Biogeochemical aspects of humic substances and silicate rocks transformation during freezing-thawing
- Authors: Kondratyeva L.М.1, Andreeva D.V.1, Golubeva Е.М.2, Litvinenko Z.N.1
-
Affiliations:
- Institute of the Water and Ecology Problems, Far Eastern Branch, Russian Academy of Sciences
- Yu.A. Kosygin Institute of Tectonics and geophysics Far Eastern Branch, Russian Academy of Sciences
- Issue: Vol 69, No 7 (2024)
- Pages: 608-620
- Section: Articles
- URL: https://journal-vniispk.ru/0016-7525/article/view/273073
- DOI: https://doi.org/10.31857/S0016752524070034
- EDN: https://elibrary.ru/IZXSCW
- ID: 273073
Cite item
Full Text
Abstract
In the northern regions, as a result of seasonal temperature changes, cyclic thawing and freezing of soils and rocks occurs, which is accompanied by dangerous natural phenomena, including landslides. Special conditions arise on the mountain slopes of many reservoirs due to fluctuations of water levels and the interaction of humified waters with rocks. The paper presents the results of an experimental study of the biotransformation of sodium humate (SH) and changes in the microstructure of the surface of silicate rock that is part of the body of the Bureya landslide under various conditions of cyclic freezing-thawing (CFT). Freezing of samples was carried out at a temperature of –18 °C, and thawing at different temperature ranges (+4 °C and +23 °C). The role of biogenic factor was played by 4 strains of microorganisms isolated from the surface and bottom layers of water in the Bureiskoe Reservoir above and below the landslide body. The nature of the biotransformation of SH during CFT was studied by spectral methods at different wavelengths (254 nm, 275 nm, 465 nm). Analysis of the composition of water-soluble forms of chemical elements in an aqueous environment during rock destruction was carried out with use of the ICP-MS method, and changes in the microstructure of its surface with use of scanning electron microscopy. It was found that the transformation of aromatic component of SH occurred most active. After CFT, the strain Actinomyces sp. 45 VD, isolated from bottom layers of water, showed maximum activity at a thawing temperature of +4 °C in relation to SH and leaching of elements from rock (Al, Ca, Mg, Mn). Its activity was comparable to the intensity of leaching of elements by a natural microbial consortium of non-sterile rock. For comparison, we used rocks subjected to CFT in deionized water; in this case, the content of water-soluble forms of many chemical elements (Fe, Ni, Cu, Zn, As, Mo, Ag, Cd, Tl, Bi, As) was below the detection limits of the device (<0.001). High biogeochemical activity of Actinomyces sp. 45 VD is confirmed by analysis of SEM-images of the microstructure of the silicate rock surface and the formation of a wide variety of isomorphic biominerals.
Full Text
ВВЕДЕНИЕ
Последствия потепления климата приводят к многочисленным эколого-биогеохимическим изменениям ландшафтов, однако чаще всего их оценивают главным образом по эмиссии парниковых газов. Рост глобальной температуры приводит к крупномасштабным изменениям в биосфере и криосфере, включая многолетнюю мерзлоту (Margesin, Collins, 2019). Многочисленные исследования последствий таяния многолетней мерзлоты в разных регионах показали, что крупномасштабные эффекты на нашей планете могут быть связаны с биологической и химической активностью на микроскопическом уровне (Zona, 2016).
Существуют различные режимы таяния многолетней мерзлоты (O’Donnell et al., 2014), от которых зависит концентрация и состав ОВ в поверхностных водах. Важным фактором, регулирующим состав ОВ в водных экосистемах в регионах с оттаивающими мерзлыми грунтами, может выступать гидрологический режим, влияющий на степень увлажнения береговых склонов (Vincent et al., 2017). Натурные и экспериментальные исследования показали, что разрушение горных пород и изменение устойчивости горных склонов происходит ускоренно при минусовых температурах и при их повышенном увлажнении. В естественных трещинах фазовая трансформация вода-лед ускоряют разрушение мезоструктуры горных пород (Wang et al., 2020), при этом в случае неоднократного замораживания и оттаивания увеличивается раскрытие трещин, вода переходит в лед и в трещине возникает сила морозного пучения (Wang et al., 2021). Установлено, что в интервале температур от –20 °C до –40 °C повышается хрупкость пород за счет увеличения количества микротрещин, снижается устойчивость горных пород к деформации и разрушению (Yang et al., 2022).
Такая критическая ситуация произошла в Северо-Восточном Китае при строительстве железной дороги в провинции Цзилинь (Luo et al., 2018). Исследования, проведенные после оползня, показали, что в результате длительных циклов замерзания-оттаивания устойчивость материнских пород зависела от присутствия силикатного минерала монтмориллонита (Li et al.,2020).
Изменения в динамике биохимических процессов в многолетней мерзлоте могут критически влиять на водные экосистемы и ландшафты непосредственно через активность микробных сообществ. Недавние исследования показали, что функциональная реакция микробиома многолетней мерзлоты зависела от конечной температуры оттаивания, чем от местоположения отбора проб и их фильтрации (Messan et al., 2020). Было показано, что многолетнемерзлые почвы являются важным источником органических веществ (ОВ), продуктов деградации растительных остатков, включая гуминовые вещества (ГВ). Согласно проведенной масс-спектрометрии при оттаивании мерзлых грунтов Гренландии было обнаружено более 300 различных органических соединений (Kramshøj et al., 2018). Многие из этих соединений, включая ГВ, влияют на условия окружающей среды и способны изменять структуру и активность микробных сообществ (Kulikova, Perminova, 2021).
Состав ГВ формируется в природных поверхностных и подземных водах в результате их взаимодействия с почвами, горными породами, и в значительной степени зависит от климатических условий (Lipczynska-Kochany, 2018). Традиционно ГВ рассматриваются как супрамолекулярные структуры или ассоциации гетерогенных макромолекул, генезис которых связан с деградацией и разложением в основном лигноцеллюлозы растительных остатков (Piccolo, 2001). ГВ играют важную роль в биохимических процессах, а трансформация их макромолекулярной структуры приводит к изменению физико-химических свойств и характера дальнейшего взаимодействия с другими соединениями и химическими элементами (Perminova, 2019). Считают, что реакционная способность ГВ в окружающей среде зависит от набора функциональных групп в структуре макромолекул (Bell et al., 2014; Lee et al., 2015) и происхождения органических остатков (Rupiasih, Vidyanagar, 2005). Изменение соотношения кетонных и ауксохромных групп в составе ароматических колец влияет на интенсивность окрашивания водной среды, а цветность раствора ГВ обусловлена присутствием хромофорных функциональных групп: азотсодержащих (–N = N–), азометиновых (>C = N–), карбоиминовых (>C = NH), нитро- (–NO2) и нитрозогрупп (–NO) (Chen et al., 2002).
