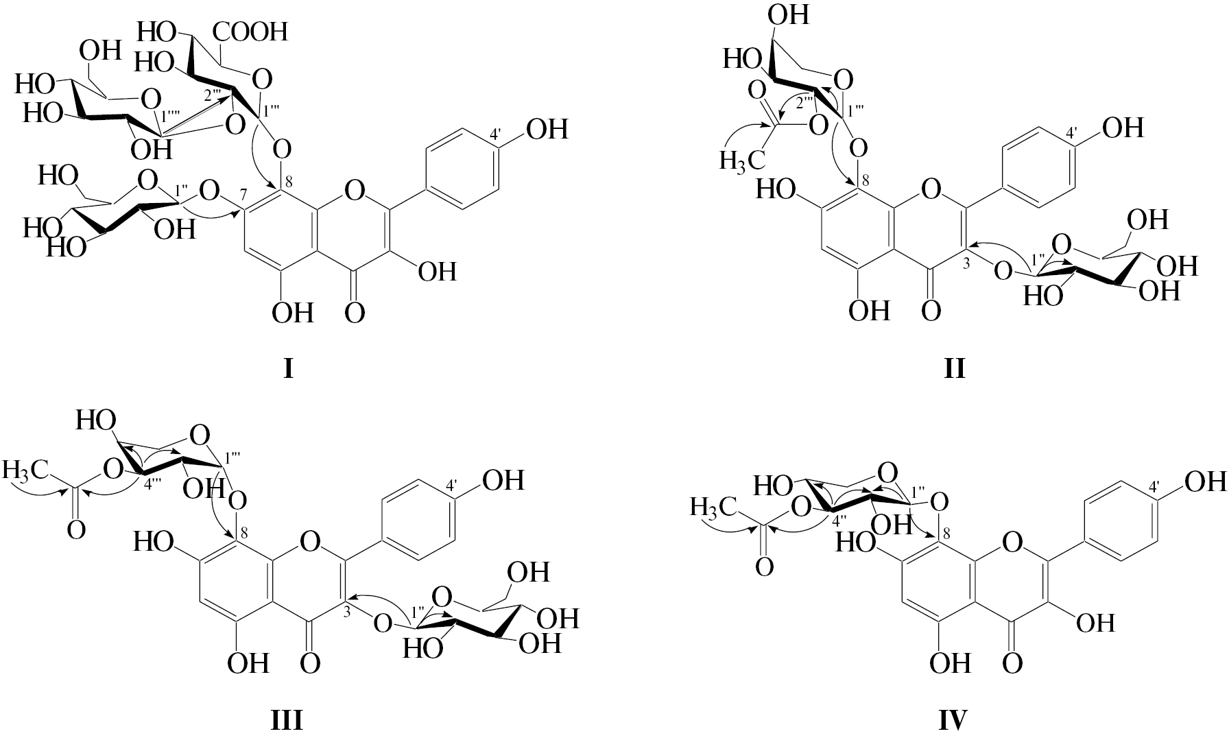
Гербацетин 7-О-β-D-глюкопиранозид-8-О-(2‴- О-β-D-глюкопиранозил)-β-D-глюкуронопиранозид (родиалгин А, I). C33H38O23. УФ-спектр (МеОН, lmax, нм): 271, 294, 353. HR-ESI-MS, m/z: 803.514 [M + Н]+ (расч. 803.652 для C33H39O23 [M + Н]+). ESI-MS, m/z (%): 803 (100) [M + Н]+, 641 (49) [(M + Н)–глюкоза]+, 479 (27) [(M + + Н)–2 × глюкоза]+, 303 (36) [(M + Н)–2 × глюкоза–глюкуроновая кислота]+.
Гербацетин 3-О-β-D-глюкопиранозид-8-О-(2‴-О-ацетил)-α-L-арабинопиранозид (родиалгин B, II). C28H30O17. УФ-спектр (МеОН, lmax, нм): 269, 355. HR-ESI-MS, m/z: 639.508 [M + Н]+ (расч. 639.539 для C28H31O17 [M + Н]+). ESI-MS, m/z (%): 803 (100) [M + Н]+, 597 (50) [(M + Н)–ацетил]+, 465 (55) [(M + Н)–ацетил–арабиноза]+, 303 (28) [(M + Н)–ацетил–арабиноза–глюкоза]+.
Гербацетин 3-О-β-D-глюкопиранозид-8-О-(4‴-О-ацетил)-α-L-арабинопиранозид (родиалгин C, III). C28H30O17. УФ-спектр (МеОН, lmax, нм): 269, 355. HR-ESI-MS, m/z: 639.489 [M + Н]+ (расч. 639.539 для C28H31O17 [M + Н]+). ESI-MS, m/z (%): 803 (100) [M + Н]+, 597 (46) [(M + Н)–ацетил]+, 465 (44) [(M + Н)–ацетил–арабиноза]+, 303 (26) [(M + Н)–ацетил–арабиноза–глюкоза]+.
Гербацетин 8-О-(4ʺ-О-ацетил)-β-D-ксилопиранозид (родиалгин D, IV). C22H20O12. УФ-спектр (МеОН, lmax, нм): 271, 325, 373. HR-ESI-MS, m/z: 477.214 [M + Н]+ (расч. 477.398 для C22H21O12 [M + Н]+). ESI-MS, m/z (%): 477 (100) [M + Н]+, 435 (55) [(M + Н)–ацетил]+, 303 (16) [(M + Н)–ацетил–ксилоза]+.
