Geochemical signature of basalts of the MAR Rift Valley at 20°31′ n: origin conditions of the anomalous volcanic center of Puy des Folles in the axial zone of the Mid-Atlantic Ridge
- Authors: Silantyev S.A.1, Buikin A.I.1, Gurenko A.A.2, Chugaev A.V.3, Shabykova V.V.1, Tshovrebova A.R.1, Beltenev V.E.4, Bich A.S.4
-
Affiliations:
- Vernadsky Institute of RAS
- Université de Lorraine
- Institute of Geology of Ore Deposits, Petrography, Mineralogy and Geochemistry of RAS
- VNIIOkeangeologia
- Issue: Vol 69, No 11 (2024)
- Pages: 962-974
- Section: Articles
- URL: https://journal-vniispk.ru/0016-7525/article/view/277703
- DOI: https://doi.org/10.31857/S0016752524110017
- EDN: https://elibrary.ru/IFASOF
- ID: 277703
Cite item
Full Text
Abstract
The results of study of chilled glasses sampled during 45-th cruise of R/V “Professor Logachev” at the top of the submarine volcano Puy-des-Folles are presented. Puy-des-Folles Volcano is located in the axial part of Rift Valley of the Mid-Atlantic Ridge (MAR) at 20°31′N.Unlike typical volcanic axial highs which usually does n ot exceed several hundred meters the summit of the Puy-des-Folles volcano is located a depth of 1950 m and rises 1800 meters above the bottom of the Rift Valley. The data on geochemistry and isotope composition of chilled glasses examined allow to come to a number of conclusions that expanded existing ideas about magmatic and rectjnic processes conducted in the Rift Valley of the Slow Spreading Ridges. Chilled glasses sampled at the top of the Puy-des-Folles volcano are originated from a very depleted melt formed by partial melting of the DM reservoir. Puy-des-Folles volcano was formed as result of trhe activity of a long-lived magma chamber located below the Rift Valley axis. It is possible that in addition to the DM reservoir mantle source enriched in incompatible elements may have participated in the formation of the parenatl melts for studied chilled glasses.Weak geoichemical signal of contamination of perental melt with a hydrothermal component in chilled glasses was established. Signs of staganation in the spreading of the oceanic crust in the Rift Valley segment studied in thic work have been established.
Keywords
Full Text
ВВЕДЕНИЕ
Фундаментальной особенностью Срединно-Атлантического хребта (САХ) является геохимическая сегментация, проявленная в распределении сильно несовместимых элементов в закалочных стеклах MORB. Эта сегментация выражается как чередование в осевой зоне хребта участков, сложенных двумя главными геохимическими типами базальтов: N-MORB (деплетированных) и E-MORB (обогащенных). Данные сейсмической томографии, свидетельствующие о тепловом состоянии малоглубинной мантии под осевой зоной САХ, позволяют считать, что деплетированные базальты рифтовой долины локализованы в пределах «горячих» сегментов, тогда как в пределах «холодных» сегментов присутствуют лавы, характеризующиеся заметным обогащением некогерентными элементами по сравнению с лавами из «горячих» участков (Grand et al., 1997; Boschi, Dzevonski, 2000; Sokolov et al., 2020). Характерными особенностями сегментов САХ, заключенных между 20° и 21° с. ш., являются: (1) преимущественная приуроченность к ним базальтоидов семейства N-MORB; (2) возможное присутствие под осевой зоной хребта в этом районе малоглубинных магматических камер, которые рассматриваются в качестве источников тепла для активных гидротермальных систем (Силантьев и др., 2015, 2023). В пределах этого отрезка осевой зоны САХ проходил 45-й рейс НИС «Профессор Логачев» (2022 г.), в ходе которого на 20°36′ с. ш. была опробована вершина подводного вулкана Пюи-де-Фоль. Вулкан Пюи-де-Фоль, расположен в центральной части рифтовой долины САХ (Андреев и др., 2017; Cherkashov et al., 2017), и может рассматриваться как осевое поднятие (“axial high”) – обычный морфологический элемент рифтовой долины срединно-океанических хребтов. Однако, в отличие от типичных осевых вулканических поднятий, высота которых в низкоскоростных центрах спрединга обычно не превышает нескольких сотен метров (например, Smith et al., 1995; Shah, Sempere, 1998), вершина вулкана Пюи-де-Фоль расположена на глубине 1950 м и возвышается над днищем рифтовой долины на 1800 метров, при периметре его основания 3.7 × 5.3 км. В вершинной части вулкана обнаружены 7 рудных тел, связанных с проявлениями активной гидротермальной деятельности, источником тепла которой предположительно является малоглубинная магматическая камера (Черкашев и др., 2018).