В условиях оттаивания многолетней мерзлоты и сезонного замерзания-оттаивания грунтов, все больший интерес вызывают исследования биотрансформации горных пород (Struvay, Feller, 2012; Tribelli, López, 2018). Бактерии, участвующие в разрушении горных пород часто относятся к психрофильным микроорганизмам, которые развиваются при низких температурах в виде биопленок на их поверхности, в трещинах и поровом пространстве (Puente et al., 2006). Психрофильные бактерии отличаются особым составом клеточных мембран; ферментативной активностью при низкой температуре; специализированными генами, которые отвечают за жизнеспособность при холодовом шоке и способны удалять денатурированные холодом белки (Hou et al., 2017; Manyapu et al., 2022). Важную роль в качестве антифризов могут выполнять бактериальные белки и некоторые полисахариды в виде полимерных слизистых веществ (Dreischmeier et al., 2017).
Установлено, что температура является важным фактором окружающей среды, влияющим на разрушение гранита при участии микроорганизмов (Song et al., 2007). Экспериментальное исследование биоразрушения трех минералов (базальт, гранит, гнейс) показало, что температура влияет на микробное выветривание пород и приводит к изменению последовательности извлечения элементов (Štyriaková et al., 2012).
На многих водохранилищах в зоне влияния ГЭС активные биогеохимические процессы происходят под влиянием “флуктационного пояса”, связанного с уровнем воды, когда переувлажненные горные породы на берегах, могут циклически замерзать, оттаивать и затем разрушаться. По неполной статистике, около 69 %, оползневых катастроф, которые произошли в Китае в районе вдхр. “Три ущелья”, связаны с деформацией и разрушением склонов, при взаимодействии воды с рыхлыми горными породами. Крупный оползень произошел в 2003 году, через 33 дня после первого накопления воды в вдхр. “Три ущелья” до уровня 135 м (Chai et al., 2009).
Для дальневосточного региона особую актуальность приобретает прогнозирование последствий взаимодействия воды с горными породами после уникального зимнего оползня на Бурейском вдхр. в декабре 2018 г. Основная масса тела оползня находится под водой и существуют предпосылки изменения качества воды в результате выщелачивания элементов из породообразующих силикатных минералов. До настоящего времени продолжается дискуссия о причинах схода оползня в период ледостава на Бурейском вдхр. (Зеркаль и др., 2019; Кулаков и др., 2019; Махинов и др., 2019; Коковкин, 2020; Кондратьева и др., 2020).
В представленной работе циклическое замерзание-оттаивание (ЦЗО) силикатной породы в эксперименте (in vitro) используется в качестве модели для исследования абиогенных и биогенных факторов, влияющих на изменение состава воды вокруг тела оползня на Бурейском вдхр. Среди биогеохимических факторов, особое внимание уделяется влиянию гумификации природных вод, сезонным изменениям температуры и микробиологической трансформации (разрушению, растворению) горных пород.
Цель исследования состояла в оценке воздействия циклического замерзания-оттаивания на биогеохимические процессы при взаимодействии микроорганизмов с породой, влияния диапазона температуры оттаивания на изменение спектральных характеристик гуминового вещества и микроструктуры поверхности силикатной породы.
ОБЪЕКТЫ И МЕТОДЫ ИССЛЕДОВАНИЯ
Характеристика объекта исследования. Гигантский оползень, который произошел в декабре 2018 при –32 °C с левого склона Бурейского водохранилища (БВДХ), является одним из крупнейших и уникальных в мире. Он произошел в водоем, покрытый льдом, его обрушение вызвало речное цунами. Большая скорость прохождения волны и физические свойства почвы (пористость, повышенная пластичность) привели к полному разрушению почвенного покрова фактически до скальных пород (Махинов и др., 2020). Глубина водохранилища на месте схода оползня составляет более 70 м. По расчетам специалистов основная часть оползня находится под водой. Описание геологических, геоморфологических и геофизических особенностей Бурейского оползня представлены в ряде работ (Зеркаль и др., 2019; Кулаков и др., 2019; Махинов и др., 2019; Коковкин, 2020).
На водосборе БВДХ встречаются области с островной, прерывистой и сплошной многолетней мерзлоты, мощностью до 200 м, чаще всего на низинных участках водоразделов и склонах рек северной экспозиции при температуре пород до –3 °C. Размельчение горных пород произошло не только в результате перемещения тела оползня, но и после взрывных работ (Кондратьева и др., 2020). Амплитуда сезонного колебания “флуктуационного пояса” в БВДХ составляет 20 м. Поэтому трансформация и разрушение горных пород могут происходить при различной степени их обводнения и разном диапазоне температур.
В результате выветривания скальных интрузивных пород на склонах долин водотоков бассейна р. Бурея формируются элювиально-делювиальные глыбовые отложения с супесчаным заполнителем мощностью от 1 до 3 м. На левом берегу Бурейского вдхр., где произошел гигантский оползень, развиты палеозойские интрузии (граниты, гранодиориты) (Кулаков и др., 2019).
Граниты характеризуются высокой степенью микротрещиноватости и сложной морфологией минералов, с размером зерен от 0.2 до 5 мм следующего химического состава: SiO2 68–72 %; Al2O3 15–18 %; Na2O3–6 %; Fe3O4 1–5 %; CaO 1.5–4 %; MgO до 1.5 % и другие микропримеси. Среди крупных зерен преобладает полевой шпат с пластинчатой формой кристаллов. К минералам, имеющим мелкий размер зерен (0.4–1.0 мм), относится биотит с чешуйчатой структурой поверхности (Gao et al.,2021).
Описание эксперимента. Для оценки влияния процессов циклического замерзания-оттаивания (ЦЗО) на изменение спектральных характеристик водного раствора гуминовых веществ в результате взаимодействия с горными породами использовали обломочный материал скальных пород с места схода Бурейского оползня, просеянный через гранулометрическое сито с размером ячеек 3 мм. Перед ЦЗО 5 г сухой породы загружали в стерильные одноразовые медицинские полимерные контейнеры на 50 мл с крышкой (Berimed, ООО “ЕВРОКЭП”, РФ). В эксперименте (табл. 1) использовали 12 проб: стерильную породу (прокаливание при температуре 125 °C в сушильном шкафу в течение 1 часа), залитую 50 мл стерильной питательной среды (KH2PO4 — 1.33; K2HPO4 — 2.67; NH4Cl — 1; Na2SO4 — 2; KNO3 — 2; FeSO4.7H2O — 0.001; MgSO4·7H2O — 0.1 г/л), содержащей 0.2 г/л гумата натрия (ГNa), в контейнер вносили по 1 мл суспензии каждого отдельно из 4 штаммов микроорганизмов; не стерильную породу с автохтонным микробным консорциумом, залитую 50 мл среды с ГNa и не стерильную породу, залитую 50 мл деионизированной воды.