Гидролиз. Кислотный гидролиз в 2 М ТФУ и последующий анализ продуктов гидролиза проводили как описано ранее [13].
Высокоэффективная хроматография с диодно-матричным и масс-спектрометрическим детектированием с ионизацией электрораспылением (ВЭЖХ-ДМД-ИЭР-МС). Анализ осуществляли на жидкостном хроматографе LCMS-8050 (Shimadzu, Columbia, MD, USA), соединенном с диодно-матричным детектором (ДМД) и 3Q-детектором с ионизацией электрораспылением (ИЭР/МС; electrospray ionization, ESI), используя колонку ReproSil-Pur 120 C18-AQ (250 мм × 4,6 мм × 5 мм; Dr. Maisch GmbH, Ammerbuch, Germany). Условия ВЭЖХ: подвижная фаза, элюент A – вода, элюент В – ацетонитрил; программа градиента – 0–20 мин 2–80% B, 20–30 мин 80–100% B, 30–35 мин 100% B, 35–40 мин 100–2% B; инжектируемый объем – 1 мкл; скорость потока – 1 мл/мин, температура колонки – 30°C; диапазон сканирования спектров поглощения – 200–600 нм. Условия ИЭР-МС: режим ионизации – электрораспыление, положительная ионизация; температура интерфейса ИЭР – 300°C; температура линии десольватации – 250°C; температура нагревательного блока – 400°C; скорость газа-распылителя (N2) – 3 л/ мин; скорость газа-нагревателя (воздух) – 10 л/мин; давление газа, используемого для диссоциации, индуцируемой соударением (CID gas, Ar) – 270 кПa; скорость Ar – 0.3 мл/ мин; напряжение на капилляре – 3 кВ; диапазон сканирования масс (m/z) 100–1900. Количественный анализ индивидуальных соединений проводили по разработанной ранее методике, использующей ВЭЖХ-МС метод [8]. Для построения градуировочных графиков серию разведений веществ сравнения (1–100 мкг/ мл) хроматографировали в описанных выше условиях трижды для каждой концентрации вещества. По полученным данным проводили построение градуировочного графика в координатах “концентрация, мкг/мл – площадь пика” с применением пакета программ Advanced Grapher v. 2.2 (Alentum Software, Inc., США).
Статистический анализ проводили с использованием однофакторного дисперсионного анализа (ANOVA). Значимость различий средних определяли с помощью многорангового теста Дункана. Отличия при Р < 0.05 считались статистически значимыми.
Результаты
Учитывая сведения о метаболитах рода Rhodiola [1], был проведен количественный анализ сырья на присутствие пяти групп соединений, включая флавонолы, галлотаннины, процианидины, катехины и антоцианы (табл. 1). Исследование образцов R. algida из трех мест произрастания показало, что различные органы характеризовались разными уровнями накопления веществ. Суммарное содержание фенольных соединений в воздушно-сухом сырье варьировало в диапазонах 33.41–76.11 мг/г для цветков, 30.42–50.73 мг/г для листьев, 4.00–7.94 мг/г для стеблей, до 0.92 мг/г в семенах и 40.03–70.61 мг/г для корней. Флавонолы были основной группой фенолов в цветках (24.05–62.11 мг/г) в сравнении с галлотаннинами (5.29–11.26 мг/г) и антоцианами (2.04–2.73 мг/г), а концентрации процианидинов и катехинов оценивались как следовые. В листьях отмечено отсутствие антоцианов и значительно меньшее содержание флавонолов (9.26–32.84 мг/г), чем в цветках, но большее содержание галлотаннинов (14.63–26.11 мг/г) и неследовые уровни процианидинов (0.65–1.22 мг/г) и катехинов (0.29–0.85 мг/г). Для стеблей была возможной количественная оценка для флавонолов (0.93–5.79 мг/г) и галлотаннинов (2.15–3.27 мг/г), а в семенах все изученные группы соединений находились в следовых концентрациях или отсутствовали, кроме флавонолов в популяции из Республики Алтай (0.92 мг/г). Таннины были доминирующими компонентами в корнях R. algida, причем содержание галлотаннинов составило 25.83–27.63 мг/г, а процианидинов – 7.29–22.73 мг/г. Концентрации флавонолов и катехинов в образцах корней не превышали 15.16 мг/г и 5.83 мг/г соответственно. Полученные данные свидетельствовали о различной способности к накоплению фенольных соединений разными органами R. algida, причем впервые отмечены высокие концентрации флавонолов в надземных органах растения. Ранее сходный факт был выявлен для R. rosea [8] и некоторых других видов Rhodiola [14], что возможно, является биохимической особенностью рода.
Таблица 1. Содержание групп фенольных соединений (ФС) в органах R. algida, мг/г воздушно-сухой массы ± S.D.