В настоящей статье представлены результаты геохимических исследований закалочных стекол базальтов, отобранных на вершине вулкана Пюи-де-Фоль. Полученные данные стали ценным источником информации о геохимической и геодинамической специфике магматизма рассматриваемого района осевой зоны САХ и пролили свет на происхождение аномального по размеру осевого поднятия.
МАТЕРИАЛ И МЕТОДЫ ИССЛЕДОВАНИЯ
Изученные образцы закалочных стекол были отобраны в 45-м рейсе НИС «Профессор Логачев» с помощью телевизионного грейфера на двух станциях, расположенных на плоской вершине вулкана Пюи-де-Фоль, вблизи гидротермальных рудопроявлений (рис. 1). Судя по результатам пробоотбора, вершина вулкана в районах расположения этих станций покрыта маломощными (до 15 см) глубоководными илами, покрывающими базальтовые лавы с корками закалочных стекол. Породы, слагающие вершину вулкана Пюи де Фоль, характеризуются однородным петрографическим обликом и представлены свежими афировыми базальтами с афанитовой структурой и закалочными стеклами на поверхности без петрографических признаков вторичного изменения. Для изучения были выбраны три образца, отобранные на двух станциях 45-го рейса НИС «Профессор Логачев».
Рис. 1. Батиметрическая карта района (Насонов и др., 2023) подводного вулкана Пюи-де-Фоль и расположение мест отбора образцов закалочных стекол. Штриховкой показан участок вершины вулкана, в пределах которого установлены признаки активной гидротермальной деятельности.
Содержание главных элементов в закалочных стеклах определялось в ГЕОХИ РАН с помощью сканирующего электронного микроскопа с полевым катодом (FEG SEM) TESCAN MIRA3, оборудованного энерго-дисперсионным спектрометром ULTIM MAX 100 (Oxford Instruments) под программным управлением Aztec 5.0. Количественный анализ проводился при ускоряющем напряжении 20 kV и токе зонда 1.4 nA при накоплении в спектре 106 импульсов. В качестве стандартов использовались чистые элементы и соединения (многоэлементный стандартный образец С321, Oxford Instruments). Ошибка определения главных элементов составляла около 2 отн. %.
Для определения содержания редких и рассеянных элементов в исследуемых стеклах применен метод лазерной абляции (лазерная установка LSX-213 G2+) на масс-спектрометре высокого разрешения Element XR с ионизацией в индуктивно-связанной плазме (LA-ICP-MS, ГЕОХИ РАН). В анализе использованы следующие параметры измерений: частота импульса лазерного излучения 6 Hz, диаметр пучка 40 мкм, газовые потоки: Ar (охлаждающий) – 16 л/мин, Ar (вспомогательный) – 1.95 л/мин, Ar (с образцом) – 0.975 л/с, He – 0.9 л/мин. Для измерения содержания элементов в образцах использовали калибровочные стандарты синтетических стекол NIST-610 с содержанием редких элементов на уровне 500 ppm (Jochum et al., 2011). Контроль качества анализа производили по стандарту природного стекла ML3B. Значение концентраций для стандартов были взяты из базы данных MPH GeoRem Data Base. В качестве внутреннего стандарта выбирали элемент (кальций) с достаточно высокими концентрациями относительно фоновых значений и наиболее гомогенно распределенный в фазах. Полученные данные обработаны с помощью программы Glitter (Van Achterbergh et al., 1999). Пределы обнаружения для редкоземельных элементов составляли следующие значения: для La, Ce, Pr, Tb, Ho, Tm, Lu от 0.01 до 0.05, для Nd, Sm, Eu, Dy, Er от 0.1 до 0.3, и для Gd, Yb – от 0.7 до 0.9 ppm. Ошибка измерений составляет 10–15 отн. %.
