Simultaneous calculation of chemical and isotope equilibria using the GEOCHEQ_isotope software: iron isotopes
- Authors: Polyakov V.B.1, Mironenko M.V.1, Alenina M.V.1
-
Affiliations:
- Vernadsky Institute of Geochemistry and Analytical Chemistry of the Russian Academy of Sciences
- Issue: Vol 69, No 10 (2024)
- Pages: 885–913
- Section: Articles
- URL: https://journal-vniispk.ru/0016-7525/article/view/277510
- DOI: https://doi.org/10.31857/S0016752524100029
- EDN: https://elibrary.ru/IMBHXF
- ID: 277510
Cite item
Full Text
Abstract
The GEOCHEQ_Isotope software package, previously developed to calculate chemical and isotopic equilibria of carbon and oxygen in hydrothermal and hydrogeochemical systems by Gibbs energy minimization, was extended to the simultaneous calculation of isotopic effects of carbon, oxygen, and iron (the main objective of the study). As for carbon and oxygen, the β-factor formalism was used to develop algorithms and database for the calculation of iron isotopic effects. According to the developed algorithm, the Gibbs energy G*(P,T) of formation of a rare isotopologue was calculated through the Gibbs energy of formation of the main isotopologue taking into account the value of 56Fe/54Fe β-factor of this substance and the mass ratio of 54Fe and 56Fe isotopes. The approximation of the isotope mixture ideality was used. The temperature dependence of the β-factor is unified in the form of a third order polynomial by inverse even degrees of absolute temperature. Based on a critical analysis of existing data on equilibrium isotopic factors obtained by different methods: elastic and inelastic γ-resonance scattering, isotope exchange experiments, and "first-principles" calculations, the main result was obtained: for the first time, an internally consistent database on iron β-factors of minerals and water complexes was developed. To develop such a database, minerals and water complexes were identified for which the estimates of equilibrium fractionation factors of iron isotopes obtained by different methods exist and coincide within the error of the methods: metallic iron (α-Fe), hematite, magnetite, siderite, pyrite, water complexes FeIII(H2O)6 3+ and FeII(H2O)6 2+. The values of β-factors of iron for these minerals and aqueous complexes, accepted as reference ones, formed the "mainstay" of the developed database. Considering that the equilibrium isotopic shifts of iron between minerals and water complexes within one method are estimated much more accurately than the corresponding β-factors, the database was harmonized by linking the lnβ values for minerals and water complexes to the reference lnβ values. Application of the GEOCHEQ_Isotope software package to the closed carbonaceous hydrothermal system H2O-CO2-Fe2O3-FeO-CaO (T = 200 °C, P = 16 ÷ 350 bar) showed the possibility of its use for calculation of changes in mineral composition and isotopic effects on oxygen, carbon, and iron.
Full Text
Введение
Широкое внедрение многоколлекторных масс-спектрометров с возбуждением индуктивно связанной плазмой (МК-ИСП-МС) в последней декаде прошлого столетия привело к революционным изменениям в геохимии стабильных изотопов. Наряду с традиционными для нее исследованиями изотопов легких элементов (H, C, N, O, S и т.п.) предметом изучения стали изотопы таких элементов как Fe, Cu, Zn, Hg, Mo и др., получивших название “нетрадиционных” изотопов (Johnson et al., 2004; Blanchard et al., 2017; Hoefs, 2018). В данной работе развиваемый нами подход к совместному моделированию химических и изотопных равновесий (Mironenko et al., 2018; Поляков и др., 2019) распространен на изотопы железа. Именно это является основной целью данной статьи. Выбор изотопов железа не случаен, они являются одними из наиболее популярных представителей “нетрадиционных” изотопов. Это обусловлено не только высокой распространенностью этого элемента, но и участием его в широком круге геохимических процессов от выветривания на земной поверхности до процессов дифференциации ядра и мантии Земли. Многочисленные применения изотопов железа к различным геохимическим проблемам можно найти в монографиях (Hoefs, 2018; Johnson et al., 2020) и обзорах (Dauphas et al., 2017; Beard, Johnson, 2004).
Общий подход к расчету химических и изотопных равновесий с участием железа, аналогичен тому, который был использован нами при расчете равновесий с участием кислорода и углерода (Mironenko et al., 2018; Поляков и др., 2021). Этот подход, идея которого принадлежит Б.Н. Рыженко, названный методом изотопно-химической системы, восходит к работам Д.В. Гричука с соавторами по совместному расчету химических и изотопных равновесий, включающему серосодержащие соединения (Банникова и др., 1987; Гричук, 1987, 1988, 2000; Гричук, Леин, 1991). Этот подход дает возможность проводить расчет изотопных и химических равновесий в один этап, в то время как в рамках обычных подходов (Ohmoto, 1972), сначала проводят расчет химических равновесий, а затем рассчитывают изотопные составы химических соединений. Преимущество совместного расчета изотопных и химических равновесий наиболее ярко проявляется при расчетах процессов, представляющих последовательность равновесных состояний, сопровождающихся потерей и/или привносом вещества, поскольку в этом случае изотопный масс-баланс, выполняется автоматически (Мироненко и др., 2021).
Как и в случае углерода и кислорода, одной из центральных причин, сдерживающих широкое использование совместных расчетов химических и изотопных равновесий соединений железа, является отсутствие внутренне согласованных баз термодинамических данных по редким железосодержащим изотопологам. Создание такой базы данных на основе критического анализа имеющейся информации по изотопным равновесиям железа является основной задачей, которая решается в настоящей статье.
Подходы и методы
В качестве основы для совместного расчета химических и изотопных равновесий соединений железа использован программный комплекс GEOCHEQ (Мироненко и др., 2021), который ранее применялся для расчетов, включающих изотопные равновесия углерода и кислорода (Mironenko et al., 2018; Поляков и др., 2021). Это обеспечивает преемственность и совместимость с результатами расчетов равновесных изотопных эффектов этих элементов. Программный комплекс GEOCHEQ использует базу данных SUPCRT92 (Johnson et al., 1992) c более поздними дополнениями и исправлениями. Минимизация энергии Гиббса в этом комплексе проводится по методу выпуклого симплекса (De Capitani, Brown, 1987). Для учета изотопных эффектов кислорода, углерода и железа в настоящей версии программного комплекса GEOCHEQ_Isotope вместо этих элементов в качестве независимых компонентов использовались изотопы 12C, 13C, 16O, 18O, 54Fe, 56Fe, а в список веществ включены соответствующие изотопологи.
Как и в предыдущих версиях GEOCHEQ_Isotope, все расчеты в этой версии проводятся в приближении идеальности смеси изотопов. В этом приближении изотопные замещения атомов, находящихся в разных позициях, не влияют друг друга, т.е. изотопные эффекты не зависят от кратности изотопного замещения1. Это приближение неявно используется в подавляющем большинстве расчетов минералов (Schauble, 2004; Blanchard et al., 2009; Blanchard et al., 2017; Schauble, Young, 2021) и выполняется с высокой точностью для изотопов всех элементов за исключением водорода при температурах выше 100 K (Поляков, 1993). Как и в случае кислородных и углеродных изотопных эффектов, расчеты изотопных равновесий железа опираются на формализм β-фактора (Mironenko et al., 2018; Поляков и др., 2021). β-фактор железа можно выразить в терминах энергии Гиббса, аналогично тому, как это имело место для изотопов углерода и кислорода:
, (1)
где β – β-фактор, G – энергия Гиббса, P – давление, T – температура, R – универсальная газовая постоянная, z – кратность изотопного замещения, m – масса изотопа, “*" помечены величины, относящиеся к редкому изотопу. В соответствии с этим определением равновесный коэффициент разделения изотопов (αA/B) между двумя веществами A и B равен отношению их β-факторов:
, (2а)
или, учитывая |β–1| ≪ 1, в логарифмической форме для изотопного сдвига (ΔA/B):
. (2б)
Строго говоря, уравнение (1) предполагает, что все атомы элемента, подвергающегося изотопному замещению, находятся в эквивалентных позициях. Так же как для изотопных эффектов кислорода и углерода, GEOCHEQ_Isotope рассчитывает равновесное фракционирование изотопов железа между различными веществами, исключая специальные исследования внутримолекулярных (интраструктурных) и “clumped” изотопных эффектов. В этом случае уравнение (1) может быть распространено на случай нахождения атомов железа в неэквивалентных позициях. Поскольку соотношение |β-1| ≪ 1 выполняется для изотопных эффектов железа, то аналогично тому, как это делалось для изотопов углерода и кислорода, можно использовать β-фактор соединения в целом в соответствии с уравнением (Polyakov, Horita, 2021)2:
, (3)
в котором βΣ – β-фактор соединения в целом, βi – β-фактор изотополога с замещением только в i-той позиции, индекс i нумерует однозамещенные изотопологи. Так же, как и в случае изотопов углерода и кислорода, использование β-фактора соединения в целом позволяет избежать излишнего “разбухания” базы данных за счет введения информации по изотопологам разной кратности и локализации. Подобно изотопам кислорода (Поляков и др., 2021), для расчета изотопных равновесий железа в комплексе GEOCHEQ_Isotope достаточно наряду с наиболее распространенным изотопологом, содержащим 56Fe, рассмотреть 54Fe-изотопологи3. Таким образом, при расчете коэффициентов равновесного фракционирования изотопов железа в комплексе GEOCHEQ_Isotope достаточно наряду с наиболее распространенным изотопологом, содержащим атомы 56Fe, учитывать изотополог, содержащий атом 54Fe в формульной единице (z = 1), причем энергия Гиббса этого изотополога рассчитывается по уравнению (1) с использованием lnβΣ в соответствии c (3):
. (4)
В уравнении (4) звездочкой отмечены величины, относящиеся к изотопологу, содержащему 54Fe; lnβΣ по традиции относится к замещению изотопа 54Fe тяжелым изотопом 56Fe и учтено что . В отличие от изотопного замещения тяжелым изотопом, которое имело место при расчете изотопных эффектов по кислороду и углероду, замещение тяжелого изотопа 56Fe более легким изотопом 54Fe приводит к увеличению свободной энергии Гиббса.
Так же, как и в случае расчетов фракционирования углерода и кислорода в рамках комплекса GEOCHEQ_Isotope (Mironenko et al., 2018; Поляков и др., 2021), мы не учитываем влияние давления на величину β-факторов железа, которое начинает играть заметную роль только при сверхвысоких давлениях, приводящих к переходу высокий спин – низкий спин (Polyakov, 2009; Rustad, Yin, 2009; Shahar et al., 2016). Температурные зависимости β-факторов железа представлены в виде полинома по четным обратным степеням температуры, аналогично тому, как это имело место для β-факторов углерода и кислорода (Mironenko et al., 2018; Поляков и др., 2021), с той лишь разницей, что для железа достаточно использовать полином третьей степени (Polyakov, 1997; Polyakov, Mineev, 2000):
, (5)
в котором x = 106/T 2, a Ai – постоянные коэффициенты.
β- факторы железа в термодинамической базе данных GEOCHEQ_Isotope
Методы определения β-факторов железа
Также, как и в случае углеродных и кислородных изотопных эффектов (Mironenko et al., 2018; Поляков и др., 2021), точность и обоснованность расчетов по изотопным равновесиям с участием железа определяется точностью данных по β-факторам железа для минералов, которые используются в программном комплексе GEOCHEQ_Isotope. Для оценки равновесных изотопных факторов фракционирования изотопов железа применяют как теоретические, так и экспериментальные методы. Теоретические расчеты β-факторов железа в подавляющем большинстве проводятся из “первых принципов” на основе метода функционала плотности (Schauble, 2004; Blanchard et al., 2009, 2017; Rustad et al., 2010; Fujii et al., 2014; Johnson et al., 2020). Экспериментальные определения равновесных коэффициентов разделения изотопов железа используют предложенный Нортропом-Клейтоном (Northrop, Clayton, 1966) метод частичного изотопного обмена и впервые использованный Matsuhisa et al. (1978) трехизотопный метод (Welch et al., 2003; Wiesli et al., 2004; Schuessler et al., 2007; Shahar et al., 2008; Syverson et al., 2013; Frierdich et al., 2014a,b; Pokrovski et al., 2021). При этом трехизотопный метод измерения для железа является наиболее распространенным.
Наряду с указанными экспериментальными методами измерения равновесных коэффициентов разделения изотопов, которые применяются для всех элементов, для железа оказывается возможным измерение β-факторов методами упругого (мессбауровская спектроскопия) и неупругого γ-резонансного рассеяния на ядрах 57Fe (Поляков, 1995, 1999; Поляков, Минеев, 1999; Polyakov, 1997; Polyakov, Mineev, 2000; Polyakov et al., 2007, 2019; Dauphas et al., 2012, 2017, 2018). Методы γ-резонансного рассеяния применимы к измерению не только β-факторов железа, но и β-факторов другим элементов, имеющих “мессбауэровский” изотоп (Polyakov et al., 2005a, 2005b). Обоснование методов измерения γ-резонансного рассеяния заключается в выражении β-фактора в терминах кинетической энергии атома, который подвергается изотопному замещению (Поляков, Харлашина, 1989; Поляков, 1991; Polyakov, Kharlashina, 1994):
, (6)
где Δm = m* – m – разность масс замещающего (m*) и замещаемого (m) изотопов, K – кинетическая энергия атома, который подвергается изотопному замещению. Уравнение (6) справедливо в первом порядке термодинамической теории возмущений и выполняется с высокой точностью для изотопов всех элементов за исключением водорода. Уравнение (6) обеспечивает выполнение приближения идеальной смеси изотопов и является обоснованием возможности его применения (Поляков, 1993). Методы ядерного γ-резонансного рассеяния позволяют измерить кинетическую энергию колебаний изотопнозамещаемого атома для элементов, имеющих “мессбауэровский” изотоп.
В случае упругого ядерного γ-резонансного рассеяния кинетическая энергия “мессбауэровского” изотопа 57Fe пропорциональна температурному сдвигу (допплеровскому сдвигу второго порядка – SOD4) “центра тяжести” в мессбауэровских спектрах (Pound, Rebka, 1960; Josephson, 1960):
, (7)
где S – температурный сдвиг, с – скорость света, здесь и ниже индекс у массы ядра и кинетической энергии указывают к какому изотопу относятся эти величины. Подстановка (7) в (6) дает следующее выражение для β-фактора в случае фракционирования изотопов 57Fe и 54Fe (Polyakov, 1997; Поляков, 1999; Поляков, Минеев, 1999; Polyakov, Mineev, 2000):
. (8)
β-факторы для фракционирования 57Fe/54Fe и 56Fe/54Fe связаны соотношением, аналогичным таковому для величин δ57Fe и δ56Fe (см. примечание 2):
. (9)
Температурный сдвиг обычно описывают в рамках модели Дебая (Шпинель, 1969; De Grave, Van Alboom, 1991):
, (10)
где θM – температура Мессбауэра. В этой модели температурный сдвиг зависит только от температуры Мессбауэра. Таким образом, методика расчета β-фактора железа по экспериментальным мессбауэровским спектрам заключается в определении температуры Мессбауэра θM, вычислении температурного сдвига S(T) по формуле (10) и подсчета β-фактора по уравнениям (8, 9) (Поляков и др., 2001, 2019).
По результатам экспериментов по ядерному неупругому γ-резонансному рассеянию (ЯНГРР)5 на синхротроне оказывается возможным получить проекцию плотности колебательных состояний (ППКС)6 кристаллической решетки на колебания ядер “мессбауэровского” изотопа, на котором происходит γ-резонансное рассеяние (Seto et al., 1995; Sturhahn et al., 1995; Kohn et al., 1998; Kohn, Chumakov, 2000; Chumakov, Sturhahn, 1999). ППКС представляет собой не что иное, как плотность колебательных состояний мессбауэровского изотопа или его фононный спектр. В случае железа таким мессбауэровским изотопом является 57Fe. Если ППКС для изотопа 57Fe известна, то его кинетическую энергию колебаний в гармоническом приближении можно вычислить по формуле:
, (11)
где g(e) – ППКС, нормированная на единицу:
; E(e) – функция Эйнштейна,
описывающая энергию колебаний гармонического осциллятора при температуре T и частоте ν = e/h, h – постоянная Планка. Функция Эйнштейна имеет вид (kB – постоянная Больцмана):
. (12)
Подстановка (11) в (6) с учетом (12) позволяет рассчитать .