Группа соединений | Цветки | Листья | Стебли | Семена | Корни |
Республика Алтай (n = 24) | |||||
Флавонолы | 62.11 ± 3.10 | 32.84 ± 1.77 | 5.79 ± 0.34 | 0.92 ± 0.04 | 15.16 ± 0.84 |
Галлотаннины | 11.26 ± 0.67 | 15.82 ± 0.68 | 2.15 ± 0.12 | сл. | 26.89 ± 1.23 |
Процианидины | сл. | 1.22 ± 0.06 | сл. | сл. | 22.73 ± 1.04 |
Катехины | сл. | 0.85 ± 0.05 | сл. | сл. | 5.83 ± 0.26 |
Антоцианы | 2.73 ± 0.12 | – | – | – | – |
Суммарное содержание ФС | 76.11 | 50.73 | 7.94 | 0.92 | 70.61 |
Республика Хакасия (n = 14) | |||||
Флавонолы | 43.02 ± 2.23 | 14.85 ± 0.82 | 2.83 ± 0.14 | сл. | 7.27 ± 0.45 |
Галлотаннины | 5.29 ± 0.22 | 14.63 ± 0.92 | 3.27 ± 0.16 | сл. | 25.83 ± 0.87 |
Процианидины | сл. | 0.65 ± 0.03 | сл. | сл. | 14.86 ± 0.68 |
Катехины | сл. | 0.29 ± 0.01 | сл. | сл. | 2.83 ± 0.14 |
Антоцианы | 2.04 ± 0.10 | – | – | – | – |
Суммарное содержание ФС | 50.35 | 30.42 | 6.10 | сл. | 50.79 |
Монголия (n = 9) | |||||
Флавонолы | 24.05 ± 0.76 | 9.26 ± 0.31 | 0.93 ± 0.04 | сл. | 5.11 ± 0.25 |
Галлотаннины | 6.83 ± 0.31 | 26.11 ± 1.20 | 3.07 ± 0.14 | сл. | 27.63 ± 1.41 |
Процианидины | сл. | сл. | сл. | сл. | 7.29 ± 0.32 |
Катехины | сл. | сл. | сл. | сл. | – |
Антоцианы | 2.52 ± 0.14 | – | – | – | – |
Суммарное содержание ФС | 33.41 | 35.37 | 4.00 | сл. | 40.03 |
Примечание. Сл. – следы (< 0.01 мг/г). Прочерк (–) означает отсутствие.
Учитывая высокое содержание фенольных соединений в цветках R. algida, из них был получен экстракт, изученный с применением комплекса хроматографических методов, включая флэш хроматографию на полиамиде, Сефадексе LH-20, обращенно- и нормально-фазовом силикагеле и препаративной ВЭЖХ. Это привело к выделению 16 известных соединений, в том числе галловой кислоты, 7 гликозидов гербацетина, включая гербацетин 3-О-глюкозид-8-О-ксилозид (родалидин), гербацетин 8-О-арабинозид (родалгин), гербацетин 3-О-глюкозид-8-О-глюкуронид, гербацетин 3-О-глюкуронид, гербацетин 8-О-глюкуронид (мелокорин), гербацетин 3-О-глюкозид-8-О-(2′′-О-ацетил)-ксилозид и гербацетин 8-О-(2′′-О-глюкозил)-глюкуронид (родиквадрин С), 4 гликозидов госсипетина, среди которых госсипетин 3-О-глюкозид, госсипетин 3-О-глюкуронид, госсипетин 8-О-глюкуронид, госсипетин 3-О-глюкозид-8-О-глюкуронид, а также гибисцетин 3-О-глюкозид-8-О-глюкуронида, кверцетин 3-О-рамнозида (кверцитрин), кемпферол 4ʹ-О-глюкозида и кемпферол 3-О-рамнозида (афцелин). Ранее родалгин был обнаружен в корнях R. algida [5], остальные соединения выявлены впервые для вида. Кроме известных соединений были выделены четыре новых флавонол-О-гликозида I–IV, в продуктах гидролиза которых с 2 М ТФУ были идентифицированы гербацетин (3,5,7,8,4′-пентагидроксифлавон, I–IV), D-глюкоза (I–III), D-глюкуроновая кислота (I), L-арабиноза (II, III) и D-ксилоза (IV) (рис. 1а).
Рис. 1. Хроматограммы экстракта цветков R. algida в режиме выделенных ионов для m/z 803, 639 и 477 (а; расположение новых соединений отмечено цифрами I–IV), спектры поглощения соединений I–IV (б) и масс-спектры соединений I–IV (в). Ac – ацетил, Ara – арабиноза, Glc – глюкоза, GlсA – глюкуроновая кислота, Xyl – ксилоза.