Изучение поведения Rb-Sr и Sm-Nd изотопных систем в закалочных стеклах проводили в лаборатории изотопной геохимии и геохронологии ГЕОХИ РАН. Изотопный состав Sr и Nd с одновременным измерением концентрации Rb, Sr, Sm и Nd определены методом изотопного разбавления с применением смешанных трассеров 85Rb+84Sr и 149Sm+150Nd. Подробно методика пробоподготовки описана в работе (Цховребова и др., 2023). Изотопный анализ элементов осуществляли на масс-спектрометре Triton Finnigan TE. Измеренные изотопные отношения стронция были нормализованы по отношению 86Sr/88Sr≡0.1194, неодима – по 148Nd/144Nd=0.241572, с использованием экспоненциального закона фракционирования. Для контроля правильности и воспроизводимости измерений изотопного состава стронция и неодима с каждой серией образцов проводили измерения международных стандартов: для Sr – SRM987, для Nd – JNdi-1. В ходе измерения изотопных отношений стронция и неодима в соответствующих стандартах, были получены следующие значения: SRM987 (N=5) 87Sr/86Sr = 0.710230 ± 30; JNdi-1 (N=5) 143Nd/144Nd = 0.512104 ± 16 (рекомендованные значения 87Sr/86Sr = 0.71034 ± 26, 143Nd/144Nd = 0.512115 ± 7). Погрешность измерения на уровне 2σ.
Изотопный состав свинца изучен в истертых пробах базальтовых стекол методом многоколлекторной масс-спектрометрии с ионизацией вещества в индуктивно связанной плазме (MC–ICP–MS), предполагающий анализ в растворах трассированных таллием с известным изотопным составом. Химическая подготовка образцов заключалась в разложении навесок 40–50 мг на протяжении 24 ч в смеси кислот (HF+HNO3) в PFA-виалах при температуре 110–120 °C. Отделение свинца от элементов матрицы образца осуществлялось с помощью ионообменной хроматографии по одностадийной методике согласно (Чугаев и др., 2013). Уровень лабораторного фона при химической подготовке образцов не превышал 0.05 нг. Измерение изотопного состава Pb проведено на 9-коллекторном масс-спектрометре Neptune (Thermo Scientific) в лаборатории изотопной геохимии и геохронологии ИГЕМ РАН (Москва) согласно (Чернышев и др., 2007). Для оценки достоверности результатов параллельно с образцами проводился анализ стандарта изотопного состава Pb SRM 981 и стандарта горной породы AGV-2 (USGS, США). За период проведения опытов значения изотопных отношений Pb в стандарте SRM 981 (N=8) составили 206Pb/204Pb = 16.9420 ± 16, 207Pb/204Pb = 15.4994 ± 18, 208Pb/204Pb = 36.7230 ± 55, а в стандарте AGV-2 (N=6) – 206Pb/204Pb=18.873 ± 4, 207Pb/204Pb = = 15.621 ± 2, 208Pb/204Pb = 38.549 ± 6. Итоговая погрешность измерения изотопных отношений Pb в стеклах не превышала 0.03–0.04 % (2σ).
Измерения содержаний галогенов (Cl, Br), бора и его изотопного состава (11В/10В), а также отношения изотопов кислорода (18О/16О) в изученных стеклах проводилось методом масс-спектрометрии вторичных ионов (SIMS) в Центре Петрографических и Геохимических Исследований (Centre de Recherches Pétrographiques et Géochimiques), Нанси, Франция. Анализы проводились с применением ионного зонда CAMECA IMS1280 HR2. В качестве эталонов применялись искусственные и природно-закаленные стекла основного и среднего состава с сертифицированными значениями концентраций и изотопных отношений. (1) Для определения содержаний и изотопного анализа бора использовались эталонные стекла GOR128-G, GOR132-G и StHs6/80-G (Jochum et al., 2006); (2) для изотопного анализа кислорода также использовались эталонные стекла GOR128-G, GOR132-G и StHs6/80-G, а также стекла ML3B-G, T1-G, BCR2-G и Сан Карлос оливин (Jochum et al., 2006; Gurenko et al., 2015), (3) для определения содержаний фтора и хлора использовались природные и экспериментальные стекла ALV981-R23, 30–2, JdF-VG2, ETNA-II-6 ETNA-II-7 (Gurenko et al., 2016 и другие приведенные в данной работе ссылки), а также номинально-безводное и не содержащее летучих компонентов кварцевое стекло Heraeus Suprasil 3002 (Wetzel et al., 2015); (4) для определения содержаний брома использовались природно-закаленные и экспериментально произведенные эталонные стекла B6000, B3000, B10, B5, B1 (Cadoux et al., 2017), 60701, 47979, 47963, 25603, GG53a, BCR2-G, BHVO2-G (Kendrick et al., 2017; Marks et al., 2017), а также кварцевое стекло Heraeus Suprasil 3002. Установленная средняя аналитическая погрешность определения (2σ) составляла ± 23 % для средних содержаний бора в стекле ~0.8 ppm и ± 7 ‰ для значений δ11B, ± 2 % для средних содержаний хлора (~100 ppm), ± 13 % для средних содержаний брома в стекле ~0.3 ppm, и ± 0.3 ‰ для значений δ18О.