Уравнение (6) позволяет непосредственно получить β-фактор в виде полинома (5), если воспользоваться разложением Тирринга для кинетической энергии (Thirring, 1913, 1914; Housley, Hess, 1966; Polyakov et al., 2005a):
, (13)
где B2i – числа Бернулли (B2 = 1/6, B4 = 1/30, B6 = 1/42, B8 = 1/30, B10 = 5/66,…), а θ2i – характеристическая температура, которая непосредственно связана 2i-тым моментом ППКС – μ2i:
. (14)
Подстановка (13) в (6) дает выражение для lnβ в виде ряда по четным обратным степеням абсолютной температуры:
, (15)
в котором коэффициенты
выражаются через четные моменты ППКС в соответствии с (14). В случае изотопов железа сохранение трех первых членов ряда (15) оказывается достаточным для обеспечения необходимой точности при всех температурах, представляющих интерес для геохимии. Получающийся полином после простых преобразований сводится к виду (5), причем7
(i = 1.2.3). (16)
В случае модели Дебая, которая используется при описании температурного сдвига в спектрах Мессбауэра, характеристическая температура связана с температурой Мессбауэра следующим соотношением (Housley, Hess, 1966):
. (17)
Это соотношение позволяет сразу рассчитывать полином (5) по известной температуре Мессбауэра qM, используя уравнения (15) и (16).
Уравнения (13) и (14) являются основой для еще одного способа обработки синхротронных экспериментов по ЯНГРР с целью определения β-факторов железа. Этот способ базируется на методе Липкина (Lipkin, 1960, 1962, 1995), который позволяет рассчитать моменты ППКС непосредственно из моментов спектральной функции S(E), представляющей собой сигнал неупругого рассеяния синхротронного излучения, вызванного рождением и уничтожением фононов. Для первых трех четных моментов спектральной функции были получены следующие соотношения (Dauphas et al., 2012; Hu et al., 2013):
, (18)
в которых – i-тый
центральный момент спектральной функции S(E), – энергия отдачи при испускании (1.956 мэВ), E0 – резонансная энергия γ-кванта, поглощаемого ядром 57Fe (14.4125 кэВ). Для способа обработки данных синхротронных экспериментов по ЯНГРР с использованием моментов спектральной функции S(E) был разработан специальный пакет компьютерных программ SciPhon (Dauphas et al., 2018). Авторы этого способа обработки результатов утверждают, что их метод обеспечивает наиболее точные значения β-факторов железа для исследуемых минералов (Dauphas et al., 2012, 2014, 2017; Roskosz et al., 2015). Но как будет показано, это не всегда так.
Наиболее надежными значениями β-факторов железа являются те, для которых разными методами получены согласованные результаты. Такие данные должны быть положены в основу референтного набора β-факторов железа (Johnson et al., 2020) и именно они послужили основой для базы данных β-факторов железа GEOCHEQ_Isotope. Поскольку значения изотопных сдвигов между минералами, выполненные одним методом, имеют значительно меньшую погрешность чем значения β-факторов (Rabin et al., 2021), то значения β-факторов минералов, для которых имеются оценки, выполненные только одним методом, при внесении в базу данных привязывали к референтным значениям по уравнению:
(19)
в котором – изотопный сдвиг между минералом, вносимым в базу данных, и минералом, для которого имеются референтные значения, индексы “мин” и “реф” маркируют соответствующие минералы.
β-факторы для металлического железа, Fe3+-содержащих оксидов и гидроксидов
Зависимость от окислительного состояния является основным свойством фракционирования изотопов железа: в равновесии окисное железо обогащено тяжелым изотопом относительно закисного (Поляков, Минеев, 1999; Polyakov, Mineev, 2000). Анализ β-факторов для металлического железа, его оксидов и гидроксидов хорошо иллюстрирует это положение.
β-факторы для металлического железа (α-Fe). Для металлического железа есть многочисленные оценки β-факторов, сделанные разными методами (рис. 1). Наряду с теоретическими расчетами, методами, основанными на использовании мессбауэровской спектроскопии и ЯНГРР, для металлического железа возможна также оценка β-факторов по фононному спектру из экспериментов по неупругому рассеянию медленных нейтронов (Minkiewicz, 1967). Измеряемый при этом фононный спектр (плотность колебательных состояний, ПКС) относится не к изотопу 57Fe, а к природной смеси изотопов железа. Температурная зависимость β-фактора для металлического железа, рассчитанная по экспериментальным данным по неупругому рассеянию нейтронов (Minkiewicz, 1967) по методике, разработанной в (Shiryaev et al., 2020), также представлена на рис. 1. Оценки β-фактора для металлического железа из различных источников, полученные разными методами, хорошо согласуются друг с другом. Разница в оценках не превышает погрешностей, присущих используемым методикам. Это позволяет использовать значения β-фактора для металлического железа (α-Fe) в качестве референтных при построении изотопной систематики железа. В базу данных GEOCHEQ_Isotope включены коэффициенты Ai, рассчитанные усреднением данных по β-факторам для металлического железа, полученных различными методами (табл. 1).
Рис. 1. β-факторы для металлического железа (α-Fe), полученные разными методами.
Таблица 1. Коэффициенты полинома 103lnβ = A1x + A2x2 + A3x3 для расчета температурной зависимости 56Fe/54Fe β-факторов железа
Наименование | Коэффициенты полинома для расчета β18O-факторов | Литературные источники | ||
A1 | A2 × 103 | A3 × 106 | ||
1 | 2 | 3 | 4 | 5 |
Металлическое железо (α-Fe) | 0.49952 | –1.0882 | 3.8340 | Настоящая статья; Polyakov, Mineev, 2000; Schauble et al., 2001; Polyakov et al., 2007; Dauphas et al., 2012, 2017 |
Гематит (α-Fe2O3) | 0.71534 | –2.1478 | 8.9976 | Поляков и др., 2001; Polyakov et al., 2007; Rustad, Dixon, 2009; Blanchard et al., 2009; Dauphas et al., 2012,2017 |
Магнетит (Fe3O4) | 0.57688 | –1.4255 | 5.1297 | Mineev et al., 2007; Rabin et al., 2021 |
Гетит (α-FeOOH) | 0.53042 | –1.2504 | 4.5855 | Поляков, Минеев, 1999; Polyakov, Mineev, 2000; Beard et al., 2010; Frierdich et al., 2014a |
Акагенит (β-FeOOH) | 0.85186 | –3.1405 | 18.4356 | Поляков, Минеев, 1999; Polyakov, Mineev, 2000 |
Лепидокрокит (γ-FeOOH) | 0.52263 | –1.1504 | 3.9391 | Поляков, Минеев, 1999; Polyakov, Mineev, 2000 |
Берналит (Fe(OH)3) | 0.68421 | –1.9717 | 8.8384 | Поляков, Минеев, 1999; Polyakov, Mineev, 2000 |
Ильменит (FeTiO3) | 0.27163 | –0.31076 | 0.55304 | Поляков, Минеев, 1999; Polyakov, Mineev, 2000; Sossi, O’Neill, 2017 |
Феррохромит (FeCrO3) | 0.30781 | –0.39906 | 0.88048 | Поляков, Минеев, 1999; Polyakov, Mineev, 2000; Sossi, O’Neill, 2017 |
Герцинит (FeAl2O4) | 0.32675 | –0.44967 | 0.96263 | Поляков, Минеев, 1999; Polyakov, Mineev, 2000; Sossi, O’Neill, 2017 |
Ульвошпинель (Fe2TiO4) | 0.6505 | –2.3 | 0 | Rabin et al., 2021 |
Вюстит (FeO) | 0.45569 | –1.5357 | 9.8995 | Polyakov et al., 2007 |
Магнезиовюстит (Mg0.75Fe0.25O) | 0.52272 | –1.7475 | 0 | Dauphas et al., 2012 |
Fe2+ примесь (0.04 ат. %) в периклазе | 0.42992 | –0.7785 | 2.1927 | Поляков, Минеев, 1999; Polyakov, Mineev, 2000 |
Форстерит (Fe0.125Mg0.875SiO4) позиция M1 | 0.4242 | –1.425 | 0 | Rabin et al., 2021 |
Форстерит (Fe0.125Mg0.875SiO4) позиция M2 | 0.3627 | –1.086 | 0 | Rabin et al., 2021 |
Фаялит (FeSiO4) | 0.2889 | –0.746 | 0 | Rabin et al., 2021 |
Гортонолит (FeMgSiO4) | 0.3841 | –1.221 | 0 | Rabin et al., 2021 |
Геденбергит (FeCaSi2O6) | 0.3364 | –0.477 | 1.051 | Polyakov, Mineev, 2000; Rabin et al., 2021 |
Эгирин (FeNaSiO3) | 0.4242 | –0.001 | 0 | Rabin et al., 2021 |
Диопсид (Ca0.5Fe0.125Mg0.375SiO3) | 0.3636 | –0.748 | 1.051 | Rabin et al., 2021; Polyakov, Mineev, 2000 |
Энстатит (Fe0.125Mg0.875SiO3) | 0.4390 | –0.6756 | 5.130 | Rabin et al., 2021; Dauphas et al., 2012 |
Fe2+-гранат (Альмандин – Fe3Al2(SiO4)3) | 0.2477 | –0.2583 | 0.4191 | Рассчитано по θM = 296 K (Eeckhout, De Grave, 2003) |
Fe3+-гранат (Андрадит – Ca3Fe2(SiO4)3) | 0.5971 | –2.4569 | 27.56 | Крылов, Глебовицкий, 2017* |
Сидерит (FeCO3) | 0.38862 | –1.6047 | 25.00 | Blanchard et al., 2009 |
Aнкерит (CaFe0.5Mg0.5(CO3)2) | 0.3399 | –1.4419 | 24.36 | Настоящая статья по данным Blanchard et al., 2009; Ellwood et al., 1989 |
Пирит (FeS2) | 0.8523 | –3.3567 | 23.80 | Blanchard et al., 2009, 2012; Polyakov et al., 2013; Поляков и др., 2019 |
Троилит (FeS) | 0.2863 | –0.6061 | 2.882 | Polyakov et al., 2007, 2013; Dauphas et al., 2012, 2017; Krawczynski et al., 2014; Voronin et al., 2023 |
Пирротин | 0.2596 | –0.5769 | 3.0459 | Polyakov et al., 2013 |
Халькопирит | 0.5030 | –1.7817 | 11.400 | Polyakov et al., 2007, 2013 |
Марказит (FeS2) | 0.8226 | –2.8093 | 0 | Pokrovski et al., 2021 |
Макинавит (FeS) | 0.7217 | –2.714 | 0 | Pokrovski et al., 2021 |
Макинавит (FeS), неупорядоченный | 0.4195 | –0.9636 | 0 | Pokrovski et al., 2021 |
Примесь Fe в сфалерите | 0.3807 | –1.0957 | 5.939 | Polyakov et al., 2013 |
FeIII(H2O)6 3+ | 0.7433 | –6.3492 | 91.778 | Rustad et al., 2010 |
FeII(H2O)6 2+ | 0.4378 | –2.6785 | 50.481 | Rustad et al., 2010 |
FeIICl(H2O)5 + | 0.4162 | –2.5275 | 48.227 | Fujii et al., 2014 |
FeIICl2(H2O)4 | 0.3938 | –2.3779 | 46.099 | Fujii et al., 2014 |
FeIIOH(H2O)5 + | 0.4797 | –2.9933 | 55.521 | Fujii et al., 2014 |
FeII(OH)2(H2O)4 | 0.4736 | –2.9466 | 54.762 | Fujii et al., 2014 |
Fe2 II(OH)6 2– | 0.4685 | –2.9064 | 54.080 | Fujii et al., 2014 |
FeIIICl(H2O)5 2+ | 0.6695 | –5.5343 | 72.610 | Fujii et al., 2014 |
FeIIICl2(H2O)4 + | 0.6244 | –5.0773 | 62.748 | Fujii et al., 2014 |
FeIIIOH(H2O)5 2+ | 0.7810 | –6.7979 | 103.16 | Fujii et al., 2014 |
FeIII(OH)2(H2O)4 + | 0.872371 | –7.9757 | 135.56 | Fujii et al., 2014 |
FeIII(OH)3(H2O)3 | 0.88061 | –8.0865 | 138.73 | Fujii et al., 2014 |
* Рассчитано по формуле (19).
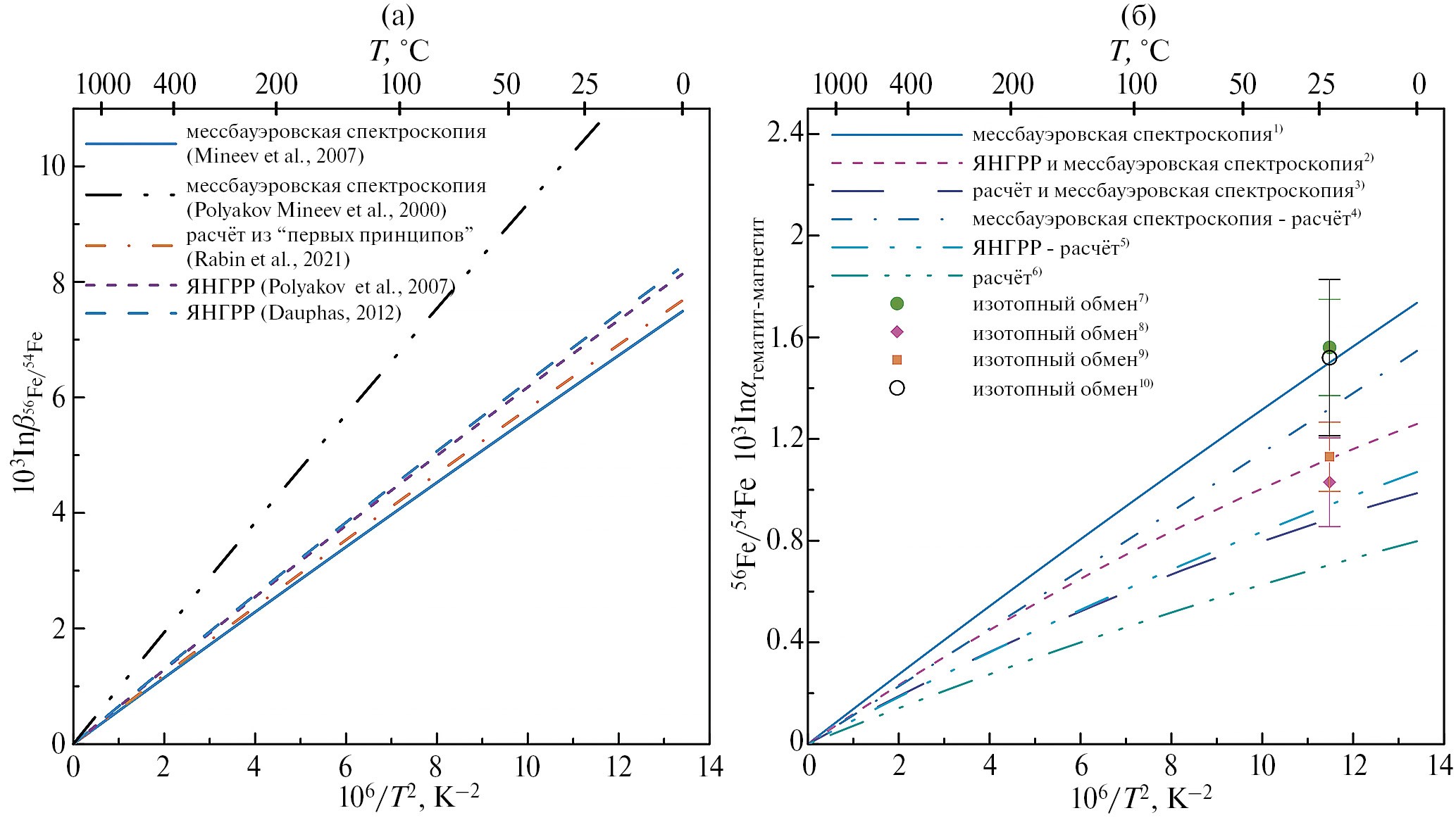
β-факторы железа для гематита. Гематит также является одним из минералов, для которых имеются оценки β-факторов, полученные различными способами (рис. 2). Значения β-фактора железа для гематита, полученные методами ЯНГРР и мессбауэровской спектроскопии, согласуются с друг другом в пределах ошибки измерений. При этом наблюдается хорошее согласие между температурными зависимостями допплеровского сдвига второго порядка, найденных по данным мессбауэровской спектроскопии (Поляков и др., 2001), и по результатам ЯНГРР экспериментов (Sturhahn et al., 1998; Sturhahn, Chumakov, 1999). Расчетные результаты (Blanchard et al., 2009) дают несколько более низкие значения, чем мессбауэровские данные и ЯНГРР. В (Rustad, Dixon, 2009) были использованы различные приближения, применяемые в расчетах “из первых принципов” с использованием функционала плотности. Вариации значений β-факторов, вызванные использованием различных приближений в этих расчетах (рис. 2), перекрывают весь диапазон погрешностей γ-резонансных методов. В целом, наблюдается хорошее согласие имеющихся данных по температурной зависимости β-фактора железа для гематита, что позволяет использовать эти значения β-фактора наряду с таковыми для металлического железа (α-Fe) в качестве референтных при согласовании экспериментов по изотопному обмену с измерениями на основе мессбауэровской спектроскопии, ЯНГРР и теоретическими расчетами (Polyakov et al., 2008; Dauphas et al., 2017). В базе данных GEOCHEQ_Isotope (табл. 1) приняты значения Ai, найденные методом мессбауэровской спектроскопии, которые, как показано ниже, обеспечивают лучшее согласие с экспериментами по изотопному обмену.