Соединение I с молекулярной формулой C33H38O23, определенной по данным ЯМР и масс-спектрометрии (HR-ESI-MS, m/z: эксп. 803.514 [M+Н]+, расч. 803.652 для C33H39O23 [M + Н]+), содержало в масс-спектре ионы, указывающие на последовательное удаление двух фрагментов глюкозы (m/z 803→641, 479) и глюкуроновой кислоты (m/z 479→303) (рис. 1в). Форма УФ-спектра I характерна для 7,8-ди-замещенных производных гербацетина (рис. 1б) [15], а наличие уширенных однопротонных синглетов в спектре ЯМР 1Н при δН 9.32, 12.50 и 10.11 указывало на наличие свободных гидроксилов у С-3, С-5 и С-4′, соответственно (табл. 2) [16]. Расположение сигналов в спектрах ЯМР было сходным с таковым гербацетин 7-О-β-D-глюкопиранозид-8-О-β-D-глюкуронопиранозида, обнаруженного в Rhodiola ishidae [16], кроме сигналов дополнительного фрагмента глюкозы {δН 4.25 (1Н, д, J = 7.0), 3.90, 3.56 (1Н, м); δС 60.4, 70.3, 74.6, 76.4, 77.2, 104.6} [17]. Сдвиг в слабое поле сигнала С-2‴ фрагмента глюкуроновой кислоты (δС 74.0→77.6) [17] и корреляции в спектре HMBC между сигналами Н-1‴ʹ (δН 4.25) и С-2‴ (δС 77.6) указывали на присоединение второго остатка глюкозы по положению С-2‴ (рис. 2). Таким образом, соединению I определено строение в виде гербацетин 7-О-β-D-глюкопиранозид-8-О-(2‴-О-β-D-глюкопиранозил)-β-D-глюкуронопиранозида (рис. 2), которому дано название родиалгин А.
Таблица 2. Сигналы спектров ЯМР 1Н (500 МГц) и 13С (125 МГц) соединений I–IV (ДМСО-d6, 330 K, dH/dС, м.д., J/Гц).
C-атом | I | II | III | IV | ||||
dH | dC | dH | dC | dH | dC | dH | dC | |
2 | 147.5 | 155.8 | 155.5 | 147.0 | ||||
3 | 135.2 | 133.0 | 133.3 | 133.5 | ||||
4 | 175.1 | 177.3 | 177.0 | 176.8 | ||||
5 | 157.0 | 156.7 | 156.3 | 156.6 | ||||
6 | 6.10 (1Н, с) | 99.3 | 6.25 (1Н, с) | 99.8 | 6.27 (1Н, с) | 99.7 | 6.26 (1Н, с) | 99.5 |
7 | 156.5 | 157.0 | 157.2 | 156.1 | ||||
8 | 126.4 | 125.1 | 125.3 | 125.4 | ||||
9 | 147.8 | 147.6 | 147.4 | 147.8 | ||||
10 | 105.0 | 103.2 | 103.5 | 103.4 | ||||
1ʹ | 121.4 | 121.2 | 121.4 | 121.2 | ||||
2ʹ,6ʹ | 8.21 (2Н, д, J = 9.0) | 130.1 | 8.22 (2Н, д, J = 9.0) | 130.2 | 8.20 (2Н, д, J = 9.1) | 130.4 | 8.25 (2Н, д, J = 9.0) | 130.3 |
3ʹ,5ʹ | 6.82 (2Н, д, J = 9.0) | 115.0 | 6.81 (2Н, д, J = 9.0) | 115.4 | 6.78 (2Н, д, J = 9.1) | 115.2 | 6.85 (2Н, д, J = 9.0) | 115.1 |
4ʹ | 159.5 | 160.1 | 160.3 | 160.1 | ||||
3-OH | 9.32 (1Н, с) | 9.30 (1Н, с) | 9.35 (1Н, с) | 9.33 (1Н, с) | ||||
5-OH | 12.50 (1Н, с) | 12.52 (1Н, с) | 12.51 (1Н, с) | 12.50 (1Н, с) | ||||
7-OH | – | 10.87 (1Н, с) | 10.85 (1Н, с) | 10.82 (1Н, с) | ||||
4ʹ-OH | 10.11 (1Н, с) | 10.14 (1Н, с) | 10.12 (1Н, с) | 10.10 (1Н, с) | ||||
7-О-β-D-Glcp | 3-О-β-D-Glcp | 3-О-β-D-Glcp | 8-О-β-D-Xylp | |||||
1ʺ | 4.33 (1Н, д, J = 7.0) | 104.9 | 5.23 (1Н, д, J = 7.0) | 102.1 | 5.20 (1Н, д, J = 7.1) | 102.4 | 5.50 (1Н, д, J = 6.0) | 105.2 |
2ʺ | 2.85–3.35 (8Н, м) | 74.9 | 2.93–3.35 (4Н, м) | 74.7 | 2.97–3.36 (4Н, м) | 74.5 | 3.35 (1Н, м) | 73.4 |
3ʺ | 76.9 | 76.7 | 76.9 | 3.25 (1Н, м) | 74.3 | |||
4ʺ | 70.7 | 70.5 | 70.7 | 4.52 (1Н, м) | 71.8 | |||
5ʺ | 76.1 | 76.0 | 76.2 | 3.65 (1Н, м, НА), 3.19 (1Н, м, НВ) | 64.5 | |||
6ʺ | 3.95 (1Н, м, НА), 3.61 (1Н, м, НВ) | 60.1 | 3.98 (1Н, м, НА), 3.69 (1Н, м, НВ) | 60.2 | 4.01 (1Н, м, НА), 3.72 (1Н, м, НВ) | 60.4 | ||
8-О-β-D-GlcAp | 8-О-α-L-Arap | 8-О-α-L-Arap | ||||||
1‴ | 5.51 (1Н, д, J = 7.9) | 106.4 | 4.21 (1Н, д, J = 6.3) | 102.9 | 4.80 (1Н, д, J = 6.0) | 104.5 | ||
2‴ | 3.65 (1Н, м) | 77.6 | 3.65 (1Н, м) | 73.7 | 3.61 (1Н, м) | 71.3 | ||
3‴ | 3.42 (1Н, м) | 74.0 | 3.42 (1Н, м) | 72.0 | 3.45 (1Н, м) | 72.4 | ||