Таблица 1. Варианты эксперимента циклического замерзания / оттаивания гуминовых веществ при взаимодействии с силикатной породой
№ пробы | Температурный диапазон –18 оС / +4 оС (медленное оттаивание) | № пробы | Температурный диапазон –18 оС / +23 оС (быстрое оттаивание) | ||
Инокулят / порода | Инокулят/ порода | ||||
1 2 3 4 | 17 ВП 13 НП 45 ВД 40 НД | Стерильная порода + гумат натрия | 7 8 9 10 | 17 ВП 13 НП 45 ВД 40 НД | Стерильная порода + гумат натрия |
5 | ПК нестерильной породы + гумат натрия | 11 | ПК нестерильной породы + гумат натрия | ||
6 | Нестерильная порода + Н2ОД | 12 | Нестерильная порода + Н2ОД | ||
Деионизированную воду (Н2ОД) готовили на приборе Barnstead EASYpure II (фирма Thermo Scientific, США). По химическим и биологическим показателям вода имела следующие характеристики: удельное сопротивление 18.2 MΩ; содержание общего органического углерода после финального фильтра (размер пор 0.2 мкм) не более 5–10 ppb; бактериальные клетки отсутствовали (по регламенту меньше 1 КОЕ/мл).
Для оценки роли микроорганизмов в трансформации гуминовых веществ в условиях ЦЗО в качестве инокулята были выбраны 4 штамма гетеротрофных бактерий, выделенных из воды Бурейского вдхр. из разных местообитаний. Они обладали характерными физиологическими свойствами, определяющими их адаптационный потенциал к низким температурам: штамм Arthrobacter sp. 13 НП (выделен ниже тела оползня из поверхностной воды), синтезирующий фиолетово-черный пигмент виолацин (violacin); штамм Pseudomonas sp. 17 ВП (выделен выше тела оползня из поверхностной воды) активно продуцировал слизистый матрикс; штамм Bacillus sp. 40 НД (выделен ниже тела оползня из придонной воды) активно продуцировал слизистый матрикс; спорообразующий штамм Actinomyces sp. 45 ВД (выделен выше тела оползня из придонной воды), способный быстро осваивать местообитание, благодаря активному росту на твердых поверхностях. Также в качестве биогенного фактора использовали природный консорциум (ПК), присутствующий в поровом пространстве и на поверхности нестерильной породы.
Продолжительность эксперимента составила 80 суток. На первом этапе проведено длительное замораживание образцов в течение 30 суток в морозильной камере при температуре ‒18 °C. Затем были сформированы две группы образцов, которые отличались условиями оттаивания: первая (пробы 1–6) — медленное оттаивание в холодильнике от –18 °C до +4 °C; вторая (пробы 7–12) — быстрое оттаивание, при комнатной температуре от –18 °C до +23 °C. На втором этапе все образцы прошли 5 циклов поочередного замерзания/ оттаивания через 7 суток. Для дальнейших анализов использовали растворы, отобранные из верхней части экспериментального контейнера с помощью шприцевых мембранных фильтров с диаметром пор 0.45 мкм (фирма “Navigator”, КНР).
Трансформацию и изменение спектральных характеристик гумата натрия (ГNa) оценивали с помощью спектрофотометрического метода (спектрофотометр Shimadzu UV-3600). Культуральную жидкость, с присутствующими микроорганизмами, и водные растворы над породой фильтровали через мембранные фильтры с диаметром пор 0.45 мкм. Основные водорастворимые компоненты ГNa определяли при следующих длинах волн: суммарное содержание растворенных ОВ при λ = 254 нм, содержание ароматических компонентов — при λ = 275 нм (Kumar, 2006) и хромофорных групп при λ = 465 нм (Ширшова и др., 2015; Cory, McKnight, 2005). В качестве контроля использовали питательную среду с ГNa после процедуры ЦЗО.
Элементный состав водных растворов определяли методом ICP-MS на приборе ELAN9000 (фирмы Perkin Elmer, США) по стандартным методикам (ПНД Ф 14.1 : 2 : 4 .143–98, 2011). После фильтрации пробы водных растворов консервировали свежеприготовленным раствором HNO3, очищенной методом изотермической перегонки, в соотношении 1 : 1 (HNO3 : H2O). В полипропиленовые пробирки на 50 мл вносили 3 мл раствора HNO3 и 100 мкл азотнокислого раствора In в концентрации 20 ppm, в качестве внутреннего стандарта.
Микроструктуру поверхности частиц породы после ЦЗО исследовали методом локального зондирования с помощью сканирующей электронной микроскопии (СЭМ) (VEGA 3 LMH TESCAN, Чехия) на предметных столиках с электропроводящими углеродными дисками, после напыления Pt. Для определения элементного состава микроструктур использовали кремний-дрейфовый рентгеновский детектор X–MAX 80 мм2 (Oxford Instruments, Великобритания) в режиме вторичных электронов (SE-детектор). Анализы проводили в Хабаровском инновационно-аналитическом центре коллективного пользования на базе Института тектоники и геофизики ДВО РАН.
РЕЗУЛЬТАТЫ И ОБСУЖДЕНИЕ
Изменение спектральных характеристик гумата натрия при циклическом замерзании-оттаивании
Хромофорные растворенные ОВ, представленные фракциями, поглощающими в ультрафиолетовой (УФ) и видимой части спектра являются важным фактором, контролирующим оптические свойства поверхностных вод, с учетом микробиологических процессов (Birdwell, Engel, 2010). Существует мнение, что хромофорные ОВ включают производные гуминовых и белковоподобных веществ, поглощают и возбуждаются УФ светом при диапазоне длин волн 240–280 нм. Гуминоподобные флуорофоры идентифицируют в зеленой части спектра при 400–500 нм, что обусловлено присутствием хиноидных структур, ответственных за гумификацию природных вод (Cory, McKnight, 2005). Ранее считали, что поглощение при λ = 254 нм можно отнести за счет “карбоксифенолов”, а поглощение при λ = 436, 465 нм связано с хромофорами, ответственными за черно-коричневую окраску химически зрелого гуминового материала (Bloom, Leenheer, 1989). В то же время для получения информации о химической зрелости гуминовых фракций предлагают хромофорные ОВ определять при длинах волн 254 нм и 465 нм (Ширшова и др., 2015).
Для определения изменения молекулярной структуры водорастворимого гумата натрия (ГNa) под влиянием замерзания-оттаивания и микробного метаболизма 4 штаммов микроорганизмов, выделенных из воды вокруг тела оползня, были использованы три длины волны (254, 275, 465 нм) с учетом дискуссий о связи спектров поглощения с молекулярной структурой ГВ.