Рис. 2. β-факторы железа для гематита, полученные разными методами. Погрешности отвечают интервалу 1σ. Затененная область на рисунке маркирует значения β-факторов, которые рассчитаны методом функционала плотности с использованием различных приближений.
β-факторы железа для магнетита. В случае магнетита γ-резонансные измерения приводят к существенно различающимся значениям β-факторов железа. Первая оценка β-факторов железа, сделанная в (Поляков, Минеев, 1999; Polyakov, Mineev, 2000) на основе определенных в (De Grave et al., 1993) температур Мессбауэра для сайтов A (Fe3+) и B (Fe3+ + Fe2+), оказалась сильно завышенной (рис. 3а). Впоследствии она была скорректирована в (Mineev et al., 2007) также по данным мессбауэровской спектроскопии. Этот результат хорошо согласуется (рис. 3а) с недавними расчетами “из первых принципов” на основе функционала плотности в (Rabin et al., 2021). Оценки на основе ЯНГРР отличаются от β-факторов железа, полученных по данным мессбауэровской спектроскопии (Mineev et al., 2007) и расчетами на основе функционала плотности (Rabin et al., 2021) (рис. 3а). Оценка в (Polyakov et al., 2007) была сделана по результатам экспериментов по ЯНГРР (Seto et al., 2003), в которых использовали окисленный магнетит с соотношением сайтов A и B=1.3:1. Это позволяет объяснить завышенную оценку β-фактора, повышенным содержанием окисного железа. Для ЯНГРР экспериментов с магнетитом, по которым сделана оценка β-фактора железа в (Dauphas et al., 2012), данные по составу отсутствуют. Поэтому, причина отличия результатов (Dauphas et al., 2012) от теоретических расчетов и результатов оценки по данным мессбауэровской спектроскопии остается неясной. Для выбора калибровки β-фактора железа для магнетита целесообразно использовать результаты экспериментов по изотопному обмену. Для магнетита имеются результаты по изотопному обмену между магнетитом и водными комплексами двухвалентного железа (Frierdich et al., 2014b). Аналогичные эксперименты были проведены и с гематитом (Frierdich et al., 2019), причем использовался гематит разной дисперсности (удельная поверхность 60, 32, и 7 м2/г). Комбинируя эти два эксперимента и исключая двухвалентное железо, можно получить равновесный изотопный сдвиг между гематитом и магнетитом и сравнить с результатами мессбауэровской спектроскопии, ЯНГРР и расчетов “из первых принципов” (рис. 3б). Равновесный изотопный сдвиг можно также получить, комбинируя данные лабораторных экспериментов по изотопному обмену между гематитом и (Skulan et al., 2002), и (Welch et al., 2003) с упомянутыми выше результатами по изотопному обмену между магнетитом и Feaq 2+, аналогично тому, как это было сделано для оценки фракционирования между гематитом и сидеритом в (Blanchard et al., 2009). Как следует из рис. 3б, хорошее согласие наблюдается между результатами по изотопному обмену с использованием частиц гематита с удельной поверхностью 7 м2/г (средний размер частиц свыше 0.1 мкм) и оценками на основе мессбауэровской спектроскопии8. Использование рассчитанных “из первых принципов” β-факторов для магнетита (Rabin et al., 2021) в сочетании с β-факторами для гематита, полученными по данным мессбауэровской спектроскопии, также приводит к согласию с результатами по изотопному обмену в пределах погрешности экспериментальных данных.
Рис. 3. β-факторы магнетита (а) и равновесный коэффициент фракционирования гематит-магнетит (б), определенные разными методами.
1)по данным (Поляков и др., 2001; Polyakov et al., 2007) – гематит, (Mineev et al., 2007) – магнетит, мессбауэровская спектроскопия;
2)по данным (Dauphas et al., 2012, 2017) – гематит, ЯНГРР, (Mineev et al., 2007) – магнетит, мессбауэровская спектроскопия;
3)по данным (Blanchard et al., 2009) – гематит, расчет из “первых принципов”, (Mineev et al., 2007) – магнетит, мессбауэровская спектроскопия;
4)по данным (Polyakov et al., 2007) – гематит, мессбауэровская спектроскопия, (Rabin et al., 2021) – магнетит, расчет из "первых принципов";
5)по данным (Dauphas et al., 2012, 2017) – гематит, ЯНГРР, (Rabin et al., 2021) – магнетит, расчет из "первых принципов";
6)по данным (Blanchard et al., 2009) – гематит, (Rabin et al., 2021) – магнетит, расчет из "первых принципов";
7)по данным (Frierdich et al., 2019) – гематит удельная поверхность 7 м2/г, (Frierdich et al., 2014b) – магнетит, изотопный обмен минералов с;
8)по данным (Frierdich et al., 2019) – гематит удельная поверхность 32 м2/г, (Frierdich et al., 2014b) – магнетит, изотопный обмен минералов с ;
9)по данным (Frierdich et al., 2019) – гематит удельная поверхность 60 м2/г, (Frierdich et al., 2014b) – магнетит, изотопный обмен минералов с ;
10)по данным (Skulan et al., 2002) – изотопный обмен гематит – , (Welch et al., 2003) – изотопный обмен гематит – , (Frierdich et al., 2014b) – изотопный обмен магнетит – .
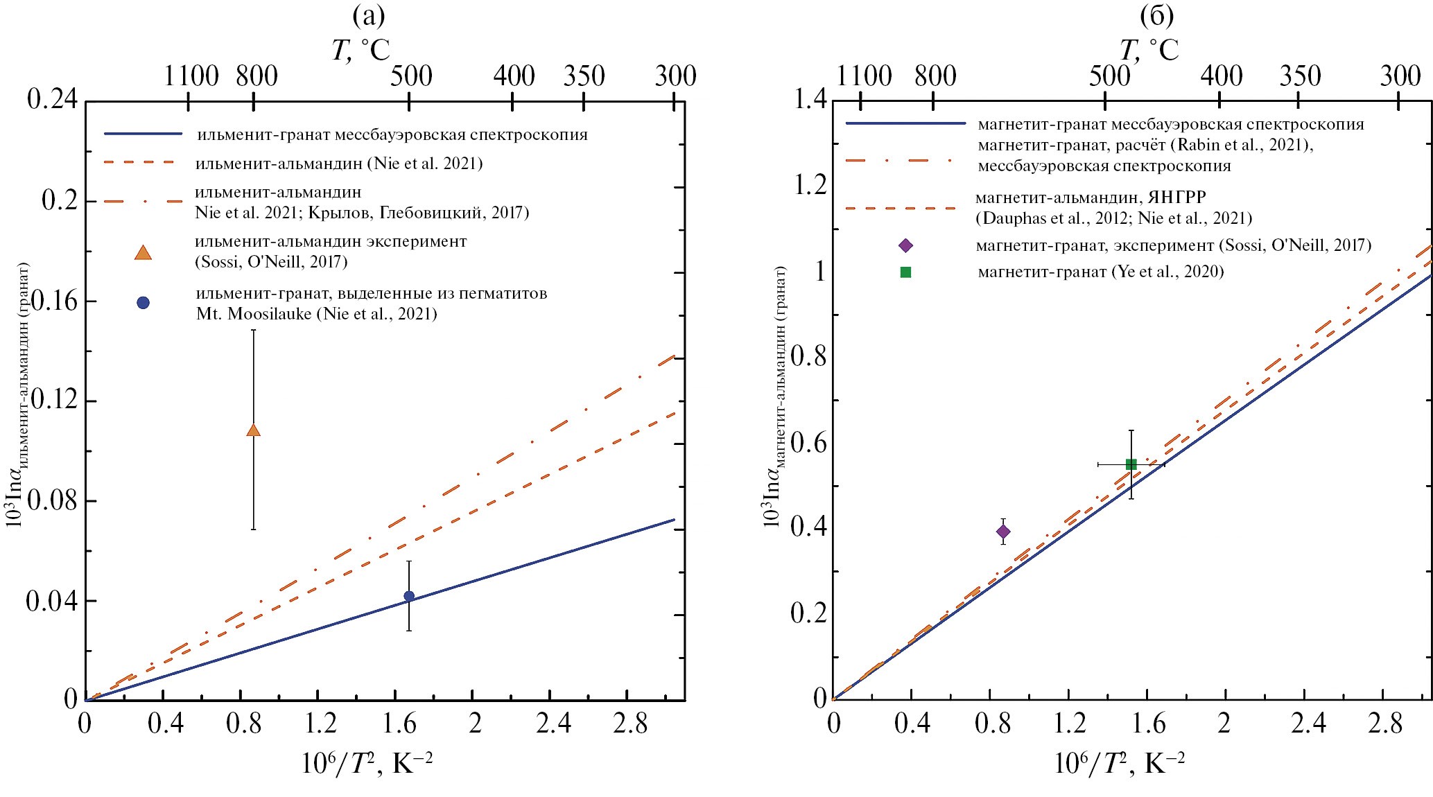
Эмпирическая калибровка геотермометра магнетит-гранат на основе изотопов железа (Ye et al., 2020) также находится в удовлетворительном согласии c оценками β-факторов железа для магнетита на основе мессбауэровской спектроскопии и расчетов “из первых принципов”. При температуре 811 ± 39 K, оцененной по кислородному изотопному геотермомету и геотермометру биотит-гранат-амфибол (Fe-Mg обмен), изотопный сдвиг между магнетитом и гранатом Δ56Feмагнетит-гранат оказался равен 0.55‰ ± 0.08 (Ye et al., 2020), в то время как оценка по данным мессбауэровский спектроскопии составляет 0.50‰ (магнетит по (Mineev et al., 2007), гранат по (Ye et al., 2020) с использованием θM = 296 K из (Eeckhout, De Grave, 2003)), а аналогичная оценка с использованием расчетов “из первых принципов” (Rabin et al., 2021) дает 0.53 ‰.
В базе данных GEOCHEQ_Isotope приняты значения коэффициентов Ai, полученные по данным мессбауэровской спектроскопии (Mineev et al., 2007) (табл. 1), которые согласуются с результатами лабораторных экспериментов и расчетами “из первых принципов” (Rabin et al., 2021).
β-факторы железа для гетита (α-FeOOH), акагенита (β-FeOOH), лепидокрокита (γ-FeOOH) и берналита (Fe(OH)3). Еще одним минералом, для которого имеются противоречивые данные по равновесным изотопным факторам железа является гетит. Первые оценки β-факторов железа для гетита были сделаны по мессбауэровским данным (Поляков, Минеев, 1999; Polyakov, Mineev, 2000) на основе экспериментов с хорошо сформированными кристаллами гетита микронных размеров (De Grave, Vandenberghe, 1986). Впоследствии β-факторы железа для гетита были также определены из экспериментов по ЯНГРР на синхротроне (Dauphas et al., 2012; Blanchard et al., 2015) и по результатам расчетов “из первых принципов” (Blanchard et al., 2015). Кроме того, для гетита есть результаты изотопных обменных экспериментов с водными комплексами двухвалентного железа (Beard et al., 2010; Frierdich et al., 2014a). Результаты мессбауэровских исследований и лабораторных экспериментов по изотопному обмену хорошо согласуются с друг другом (рис. 4). Эксперименты ЯНГРР обрабатывались с использованием метода моментов спектральной функции. Именно эти эксперименты (Dauphas et al., 2012; Blanchard et al., 2015) стали установочными для самого метода. Завышенные значения β-факторов, полученные в первых экспериментах (Dauphas et al., 2012), были затем уточнены за счет проведения экспериментов в более широком интервале энергий и улучшения алгоритма обработки данных (Blanchard et al., 2015). Тем не менее осталась существенная разница между значениями β-факторов из экспериментов по ЯНГРР и значениями, полученными другими методами (рис. 4). В свою очередь β-факторы железа для гетита, рассчитанные “из первых принципов”, отличаются как от β-факторов из мессбауэровских экспериментов, так и от β-факторов, найденных методом ЯНГРР (рис. 4). Несмотря на согласие β-факторов, определенных методами мессбауэровской спектроскопии, с экспериментами по изотопному обмену, в настоящее время нельзя утверждать, что именно эти значения β-факторов являются окончательными. Требуются дальнейшие исследования, которые подтвердили бы их правильность, в частности, необходимы эксперименты по изотопному обмену с более крупными кристаллами гетита. Тем не менее, в соответствии с опубликованными к настоящему моменту результатами в базе данных GEOCHEQ_Isotope используются коэффициенты Ai для расчета β-факторов гетита из мессбауэровских экспериментов (De Grave, Vandenberghe, 1986, Поляков, Минеев, 1999; Polyakov, Mineev, 2000) поскольку именно они согласуются с экспериментами по изотопному обмену (табл. 1).
Рис. 4. Равновесное фракционирование изотопов железа между гетитом и гематитом.
μ-гетит – кристаллы гетита микронного размера;
n-гетит – наноразмерные кристаллы гетита.
β-факторы железа для акагенита к настоящему времени определены только на основе мессбауэровской спектроскопии (Поляков, Минеев, 1999; Polyakov, Mineev, 2000). Они и использованы в базе данных GEOCHEQ_Isotope (табл. 1). Мессбауэровские температуры были взяты из работы (Chambaere et al., 1984), в которой мессбауэровский спектр был описан в виде двух дублетов, температурный сдвиг, которых описывали моделью Дебая с температурами Мессбауэра 585 и 495 К при соотношении площадей пиков 60 : 40. Столь большая разница в температурах и то, что соотношение площадей пиков изменяется от образца к образцу (Childs et al., 1980), свидетельствуют о необходимости дальнейших исследований для уточнения β-факторов железа для акагенита.
Ситуация для лепидокрокита в целом аналогична той, которая имеет место для акагенита. Ai для расчета β-факторов лепидокрокита в базе данных GEOCHEQ_Isotope взяты по данным мессбауэровской спектроскопии из (Поляков, Минеев, 1999; Polyakov, Mineev, 2000). Температура Мессбауэра θM = 430 ± 15 K определена в (De Grave, Van Alboom, 1991).
Для берналита также имеются оценки β-факторов только на основе мессбауэровской спектроскопии (Поляков, Минеев, 1999; Polyakov, Mineev, 2000). Температура Мессбауэра θM = 495 ± 30 K (McCammon et аl., 1995). Коэффициенты Ai для расчета β-факторов берналита рассчитаны по этому значению θM.