4‴ | 3.51 (1Н, м) | 71.5 | 3.37 (1Н, м) | 69.5 | 3.32 (1Н, м) | 72.0 | ||
5‴ | 3.78 (1Н, м) | 75.1 | 3.02 (1Н, м, НА), 2.90 (1Н, м, НВ) | 65.5 | 3.05 (1Н, м, НА), 2.92 (1Н, м, НВ) | 63.1 | ||
6‴ | 170.4 | |||||||
2ʺ-О-β-D-Glcp | ||||||||
1ʹʹʹʹ | 4.25 (1Н, д, J = 7.0) | 104.4 | ||||||
2ʹʹʹʹ | 2.85–3.35 (8Н, м) | 74.6 | ||||||
3ʹʹʹʹ | 77.2 | |||||||
4ʹʹʹʹ | 70.3 | |||||||
5ʹʹʹʹ | 76.4 | |||||||
6ʹʹʹʹ | 3.90 (1Н, м, НА), 3.56 (1Н, м, НВ) | 60.4 | ||||||
2ʹʹ-COCH3 | 2.00 (3Н, с) | 168.9, 20.5 | ||||||
4ʹʹ-COCH3 | 2.04 (3Н, с) | 170.2, 20.2 | 2.05 (3Н, с) | 170.1, 20.0 | ||||
Рис. 2. Строение новых гликозидов гербацетина I–IV. Стрелками указаны ключевые корреляции в спектрах HMBC.
Два изомерных флавоноида II и III c молекулярной формулой C28H30O17 содержали в масс-спектре ион с m/z 597, указывающий на удаление ацетильного фрагмента с массой 42 а.е.м., а также с m/z 465 и 303, указывающие на элиминацию арабинозы и глюкозы, соответственно (рис. 1в). В УФ-спектре соединений отмечены экстремумы при 269 и 355 нм, характерные для 3,8-ди-замещенных производных гербацетина (рис. 1б) [15], а в спектре ЯМР 1Н присутствовали четыре уширенных синглета гидроксильных групп при С-3 (δН 9.30, 9.35), С-5 (δН 12.51, 12.52), С-7 (δН 10.85, 10.87) и С-4ʹ (δН 10.12, 10.14) (табл. 2). Данные спектров ЯМР указывали на сходство II и III и гербацетин 3-О-β-D-глюкопиранозид-8-О-α-L-арабинопиранозида, выделенного из Sedum japonicum subsp. oryzifolium [18], за исключением дополнительных сигналов ацетильной группы (δН 2.00, 2.04; δС 20.2, 20.4, 168.9, 170.2) [19]. Ацильный заместитель располагался у атомов С-2‴ для II и С-4‴ для III, на что указывали сдвиги в слабое поле сигналов С-2‴ и С-4‴, соответственно, а также взаимные корреляции между сигналами углерода карбонильной группы и протонами Н-2‴ (II) и Н-4‴ (III) (рис. 2). Соединения II и III представляли собой гербацетин 3-О-β-D-глюкопиранозид-8-О-(2‴-О-ацетил)-α-L-арабинопиранозид (родиалгин B) и гербацетин 3-О-β-D-глюкопиранозид-8-О-(4‴-О-ацетил)-α-L-арабинопиранозид (родиалгин C), соответственно (рис. 2).
Соединение IV с молекулярной формулой C22H20O12 содержало в масс-спектре ионы, указывающие на последовательное удаление ацетильной группы (m/z 477→435) и ксилозы (m/z 435→303) (рис. 1в). Данные УФ и ЯМР были близки к таковым родалина (гербацетин 8-О-β-D-ксилопиранозида) [11], но в спектрах ЯМР присутствовали добавочные сигналы ацетильной группы. Сигнал углерода С-4ʺ был сдвинут в слабое поле (δС 69.3→71.8) относительно такового родалина, а также выявлены корреляции в спектре HMBC между сигналами Н-4ʺ и углеродом карбонильной группы (δН/δС 4.52/170.1), что позволило сделать выводы о строении соединения в виде гербацетин 8-О-(4ʺ-О-ацетил)-β-D-ксилопиранозид (родиалгин D), изомером которого является ацетилродалин (гербацетин 8-О-(3ʺ-О-ацетил)-ксилозид), обнаруженный в корнях R. algida [6].
Дополнительные сведения о фенольных соединениях цветков R. algida были получены после анализа экстрактов растения с применением метода ВЭЖХ-ДМД-ИЭР-МС (рис. 3), который позволил выявить 96 веществ, среди которых таннины, антоцианы и флавонолы (табл. S1). Производные госсипетина, гербацетина, гибисцетина, кемпферола и кверцетина содержали в масс-спектрах сигнал иона агликона с m/z 319, 303, 335, 287 и 303 соответственно. На наличие гликозидной природы метаболитов указывал размер уходящих частиц, характерный для гексозы (162 а.е.м.), гексуроновой кислоты (176 а.е.м.), пентозы (132 а.е.м.) или дезоксигексозы (146 а.е.м.), а удаление фрагмента с массой 42 а.е.м. свидетельствовало о присутствии ацетатного заместителя [8, 19].