Как видно из табл. 2, спустя 80 суток после ЦЗО наиболее существенные изменения спектральных характеристик ГNa были отмечены при длинах волн 254 и 275 нм. Контрольные растворы ГNa после ЦЗО при разных температурах оттаивания отличались незначительно.
Таблица 2. Влияние микроорганизмов на изменение спектральных характеристик раствора ГNa после циклического замерзания/оттаивания при взаимодействии с горной породой
Микроорганизмы | Изменения величины абсорбции ГNa при разных длинах волн | ||
254 нм | 275 нм | 465 нм | |
Оттаивание при 4 оС | |||
Pseudomonas sp. 17 ВП | 0.302 | 0.365 | 0.381 |
Arthrobacter sp. 13 НП | 0.319 | 0.357 | 0.379 |
Actinomyces sp. 45 ВД | 0.406 | 0.429 | 0.397 |
Bacillus sp. 40 НД | 0.157 | 0.218 | 0.357 |
ПК нестерильной породы | 0.449 | 0.457 | 0.398 |
Контроль | 2.502 | 2.227 | 0.392 |
Оттаивание при 23 оС | |||
Pseudomonas sp. 17 ВП | 0.275 | 0.306 | 0.371 |
Arthrobacter sp. 13 НП | 0.075 | 0.138 | 0.339 |
Actinomyces sp. 45 ВД | 0.448 | 0.468 | 0.405 |
Bacillus sp. 40 НД | 0.102 | 0.168 | 0.348 |
ПК нестерильной породы | 0.601 | 0.588 | 0.422 |
Контроль | 2.636 | 2.361 | 0.400 |
Примечания. В таблице представлены показатели изменения величины абсорбции раствора ГNa при индикаторных длинах волн относительно контрольного раствора; ПК — природный консорциум нестерильной породы.
Самым активным оказался штамм Actinomyces sp. 45 ВД, независимо от температуры оттаивания. Его активность была сопоставимой с природным консорциумом (ПК), присутствующим в нестерильной породе. Наименьшую активность по отношению к ГNa проявлял штамм Bacillus sp. 40 НД. Биогенная трансформация хромофорной составляющей ГNa при 4 °C была одинаковой и не завесила от вида микроорганизмов. Однако при 23 °C вновь выделялись штамм Actinomyces sp. 45 ВД и ПК нестерильной породы. Стоит подчеркнуть, что самые значительные изменения молекулы ГNa происходили при 23 °C в области длин волн 254 и 275 нм при участии ПК нестерильной породы. Скорее всего в этом случае происходило разрушение двойной связи С = С ароматического кольца в составе молекулы, а карбоксильные группы использовались микроорганизмами в качестве источника углерода.
Ранее, на основании экспериментальных исследований была выдвинута гипотеза о том, что значительная часть фракций ГВ представляют собой динамичную систему макроагрегатов, различающихся составом и характером взаимодействия субъединиц. Макроагрегаты формируются за счет гидрофобных, водородных, сложноэфирных связей и др. При промерзании и оттаивании разных почв и пород меняются не только оптические свойства включенных в них ГВ, но и реакционная способность макромолекул (Shirshova et al., 2009). Не исключено, что в нашем эксперименте происходила частичная биосорбция ГNa на биомассе развивающихся микроорганизмов. Подобные процессы, некоторые авторы (Esparza-Soto, Westerhoff, 2003) объясняют гидрофобным взаимодействием между гуминовыми веществами и внеклеточными полимерами бактериальных клеток.
Штамм Bacillus sp. 40 НД выделялся своей способностью активно продуцировать полимерные слизистые вещества, которые, с одной стороны, могли защищать клетку от замораживания, но с другой стороны, эти продукты метаболизма могли способствовать появлению новых макроагрегатов ГNa, фактически маскирующих изменение оптических свойств самого раствора. Поэтому при участии этого штамма мы наблюдали минимальные изменения спектральной характеристики ГNa при 254 и 275 нм.
Однако, в результате ЦЗО на оптические свойства раствора могли повлиять выщелачиваемые из породы элементы. В этом случае воздействие на спектральные характеристики ГNa оказывали одновременно физико-химические и биогенные факторы.
Выщелачивание химических элементов при разной температуре оттаивания
Определение ко-факторов, сопутствующих взаимодействию микроорганизмов с горными породами, является довольно сложной задачей. Остается много вопросов при оценке воздействии микробных метаболитов на скорость растворения минералов (Shirokova et al., 2012). Мало изученным фактором выступает изменение температуры оттаивания при ЦЗО водного раствора в поровом пространстве породы и его влияние на динамику биогеохимических процессов при непосредственном контакте бактериальных клеток с поверхностью частиц.
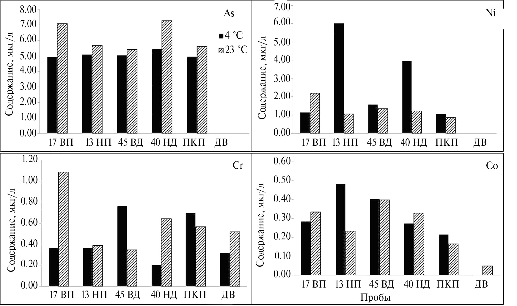
Для оценки влияния непосредственно влаги на трансформацию породы при ЦЗО и выщелачивание химических элементов мы использовали деионизированную воду (Н2ОД). Анализ водных растворов из разных вариантов оттаивания показал, что все четыре штамма отличались большей активностью выщелачивания отдельных элементов, по сравнению с Н2ОД (рис. 1, 2).
Рис. 1. Влияние температуры оттаивания (4 °C, 23 °C) и биогенного фактора на особенности выщелачивания петрогенных элементов в присутствии гумата натрия. Обозначения проб: 17 ВП, 13 НП, 45 ВД, 40 НД — штаммы микроорганизмов; ПКП — природный консорциум нестерильной породы; ДВ — деионизированная вода.
Рис. 2. Влияние температуры оттаивания (4 °C, 23 °C) и биогенного фактора на особенности выщелачивания элементов разного генезиса: As — халькофильный, Cr –литофильный, Ni и Cо — сидерофильные; Обозначения проб: см. рис. 1.
Стоит подчеркнуть, что некоторые штаммы способствовали более активному выщелачиванию при низкой температуре оттаивания. Особенно наглядно это проявлял штамм Actinomyces sp. 45ВД из придонных слоев воды по отношению к Al (рис. 1). Такие элементы как Ca, Mg и As активно выщелачивались при воздействии биогенного фактора при разной температуре оттаивания. Природные комплексы, ассоциированные с нестерильной породой, активно выщелачивали Ca и Mg при низкой температуре. Выщелачивание халькофильного As в меньшей степени зависело от температуры оттаивания и влияния штаммов микроорганизмов (рис. 2). Поведение литофильного Cr зависело от сочетания температурного фактора и метаболизма микроорганизмов. Стоит подчеркнуть, что этот элемент выщелачивался также под влиянием Н2ОД.