β-факторы двухвалентного железа для оксидов
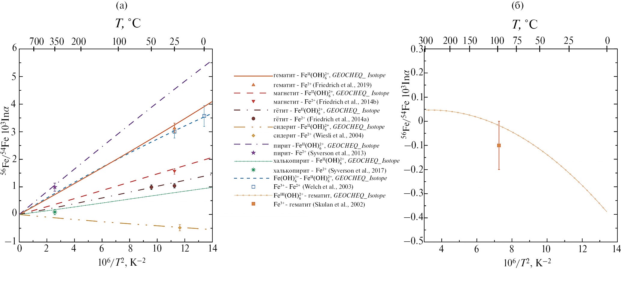
Анализ имеющихся данных по β-факторам Fe2+ для оксидов необходимо провести с учетом их согласования с уже включенными в GEOCHEQ_Isotope β-факторами железа минералов. В этой связи на рис. 5 представлены температурные зависимости равновесных коэффициентов фракционирования изотопов железа между оксидами, содержащими двухвалентное железо, и магнетитом, значения β-факторов железа для которого уже включены в GEOCHEQ_Isotope и для которого проведено согласование данных, полученных разными методами. Для этой группы минералов наряду с измерениями β-факторов железа γ-резонансными методами и расчетами “из первых принципов” представляют интерес эксперименты по изотопному обмену (Sossi, O’Neill, 2017). При существенном расхождении в оценках β-факторов они являются важным аргументом для включения тех или иных значений β-факторов в базу GEOCHEQ_Isotope.
Рис. 5. Равновесное фракционирование между магнетитом и оксидами двухвалентного железа по данным GEOCHEQ_Isotope.
Среди оксидов двухвалентного железа наиболее изученным в отношении β-факторов железа является ильменит (FeTiO3), для которого имеются оценки на основе мессбауэровской спектроскопии, ЯНГРР и расчетов из “первых принципов” (Поляков, Минеев, 1999; Polyakov, Mineev, 2000; Williams et al., 2016; Dauphas et al., 2017; Nie et al., 2021). Эти оценки существенным образом разнятся. Для ильменита имеются также данные по изотопному обмену между магнетитом и ильменитом, выполненные при 800 °С (Sossi, O’Neill, 2017). Для равновесного 56Fe/54Fe изотопного сдвига железа между магнетитом и ильменитом эти авторы получили Δ = 0.285 ± 0.031‰. При этой температуре, 800 °С, и использовании в качестве 56Fe/54Fe β-фактора магнетита значения, принятого в базе GEOCHEQ_Isotope (табл. 1), оценка на основе 56Fe/54Fe β-фактора ильменита по данным мессбауэровской спектроскопии, который характеризуется температурой Мессбауэра θM = 310 K (⟨F⟩ = 93.4 Н/м) (Поляков, Минеев, 1999; Polyakov, Mineev, 2000) дает: Δ = 0.264 ± 0.042‰ (рис. 5). В то же время оценки 56Fe/54Fe β-факторов ильменита на основе экспериментов по ЯНГРР и расчетов из “первых принципов” (Williams et al., 2016; Dauphas et al., 2017; Nie et al., 2021; Prissel et al., 2024) в сочетании с 56Fe/54Fe β-фактором магнетита из GEOCHEQ_Isotope приводят к значениям 56Fe/54Fe изотопного сдвига: Δ = 0.115 ‰ (ЯНГРР) и Δ = 0.165 ‰ при той же температуре 800 °С. Следует подчеркнуть, что в этих работах (Dauphas et al., 2017; Nie et al., 2021) рекомендовано использовать для 56Fe/54Fe β-фактора магнетита значения, найденные методом ЯНГРР в (Polyakov et al., 2007; Dauphas et al., 2017) что в сочетании с рекомендованными в (Dauphas et al., 2017; Nie et al., 2021) 56Fe/54Fe β-факторами для ильменита дает приемлемое согласие с экспериментами (Sossi, O’Neill, 2017). Но как показано выше, эти значения β-факторов магнетита не согласуются с экспериментами по изотопному обмену между гематитом и магнетитом. Таким образом, из имеющихся данных только значения β-факторов ильменита на основе мессбауэровской спектроскопии согласуются с имеющимися оценками по изотопному обмену. Именно эти значения и внесены в базу данных GEOCHEQ_Isotope (табл. 1).
Разными методами были также оценены β-факторы для оксидов двухвалентного железа, имеющих структуру шпинели. β-факторы железа для феррохромита (FeCr2O4) были определены методом мессбауэровской спектроскопии (Поляков, Минеев, 1999; Polyakov, Mineev, 2000). Имеются также данные по изотопному обмену при 800 °С (Sossi, O’Neill, 2017). Имеются также оценки средней силовой постоянной ⟨F⟩ для феррохромита, сделанные в этой же статье с использованием ионной модели на основе уравнения Борна-Ланде по методу, предложенному в (Young et al., 2009). В пределах погрешностей расчетов и экспериментов наблюдается согласие оценок равновесного фракционирования между магнетитом и феррохромитом на основе мессбауэровской спектроскопии и изотопного обмена (рис. 5). 56Fe/54Fe равновесный изотопный сдвиг между магнетитом и феррохромитом в экспериментах по изотопному обмену при 800 °С равен 0.21 ± 0.03‰ (Sossi, O’Neill, 2017). Для того, чтобы удовлетворить этому значению используя подход на основе уравнения Борна-Ланде приходится использовать степень ионности связи FeO равной 0.36, что приводит к увеличению средней силовой постоянной как магнетита, так и гематита. В последнем случае вместо референтного значения средней силовой постоянной ⟨F⟩ = 245 Н/м, приходится использовать значения ⟨F⟩ = 321 Н/м. В связи с вышесказанным в GEOCHEQ_Isotope внесены β-факторы железа для феррохромита (FeCrO3), полученные по данным мессбауэровской спектроскопии.
Для MgFeAl шпинели имеются оценки β-факторов, полученные разными методами. Детальное исследование соединений общей формулы Mg1-xFexAl2-yFeyO4 проведено методом ЯНГРР (Roskosz et al., 2015). Для соединения Mg0.9Fe0.1Al2O4 есть оценка на основе мессбауэровской спектроскопии. Эксперименты по изотопному обмену с участием конечного члена, герцинита (FeAl2O4), представлены в работе (Sossi, O’Neill, 2017). На рис. 5 проведено сравнение 56Fe/54Fe равновесного изотопного сдвига между магнетитом и шпинелью Mg0.9Fe0.1Al2O4 на основе мессбауэровской спектроскопии (Поляков, Минеев, 1999; Polyakov, Mineev, 2000) с результатами экспериментов по изотопному обмену при 800 °С между магнетитом и герцинитом (Sossi, O’Neill, 2017). Наблюдается небольшая, не превышающая пределов погрешностей данных мессбауэровской спектроскопии и экспериментов по изотопному обмену, разница в оценках изотопных сдвигов, которая может быть обусловлена присутствием магния в химической формуле шпинели в мессбауэровских экспериментах. β-факторы железа шпинели соответствуют температуре Мессбауэра θM = 340 ± ± 20 K (⟨F ⟩ = 112 ± 14 Н/м). Если принять значение θM = 360 К (⟨F ⟩ = 121 ± 14 Н/м), то равновесный изотопный сдвиг между магнетитом и герцинитом, рассчитанный с использованием этой температуры Мессбауэра, будет совпадать с изотопным сдвигом, полученным в экспериментах по изотопному обмену при 800 °C: Δ = 0.18‰ (рис. 5). Рекомендация на основании экспериментов по ЯНГРР использовать для двухвалентного железа в MgFeAl шпинели значение средней силовой постоянной равной 190 Н/м (Roskosz et al., 2015; Nie et al., 2021), не согласуется со значением β-фактора магнетита (табл. 1), принятым в GEOCHEQ_Isotope в качестве референтного. В этом случае для 56Fe/54Fe фракционирования между магнетитом и герцинитом при 800°C равновесный изотопный сдвиг равен 0.02 ‰, что противоречит экспериментам по изотопному обмену (Sossi, O’Neill, 2017). Следует отметить, что рекомендация 190 Н/м для Fe2+ в MgFeAl шпинели не удовлетворяет экспериментам по изотопному обмену и в случае использования предложенного в (Nie et al., 2021) значения 230 Н/м для средней силовой постоянной магнетита. В этом случае изотопный сдвиг между магнетитом и Fe2+ в MgFeAl шпинели составляет 0.10‰, что также находится за пределами погрешности эксперимента по изотопному обмену между магнетитом и герцинитом (Sossi, O’Neill, 2017). В базу данных GEOCHEQ_Isotope для герцинита внесены коэффициенты Ai, отвечающие температуре Мессбауэра равной 360 K.
Для ульвошпинели (Fe2TiO4) имеются значения β-факторов железа, рассчитанные “из первых принципов” (Rabin et al., 2021), и оценка на основе уравнения Борна-Ланде (Sossi, O’Neill, 2017). При использовании ионности I = 0.47 результаты приближенного расчета находятся в разумном согласии с расчетами “из первых принципов” (Rabin et al., 2021). Среди всех шпинелей, для которых имеются данные по Fe2+ β-факторам железа, ульвошпинель обладает наиболее высоким значениями. В GEOCHEQ_Isotope внесены результаты расчетов (Rabin et al., 2021) “из первых принципов” (табл. 1; рис. 5).
Для вюстита имеются данные по β-факторам железа, рассчитанные в (Polyakov et al., 2007) по ППКС на колебания 57Fe в экспериментах по ЯНГРР (Struzhkin et al., 2001, 2004). Результаты этих расчетов показаны на рис. 5, а в табл. 1 приведены соответствующие полиномиальные коэффициенты Ai. Интересно отметить, что β-фактор железа в магнезиовюстите (ферропериклазе) Fe0.25Mg0.75O существенно превышает β-фактор вюстита. В соответствии с этим изотопный сдвиг между магнетитом и магнезиовюститом меньше, чем соответствующий сдвиг между магнетитом и вюститом (рис. 5). В GEOCHEQ_Isotope используют для магнезиовюстита значения β-факторов, рассчитанные в (Dauphas et al., 2012) по данным опубликованным в (Lin et al., 2006). По данным мессбауэровской спектроскопии (Leider, Pipkorn, 1968) была также проведена оценка β-фактора для малого количества (~ 0.04 at. %) примеси Fe2+ в периклазе (Polyakov, Mineev, 2000). β-фактор примеси Fe2+ в периклазе оказался несколько меньше, чем β-фактор железа для вюстита (табл. 1; рис. 5). Более точная оценка зависимости β-фактора железа от количества примеси Fe2+ в периклазе требует дальнейших исследований.
β-факторы железа для силикатов
Равновесные изотопные факторы железа для силикатов также, как и в случае оксидов оценены разными методами. Наряду с оценками β-факторов, сделанных γ-резонансными методами (мессбауэровская спектроскопия, ЯНГРР) и расчетами “из первых принципов”, были также проведены эксперименты по изотопному обмену в лабораторных условиях (Shahar et al., 2008; Sossi, O’Neill, 2017). Также, как и в случае оксидов, мы будем отдавать предпочтение тем значениям β-факторов, для которых имеются согласующиеся результаты, полученные разными методами.
β-факторы железа для оливинов. Для оливина (форстерита, фаялита) имеются оценки β-факторов, сделанные разными методами. Подробные расчеты “из первых принципов” были недавно проведены как для различных позиций железа в форстерите, так и для фаялита (Rabin et al., 2021). Основным качественным результатом этих расчетов явилось, то, что β-факторы железа для форстерита и фаялита заметно отличаются. Для форстерита (Mg2-xFexSiO4) β-фактор зависит от того, какая из двух возможных неэквивалентных позиций катиона (M1, M2) замещается железом (рис. 6а). В случае фаялита β-фактор железа оказывается существенно ниже (рис. 6а). Это же следует и из экспериментов по ЯНГРР (Dauphas et al., 2014; Nie et al., 2021). Однако значения β-факторов (рис. 6а), полученные в этих экспериментах, значительно превосходят результаты расчетов “из первых принципов” (Rabin et al., 2021). Рассчитанные из “первых принципов” (Rabin et al., 2021) значения β-факторов железа для форстерита, в принципе, согласуются с измеренным методом мессбауэровской спектроскопии β-фактором природного образца оливина, который оказывается близок к β-фактору при замещении катиона магния железом в позиции M1, что часто наблюдается для природных оливинов. Выбор между этими результатами в GEOCHEQ_Isotope проведен на основе сравнения с экспериментами по изотопному обмену (рис. 6б). Эксперименты по изотопному обмену, целью которых было определение равновесного коэффициента фракционирования изотопов железа, и в которых участвовал фаялит, были проведены как с использованием “трехизотопного метода” (Shahar et al., 2008), так и методом “приближения с разных сторон” (Sossi, O’Neill, 2017). Для обоих экспериментов можно рассмотреть фракционирование изотопов железа между магнетитом и фаялитом. В серии экспериментов в (Shahar et al., 2008) равновесие было достигнуто только в одном (QFM8) при 800 °C. 56Fe/54Fe равновесный изотопный сдвиг между магнетитом и фаялитом в этом эксперименте был равен 0.25 ± 0.04 ‰. При этой же температуре в (Sossi, O’Neill, 2017) получено значение 0.29 ± 0.04‰ (рис. 6б). Соответствующая оценка с использованием β-фактора магнетита, принятого GEOCHEQ_Isotope, и β-фактора, рассчитанного в (Rabin et al., 2021), дает 56Fe/54Fe Δe = 0.25‰. Это находится в согласии с результатами (Sossi, O’Neill, 2017) и (Shahar et al., 2008) в пределах экспериментальных погрешностей (рис. 6б). Значения β-факторов железа для фаялита, предложенные в результате экспериментов по ЯНГРР и расчетов “из первых принципов” в (Nie et al., 2021) не согласуются с результатами экспериментов по изотопному обмену при их совместном использовании с β-факторами железа для магнетита, принятыми в GEOCHEQ_Isotope (рис. 6б). Следует подчеркнуть, что даже при использовании значений β-факторов железа для магнетита (Dauphas et al., 2012; Polyakov et al., 2007) и фаялита ((Nie et al., 2021), которые рекомендованы в (Nie et al., 2021) на основании экспериментов по ЯНГРР, расхождения с результатами по изотопному обмену (Sossi, O’Neill, 2017; Shahar et al., 2008) превосходят экспериментальные погрешности (рис. 6б). На основании вышеприведенного анализа в базе GEOCHEQ_Isotope приняты значения коэффициентов Ai для расчета β-факторов железа для фаялита и форстерита по (Rabin et al., 2021) (табл. 1). Мы также включили в базу данных GEOCHEQ_Isotope рассчитанные в (Rabin et al., 2021) значения для Ai для гортонолита (MgFeSiO4), метод расчета которых аналогичен таковым для фаялита и форстерита (табл. 1).
Рис. 6. Сравнение β-факторов железа для фаялита и форстерита, полученных разными методами.
(а) Сравнение γ-резонансных и расчетных методов оценки β-факторов.
(б) Сравнение равновесного изотопного сдвига между магнетитом и фаялитом, полученного разными методами, с экспериментами по изотопному обмену.
β-факторы железа для пироксенов оценивали методами γ-резонансной спектроскопии и расчетами “из первых принципов”. Также возможно сравнение полученных результатов с измерениями изотопного состава железа для природных образцов. Для конечных железистых членов моноклинных пироксенов эгирина (FeNaSi2O6) и геденбергита (FeCaSi2O6) имеются оценки, полученные методами мессбауэровской спектроскопии (Polyakov, Mineev, 2000) и расчетами “из первых принципов” (Rabin et al., 2021). Для геденбергита эти оценки согласуются с высокой точностью, что было ранее отмечено в (Rabin et al., 2021). Они согласуются также с измерениями изотопного состава природных образцов (Dauphas et al., 2007). Значения коэффициентов Ai для геденбергита, принятые в GEOCHEQ_Isotope, приведены в табл. 1. Для трехвалентного железа в эгирине оценки для β-факторов по данным мессбауэровской спектроскопии и расчетам “из первых принципов” существенно расходятся (Rabin et al., 2021). Мессбауэровские эксперименты, по результатам которых рассчитано значение θM, использованное для оценки β-фактора эгирина, были проведены при шести температурах в интервале 30 ÷ 480 K (De Grave et al., 1998). Температурная зависимость изменения “центра тяжести” мессбауэровского спектра представляет собой достаточно гладкую монотонную кривую (рис. 7а). Однако если выделить ту часть температурного сдвига “центра тяжести” мессбауэровского спектра, которая обусловлена квантовыми эффектами, и по которой рассчитывается величина θM, то окажется, что ее температурная зависимость не является гладкой и носит такой характер только при низких температурах (рис. 7а). При высоких температурах величина квантовых эффектов мала и погрешности измерений превышают квантовые эффекты. Это приводит к искажению значения θM. Если использовать все шесть температурных точек, то значение θM = 539 ± 33 K, что полностью согласуется с θM = 540 в (De Grave et al., 1998). Но использование результатов при трех наиболее низких температурах дает θM = 479 ± 5 K (рис. 7а). Оценка β-фактора эгирина на основе этого значения (рис. 7б) находится в хорошем согласии с расчетом “из первых принципов” (Rabin et al., 2021). Это свидетельствует о том, что необходимо с осторожностью относится к результатам измерения температуры Мессбауэра θM, если для ее оценки были использованы мессбауэровские измерения при температурах выше 0.6θM. β-факторы эгирина, рассчитанные “из первых принципов” (Rabin et al., 2021), включены в базу данных GEOCHEQ_Isotope (табл. 1).