Рис. 3. Хроматограмма (ВЭЖХ-ДМД, λ 270 нм) экстракта цветков R. algida. Номера соединений указаны согласно табл. S1.
В составе таннинов R. algida были обнаружены три известных моногаллоил глюкозы (1-О-, 1; 6-О-, 2; 4-О-, 10) и галловая кислота (3), а антоцианы были представлены двумя гликозидами цианидина – 6 (цианидин 3,5-ди-О-глюкозид) и 11 (цианидин 3-ди-О-глюкозид).
Госсипетин (82), присутствующий в свободном виде, входил в состав семи известных гликозидов, включая выделенные ранее 25, 32, 39, и 59, а также родиквадрин А (27), госсипетин 7-О-глюкозид (47) и госсипетин 8-О-глюкозид (65), обнаруженные после сравнения хроматографических и спектральных данных с таковыми известных флавоноидов. Неизвестные соединения с протонированными ионами с m/z 981 (4, 5), 819 (7) и 657 (30) представляли собой гексурониды госсипетина (m/z 495→319), содержащие три (m/z 981→819, 657, 495), два (m/z 819→657, 495) и один (m/z 657→495) фрагмент гексозы, соответственно. Соединение 45 демонстрировало последовательную потерю двух фрагментов ацетата (m/z 697→655, 613), пентозы (m/z 613→481) и гексозы (m/z 481→319). К настоящему времени неизвестны природные аналоги 4, 5, 7 и 45, в то время как 30 является изомером флавоноидов 25 и 27.
Наибольшее количество обнаруженных флавонолов (63) принадлежало группе гербацетина, который был также выявлен в форме агликона (88). Кроме выделенных соединений 13, 26, 28, 34, 35, 38, 44, 48, 63, 68 и 73 были идентифицированы гербацетин 3-О-глюкозид (40), гербацетин 3-О-глюкуронид (48), мелокорин (63), родирозин F (75) и обнаруженный в корнях R. algida родалгин (68) [5]. Неацилированные гликозиды представляли собой гексурониды гербацетина (m/z 479→303) с тремя (8, 9), двумя (12, 14, 15) и одним (33) фрагментом гексозы, а также гербацетин О-пентозил-гексозид (29), О-дипентозид (37) и О-гексозиды (40, 43). Для флавоноидов 8, 9 и 37 аналоги в природе неизвестны. Гликозиды 12, 14 и 15 изомерны родиалгину А (13) и могут представлять собой гербацетин 7-О-глюкозид-8-О-глюкурониды с дополнительным фрагментом глюкозы по положениям С-3ʺ и С-4ʺ.
Среди 37 ацилированных гликозидов обнаружены моно- (16–19; m/z 845 [M+H]+) и диацетаты (20–22, 24; m/z 887 [M+H]+) гербацетин О-дигексозил-гексуронида, неизвестные в природе, четыре О-моноацетил-гексуронида гербацетина 57, 66, 69 и 71 (m/z 521 [M + H]+), а также три ацетата гербацетин О-гексозил-гексуронида (41, 42, 51; m/z 683 [M + H]+), изомерных известному гербацетин 3-О-(3ʺ-О-глюкозил)-глюкозид-8-О-глюкурониду из Rhodiola quadrifida [20]. У некоторых гликозидов гербацетина в углеводной части выявлена пентозил-гексоза, содержащая один (36; m/z 639 [M + H]+), два (50, 52, 54, 56, 58, 62; m/z 681 [M + H]+) и три (67, 70; m/z 723 [M + H]+) ацетильных остатка, а также моноацетил- (72, 74, 76–78; m/z 477 [M + H]+), диацетил- (79–81, 83–85; 519) и триацетил-пентоза (92, 93; m/z 561 [M + H]+). Масс-спектр соединения 46 свидетельствовал об удалении ацетата (m/z 609→567) и двух фрагментов пентозы (m/z 567→435, 303), что возможно для неизвестного в природе гербацетин О-ацетил-дипентозида.
Из трех гликозидов гибисцетина флавонол 23 был выделен, гибисцетин 8-О-глюкуронид (гибифолин) (55) определен после сравнения со стандартным образцом, а 31 предварительно описан как гибисцетин О-гексуронид. Производные кемпферола включали 4ʹ-О-глюкозид (49), 3-О-рамнозид (60) и серию дезоксигексозидов с одной (89–91) и двумя (94–96) ацетильными группами, а гликозиды кверцетина были представлены кверцетин 3-О-рамнозидом (53) и двумя диацетил-дезоксигексозидами 86 и 87.