РЕЗУЛЬТАТЫ И ДИСКУССИЯ
Главные и редкие элементы
Содержания главных элементов в закалочных стеклах приведены в табл. 1. Уровень содержания MgO в этих породах (7.15–7.64 мас. %) позволяет относить их к продуктам фракционированных толеитовых расплавов, а величина параметра K2O/TiO2 (0.07–0.13) – к наиболее деплетированным представителям семейства N-MORB (рис. 2). Характер распределения содержания РЗЭ (табл. 2), нормированного к хондриту, близок к установленному ранее в MORB из сегмента САХ между 20°–21°с.ш. (рис. 3а; Силантьев и др., 2023), однако, изученные закалочные стекла обогащены ЛРЗЭ относительно N-MORB: (La/Sm)N-MORB = 1.3–1.4, (Се/Yb)N-MORB = 1.8–2.2 (рис. 3б). Следует заметить, что данная особенность, наблюдаемая в характере распределения РЗЭ, может указывать на присутствие граната в мантийном источнике магматического расплава, родительского для изученных закалочных стекол. В пользу этого предположения говорят также повышенные значения величины отношения (Dy/Yb)сn, которые, по (Saccani, 2015) характерны для MORB, образованных при плавлении мантийного субстрата в условиях гранатовой фации глубинности. Нельзя исключить возможность присутствия в этом мантийном источнике гранатового пироксенита, высокая степень плавления которого могла обеспечить поступление к поверхности большого объема расплава. По сравнению с закалочными стеклами, отобранными в сегменте САХ на 20°–21°с.ш., закалочные стекла вулкана Пюи-де-Фоль обнаруживают более значительные вариации отношения K2O/TiO2. Вместе с тем, cудя по величине отношений Nb/Zr и Ba/Sm, вариации значений которых, согласно (Le Roux et al., 2006 ), позволяют идентифицировать различные геохимические типы MORB, изученные закалочные стекла являются производными сильно деплетированного расплава, однако, занимают промежуточное поле между составами типичных N-MORB сегмента САХ между 20°–21°с.ш. (Силантьев и др., 2023) и базальтами, отобранными в районе геохимической аномалии в рифтовой долине вблизи 16°с.ш. (Силантьев и др., 2008), близкими по составу к Е-MORB (рис. 4; табл. 3). Таким образом, по геохимии главных элементов изученные стекла относятся к типичным N-MORB; с другой стороны, характер распределения в них редких и рассеянных элементов указывает на возможное воздействие на обедненный источник обогащенного по этим элементам компонента.
Таблица 1. Содержание (мас. %) главных элементов в стеклах базальтов вершины вулкана Пюи-де-Фоль (данные TESCAN)
Образец | SiO2 | TiO2 | Al2O3 | FeO* | MnO | MgO | CaO | Na2O | K2O | P2O5 | S | Сумма | K2O/TiO2 |
45L-099ad | 50.6 | 1.57 | 15.52 | 9.52 | 0.18 | 7.64 | 11.62 | 2.95 | 0.20 | 0.16 | 0.12 | 99.96 | 0.13 |
45L-102ad | 50.7 | 1.61 | 15.57 | 9.61 | 0.18 | 7.54 | 11.33 | 3.14 | 0.16 | 0.15 | 0.11 | 99.94 | 0.10 |
45L-102ag | 50.5 | 1.70 | 14.92 | 9.62 | 0.20 | 7.15 | 11.32 | 3.15 | 0.12 | 0.12 | 0.30 | 99.10 | 0.07 |
* Все железо в виде FeO.