Рис. 7. Результаты измерения температурного сдвига (SOD) в спектрах Мессбауэра (а) и сравнение β-факторов железа для эгирина, рассчитанных “из первых принципов” и определенных по результатам мессбауэровских измерений (б).
При температурах, превышающих 200 K, квантовая добавка в SOD становится малой и наблюдаются “скачки” в температурной зависимости квантовой части SOD. Это приводит к неправильной оценке температуры Мессбауэра (см. текст), результаты оценки которой существенно различаются: 539 K при использовании всех шести измерений и 479 K при использовании только трех низкотемпературных измерений. Последняя оценка приводит к значениям β-факторов железа для эгирина, которые согласуются с результатами расчетов “из первых принципов”.
β-факторы железа подсчитаны из первых принципов для двух пироксенов: диопсида и авгита (Rabin et al., 2021). Для диопсида есть также значения, полученные по данным мессбауэровской спектроскопии (Polyakov, Mineev, 2000). Разница в значениях β-факторов железа была признана незначительной (Rabin et al., 2021). С нашей точки зрения значения β-факторов, рассчитанные в (Rabin et al., 2021), являются более надежными, поскольку при оценке β-факторов для диопсида были использованы результаты измерений при температурах, существенно превышающих 0.6θM. Для того, чтобы добиться согласования с уже введенными в GEOCHEQ_Isotope значениями β-факторов для геденбергита, мы рассчитали разницу в значениях lnβ между диопсидом и геденбергитом по (Rabin et al., 2021) и прибавили ее к lnβ для геденбергита. Полученные значения lnβ для диопсида включены в GEOCHEQ_Isotope. Соответствующие им коэффициенты Ai даны в табл. 1. Аналогичным образом мы поступили в случае с авгитом, Ai для расчета lnβ которого также представлены в табл. 1. Для энстатита имеются оценки β-факторов, сделанные методом ЯНГРР (Dauphas et al., 2012), расчетом “из первых принципов” (Rabin et al., 2021) и на основе мессбауэровской спектроскопии (Polyakov, Mineev, 2000). Несмотря на различие в значениях β-факторов, изотопные сдвиги между энстатитом и магнетитом, полученные расчетом “из первых принципов” (Rabin et al., 2021) и методом ЯНГРР (Dauphas et al., 2012) практически совпадают с друг другом. Поскольку β-факторы магнетита являются референтными мы рассчитали lnβ железа для энстатита (табл. 1) как сумму значений lnβ для магнетита и изотопного сдвига энстатит-магнетит по уравнению (19).
β-факторы железа для гранатов. Как показывают лабораторные эксперименты и исследования природных образцов Fe2+ содержащие гранаты обогащены легким изотопом по сравнению с другими силикатами, содержащими закисное железо (Sossi, O’Neill, 2017; Ye et al., 2020). Расчеты “из первых принципов” β-факторов железа для содержащего Fe2+ альмандина (Крылов, Глебовицкий, 2017; Nie et al., 2021) согласуются между собой (⟨F⟩ = 118 и 120 Н/м соответственно). β-факторы железа для альмандина, полученные методом ЯНГРР, дают ⟨F⟩ = 110 Н/м (Nie et al., 2021). Для природного граната, содержащего только Fe2+(Mn2.02Fe1.02Al2.04Ca0.02Si2.94O12.00), имеется также оценка θM = 296 K (Eeckhout, De Grave, 2003), которая соответствует ⟨F⟩ = 85 Н/м. Для включения значений β-факторов Fe2+ содержащих гранатов (альмандина) в базу данных GEOCHEQ_Isotope мы рассмотрели фракционирование изотопов между альмандином и минералами, уже включенными в GEOCHEQ_Isotope. Для этой цели мы привлекли как экспериментальные результаты по фракционированию изотопов железа (Sossi, O’Neill, 2017), так и данные по фракционированию в природных условиях (Nie et al., 2021; Ye et al., 2020). Мы рассмотрели фракционирование альмандина (Fe2+-граната) с референтным минералом – магнетитом, и ильменитом, для которого также имеются данные, полученные разными методами (рис. 8). Как видно из рис. 8а, изотопный сдвиг, наблюдаемый в экспериментах Sossi, O’Neill, 2017) между ильменитом и альмандином, существенно превосходит оценки, сделанные на основе первых принципов (Nie et al., 2021), и значительно отличается от фракционирования между природными образцами ильменита и Fe2+-граната (Nie et al., 2021). Очень хорошее согласие наблюдается для изотопного сдвига ильменит-Fe2+-гранат в природных условиях (Nie et al., 2021) и его оценкой по данным мессбауэровской спектроскопии, которая основана на включенных в GEOCHEQ_Isotope значениях β-факторов железа для ильменита и рассчитанных по θM = 296 K (Eeckhout, De Grave, 2003) β-факторах для Fe2+-граната (рис. 8а). Оценка по данным мессбауэровской спектроскопии согласуется в пределах ошибки измерений и с наблюдаемым (Ye et al., 2020) в природных условиях фракционированием между магнетитом и Fe2+-гранатом (рис. 8б).
Рис. 8. 56Fe/54Fe фракционирование между ильменитом (а) и магнетитом (б) и Fe2+-гранатом (альмандином).
Хорошее согласие (рис. 8б) с этими результатами достигается и при совместном использовании β-факторов, полученных в экспериментах по ЯНГРР: для магнетита по (Dauphas et al., 2012), для альмандина по (Nie et al., 2021). Это было ранее отмечено в (Ye et al., 2020). Но поскольку β-факторы железа для магнетита, полученные методом ЯНГРР (Dauphas et al., 2012) не согласуются с экспериментами по изотопному обмену между магнетитом и гематитом (рис. 3б), мы не можем включить β-факторы, предложенные в (Nie et al., 2021), в базу GEOCHEQ_Isotope. Согласие оценки изотопного сдвига между магнетитом и Fe2+-гранатом на основе β-факторов железа для магнетита, рассчитанных “из первых принципов” (Rabin et al., 2021), и β-факторами для Fe2+-граната, полученными по данным мессбауэровской спектроскопии, также свидетельствует о целесообразности включения последних в базу GEOCHEQ_Isotope (табл. 1). Также, как и в случае с изотопным сдвигом ильменит-альмандин (рис. 8а), экспериментальные значения изотопного сдвига между магнетитом и альмандином в (Sossi, O’Neill, 2017) несколько превосходят оценки, полученные другими авторами и другими методами (рис. 8б).
Для β-факторов Fe3+ содержащих гранатов, существует только единственная оценка (Крылов, Глебовицкий, 2017) для андрадита (Ca3Fe2(SiO4)3). Эта оценка выполнена методом расчета» из первых принципов» с использованием того же математического обеспечения и тем же алгоритмам, что и расчет для альмандина. Мы согласовали данные по β-факторам для Fe3+-гранатов с включенными в GEOCHEQ_Isotope β-факторами для Fe3+-гранатов по следующему алгоритму, аналогичному описанному формулой (19):
, (20)
где верхний индекс GI обозначает β-факторы для гранатов, внесенные в базу GEOCHEQ_Isotope, а индексы анд и алн – андрадит и альмандин, соответственно. Соответствующие коэффициенты Ai приведены в табл. 1.
β-факторы железа для карбонатов
Для сидерита (FeCO3) наблюдается хорошее согласие между расчетами β-факторов “из первых принципов” (Blanchard et al., 2009) и результатами мессбауэровской спектроскопии (Polyakov, Mineev, 2000, по данным De Grave, Van Alboom, 1991). Сравнительный анализ этих оценок проведен в (Blanchard et al., 2017). В (Johnson et al., 2020) среднее значение указанных оценок для сидерита включено в набор наиболее надежных данных для β-факторов железа. В то же время несколько лучшее согласие с результатами эксперимента по изотопному обмену c растворенным в воде Fe2+ наблюдается для β-факторов сидерита, рассчитанных из первых принципов (Johnson et al., 2020). По этой причине именно результаты расчетов β-факторов для сидерита “из первых принципов” (Blanchard et al., 2009, 2017) включены в базу GEOCHEQ_Isotope.
Наряду с сидеритом имеются также оценки β-факторов железа для анкерита (CaFe0.5Mg0.5(CO3)2), выполненные на основе данных мессбауэровской спектроскопии. В базу данных внесены β-факторы анкерита, рассчитанные по результатам мессбауровских измерений (Elwood et al., 1989). Для того, чтобы привязать β-факторы для анкерита к уже включенным в GEOCHEQ_Isotope β-факторам железа для сидерита, рассчитанным из первых принципов, мы использовали прием, основанный на уравнении (19), в котором в качестве референтных значений использованы β-факторы для сидерита. Используя θM, рассчитанные из данных (Elwood et al., 1989), мы оценили разницу между β-факторами железа анкерита и сидерита и сложили ее β-фактором для сидерита. Вычисленные значения коэффициентов Ai приведены в табл. 1. Следует отметить, что согласно оценкам на основе мессбауэровской спектроскопии (Поляков, Минеев, 1999; Polyakov, Mineev, 2000) значения β-факторов железа для анкерита могут существенно изменяться при изменении состава катионов.
β-факторы железа для сульфидов
β-факторы железа для пирита. Пирит (FeS2) является наиболее изученным среди сульфидов в отношении фракционирования изотопов железа. Для β-факторов железа для пирита имеются многочисленные оценки, сделанные всеми известными способами: ЯНГРР, мессбауэровской спектроскопии, расчетами “из первых принципов” (Polyakov, Mineev, 2000; Polyakov et al., 2007; Blanchard et al., 2009, 2012; Polyakov et al., 2013; Поляков и др., 2019). Результаты определения β-факторов железа для пирита различными методами представлены на рис. 9.
Рис. 9. β-факторы железа для пирита, измеренные различными методами.
Были также проведены эксперименты по изотопному обмену c пиритом в качестве одного из соединений (Syverson et al., 2013, 2017; Pokrovski et al., 2021). Первые оценки β-факторов железа для пирита (Поляков, Минеев, 1999; Polyakov, Mineev, 2000; Polyakov et al., 2007), основанные на использовании температуры Мессбауэра θM = 605 K по данным (Nishihara Y., Ogawa S., 1979), оказались неверными. Это выяснилось после проведения расчетов “из первых принципов” (Blanchard et al., 2009). Эти же авторы указали на ошибку, в (Nishihara, Ogawa, 1979) при расчете температуры Мессбауэра из экспериментальных данных (Blanchard et al., 2012). В дальнейшем это было подтверждено детальными исследованиями температурного сдвига в спектрах Мессбауэра (Поляков и др., 2019). Указанные оценки для β-факторов железа пирита хорошо согласуются с результатами ЯНГРР (Polyakov et al., 2013). Таким образом, определения β-факторов железа для пирита хорошо согласуются с друг другом, и это позволяет отнести пирит к одному из референтных минералов при построении базы данных для β-факторов железа. Поскольку все определения β-факторов железа для пирита находятся в пределах интервала погрешностей 1σ, за исключением определения, основанного на ошибочном θM = 605 K (рис. 9), то в базу данных GEOCHEQ_Isotope (табл. 1) включены значения β-факторов железа для пирита, которые представляют средние значения четырех измерений (Blanchard et al., 2009, 2012; Polyakov et al., 2013; Поляков и др., 2019).
β-факторы железа для троилита. Для троилита (FeS) также существуют оценки β-факторов железа, сделанные на основе расчетов “из первых принципов” (Pokrovski et al., 2021), ЯНГРР (Polyakov et al., 2007, 2013; Dauphas et al., 2012) и мессбауэровской спектроскопии (Voronin et al., 2023). Результаты этих оценок представлены на рис. 10. Как видно из рис. 10 измерения методом ЯНГРР и мессбауэровской спектроскопией находятся в хорошем согласии с друг другом. Результаты расчетов “из первых принципов” существенно превышают результаты измерений. Наряду с троилитом, были проведены измерения пирротинов двух составов FeS0.891 и FeS0.936 методом ЯНГРР (Polyakov et al., 2013). Значения β-факторов железа для пирротина, как и следовало ожидать, оказались близкими к таковым для троилита. Разница в β-факторах для пирротинов разных составов также значительно меньше ошибки измерений (рис. 10). В GEOCHEQ_Isotope включены результаты измерений ЯНГРР (Polyakov et al., 2013) для троилита и усредненные данные для пирротина (табл. 1).
Рис. 10. Температурные зависимости β-факторов железа для троилита и пирротина.
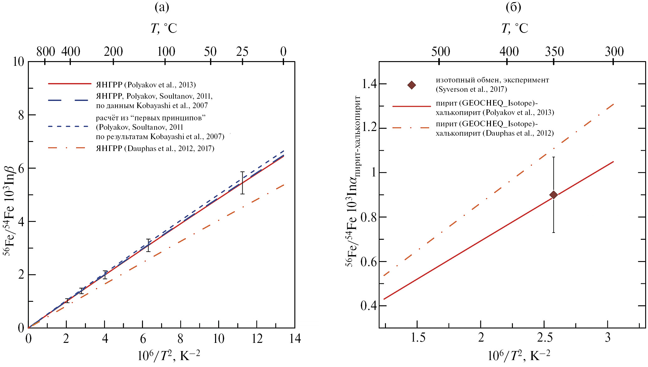
β-факторы железа для халькопирита. Непосредственно β-факторы железа для халькопирита (CuFeS2) оценивали методом ЯНГРР (Polyakov, Soultanov, 2011; Dauphas et al., 2012; Polyakov et al., 2013) и расчетом “из первых принципов” (Polyakov, Soultanov, 2011 по данным Kobayashi et al., 2007). Кроме того, имеются результаты экспериментов по изотопному обмену железа между халькопиритом и растворенным в воде двухвалентным железом, проведенными в (Syverson et al., 2017). Результаты оценок β-факторов халькопирита представлены на рис. 11а. Как оценки β-факторов, полученные методом ЯНГРР (Polyakov, Soultanov, 2011; Dauphas et al., 2012), так и расчет “из первых принципов” (Polyakov, Soultanov, 2011), имеют один и тот же источник: статью (Kobayashi et al., 2007), в которой проведены соответствующие эксперименты по ЯНГРР и выполнены расчеты ППКС. При этом наблюдается небольшое, но заметное, различие между β-факторами, рассчитанными из измеренной в (Kobayashi et al., 2007) ППКС, и β-факторами, рассчитанными (Dauphas et al., 2012) из найденной (Kobayashi et al., 2007) средней силовой постоянной, которую вычисляют через третий момент спектральной функции S(E) (см. примечание7 и уравнения (18)). Было предложено объяснение, сводящееся к некорректному вычитанию фонового сигнала при расчете ППКС из экспериментальных данных (Dauphas et al., 2012). Это объяснение не выдерживает критики, поскольку оценка β-факторов из ППКС, рассчитанной “из первых принципов”, т.е. методом, не связанным с вычитанием фонового сигнала, приводит к тем же результатам, что и расчет β-факторов через ППКС из экспериментов по ЯНГРР (рис. 11а).
Рис. 11. Температурные зависимости β-фактора железа для халькопирита, полученные разными методами (а) и сравнение фракционирования изотопов железа между пиритом и халькопиритом по данным ЯНГРР с результатами эксперимента по изотопному обмену (б).
Указанные погрешности отвечают диапазону 1σ.