Компонентный состав фенольных соединений листьев R. algida был близок к таковому цветков, но включал 45 компонентов, среди которых отсутствовали антоцианы, гликозиды гибисцетина, а также большая часть гликозидов госсипетина и гербацетина (табл. S1). В стеблях и семенах R. algida удалось идентифицировать 25 и 12 соединений соответственно. Данные о количественном содержании отдельных соединений в органах R. algida указывали на доминирование в цветках гербацетин 3-О-глюкозид-8-О-глюкуронида (28; 25.67 мг/г), гербацетин 3-О-глюкуронида (48; 9.23 мг/г), галловой кислоты (3; 8.62 мг/г) и родиалгина А (4.85 мг/г); в листьях – 28 (11.83 мг/г), 3 (9.67 мг/г), 48 (3.59 мг/г) и 4-О-галлоил глюкозы (3.11 мг/г); в стеблях – 28 (1.52 мг/г) и 3 (1.83 мг/г); в семенах – 28 (0.57 мг/г). Таким образом, несмотря на отличия в составе и концентрации отдельных соединений, флавоноид 28 является основным фенольным метаболитом надземных органов R. algida.
Обсуждение
Исследование фенольных соединений R. algida выявило присутствие 96 соединений, из которых для 35 определена структура после выделения и хроматографического анализа методом ВЭЖХ-ДМД-ИЭР-МС, а 60 дана предварительная химическая характеристика. Среди идентифицированных соединений родалгин [5] и родалин [6] ранее описаны для вида, из корней которого были выделены. В предыдущих исследованиях разными авторами в R. rosea были обнаружены родалидин [6], госсипетин 3-О-глюкозид-8-О-глюкуронид, госсипетин 8-О-глюкуронид, гербацетин 3-О-глюкозид-8-О-глюкуронид, родирозин F [19], гибисцетин 3-О-глюкозид-8-О-глюкуронид [21], галловая кислота и 1-О-галлоил глюкоза [8], в R. crenulata – гербацетин 3-О-глюкозид и кверцитрин [22], в R. kirilowii – гербацетин 7-О-глюкозид [14], родиквадрины А и С – в R. quadrifida [20], афцелин – в R. litvinovii [23], цианидин 3-О-глюкозид – в R. ishidae [16]. Гербацетин 3-О-глюкозид-8-О-(2ʺ-О-ацетил)-ксилозид был выделен из близкого к роду Rhodiola вида Sedum japonicum subsp. oryzifolium [18]. Госсипетин 3-О-, 7-О- и 8-О-глюкозиды, 3-О-глюкуронид, гербацетин 3-О-глюкуронид, гибифолин, кемпферол 4′-О-глюкозид, цианидин 3,5-ди-О-глюкозид, 4-О- и 6-О-галлоил глюкозы обнаружены впервые для рода Rhodiola.
Из 90 обнаруженных флавонолов 79 относились к 8-гидрокси-флавонолам, причем 63 из них (70% от общего числа) были производными гербацетина, который является самым распространенным флавоноидным агликоном рода Rhodiola, особенно для его подсекции Eurhodiola, в которую входят R. rosea, R. sachalinensis, R. linearifolia и другие [1]. Наибольшее число гликозидов 8-гидрокси-флавонолов содержало заместители по положениям С-8 (9 соединений) и С-3,8 (7 соединений), что также характерно для флавоноидов Rhodiola [2] и считается химической особенностью рода [16]. Менее распространенными в надземной части R. algida оказались 3-О- , 7-О- и 7,8-ди-О-замещенные флавоноиды, характерные для видов Sedum и Hylotelephium [18].
Изучение распределения фенольных соединений в надземных органах R. algida показало, что цветки являются морфологической группой с наибольшей способностью к накоплению флавоноидов. Ранее подобное явление также было отмечено для цветков R. rosea [8, 15]. Ввиду того, что флавоноиды в растениях выполняют разные функции, можно предположить, что их накопление в цветках как генеративном органе связано с необходимостью регуляции роста клеток, привлечения насекомых-опылителей и защиты от биотического и абиотического стресса [3].
Исследование выполнено при поддержке Министерства науки и высшего образования Российской Федерации в рамках научного проекта FWSM-2021-0005 (№121030100227-7).
Авторы заявляют об отсутствии конфликта интересов. Настоящая статья не содержит каких-либо исследований с участием людей и животных в качестве объектов исследований.
1 Сокращения: ВЭЖХ-ДМД-ИЭР-МС – высокоэффективная хроматография с диодно-матричным и масс-спектрометрическим детектированием с ионизацией электрораспылением.
About the authors
Д. Н. Оленников
Институт общей и экспериментальной биологии СО РАН
Author for correspondence.
Email: olennikovdn@mail.ru
Russian Federation, 670047, Улан-Удэ
A. С. Прокопьев
Сибирский ботанический сад Томского государственного университета
Email: olennikovdn@mail.ru
Russian Federation, 634050, Томск
References
- Cunningham A.B., Li H.L., Luo P., Zhao W.J., Long X.C., Brinckmann J.A. There “ain’t no mountain high enough”?: The drivers, diversity and sustainability of China’s Rhodiola trade // J. Ethnopharmacol. 2020. V. 252. № 112379. https://doi.org/10.1016/j.jep.2019.112379
- Tao H., Wu X., Cao J., Peng Y., Wang A., Pei J., Xiao J., Wang S., Wang Y. Rhodiola species: A comprehensive review of traditional use, phytochemistry, pharmacology, toxicity, and clinical study // Med. Res. Rev. 2019. V. 2019. P. 1. https://doi.org/10.1002/med.21564
- Dias M.C., Pinto D.C.G.A., Silva A.M.S. Plant flavonoids: Chemical fharacteristics and biological activity // Molecules. 2021. V. 26. № 5377. https://doi.org/10.3390/molecules26175377
- Плющёва Е.С., Бычкова О.В. Введение в культуру in vitro родиолы холодной (Rhodiola algida) // Ломоносовские чтения на Алтае, Часть 2. Барнаул: Алтайский государственный университет, 2017. 239 с.