Известно, что реакционная активность воды приводит к изменению микроструктуры породы и выщелачиванию растворимых элементов. Взаимодействие воды с породами представляет собой сложный феномен, который многие изменения на уровне микроструктуры приводит к макроскопическому ухудшению механических параметров горных склонов (Liu et al., 2009; Deng et al., 2016). Моделирование поведения химических элементов в присутствии гуминовых веществ показало (Olk et al., 2019), что концентрации Cd, Ni и Zn в растворе увеличиваются в выщелачивающем растворе при добавлении хлорида натрия (NaCl) и, что присутствие этой соли мало влияет на сильно связанные ионы Cu2+, Cr3+ и Pb2+. В нашем эксперименте NaCl отсутствовал, однако выщелачивающим фактором выступали метаболиты микроорганизмов. Более активно в раствор поступали кальций и мышьяк при разной температуре оттаивания, а такие элементы как Cu, Zn и Pb в водном растворе отсутствовали. Поведение хрома сильно зависело от активности того или иного штамма при разной температуре оттаивания и вероятности образования его коллоидных форм.
Недавно установлено, что после нескольких ЦЗО болотных вод поведение многих элементов систематически изменяется в результате образования высокомолекулярных и/или низкомолекулярных коллоидных форм. Так при использовании фильтров разного диаметра доказано, что высокомолекулярные органические коллоиды (50 кДа – 0.45 мкм), Fe, Al и ряд других металлов удалялись из раствора в ходе ЦЗО. В то же время увеличивалось содержание низкомолекулярного коллоидного Si за счет фракции < 3 кДа, а также низкомолекулярных фракций Fe, Al и некоторых микроэлементов, включая Cr (Pokrovsky et al., 2018).
Некоторые бактериальные метаболиты и продукты лизиса клеток образуют комплексы с Al3+ на поверхности минералов и в водном растворе, способствуя разрыву связей Al–O в кристаллической решетке. Однако, бактериальные экзополисахариды могут ингибировать скорость растворения некоторых элементов, блокируя участки отслоения катионов с поверхности минералов (Lee, Fein, 2000). Этим можно объяснить разное поведение Al в нашем эксперименте в присутствии ГВ и разных штаммов микроорганизмов.
Следовательно, микроорганизмы играют важную роль в связывании и/или подвижности ионов металлов, влияние которых не всегда учитывается, хотя они являются важным инструментом для оценки динамики биогеохимических процессов при изменении температурного режима.
Изменение микроструктуры поверхности силикатной породы
В процессе проникновения воды внутрь образцов горных пород можно наблюдать два явления. С одной стороны, происходит растворение минеральных частиц, коррозия и химические реакции. С другой стороны, растворение и химическое выщелачивание элементов с контактных поверхностей приводит к новой цементации минеральных частиц. Эти два эффекта изменения микроструктуры породы наблюдали при флуктуации уровня воды и циклическом погружении породы (вода-воздух), которые оказывают существенное влияние на механизмы деградации горной породы (Deng et al., 2016). Не менее значимые изменения поверхности минералов происходят при ЦЗО, разном диапазоне температуры оттаивания и под воздействием продуктов метаболизма микроорганизмов.
В наших исследованиях, в результате ЦЗО контрольного образца сухой стерильной породы поверхность частиц изменялась незначительно (рис. 3). На СЭМ изображениях поверхность частиц покрыта чешуйчатыми микроструктурами. Возможно, что длительное замораживание могло привести к утрате связанной воды, которая при оттаивании периодически могла скапливаться в поровом пространстве и кристаллизоваться. Такие циклические изменения могли привести к образованию чешуйчатых микроструктур на поверхности частиц сухой породы. Микроструктура поверхности частиц образца, погруженных в Н2ОД, изменялась незначительно. Это подтверждается минимальным изменением содержания элементов в деионизированной воде (рис. 1, 2).
Рис. 3. СЭМ изображение поверхности образцов сухой породы после циклического замерзания (–18 °C) и оттаивания при разной температуре: а — 4 °C; б — 23 °C.
Но более значительное преобразование поверхности образца породы происходило под влиянием штамма Actinomyces sp. 45 ВД, образующего биопленки на его поверхности. Трансформация поверхности образца зависела от температуры оттаивания (рис. 4, 5). Согласно элементному составу отдельных микроструктур (табл. 3), многие из них имеют биогенное происхождение (спектры 8–10), по сравнению с фоном самой силикатной породы (спектр 11). Богатый элементный состав, включая присутствие фосфора в аморфных и палочковидных микроструктурах, можно объяснить биоаккумуляцией, которая происходит в слизистой матрице биомассы. Присутствие Fe в микроструктурах может быть связано с утилизацией гуминовой составляющей железо-гуматных комплексов и его сорбцией биомассой.
Рис. 4. СЭМ изображение поверхности образца породы и образование микроструктур в присутствии Actinomyces sp. 45 ВД и температуре оттаивание 4 °C: а — общий вид при ×1000; б — ×5000, с номерами спектров (элементный состав микроструктур представлен в табл. 3).
Рис. 5. СЭМ изображение поверхности образцов породы и образование микроструктур в присутствии Actinomyces sp. 45 ВД при температуре оттаивания 23 °C: а — общий вид поверхности при ×1000, с номерами спектров (элементный состав микроструктур представлен в табл. 4); б — увеличенный фрагмент, выделенный белым контуром, ×7000.