Впоследствии правильность определения β-факторов железа для халькопирита с использованием ППКС, найденной в (Kobayashi et al., 2007) была подтверждена экспериментами по ЯНГРР (Polyakov et al., 2013) (рис. 11б). По-видимому, уменьшенное значение средней силовой постоянной халькопирита (146 н/м), найденной в (Kobayashi et al., 2007) и использованной в (Dauphas et al., 2012), связано с тем, что интервал энергий фононов, [–80, 80] мэВ, в котором проводили эксперимент, был недостаточно большим для определения третьего момента спектральной функции. Действительно, формально для определения третьего момента спектральной функции необходимо ее интегрирование в бесконечных пределах. На практике интервал должен быть достаточно большим чтобы включать двух- и трехфононные процессы. Как следует из ППКС, показанных на рис. 4 в статье (Kobayashi et al., 2007), значительная доля фононов сосредоточена в диапазоне 35 ÷ 50 мэВ. Следовательно, интервал энергий [–80, 80] мэВ обрезает существенную часть спектральной функции, обусловленной мультифононным рассеянием. Силовая постоянная, оцененная по ППКС (Polyakov et al., 2013), равна 173 н/м. Результаты экспериментов по изотопному обмену (Syverson et al., 2013, 2017) подтверждают корректность значений β-факторов железа для халькопирита (Polyakov, Soultanov, 2011; Polyakov et al., 2013), найденных методом ЯНГРР и рассчитанных из первых принципов. (рис. 11б). Эти значения β-факторов включены в GEOCHEQ_Isotope, а соответствующие коэффициенты Ai представлены в табл. 1.
β-факторы железа для марказита, макинавита и примеси железа в сфалерите. Для марказита имеются два определения β-факторов железа: методом мессбауэровской спектроскопии (Polyakov et al., 2007) и расчетом “из первых принципов” (Pokrovski et al., 2021). По оценке, представленной в (Pokrovski et al., 2021), оба определения находятся в согласии с друг другом. Но если учесть, что мессбауэровские исследования проводили на природном образце, в котором присутствовала смесь сульфидов, что привело к завышенному значению β-фактора железа для пирита, то следует признать расчетную оценку в (Pokrovski et al., 2021) более надежной. Коэффициенты Ai для β-факторов железа для марказита, полученные в (Pokrovski et al., 2021) представлены в табл. 1.
Аналогичная ситуация с оценками β-факторов железа для макинавита. Оценка, выполненная в (Polyakov, Soultanov, 2011), основана на данных мессбауэровской спектроскопии (Bertaut et al., 1965), которые были получены на ранних этапах использования мессбауэровской спектроскопии. Кроме того, качество используемого образца осталось неясным. Поэтому, в GEOCHEQ_Isotope использованы результаты расчетной оценки (Pokrovski et al., 2021) для макинавита с упорядоченной и неупорядоченной структурой (табл. 1).
В целом ряде природных объектов наблюдается вхождение примеси железа в сфалерит (Rouxel et al., 2008). В этой связи вызывает интерес использование изотопных данных по примеси железа в сфалерите (ZnS). Методом ЯНГРР были измерены β-факторы примеси железа в сфалерите при двух разных концентрациях (Polyakov et al., 2013). Вследствие очень незначительной разницы в β-факторах, отвечающих двум разным концентрациям железа в сфалерите (Polyakov et al., 2013), в GEOCHEQ_Isotope в качестве β-фактора железа в сфалерите включены средние значения β-факторов исследованных образцов (табл. 1).
β-факторы различных форм растворенного в воде железа
Большинство равновесных факторов фракционирования изотопов железа, найденных в ходе лабораторных экспериментов, включают изотопный обмен между минералами и растворенным в воде железом и/или фракционирование между различными водными комплексами железа (Johnson et al., 2020). Если в последнем случае хорошее согласие между экспериментами и расчетами “из первых принципов” фиксировалось уже на начальных этапах исследований, то для фракционирования изотопов между минералами и растворенным железом наблюдалось существенное расхождение между экспериментами и оценками на основе расчетных β-факторов водных комплексов и β-факторов минералов по данным γ-резонансной спектроскопии (Johnson et al., 2002; Welch et al., 2003; Wiesli et al., 2004; Anbar et al., 2005; Hill, Schauble, 2008; Hill et al., 2009, 2010; Domagal-Goldman, Kubicki, 2008; Fujii et al., 2006; Ottonello, Zuccolini, 2009). В экспериментах по изотопному обмену минерал – растворенное в воде железо доминирующим соединением железа в водном растворе были комплексы окисного и закисного железа с шестью молекулами воды: FeIII(H2O)6 3+ и FeII(H2O)6 2+ (Johnson et al., 2020). В работе (Rustad, Dixon, 2009) было показано, что для правильной оценки значения β-фактора этих водных комплексов ионов железа необходимо учитывать влияние внешнего окружения комплексов, которое дает существенный вклад в значение β-фактора. Как показано в (Rustad, Dixon, 2009; Rustad et al., 2010), при расчете кластерным методом надо рассматривать указанные шестиводные комплексы железа в окружении двенадцати молекул воды:FeIII(H2O)6 3+•(H2O)12 и FeII(H2O)6 2+•(H2O)12. Влияние третьей координационной оболочки можно учитывать за счет применения сольватационной модели COSMO (Rustad, Dixon, 2009; Rustad et al., 2010). В этих работах также было показано, что результаты расчетов β-факторов для водных систем значительно более чувствительны к набору базисных функций по сравнению с результатами расчетов для минералов, что, в свою очередь, обуславливает важность его правильного выбора. В дальнейшем учет внешнего окружения стал необходимой процедурой при расчете β-факторов железа для его водных комплексов (Fujii et al., 2014). Использование значений β-фактора железа для комплексов FeIII(H2O)6 3+ и FeII(H2O)6 2+, предложенных в (Rustad, Dixon, 2009), устранило указанное выше принципиальное противоречие между равновесными коэффициентами изотопного фракционирования, полученными в лабораторных экспериментах по изотопному обмену, и их оценкой на основе найденных в экспериментах по γ-резонансному рассеянию β-факторов железа для минералов и расчетами β-факторов железа “из первых принципов”. Эти значения β-факторов железа также обеспечивают согласие с наблюдаемыми в эксперименте коэффициентами разделения изотопов железа между водными комплексами (Johnson et al., 2020). В настоящее время значения β-факторов железа, рассчитанные в (Rustad, Dixon, 2009; Rustad et al., 2010) для водных комплексов FeIII(H2O)6 3+ и FeII(H2O)6 2+, стали общепринятыми, они и включены в базу GEOCHEQ_Isotope (табл. 1). На рис. 12 показано хорошее согласие равновесных коэффициентов разделения изотопов железа в системе минерал – растворенное в воде железо, полученных в экспериментах по изотопному обмену, с коэффициентами разделения, рассчитанными по β-факторам железа, которые включены в базу GEOCHEQ_Isotope.
Рис. 12. Сравнение равновесных коэффициентов разделения изотопов железа, полученных в экспериментах по изотопному обмену, с коэффициентами, рассчитанными по β-факторам, включенным в базу данных GEOCHEQ_Isotope.
(а) Между минералами и растворенным в воде закисным (Fe2+) железом.
(б) Между гематитом и растворенным в воде окисным (Fe3+) железом.
Для сравнения приведены данные по равновесному фракционированию изотопов между водными комплексами Fe(III) и Fe(II). Показанные экспериментальные погрешности соответствуют интервалу 1σ.
В (Fujii et al., 2014) были подсчитаны β-факторы железа для большого числа водных комплексов. Для ряда из них в базе GEOCHEQ отсутствуют данные, необходимые для расчета химических (неизотопных) равновесий. Поэтому в базу GEOCHEQ_Isotope включены β-факторы железа только для тех водных комплексов, для которых имеются соответствующие термодинамические данные. Кроме того, есть небольшое расхождение между значениями β-факторов железа для FeIII(H2O)6 3+ и FeII(H2O)6 2+, вычисленных в (Rustad, Dixon, 2009; Rustad et al., 2010) и в (Fujii et al., 2014). Для согласования значений β-факторов при сохранении изотопных сдвигов между водными комплексами по (Fujii et al., 2014) разница между значениями lnβ для FeIII(H2O)6 3+ и FeII(H2O)6 2+, рассчитанных в (Rustad et al., 2010) и (Fujii et al., 2014), была добавлена ко всем значениям lnβ для водных комплексов железа, рассчитанных в (Fujii et al., 2014). Это полностью соответствует подходу, примененному выше для минералов, и уравнению (19) с заменой lnβ для минералов на lnβ для водных комплексов железа. Значения коэффициентов Ai для расчета 103lnβ для водных комплексов железа в GEOCHEQ_Isotopе представлены в табл. 1.
Совместный расчет химических равновесий и изотопных эффектов по кислороду, углероду и железу в гидротермальной системе
Настоящая статья является третьей в серии работ по совместному моделированию химических и изотопных равновесий. Первая из них (Mironenko et al., 2018) описывала пополнение базы GEOCHEQ_Isotope информацией по изотопам углерода, вторая (Поляков и др., 2021) – кислорода. В этих статьях были приведены примеры с расчетом химических и углеродных и кислородных изотопных равновесий. Приведенный ниже пример вычислений с помощью комплекса GEOCHEQ_Isotope показывает результаты расчета изменения фазового состава в закрытой углекислой гидротермальной системе H2O-CO2-Fe2O3-FeO-CaO с учетом фракционирования изотопов сразу трех химических элементов: углерода, кислорода и железа, при 200 °С на фоне понижения давления с 350 до 16 бар. Валовый состав системы: 111.02 моль Н + 65.5752945 16O моль + + 0.1347055 моль 18О + 1 моль Ca + 0.940112091 моль 56Fe + 0.059887909 моль 54Fe + 3.95555068 моль 12C + + 0.04449315 моль 13С.
Химические изменения. Исходная минеральная ассоциация при давлении 350 бар составлена кальцитом, сидеритом и гематитом, флюидная фаза представлена жидким гидротермальным раствором с высоким содержанием CO2 (рис. 13а). По мере падения давления происходит дегазация раствора, образуется существенно углекислая газовая фаза (рис. 13а), постепенно возрастает щелочность водного раствора. При давлении ~30 бар происходит смена минеральной ассоциации сидерит-гематит на магнетит (рис. 13а).
Рис. 13. Зависимость мольных количеств основных компонентов гидротермальной системы (а) и их изотопных эффектов углерода (б), кислорода (в) и железа (г) от давления. Т = 200 °С.
На рисунке (а) левая ось относится только к мольным количествам воды (жидкость и газ).
Фракционирование изотопов углерода. Наиболее высокие значения δ13C наблюдаются для сидерита и кальцита (рис. 13б), которые существенно обогащены тяжелым изотопом по сравнению с углекислотой новообразованной газовой фазы, и тем более, с CO2 в водном растворе. Если сравнивать частицы СО2aq и HCO3 –, то недиссоциированная растворенная углекислота заметно обогащена изотопом 13С относительно гидролизованной формы HCO3 –. Дегазация раствора сопровождается обогащением газовой фазы тяжелым изотопом углерода. При исчезновении сидерита кальцит, водная и газовая фазы заметно обогащаются тяжелым изотопом углерода. Соотношения СО2/CH4 определяются сидерит-гематитовым и магнетитовым минеральными окислительно-восстановительными буферами. Расчеты показали достаточно низкие концентрации метана (максимум 2.5•10-3 при давлении 16 бар) в газовой фазе, поэтому участие метана в фракционировании изотопов углерода в рассматриваемой системе носит весьма ограниченный масштаб. Однако следует обратить внимание на его экстремально легкий изотопный состав углерода.
Фракционирование изотопов кислорода. По увеличению соотношения 18О/16О существующие в системе фазы и компоненты жидкого и газового растворов располагаются в следующем порядке (рис. 13в): гематит, магнетит, водяной пар, жидкая вода, кальцит, сидерит, HCO3 –, (СО2, aq, СО2, газ). Поскольку кислородные β-факторы газообразной и растворенной в воде СО2 приняты в базе данных GEOCHEQ_Isotope одинаковыми (Поляков и др.2021), то расчеты показали отсутствие фракционирования кислорода между этими соединениями. Поэтому, на рис. 13в показана только одна кривая, соответствующая изотопному составу растворенной CO2.
Фракционирование изотопов железа. В системе в наибольшей степени тяжелым изотопом железа обогащен гематит. Магнетит, появляющийся при низких давлениях (~ 50 бар) взамен ассоциации гематит-сидерит, имеет изотопный состав, отвечающий изотопному составу железа этой ассоциации (рис. 13г). Рис. 13г наглядно демонстрирует хорошо известную закономерность: более окисленные минералы обогащены 56Fe по сравнению с содержащими закисное железо. В водном растворе, в силу крайне низкой растворимости гематита преобладает закисное железо, однако, вследствие сравнительно низкого количества растворенного железа, водный раствор не вносит заметного вклада в значения величин δ56Fe минеральных фаз в рассматриваемой системе.
Выводы
Программный комплекса GEOCHEQ_Isotope, предназначенный для одновременного моделирования химических и изотопных равновесий методом минимизации свободной энергии Гиббса, распространен на расчет изотопных равновесий железа. Также, как и в случае изотопов углерода и кислорода, представленная версия основана на формализме β-фактора в приближении. идеальной смеси изотопов.
Как и предыдущие версии GEOCHEQ_Isotope использует базу данных GEOCHEQ (Мироненко и др., 2021) для описания неизотопных термодинамических свойств веществ. Энергия Гиббса для изотопологов рассчитывается по известным значениям β-факторов в соответствии с уравнением (1). При этом учитывается аддитивная связь между lnβ соединения в целом и lnβi однозамещенных изотопологов.
Температурные зависимости β-факторов железа унифицированы в виде полиномов третьей степени по четным степеням обратной температуры.
Критический анализ имеющейся информации по равновесным факторам фракционирования изотопов железа с учетом данных, полученных различными методами, позволил выделить референтные значения β-факторов железа для металлического (α) железа, гематита, магнетита, сидерита, пирита, водных комплексов FeIII(H2O)6 3+ и FeII(H2O)6 2+, составивших становой хребет разработанной базы данных.
При включении значений β-факторов железа в базу GEOCHEQ_Isotope их привязывали к значениям β-факторов для референтных минералов (водных комплексов) с учетом того, что оценки сделанные одним методом значительно лучше описывают изотопные сдвиги железа между минералами (водными комплексами), чем собственно значения β-факторов железа для минералов (водных комплексов).
Применение программного комплекса GEOCHEQ_Isotope к расчету химических равновесий в закрытой углекислой гидротермальной системе H2O-CO2-Fe2O3-FeO-CaO с учетом изотопных эффектов по кислороду, углероду и железу показало применимость разработанного подхода, основанного на минимизации свободной энергии, к моделированию равновесных изотопных эффектов в системах, включающих нетрадиционные изотопы.
Таким образом, в результате проведенных исследований впервые создана согласованная база данных по β-факторам железа, которая в сочетании с программным комплексом GEOCHEQ_Isotope позволяет проводить расчеты как химических равновесий, так и равновесных изотопных эффектов по кислороду, углероду и железу.
Авторы выражают благодарность рецензентам Дмитрию Павловичу Крылову и Михаилу Юрьевичу Спасенных, чьи замечания были существенными и способствовали улучшению качества статьи. Советы и анализ работы, сделанный научным редактором Натальей Львовной Падалко были очень полезны при написании финальной версии статьи.
Исследование выполнено в рамках Государственного задания ГЕОХИ РАН.
1 В случае газов, жидкостей и молекулярных флюидов это приближение обычно формулируют как правило геометрического среднего (Галимов, 1973, 1982).
2 Понятие β-фактора соединения в целом ввел Э.М. Галимов (Галимов, 1973, 1982, 2006). Для замещения редким изотопологом им было предложено уравнение:
Впоследствии было доказано, что уравнение лучше выполняется в логарифмической форме (3) и справедливо не только в приближении редкого изотопа, но и если все значения lnβi малы по сравнению с единицей (Polyakov, Horita, 2021).
3 Для изотопов железа обычно рассматривают фракционирование 56Fe/54Fe и 57Fe/54Fe (δ56Fe и δ57Fe). Между этими величинами в случае масс-зависимых (а значит и равновесных) изотопных эффектов соотношение: δ57Fe ≈ 1.5δ56Fe × m56Fe/m57Fe, m обозначает массы изотопов 56Fe или 57Fe в зависимости от индексов.
4 SOD – the Second Order Doppler shift – аббревиатура, широко использующаяся в англоязычной литературе. Как показали (Pound, Rebka, 1960), температурный сдвиг в спектрах Мессбауэра обусловлен допплеровским сдвигом второго порядка.