- Pangarova T.T., Zapesochnaya G.G. The structure of the flavonoids from Rhodiola algida. II // Chem. Nat. Comp. 1975. V. 11. P. 744. https://doi.org/10.1007/BF00568460
- Zapesochnaya G.G. The structure of the flavonoids from Rhodiola algida. III // Chem. Nat. Comp. 1978. V. 14. P. 443. https://doi.org/10.1007/BF00565260
- Krasnov E.A., Demidenko L.A. New flavonol glycosides of Rhodiola algida // Chem. Nat. Comp. 1979. V. 15. P. 353. https://doi.org/10.1007/BF00566094
- Olennikov D.N., Chirikova N.K., Vasilieva A.G., Fedorov I.A. LC-MS profile, gastrointestinal and gut microbiota stability and antioxidant activity of Rhodiola rosea herb metabolites: A comparative study with subterranean organs // Antioxidants. 2020. V. 9. № 526. https://doi.org/10.3390/antiox9060526
- Chirikova N.K., Olennikov D.N., Tankhaeva L.M. Quantitative determination of flavonoid content in the aerial parts of Baikal skullcap (Scutellaria baicalensis Georgi) // Russ. J. Bioorg. Chem. 2010. V. 36. P. 915. https://doi.org/10.1134/S1068162010070204
- Hartzfeld P.W., Forkner R., Hunter M.D., Hagerman A.E. Determination of hydrolyzable tannins (gallotannins and ellagitannins) after reaction with potassium iodate // J. Agric. Food Chem. 2002. V. 50. P. 1785. https://doi.org/10.1021/jf0111155
- Sun B., Ricardo-da-Silva J.M., Spranger I. Critical factors of vanillin assay for catechins and proanthocyanidins // J. Agric. Food Chem. 1998. V. 46. P. 4267. https://doi.org/10.1021/jf980366j
- Constantin O.E., Istrati D.I. Extraction, quantification and characterization techniques for anthocyanin compounds in various food matrices // Horticulturae. 2022. V. 8. № 1084. https://doi.org/10.3390/horticulturae8111084
- Olennikov D.N., Kashchenko N.I. Acylated flavonoids from Cucumis sativus inhibit the activity of human pancreatic lipase // Appl. Biochem. Microbiol. 2023. V. 59. P. 530. https://doi.org/10.1134/S0003683823040099
- Краснов Е.А., Саратиков А.С., Суров Ю.П. Растения семейства Толстянковые. Томск: ТГУ, 1979. 208 с.
- Zapesochnaya G.G., Kurkin V.A., Shchavlinskii A.N. Flavonoids of the epigeal part of Rhodiola rosea. II. Structures of new glycosides of herbacetin and of gossypetin // Chem. Nat. Comp. 1985. V. 21. P. 464. https://doi.org/10.1007/BF00579139
- Iwashina T., Nakane T., Devkota H.P. Flavonoids from the leaves and stems of Rhodiola ishidae (Crassulaceae) // Biochem. Syst. Ecol. 2023. V. 107. № 104622. https://doi.org/10.3390/molecules27217632
- Olennikov D.N., Kashchenko N.I., Chirikova N.K. New flavonoids of the genus Scutellaria. I. Scutellarisides I and II from S. titovii and S. catharinae // Chem. Nat. Comp. 2024. V. 60. P. 26. https://doi.org/10.1007/s10600-024-04244-3
- Mizuno T., Uchiyama N., Tanaka S., Nakane T., Devkota H.P., Fujikawa K., Kawahara N., Iwashina T. Flavonoids from Sedum japonicum subsp. oryzifolium (Crassulaceae) // Molecules. 2022. V. 27. № 7632. https://doi.org/10.3390/molecules27217632
- Olennikov D.N., Chirikova N.K. New metabolites of Rhodiola rosea. I. Glycosides of herbacetin and gossypetin // Chem. Nat. Comp. 2022. V. 58. P. 1014. https://doi.org/10.1007/s10600-022-03857-w
- Olennikov D.N., Chirikova N.K. New flavonol glycosides from Rhodiola quadrifida // Chem. Nat. Comp. 2020. V. 56. P. 1048. https://doi.org/10.1007/s10600-020-03224-7
- Olennikov D.N. New metabolites of Rhodiola rosea. II. Hibiscetin glycosides // Chem. Nat. Comp. 2023. V. 59. P. 254. https://doi.org/10.1007/s10600-023-03969-x
- Ni F.-Y., Xie X., Liu L., Wang Z.-Z., Xiao W. Flavonoids from roots and rhizomes of Rhodiola crenulata // Chin. Tradit. Herbal Drugs. 2016. V. 47. P. 214.
- Krasnov E.A. Flavonoids of Rhodiola litvinovii // Chem. Nat. Comp. 1979. V. 15. P. 756. https://doi.org/10.1007/BF00565586
Supplementary files
Note
1Дополнительные материалы размещены в электронном виде по DOI статьи: 10.31857/S0015330324040084