Таблица 3. Влияние циклического замерзания-оттаивания на элементный состав поверхностных микроструктур образцов силикатной породы в присутствии гуминовых веществ и Actynomyces sp. шт. 45 ВД (оттаивание при 4 °C)
Спектр/микроструктура | Элементный состав, мас. % | |||||||||
C | O | Si | Al | K | Na | P | Ca | Fe | Mg | |
8 — аморфная | 35.85 | 47.74 | 4.86 | 1.62 | 0.67 | 0.73 | 3.59 | 4.37 | 0.30 | 0.26 |
9 — биогенная | 20.67 | 56.79 | 5.01 | 2.25 | 0.53 | 0.64 | 5.34 | 6.18 | 1.13 | 1.47 |
10 — палочка | 16.33 | 54.05 | 19.24 | 0.77 | 0.20 | 0.35 | 4.24 | 4.47 | 0.36 | - |
11– порода | 14.98 | 56.25 | 28.53 | - | - | - | - | - | - | - |
12 — аморфная | 26.54 | 47.55 | 23.16 | 0.59 | 0.16 | 0.40 | - | 0.92 | 0.92 | 0.28 |
13 — аморфная | 20.12 | 53.47 | 14.22 | 5.48 | 0.17 | 5.97 | - | 0.43 | 0.14 | - |
Наиболее существенное преобразование поверхности образцов породы наблюдали при температуре оттаивания 23 °C (рис. 5). На СЭМ изображениях отмечена повышенная эрозия поверхности частиц, присутствуют разнообразные микроструктуры с богатым элементным составом, включая значительно трансформированные рыхлые, “гофрированные” образования. Некоторые авторы называют подобные микроструктуры “волнистыми кристаллами” монтмориллонита (Fesharaki et al., 2007) или идентифицируют как “волокнистый иллит” (Christidis, 2011). При 23 °C отмечено образование разнообразных изоморфных микроструктур, отличающихся непостоянством элементного состава (табл. 4). Есть основание считать, что после ЦЗО и оттаивании при 23 °C происходит формирование вторичных биоминералов, которые могут участвовать в цементации порового пространства. Возможно, за счет формирования такого разнообразия микроструктур при температуре оттаивания 23 °C происходит перевод многих элементов в нерастворенное состояние и наблюдается обеднение элементного состава в экспериментальных растворах.
Таблица 4. Элементный состав поверхностных микроструктур при культивировании Actynomyces sp. шт. 45 ВД в присутствии гуминовых веществ (оттаивание при 23 °C)
Спектры на рис. 5 | Элементный состав, мас. % | ||||||||||
C | O | Si | Al | K | Na | P | Ca | Fe | Mg | Cl | |
40 | 42.89 | 17.83 | 0.55 | 0.45 | 13.69 | 3.67 | 1.13 | 1.76 | 0.13 | 0.24 | 17.66 |
41 | 43.53 | 35.50 | 3.04 | 2.17 | 2.0 | 1.43 | 2.70 | 4.38 | 1.83 | 0.59 | 2.73 |
42 | 36.83 | 41.49 | 2.63 | 1.77 | 2.34 | 2.15 | 3.46 | 5.89 | 0.61 | 0.61 | 1.83 |
43 | 14.88 | 31.28 | 36.34 | 10.7 | 0.40 | 5.46 | - | 0.96 | - | - | - |
44 | 38.79 | 45.45 | 1.72 | 1.51 | 1.76 | 1.52 | 2.79 | 4.19 | 0.48 | 0.6 | 1.07 |
45 | 45.28 | 36.16 | 2.99 | 1.77 | 1.80 | 1.61 | 2.38 | 4.03 | 1.01 | 0.67 | 2.17 |
46 | 30.70 | 50.26 | 7.41 | 3.41 | 0.92 | 3.47 | - | 2.06 | 0.61 | 0.47 | 0.7 |
47 | 38.74 | 12.66 | 1.57 | 1.06 | 0.88 | 19.5 | 1.07 | 1.54 | 1.15 | 0.24 | 21.12 |
48 | 48.01 | 37.50 | 2.41 | 1.38 | 8.11 | 0.71 | 0.24 | 0.54 | 0.58 | 0.35 | - |
49 | 31.92 | 19.38 | 5.23 | 4.08 | 17.06 | 1.74 | 1.43 | 2.14 | 0.83 | 0.37 | 15.82 |
50 | 48.94 | 17.41 | - | - | 2.72 | 10.4 | 0.91 | 1.44 | 0.11 | - | 18.09 |
Бактериальный вклад в разрушение силикатных пород при разных температурах был продемонстрирован на примере Bacillus sp. (Štyriaková et al., 2012). Установлено, что в результате воздействия бактерий на поверхность минералов происходило выщелачивание K, Ca, Mg, Si, Fe и Al. Повышение температуры от 4 °C до 18 °C оказывало существенное влияние на эффективность извлечения железа из гранита и базальта, а кремния из гранита и гнейса. В нашем эксперименте штамм Bacillus sp. 40 НД при повышении температуры оттаивания активнее выщелачивал Al, As, Co, Cr, тогда как характер растворения Ca и Mn не зависел от температуры оттаивания. Такие элементы как Ni и Mg активнее выщелачивались при низкой температуре оттаивания.
Исходя из данных, представленных в табл. 4, при 23 °C можно отметить высокую степень окисления некоторых элементов в микроструктурах (спектры 42, 44, 46) при участии Actynomyces sp. шт. 45 ВД. Минимальный вклад кислорода отмечен в тех микроструктурах, в которых согласно элементному составу происходила кристаллизация NaCl (спектры 47, 50). Важно подчеркнуть, что в вариантах эксперимента Fe в растворенном состоянии отсутствовало, но в микроструктурах на поверхности частиц не зависимо от температуры оттаивания в большинстве случаев присутствовало Fe. Эти результаты свидетельствуют о том, что состав растворенных элементов вокруг тела оползня может существенно изменяться при сезонных изменениях температуры и смене доминантных форм в структуре микробных сообществ.
Исследования трансформации силикатных пород in vitro при разном сочетании абиогенных (замораживание-оттаивание, разный диапазон оттаивания, присутствие гуминовых веществ) и биогенных факторов (разные виды микроорганизмов, выделенные из поверхностных и придонных слоев воды в зоне влияния Бурейского оползня, природный консорциум горной породы) показали возможность существования разных механизмов разрушения горных пород в зависимости от сочетания температуры оттаивания и специфики микробного метаболизма при конкретных условиях.
При взаимодействии горных пород с гумифицированными водами “горячей точкой” на БВДХ на неопределенный период времени может выступать место локации оползня, значительная часть которого находится под водой, а в зимний период подо льдом. За счет разрушения кристаллической решетки минералов в водные массы может поступать широкий спектр химических элементов и микробных метаболитов.