5 В иностранной литературе за ядерным неупругим γ-резонансным рассеянием укрепилась аббревиатура NRIXS – nuclear resonant inelastic x-ray scattering, которое в дословном переводе звучит как ядерное неупругое рассеяние рентгеновских лучей. Некоторое различие между отечественной и зарубежной терминологией связано с разной граничной энергией между рентгеновским и гамма-излучением, принятой в России и за рубежом. Это различие не имеет принципиального характера.
6 Соответствующей англоязычной аббревиатурой является PDOS – projection (или partial) density of states.
7 В терминах характеристических температур полином (15) имеет вид:
Наряду с характеристической температурой для расчета первого члена часто используют среднюю силовую постоянную ⟨F⟩, связанную с θ2 соотношением:
Средняя силовая постоянная широко используется для сравнения значений β-факторов железа и их оценке при высокой температуре.
8 По-видимому, в экспериментах по изотопному обмену в (Skulan et al., 2002) использовался гематит с удельной поверхностью менее 7 м2/г.
About the authors
V. B. Polyakov
Vernadsky Institute of Geochemistry and Analytical Chemistry of the Russian Academy of Sciences
Author for correspondence.
Email: vpolyakov@mail.ru
Russian Federation, Kosygin st., 19, Moscow, 119991
M. V. Mironenko
Vernadsky Institute of Geochemistry and Analytical Chemistry of the Russian Academy of Sciences
Email: mironenko@geokhi.ru
Russian Federation, Kosygin st., 19, Moscow, 119991
M. V. Alenina
Vernadsky Institute of Geochemistry and Analytical Chemistry of the Russian Academy of Sciences
Email: vpolyakov@mail.ru
Russian Federation, Kosygin st., 19, Moscow, 119991
References
- Банникова Л.Н., Гричук Д.В., Рыженко Б.Н. (1987) Расчеты химических и изотопных равновесий в системе C–H–O и их использование при изучении окислительно-восстановительных реакций в гидротермальных условиях. Геохимия. (3), 416–428.
- Галимов Э.М. (1973) Изотопы углерода в нефтегазовой геологии. М.: Недра. 372 с.
- Галимов Э.М. (1982) Принцип аддитивности в изотопной термодинамике. Геохимия. (6), 767–779.
- Галимов Э.М. (2006) Органическая геохимия изотопов. Becтник PAH. 76, 978–988.
- Гричук Д.В. (1987) Оценка свободных энергий Гиббса изотопных форм соединений. Геохимия. (2), 178–191.
- Гричук Д.В. (1988) Изотопно-химическая термодинамическая модель гидротермальной системы. ДАН СССР. 298, 1222–1225.
- Гричук Д.В. (2000) Термодинамические модели субмаринных гидротермальных систем. М.: Научный мир. 304 с.
- Гричук Д.В., Леин А.Ю. (1991) Эволюция океанской гидротермальной системы и изотопный состав серы сульфидов. ДАН СССР. 318, 422–425.
- Крылов Д.П., Глебовицкий В.А. (2017) Факторы фракционирования 18O/16O гранатов на основе расчетов изотопных сдвигов частот колебаний. ДАН. 475 (3), 306–309.
- Мироненко М.В., Сидкина Е.С., Поляков В.Б. (2021) Равновесно-кинетический расчет серпентинизации оливина. Сопоставление с модельным экспериментом. Геохимия. 66 (1), 37–44.
- Mironenko M.V., Sidkina E.S., Polyakov V.B. (2021) Equilibrium-Kinetic Calculation of Olivine Serpentinization. A Comparison with the Model Experiment. Geochem. Int. 59 (1), 32–38.
- Поляков В.Б. (1991) Квантовостатистическое рассмотрение метода изотопических чисел связей. Журн. физ. химии. 65, 1317–1326.
- Поляков В.Б. (1993) Об идеальности смесей изотопов в твердых телах. Журн. физ. химии. 67, 47–73.
- Поляков В.Б. (1995) Эффект Мессбауэра и равновесное фракционирование изотопов: оценка масштабов фракционирования изотопов железа. XIV симпозиум по геохимии изотопов, посвященный 100-летию со дня рождения академика А.Л. Виноградова. Тезисы докладов, Москва, 174–175.
- Поляков В.Б. (1999) Связь равновесного фракционирования стабильных изотопов и температурного сдвига резонансной частоты в спектрах Мессбауэра. Журн. физ. химии. 73, 690–694.
- Поляков В.Б., Минеев С.Д. (1999) Применение мессбауэровской спектроскопии в изотопной геохимии. I. Равновесное фракционирование изотопов железа. Геохимия. (8), 858–870.
- Поляков В.Б., Минеев С.Д., Гуревич В.М., Храмов Д.А., Гавричев К.С, Горбунов В.Е., Голушина Л.Н. (2001) Использование мессбауэровской спектроскопии и калориметрии для определения равновесных изотопных констант. Гематит. Журн. физ. химии. 75 (6), 1017–1021.
- Поляков В.Б., Мироненко М.В., Аленина М.В. (2021) Совместный расчет химических и изотопных равновесий в программном комплексе Geocheq_Isotope: изотопы кислорода. Геохимия. 66 (11), 1050–1066.
- Polyakov V.B., Mironenko M.V., Alenina M.V. (2021) Simultaneous Calculation of Chemical and Isotope Equilibria Using the GEOCHEQ_Isotope Software: Oxygen Isotopes. Geochem. Int. 59 (11), 1090–1105.
- Поляков В.Б., Осадчий Е.Г., Воронин М.В., Осадчий В.О., Сипавина Л. В., Чареев Д.А., Тюрин А.В., Гуревич В.М., Гавричев К.С. (2019) Изотопные факторы железа и серы для пирита по данным экспериментальных гамма-резонансных исследований и теплоемкости. Геохимия. 64 (4), 372–386.
- Polyakov V.B., Osadchii E.G., Voronin M.V., Osadchii V.O., Sipavina L.V., Chareev D.A., Tyurin A.V., Gurevich V.M., Gavrichev K.S. (2019) Iron and Sulfur Isotope Factors of Pyrite: Data from Experimental Mössbauer Spectroscopy and Heat Capacity. Geochem. Int. 57(4), 369–383.
- Поляков В.Б., Харлашина Н.Н. (1989) Влияние давления на равновесное фракционирование изотопов. ДАН СССР. 306(2), 390–395.
- Чумаков А.И. (2005) Зондирование магнетизма и динамики наноструктур ядерным рассеянием синхротронного излучения. Международный симпозиум “Нанофизика и наноэлектроника”. 25–29 марта 2005. Нижний Новгород. Труды симпозиума. Т. 1, 72–74. (https://nanosymp.ru/ru/archive)
- Шпинель В.С. (1969) Резонанс гамма-лучей в кристаллах. М.: Наука, 408 с.
- Anbar A.D., Jarzecki A.A., Spiro T.G. (2005) Theoretical investigation of iron isotope fractionation between Fe(H2O)6 3+ and Fe(H2O)6 2+: implications for iron stable isotope geochemistry. Geochim. Cosmochim. Acta 69, 825–837. https://doi.org/10.1016/j.gca.2004.06.012.
- Beard B.L., Johnson C.M. (2004) Fe isotope variations in the modern and ancient Earth and other planetary bodies. Rev. Mineral. Geochem. 82, 319–357.
- Beard B.L., Handler R.M., Scherer M.M., Wu L., Czaja A.D., Heimann A., Johnson C.M. (2010) Iron isotope fractionation between aqueous ferrous iron and goethite. Earth Planet. Sci. Lett. 295, 241–250.
- Bertaut E.F., Burlet P., Chappert J. (1965) Sur l’absence d’ordre magnetique dans la forme quadratique de FeS. Solid State Commun. 3, 335–338.
- Blanchard M., Balan E., Schauble E.A. (2017) Equilibrium fractionation of non-traditional isotopes: A molecular modeling perspective. Rev. Mineral. Geochem. 82, 27–64.
- Blanchard M., Dauphas N., Hu M.Y., Roskosz M., Alp E.E., Golden D.C., Sio C.K., Tissot F.L.H., Zhao J., Gao L., Morris R.V., Fornace M., Floris A., Lazzeri M., Balan E. (2015) Reduced partition function ratios of iron and oxygen in goethite. Geochim. Cosmochim. Acta 151, 19–33.
- Blanchard M., Poitrasson F., Méheut M., Lazzeri M., Mauri F., Balan E. (2009) Iron isotope fractionation between pyrite (FeS2), hematite (Fe2O3) and siderite (FeCO3): A first-principles density functional theory study. Geochim. Cosmochim. Acta 73, 6565–6578.
- Blanchard M., Poitrasson F., Meґheut M., Lazzeri M., Mauri F., Balan E. (2012) Comment on “New data on equilibrium iron isotope fractionation among sulfides: Constraints on mechanisms of sulfide formation in hydrothermal and igneous systems” by VB Polyakov and DM Soultanov. Geochim. Cosmochim. Acta 87, 356–359.
- Chambaere D.G., De Grave E., Vanleerberghe R.L., Vandenberghe R.E. (1984) The electric field gradient at the iron sites in β-FeOOH. Hyperfine Interactions. 20, 249–262.
- Childs, C., Goodman, B., Paterson, E., & Woodhams, F. (1980) The nature of iron in Akaganéite (β-FeOOH). Australian Journal of Chemistry. 33 (1), 15–26.
- Chumakov A.I., Sturhahn W. (1999) Experimental aspects of inelastic nuclear resonance scattering. Hyp. Interact. 123–124, 781–808.
- Dauphas N., Hu M.Y., Baker E.M., Hu J., Tissot F.L., Alp E.E., Roskosz, Zhao J., W. Bi, Liu J., Lin J.F. (2018) SciPhon: A data analysis software for nuclear resonant inelastic X-ray scattering with applications to Fe, Kr, Sn, Eu and Dy. J. Synchrotron Radiat. 25 (5), 1581–1599.
- Dauphas N., John S.G., Roskosz M. (2017) Iron isotope systematics. Rev. Mineral. Geochem. 82, 415–510.
- Dauphas N., Roskosz M., Alp E.E., Golden D.C., Sio C.K., Tissot F.L.H., Hu M.Y., Zhao J., Gao L., Morris R.V. (2012) A general moment NRIXS approach to the determination of equilibrium Fe isotopic fractionation factors: Application to goethite and jarosite. Geochim. Cosmochim. Acta 94, 254–275.
- Dauphas N., Roskosz M., Alp E.E., Neuville D.R., Hu M.Y., Sio C.K., Tissot F.L.H., Zhao J., Tissandier L., Médard E. (2014) Magma redox and structural controls on iron isotope variations in Earth’s mantle and crust. Earth Planet Sci. Lett. 398, 127–140.
- Dauphas N., van Zuilen M., Busigny V., Lepland A., Wadhwa M. and Janney P. E. (2007) Iron isotope, major and trace element characterization of early Archean supracrustal rocks from SW Greenland: protolith identification and metamorphic overprint. Geochim. Cosmochim. Acta 71, 4745–4770.
- De Capitani C., Brown T.H. (1987) The computation of chemical equilibrium in complex systems containing nonideal solutions. Geochim. Cosmochim. Acta 51, 2639–2152.
- De Grave E, Van Alboom A, Eeckhout S.G. (1998) Electronic and magnetic propertiesof a natural aegirine asobs erved from its Mössbauer spectra. Phys. Chem. Miner. 25, 378–388.
- De Grave E., Persoons R. M., Vandenberghe R. E., and de Bakker P. M. A. (1993) Mo¨ssbauer study of the high-temperature phase of Co-substituted magnetites, CoxFe3-xO4. I. x # 0.04. Phys. Rev. B47, 5881–5893.
- De Grave E., Van Alboom A. (1991) Evaluation of ferrous and ferric Mössbauer fractions. Phys. Chem. Minerals. 18, 337–342.
- De Grave E., Vandenberghe R.E. (1986) 57Fe Mössbauer effect study of well-crystalized goethite (α-FeOOH). Hyperfine Interact. 28, 643–646.
- Domagal-Goldman S.D. and Kubicki J.D. (2008) Density functional theory predictions of equilibrium isotope fractionation of iron due to redox changes and organic complexation. Geochim. Cosmochim. Acta 72, 5201–5216.
- Eeckhout S.G., De Grave E. (2003) Evaluation of ferrous and ferric Mössbauer fractions Part II. Phys. Chem. Miner. 30, 142–146.
- Ellwood B.B., Burkart B., Rajeshwar K., Darwin R.L., Neeley R.A., McCall A.B., Long G.J., Buhl M.L., Hickcox C.W. (1989) Are the iron carbonate minerals, ankerite and ferroan dolomite, like siderite, important in paleomagnetism? J. Geophys. Res. 94, 7321–7331.
- Frierdich A.J., Beard B.L., Reddy T.R., Scherer M.M. and Johnson C.M. (2014a) Iron isotope fractionation between aqueous Fe(II) and goethite revisited: New insights based on a multi-direction approach to equilibrium and isotopic exchange rate modification. Geochim. Cosmochim. Acta 139, 383–398.
- Frierdich A.J., Beard B.L., Scherer M.M., Johnson C.M. (2014b) Determination of the Fe(II)aq–magnetite equilibrium iron isotope fractionation factor using the three-isotope method and a multi-direction approach to equilibrium. Earth Planet. Sci. Lett. 391, 77–86.
- Frierdich A.J., Nebel O., Beard B.L., Johnson C.M. (2019) Iron isotope exchange and fractionation between hematite (alpha-Fe2O3) a and aqueous Fe(II): A combined three-isotope and reversal-approach to equilibrium study. Geochim. Cosmochim. Acta 245, 207–221.
- Fujii T., Moynier F., Blichert-Toft J., Albarede F. (2014) Density functional theory estimation of isotope fractionation of Fe, Ni, Cu, and Zn among species relevant to geochemical and biological environments. Geochim. Cosmochim. Acta 140, 553–576.
- Fujii T., Moynier F., Telouk P., Albarede F. (2006) Isotope fractionation of iron(III) in chemical exchange reactions using solvent extraction with crown ether. J. Phys. Chem. A 110, 11108–11112. https://doi.org/10.1021/jp063179u
- Hill P.S., Schauble E.A. (2008) Modeling the effects of bond environment on equilibrium iron isotope fractionation in ferric aquo-chloro complexes. Geochim. Cosmochim. Acta 72, 1939–1958. https://doi.org/10.1016/j.gca.2007.12.023
- Hill P.S., Schauble E.A., Shahar A., Tonui E., Young E.D. (2009) Experimental studies of equilibrium iron isotope fractionation in ferric aquo-chloro complexes. Geochim. Cosmochim. Acta. 73, 2366–2381. https://doi.org/10.1016/j.gca.2009.01.016
- Hill P.S., Schauble E.A., Young E.D. (2010) Effects of changing solution chemistry on Fe3+/Fe2+ isotope fractionation in aqueous Fe–Cl solutions. Geochim. Cosmochim. Acta 74, 6669–6689. https://doi.org/10.1016/j.gca.2010.08.038
- Hoefs J. (2018) Stable isotope geochemistry. Springer.
- Housley R. M., Hess F. (1966) Analysis of Debye-Waller-factor and Mössbauer-thermal-shift measurements. I. General theory. Phys. Rev. 146, 517–526.
- Hu M.Y., Toellner T., Dauphas N., Alp E.E., Zhao J. (2013) Moments in nuclear resonant inelastic x-ray scattering and their applications. Phys. Rev. B. 87, 064301.
- Johnson C.M., Beard B.L., Albarède F. (2004) Geochemistry of non-traditional stable isotopes. Overview and general concepts. Rev. Mineral. Geochem. 55, 1–24.
- Johnson C.M., Beard B.L., Weyer S. (2020) Iron Geochemistry: An Isotopic Perspective. Springer Nature Switzerland AG.
- Johnson C.M., Skulan J.L., Beard B.L., Sun H., Nealson K.H., Braterman P.S. (2002) Isotopic fractionation between Fe(III) and Fe(II) in aqueous solutions. Earth Planet. Sci. Lett. 195, 141–153. https://doi.org/10.1016/s0012-821x(01)00581-7
- Johnson J.W., Oelkers E.H., Helgeson H.C. (1992) SUPCRT92: A software package for calculating the standard molal thermodynamic properties of minerals, gases, aqueous species, and reactions from 1 to 5000 bars and 0 to 1000 °C. Comp. Geosci. 18, 899–947.