ЗАКЛЮЧЕНИЕ
Проведенные исследования трансформации горных пород in vitro при разном сочетании абиогенных и биогенных факторов свидетельствуют о важной роли биогеохимических процессов. В результате сезонного замерзания и оттаивания пород на береговых склонах водохранилища в присутствии гуминовых веществ автохтонные группы микроорганизмов из поверхностных и придонных слоев воды проявляют разную активность. В период ледостава при взаимодействии вода(лед)–порода–микробиом может происходить разрушение кристаллической решетки минералов и в воду вокруг оползня будут поступать различные химические элементы. Экспериментально показано, что в результате циклического замерзания-оттаивания в зависимости от температуры оттаивания и присутствия гуминовых веществ, характер метаболизма микроорганизмов-деструкторов может существенно изменяться. Высокую активность после ЦЗО и оттаивании при 4 °C проявляли микроорганизмы, образующие мицелий Actinomyces sp. 45 ВД из придонных слоев воды и природные консорциумы микроорганизмов, ассоциированных с поверхностью минеральных частиц, которые использовали в качестве источника углерода и энергии стойкие гуминовые вещества. Сравнительный анализ изменения элементного состава в водной среде при выщелачивании в присутствии деионизированной воды и гумата натрия показал, что в условиях циклического замерзания-оттаивания максимальную активность проявляли бактерии, продуцирующие слизистые полимеры и образующие биопленки на поверхности частиц породы. Несмотря на низкую активность трансформации гумата натрия штамм Arthrobacter sp. 13 НП активно выщелачивал в водную среду ряд элементов (Ca, Mn, Mg, Сo, Ni и As). Трансформация породы и образование вторичных биоминералов доказаны с помощью сканирующей электронной микроскопии. При значительной эрозии поверхности частиц породы при участии Actinomyces sp. 45 ВД и температуре оттаивания 4 °C выщелачивались в водную среду в значительном количестве такие элементы как Al, Ca, Mn и Cr. Дополнительно, независимо от температуры оттаивания выщелачивались Сo, Ni и As. Ярко выраженное отсутствие в растворах ионов Fe во всех вариантах оттаивания свидетельствует об образовании железо-гуматных комплексов, которые могли служить в качестве предшественников для образования вторичных железосодержащих биоминералов. В результате выветривания горных пород водные экосистемы с гумифицированными водами в зависимости от динамики микробиологических процессов могут быть лимитированы ионами железа, и насыщены токсичными элементами.
Авторы признательны научному редактору статьи М. И. Дину и рецензентам за детальные редакционные замечания, позволившие улучшить текст рукописи, выражают благодарность за помощь в проведении работ на сканирующем электронном микроскопе Н. С. Коноваловой сотруднику ИТИГ ДВО РАН.
Работа выполнена в рамках темы Государственного задания Министерства науки и высшего образования РФ № 121021500060-4.
About the authors
L. М. Kondratyeva
Institute of the Water and Ecology Problems, Far Eastern Branch, Russian Academy of Sciences
Author for correspondence.
Email: freckles2008@yandex.ru
Russian Federation, Dikopoltsev St., 56, Khabarovsk, 680000
D. V. Andreeva
Institute of the Water and Ecology Problems, Far Eastern Branch, Russian Academy of Sciences
Email: freckles2008@yandex.ru
Russian Federation, Dikopoltsev St., 56, Khabarovsk, 680000
Е. М. Golubeva
Yu.A. Kosygin Institute of Tectonics and geophysics Far Eastern Branch, Russian Academy of Sciences
Email: freckles2008@yandex.ru
Russian Federation, Kim Yu Chen St., 65, Khabarovsk, 680000
Z. N. Litvinenko
Institute of the Water and Ecology Problems, Far Eastern Branch, Russian Academy of Sciences
Email: freckles2008@yandex.ru
Russian Federation, Dikopoltsev St., 56, Khabarovsk, 680000
References
- Зеркаль О. В., Махинов А. Н., Кудымов А. В., Харитонов М. Е., Фоменко И., Барыкина О. С. (2019). Буреинский оползень 11 декабря 2018 г. Условия формирования и особенности механизма развития. Гео Риск. 13 (4), 18–30.
- Коковкин А. А. (2020). Феномен Бурейского оползня: данные полевых исследований и модель формирования. Отечественная геология. 4–5, 48–63.
- Кондратьева Л. М., Литвиненко З. Н., Филиппова Г. М. (2020). Экологический риск образования летучих органических веществ после крупного оползня. Геоэкология. Инженерная геология. Гидрогеология. 3, 167–174.
- Кулаков В. В., Махинов А. Н., Ким В. И., Остроухов А. В. (2019). Катастрофический оползень и цунами в водохранилище Бурейской ГЭС (бассейн Амура). Геоэкология. Инженерная геология. Гидрогеология. 3, 12–20.
- Махинов А. Н., Ким В. И., Остроухов А. В., Матвеенко Д. В. (2019). Крупный оползень в долине реки Бурея и цунами в водохранилище Бурейской ГЭС. Вестник Дальневосточного отделения РАН. 2, 35–44
- Махинов А. Н., Махинова А. Ф., Левшина С. И. (2020). Оценка смыва водно-ледяным цунами почвенного покрова и качество воды в районе оползня на Бурейском водохранилище. Метеорология и гидрология. 11, 64–73.
- Ширшова Л. Т., Гиличинский Д. А., Остроумова Н. В., Ермолаев А. М. (2015). Применение спектрофотометрии для определения содержания гуминовых веществ в многолетнемерзлых отложениях. Криосфера Земли. 19(4), 107–113.
- Bell N. G.A., Murray L., Graham M. C., Uhrin D. (2014). NMR methodology for complex mixture ‘separation’. Chem. Commun. 50(14), 1694.
- Birdwell J. E., Engel A. S. (2010). Characterization of dissolved organic matter in cave and spring waters using UV–Vis absorbance and fluorescence spectroscopy. Organic Geochemistry. 41, 270–280.
- Bloom P. R., Leenheer J. A. (1989) Vibrational, electronic, and high-energy spectroscopic methods for characterizing humic substances. Humic Substances II — In Search of Structure /M.H.B. Hayes, P. MacCarthy, R. L. Malcolm, R. S. Swift (eds.). Chichester, USA, Wiley, 409–446.
- Chai B., Yin K., Jian W., et al. (2009) Analysis of water-rock interaction characteristics and bank slope failure process of red-bed. Journal of Central South University (Science and Technology) 4, 1092–1098
- Chen J., Gu B., LeBoeuf E.J. et al. (2002). Spectroscopic characterization of the structural and functional properties of natural organic matter fractions. Chemosphere. 48(1), 59–68.
- Christidis G. (2011). Industrial clays. EMU Notes in Mineralogy. Chapter 9, 341–414.
- Cory R. M., McKnight D.M. (2005). Fluorescence spectroscopy reveals ubiquitous presence of oxidized and reduced quinones in dissolved organic matter. Environmental Science and Technology. 39, 8142–8149.
- Deng H. F., Zhou M. L., Li J. L., Sun X. S., Huang Y. L. (2016). Creep degradation mechanism by water-rock interaction in the red-layer soft rock. Arab J. Geosci. 9: е 601
- Dreischmeier K., Budke C., Wiehemeier L., Kottke T., Koop T. (2017). Boreal pollen contain ice-nucleating as well as ice-binding “antifreeze” polysaccharides. Sci. Rep. 7, 1–13
- Esparza-Soto M., Westerhoff P. (2003) Biosorption of humic and fulvic acids to live activated sludge biomass. Water Research. 37(10), 2301–2310.