- Josephson, B.D. (1960) Temperature-dependent shift of g-rays emitted by a solid. Phys. Rev. Letters 4, 341–342.
- Kobayashi H., Kamimura T., Alfè D., Sturhahn W., Zhao J., Alp E.E. (2004) Phonon density of states and compression behavior in iron sulfide under pressure. Phys. Rev. Lett. 93, 195503.
- Kobayashi H., Umemura J., Kazekami Y. and Sakai N. (2007) Pressure-induced amorphization of CuFeS2 studied by 57Fe nuclear resonant inelastic scattering. Phys. Rev. B. 76, 134108.
- Kohn V. G. Chumakov A. I. (2000) DOS: Evaluation of phonon density of states from nuclear resonant inelastic absorption Hyp. Interact. 125, 205–221.
- Kohn V. G., Chumakov A. I., Rüffer R. (1998) Nuclear resonant inelastic absorption of synchrotron radiation in an anisotropic single crystal. Phys. Rev. B 58, 8437–8444.
- Krawczynski M.J., Van Orman J.A., Dauphas N., Alp E.E., Hu M. (2014) Iron isotope fractionation between metal and troilite: a new cooling speedometer for iron meteorites. Lunar Planet Sci Conf. 45, 2755.
- Leider H.R., Pipkorn D.N. (1968) Mössbauer effect in MgO:Fe21; low-temperature quadrupole splitting. Phys. Rev. 165, 494–500.
- Lin J.-F., Jacobsen S.D., Sturhahn W., Jackson J. M., Zhao J. and Yoo C.-S. (2006) Sound velocities of ferropericlase in the Earth’s lower mantle. Geophys. Res. Lett. 33, L22304.
- Lipkin H.J. (1960) Some simple features of the Mössbauer effect. Ann. Phys. (N.Y.) 9, 332–339.
- Lipkin H.J. (1962) Some simple features of the Mossbauer effect: II. Sum rules and the moments of the energy spectrum. Ann. Phys. (N.Y.) 18, 182–197.
- Lipkin H.J. (1995) Mossbauer sum rules for use with synchrotron sources. Phys. Rev. 57, 10073–10079.
- Matsuhisa Y., Goldsmith J.R., Clayton R.N. (1978) Mechanisms of hydrothermal crystallization of quartz at 250 oC and 15 kbar. Geochim. Cosmochim. Acta 42, 173–182.
- McCammon C.A., Pring A., Keppler H., Sharp T. (1995) A study of bernalite, Fe(OH)3, using Mössbauer spectroscopy, optical spectroscopy and transmission electron microscopy. Phys. Chem. Minerals 22, 11–20.
- Minkiewicz V.J., Shirane G., Nathans R. (1967) Phonon Dispersion Relation for Iron. Phys. Rev. 162, 528–531.
- Mineev S.D., Polyakov V.B., Permyakov Y.V. (2007) Equilibrium iron isotope fractionation factors for magnetite from Mössbauer spectroscopy and inelastic nuclear resonant X-ray scattering data. Geochim.Cosmochim. Acta 71, A669
- Mironenko M.V., Polyakov V.B., Alenina M.V. (2018) Simultaneous calculation of chemical and isotope equilibria using the Geocheq_Isotope software: Carbon isotopes. Geochem. Int. 56 (13), 1354–1367.
- Nie N.X., Dauphas N., Alp E.E., Zeng H., Sio C.K., Hu J.Y., Chen X, Aarons S.M., Zhang Z, Tian H.C., Wang D, Prissel K.B. Greer J. Bi W, Hu, M.Y. Zhao J., Shahar A., Roskosz M., Teng F.Z. Krawczynski M.J., Heck P.R., Spear F.S. (2021). Iron, magnesium, and titanium isotopic fractionations between garnet, ilmenite, fayalite, biotite, and tourmaline: Results from NRIXS, ab initio, and study of mineral separates from the Moosilauke metapelite. Geochim. Cosmochim. Acta 302, 18–45.
- Nishihara Y., Ogawa S. (1979) Mössbauer study 57Fe in pyrite-type dichalcogenides. J. Chem. Phys. 71, 3796–3801.
- Northrop D.A., Clayton R.N. (1966) Oxygen–isotope fractionations in systems containing dolomite. J. Geol. 74, 174–196.
- Ohmoto H. (1972) Systematics of sulfur and carbon isotopes in hydrothermal ore deposits. Econ. Geol. 67, 551–578.
- Ottonello G., Zuccolini M.V. (2009) Ab-initio structure, energy and stable Fe isotope equilibrium fractionation of some geochemically relevant H–O–Fe complexes. Geochim. Cosmochim. Acta 73, 6447–6469. https://doi.org/10.1016/j.gca.2009.06.034.
- Pokrovski G.S., Blanchard M., Saunier G., Poitrasson F. (2021) Mechanisms and rates of pyrite formation from hydrothermal fluid revealed by iron isotopes. Geochim. Cosmochim. Acta 304, 281–304.
- Polyakov V.B. (1997) Equilibrium fractionation of the iron isotopes: Estimation from Mössbauer spectroscopy data. Geochim. Cosmochim. Acta 61, 4213–4217.
- Polyakov V.B. (2009) Equilibrium iron isotope fractionation at core-mantle boundary conditions. Science 323, 912–914. (doi: 10.1126/science.1166329).
- Polyakov V.B., Horita J. (2021) Equilibrium carbon isotope fractionation factors of hydrocarbons: Semi-empirical force-field method. Chem. Geol. 559, 119948.
- Polyakov V.B., Kharlashina N.N. (1994) Effect of pressure on the equilibrium isotopic fractionation. Geochim. Cosmochim. Acta 58, 4739–4750.
- Polyakov V.B., Mineev S.D. (2000) The use of Mössbauer spectroscopy in stable isotope geochemistry. Geochim. Cosmochim. Acta 64 (5), 849–865.
- Polyakov V.B., Mineev S.D., Clayton R.N., Hu G. (2005a) Oxygen isotope equilibrium factors involving cassiterite (SnO2): I. Calculation of reduced partition function ratios from heat capacity and X-ray resonant studies. Geochim. Cosmochim. Acta 69, 1287–1300.
- Polyakov V.B., Mineev S.D., Clayton R.N., Hu G. Mineev K.S. (2005b) Determination of tin equilibrium isotope fractionation factors from synchrotron radiation experiments. Geochim. Cosmochim. Acta 69, 5531–5536.
- Polyakov V.B., Clayton R.N., Horita J., Mineev S.D. (2007) Equilibrium iron isotope fractionation factors of minerals: reevaluation from the data of nuclear inelastic resonant X-ray scattering and Mossbauer spectroscopy. Geochim. Cosmochim. Acta 71 (15), 3833–3846.
- Polyakov V.B., Mironenko M.V., Alenina M.V. (2021) Simultaneous calculation of chemical and isotope equilibria using the Geocheq_Isotope software: oxygen isotopes. Geochem. Int. 59 (11), 1090–1115.
- Polyakov V.B., Osadchii E.G, Chareev D.A., Chumakov A.I., Sergeev I.A. (2013) Fe β-factors for sulfides from NRIXS synchrotron experiments. Mineral. Mag. 77, 1985.
- Polyakov V.B., Soultanov D.M. (2011) New data on equilibrium iron isotope fractionation among sulfides: constraints on mechanisms of sulfide formation in hydrothermal and igneous systems. Geochim. Cosmochim. Acta 75,1957–1974.
- Pound R.V., Rebka G.A., Jr. (1960) Variation with temperature of the energy of recoil-free gamma rays from solids. Phys. Rev. Letters 4, 274–275.
- Prissel K.B., Krawczynski M.J., Nie N.X., Dauphas N., Aarons S.M., Heard A. W., Hu M.Y., Alp E.E., Zhao, J. (2024). Fractionation of iron and titanium isotopes by ilmenite and the isotopic compositions of lunar magma ocean cumulates. Geochim. Cosmochim. Acta 372, 154–170.
- Rabin S., Blanchard M., Pinilla C., Poitrasson F., Gregoire M. (2021) First-principles calculation of iron and silicon isotope fractionation between Fe-bearing minerals at magmatic temperatures: The importance of second atomic neighbors. Geochim. Cosmochim. Acta 304, 101–118.
- Roskosz M., Sio C.K.I., Dauphas N., Bi W., Tissot F.L.H., Hu M.Y., Zhao J. and Alp E.E. (2015) Spinel-olivine-pyroxene equilibrium iron isotopic fractionation and applications to natural peridotites. Geochim. Cosmochim. Acta 169, 184–199.
- Rouxel O., Shanks, W.C., Bach W., Edwards K.J. (2008) Integrated Fe- and S-isotope study of seafloor hydrothermal vents at East Pacific Rise 9–10 N. Chem. Geol. 252, 214–227.
- Rustad J.R., Casey W.H., Yin Q.-Z., Bylaska E.J., Felmy A.R., Bogatko S.A., Jackson V.E., Dixon D.A. (2010) Isotopic Fractionation of Mg2+ (aq), Ca2+ (aq), and Fe2+ (aq) with Carbonate Minerals. Geochim. Cosmochim. Acta 74, 6301–6323.
- Rustad J.R., Dixon D.A. (2009) Prediction of iron-isotope fractionation between hematite (a-Fe2O3) and ferric and ferrous iron in aqueous solution from density functional theory. J. Phys. Chem. A 113, 12249–12255.
- Rustad J.R., Yin Q.-Z. (2009) Iron isotope fractionation in the Earth’s lower mantle. Nature geoscience 2, 514–518 (doi: 10.1038/ngeo546).
- Schauble E.A., Rossman G.R., Taylor H.P., Jr. (2001) Theoretical estimates of equilibrium Fe-isotope fractionations from vibrational spectroscopy. Geochim. Cosmochim. Acta 65 (15), 2487–2497.
- Schauble E.A. (2004) Applying stable isotope fractionation theory to new systems. Rev. Mineral. Geochem. 55, 65–112.
- Schauble E.A., Young E.D. (2021) Mass dependence of equilibrium oxygen isotope fractionation in carbonate, nitrate, oxide, perchlorate, phosphate, silicate, and sulfate minerals. Rev. Mineral. Geochem. 86, 137–178.
- Schuessler, J.A., Schoenberg, R., Behrens, H., von Blanckenburg, F., (2007) The experimental calibration of the iron isotope fractionation factor between pyrrhotite and peralkaline rhyolitic melt. Geochim. Cosmochim. Acta 71 (2), 417–433.
- Seto M., Yoda Y., Kikuta S., Zhang X.W., Ando M. (1995) Observation of Nuclear Resonant Scattering Accompanied by Phonon Excitation Using Synchrotron Radiation. Phys. Rev. Lett. 74, 3828–3831.
- Seto M., Kitao S., Kobayashi Y., Haruki R., Yoda Y., Mitsui T., Ishikawa T. (2003) Site-specific phonon density of states discerned using electronic states. Phys. Rev. Lett. 91, 185505.
- Shahar A., Elardo S.M., Macris C.A. Equilibrium fractionation of non-traditional stable isotopes: an experimental perspective. Rev. Mineral. Geochem. 82, 65–84.
- Shahar A., Schauble E.A., Caracas R., Gleason A.E., Reagan M.M., Xiao Y., Shu J., Mao W. (2016) Iron isotope fractionation in the Earth’s lower mantle. Science 352, 580-582 (doi: 10.1126/science.aad8352).
- Shahar A., Young E.D., Manning C.E. (2008) Equilibrium high-temperature Fe isotope fractionation between fayalite and magnetite: an experimental calibration. Earth Planet. Sci. Lett. 268, 330–338.
- Shiryaev A.A., Polyakov V.B., Rols S., Rivera A., Shenderova O. (2020) Inelastic neutron scattering: A novel approach towards determination of equilibrium isotopic fractionation factors. Size effects on heat capacity and beta-factor of diamond. Physical Chemistry Chemical Physics 22, 13261–13270.
- Skulan, J.L., Beard, B.L., Johnson, C.M. (2002) Kinetic and equilibrium Fe isotope fractionation between aqueous Fe(III) and hematite. Geochim. Cosmochim. Acta 66, 2995–3015.
- Sossi P.A., O’Neill H.St. C. (2017) The effect of bonding environment on iron isotope fractionation between minerals at high temperature. Geochim. Cosmochim. Acta 196, 121–143.
- Struzhkin V.V., Mao H.-K., Mao W.L., Hemley R.J., Sturhahn W., Alp E.E., L’Abbe C., Hu M.Y., Errandonea D. (2004) Phonon density of states and elastic properties of Fe-based materials under compression. Hyp. Interac. 153, 3–15.
- Struzhkin V.V., Mao H.K., Hu J.Z., Schwoerer-Bohning M., Shu J. F., Hemley R.J., Sturhahn W., Hu M.Y., Alp E.E., Eng P., Shen G.Y. (2001) Nuclear inelastic X-ray scattering of FeO to 48 GPa. Phys. Rev. Lett. 87, 255501.
- Sturhahn W., Alp E.E., Toellner T.S., Hession P., Hu M., Sutter J. (1998) Introduction to nuclear resonant scattering with synchrotron radiation Hyperfine Interactions 113, 47–58.
- Sturhahn W., Chumakov A. (1999) Lamb–Mössbauer factor and second-order Doppler shift from inelastic nuclear resonant absorption. Hyperfine Interactions 123/124, 809–824.
- Sturhahn W., Toellner T.S., Alp E.E., Zhang X., Ando M., Yoda Y., Kikuta S., Seto M., Kimball C.W., Dabrowski B. (1995) Phonon Density of States Measured by Inelastic Nuclear Resonant Scatterin Phys. Rev. Lett. 74, 3832–3835.
- Syverson D. D., Borrok D.M., Seyfried W.E. (2013) Experimental determination of equilibrium Fe isotopic fractionation between pyrite and dissolved Fe under hydrothermal conditions. Geochim. Cosmochim. Acta 122, 170–183.
- Syverson D.D., Luhmann A.J., Tan C., Borrok D.M., Ding K., Seyfried W.E. (2017) Fe isotope fractionation between chalcopyrite and dissolved Fe during hydrothermal recrystallization: An experimental study at 350oC and 500 bars. Geochim. Cosmochim. Acta 200, 87–109.
- Thirring H. (1913) Zur Theorie der Raumgitterschwingungen und der spezifischen Wärme fester Körper. Phys. Z. 14, 867–873.
- Thirring H. (1914) Raumgitterschwingungen und spezifischen Wärme fester Körper. I. Phys. Z. 15, 127–133.
- Voronin M.V., Polyakov V.B., Osadchii E.G., Sipavina L.V. (2023) Equilibrium iron isotope factors for troilite from mössbauer spectroscopy data: A new evaluating technique. Experiment in GeoSciences 29, 70–74.
- Welch S.A., Beard B.L., Johnson C.M., Braterman P.S. (2003) Kinetic and equilibrium Fe isotope fractionation between aqueous Fe(II) and Fe(III). Geochim. Cosmochim. Acta 67, 4231–4250.
- Wiesli R.A., Beard B.L., Johnson C.M. (2004) Experimental determination of Fe isotope fractionation between aqueous Fe(II), siderite and “green rust” in abiotic systems. Chem. Geol. 211, 343–362.
- Williams K.B., Krawczynski M.J., Nie N.X., Dauphas N., Couvy H., Hu M.Y., Alp E.E. (2016) The role of differentiation processes in mare basalt iron isotope signatures. Lunar Planet. Sci. Conf. 47, 2779. https://www.hou.usra.edu/meetings/lpsc2016/pdf/2779.pdf
- Ye H., Wu C., Brzozowski M.J., Yang T., Zha X., Zhao S., Gao B., Li W. (2020) Calibrating equilibrium Fe isotope fractionation factors between magnetite, garnet, amphibole, and biotite. Geochim. Cosmochim. Acta 271, 78–95.
- Young E.D., Tonui E., Manning C.E., Schauble E.A., Macris C.A. (2009) Spinel–olivine magnesium isotope thermometry in the mantle and implications for the Mg isotopic composition of Earth. Earth Planet. Sci. Lett. 288, 524–533.
Supplementary files