- Fesharaki O., Garcia-Romero E., Cuevas-Gonzalez J., Lopez-Martinez N. (2007). Clay mineral genesis and chemical evolution in the Miocene sediments of Samosaguas, Madrid Basin, Spain. Clay Minerals. 42, 187–201
- Gao M., Li T., Zhu J., Yin H., Yang Y. (2021). An Analysis of Relationship between the Microfracture Features and Mineral Morphology of Granite. Advances in Civil Engineering. Article ID4765731
- Hou N., Wen L., Cao H., Liu K., An X., Li D., Wang H., Du X., Li Ch. (2017). Role of psychotrophic bacteria in organic domestic waste composting in cold regions of China. Bioresour Technol. 236, 20–28
- Kramshøj M., Albers C. N., Holst T. et al. 2018. Biogenic volatile release from permafrost thaw is determined by the soil microbial sink. Nat Commun. 9. e-3412.
- Kulikova N. A., Perminova I. V. (2021) Interactions between humic substances and microorganisms and their implications for nature-like bioremediation technologies. Molecules. 26. Е 2706.
- Kumar S. (2006). Organic chemistry. Spectroscopy of Organic Compounds. Guru Nanak Dev University. 36 р.
- Lee J. U. and Fein J. B. (2000). Experimental study of the effects of Bacillus subtilis on gibbsite dissolution rates under near-neutral pH and nutrient-poor conditions. Chem. Geol. 166, 193–202.
- Lee B. M., Seo Y. S., Hur J. (2015). Investigation of adsorptive fractionation of humic acid on graphene oxide using fluorescence EEM-PARAFAC. Water Research. 73, 242.
- Li T., Kong L., Liu B. (2020). The California Bearing Ratio and Pore Structure Characteristics of Weakly Expansive Soil in Frozen Areas. Appl. Sci., 10. e 7576.
- Lipczynska-Kochany E. (2018). Effect of climate change on humic substances and associated impacts on the quality of surface water and groundwater: A review. Sci. Total Environ. 640–641, 1548.
- Liu X, Fu Y, Wang Y (2009) Stability of reservoir bank slope under water-rock interaction. Rock Soil Mech. 3, 613–616,
- Luo J., Tang L., Ling X., Geng L. (2018). Experimental and analytical investigation on frost heave characteristics of an unsaturated moderately expansive clay. Cold Reg. Sci. Technol., 155, 343–353.
- Manyapu V., Lepcha A., Sharma S. K., Kumar R. (2022). Role of psychrotrophic bacteria and cold-active enzymes in composting methods adopted in cold regions. Chapter One. Advances in Appl. Microbiology. 121, 1–26.
- Margesin R. and Collins T. (2019). Microbial ecology of the cryosphere (glacial and permafrost habitats): current knowledge. Appl. Microbiology and Biotechnology. 103, 1–13.
- Messan K. S., Jones R. M., Doherty S. J. et al. (2020). The role of changing temperature in microbial metabolic processes during permafrost thaw. PLoS ONE, 15(4). e0232169.
- O’Donnell J. A., Aiken G. R., Walvoord M. A., Raymond P. A. et al. (2014). Using dissolved organic matter age and composition to detect permafrost thaw in boreal watersheds of interior Alaska. J. Geophys. Res. Biogeosci. 119, 2155–2170.
- Olk D. C., Bloom P. R., Perdue E. M., McKnight D. M. et al. (2019). Environmental and Agricultural Relevance of Humic Fractions Extracted by Alkali from Soils and Natural Waters. J. of Environmental Quality. 48(2), 217–232
- Perminova I. V. (2019). From green chemistry and nature-like technologies towards ecoadaptive chemistry and technology. Pure Appl. Chem. 91(5), 851–864
- Piccolo A. (2001). The supramolecular structure of humic substances. Soil Science. 166(11), 810–832.
- Pokrovsky O. S., Karlsson J., Giesler R. (2018). Freeze-thaw cycles of Arctic thaw ponds remove colloidal metals and generate low-molecular-weight organic matter. Biogeochemistry. 137, 321–336.
- Puente M. E., Rodriguez-Jaramillo M.C., Li C. Y., Bashan Y. (2006). Image analysis for quantification of bacterial rock weathering. J. Microbiol. Methods. 64, 275–286.
- Rupiasih N. N., Vidyanagar P. B. (2005). A Review: Compositions, Structures, Properties and Applications of Humic Substances. International J. Advanced Science and Technology. 8(I–II), 16.
- Shirokova L. S., Bénézeth P., Pokrovsky O. S., Gerard E., Ménez B., Alfredsson H. (2012). Effect of the heterotrophic bacterium Pseudomonas reactans on olivine dissolution kinetics and implications for CO2 storage in basalts. Geochim. Cosmochim. Acta. 80, 30–50.
- Shirshova L. T., Kholodov A. L., Zolotareva B. N. et al. (2009). Fluorescence spectroscopy studies of humic substance fractions isolated from permanently frozen sediments of Yakutian coastal lowlands. Geoderma. 149(1–2), 116–123.
- Song W., Ogawa N., Oguchi C. T., Hatta T., Matsukura Y. (2007). Effect of Bacillus subtilis on granite weathering: a laboratory experiment. Catena. 70, 275–281.
- Struvay С. and Feller G. (2012). Optimization to Low Temperature Activity in Psychrophilic Enzymes. Intern. J. of Molecular Sciences. 13(9), 11643–11665.
- Štyriaková I., Štyriak I., Oberhänsli H. (2012). Rock weathering by indigenous heterotrophic bacteria of Bacillus spp. at different temperature: a laboratory experiment. Mineralogy and Petrology. 105(3–4), 135–144.
- Tribelli P. M., López N. I. (2018). Reporting Key Features in Cold-Adapted Bacteria. Life. 8(8). е8010008
- Vincent W. F., Lemay M., Allard M. (2017). Arctic permafrost landscapes in transition: Towards an integrated Earth system approach. Arct. Sci. 3, 39–64.
- Wang Y., Li C. H., Liu H., Han J. Q. (2020). Fracture failure analysis of freeze–thawed granite containing natural fracture under uniaxial multi-level cyclic loads. Theoretical and Appl. Fracture Mechanics. 110. e 102782.
- Wang Y., Yi X., Gao S., Liu H. (2021). Laboratory Investigation on the Effects of Natural Fracture on Fracture Evolution of Granite Exposed to Freeze-Thaw-Cyclic (FTC) Loads. Geofluids. е 6650616. 20 pages.
- Yang Y., Zhang N., Wang J. (2022). Study on the Effect of Negative Temperature Change on the Fracture Morphology of Granite under Impact. Geofluids. е 4918680. 13 pages.
- Zona D. (2016). Long‐term effects of permafrost thaw. Nature. 537(7622), 625–626.
Supplementary files