Таблица 2. Содержание (ppm) редкоземельных элементов в исследуемых закалочных стеклах базальтов вулкана Пюи-де-Фоль (данные LA-ICP-MS)
Образец | La | Ce | Pr | Nd | Sm | Eu | Gd | Tb | Dy | Ho | Er | Tm | Yb | Lu | (La/ Sm)cn | (Ce/ Yb)cn | (La/ Sm)N-MORB | (Ce/ Yb)N-MORB |
45L-099ad | 4.8 | 14.5 | 2.2 | 11.2 | 3.6 | 1.5 | 4.6 | 0.8 | 5.1 | 1.1 | 3.0 | 0.4 | 3.1 | 0.4 | 0.861 | 1.3 | 1.40 | 1.90 |
45L-102ad | 4.4 | 14.3 | 2.1 | 11.3 | 3.6 | 1.6 | 4.3 | 0.8 | 4.8 | 1.1 | 2.8 | 0.4 | 3.1 | 0.4 | 0.796 | 1.3 | 1.30 | 1.85 |
45L-102ag | 4.4 | 13.8 | 2.1 | 11.3 | 3.5 | 1.6 | 4.4 | 0.8 | 5.1 | 1.1 | 3.0 | 0.4 | 2.6 | 0.4 | 0.805 | 1.5 | 1.31 | 2.20 |
Примечания. Отношения (La/Sm)cn и (Ce/Yb)cn нормализовано к хондриту CI и к составу N-MORB по (Sun, McDonough, 1989).
Рис. 2. Сравнение состава закалочных стекол вулкана Пюи-де-Фоль с составами MORB (Костицын, 2004) – голубые крестики, в том числе, с составом продуктов вулканизма рифтовой долины САХ на 20о–21ос.ш. – красные звездочки (Силантьев и др., 2023). Граница между E-MORB и N-MORB (синие открытые звездочки) показана по (Wilson, 1989; Дмитриев и др., 2006).
Рис. 3. Характер распределения нормализованных к хондриту (а) и к N-MORB (б) содержаний РЗЭ в изученных закалочных стеклах. Составы хондрита и N-MORB заимствованы из (Sun, McDonough, 1989).
Рис. 4. Вариации отношений Nb/Zr (а), (La/Sm)cn (б) и Ba/Sm в закалочных стеклах вулкана Пюи-де-Фоль. Для сравнения приведены точки состава закалочных стекол базальтов из сегментов рифтовой долины САХ (20°–21°с.ш.), окружающих вулкан Пюи-де-Фоль, а также из района САХ между 16° и 17°с.ш., где было выявлено воздействие на состав закалочных стекол высокосоленого гидротермального флюида (Buikin et al., 2022). Как видно, точки данных изученных в настоящей работе образцов располагаются на общем тренде между сильно обедненными и обогащенными составами.
Таблица 3. Содержание (ppm) редких элементов в базальтовых закалочных стеклах вулкана Пюи-де-Фоль (данные LA-ICP-MS)
Образец | Ba | Th | U | Pb | Nb | Sr | Ta | Zr | Hf | Y | B* | Cl* | Br* |
45L-099ad | 29.6 | 0.3 | 0.1 | 0.58 | 4.6 | 158 | 0.3 | 89.0 | 2.5 | 26.8 | 0.88 | 0.0076 | 0.28 |
45L-102ad | 20.1 | 0.2 | 0.1 | 0.74 | 3.6 | 159 | 0.2 | 90.4 | 2.6 | 26.6 | 0.90 | 0.0054 | 0.17 |
45L-102ag | 20.2 | 0.2 | 0.1 | 0.65 | 3.5 | 158 | 0.2 | 93.6 | 2.6 | 27.2 | н.а. | н.а. | н.а. |
*Содержание B, Cl и Br определено методом SIMS; н. а. – не анализировалось.
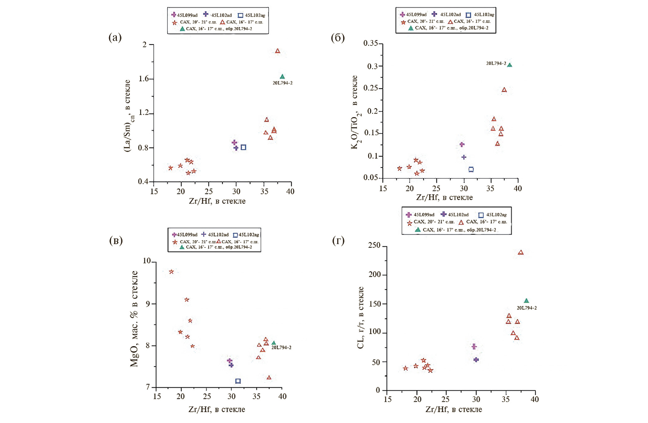
Принято считать, что поскольку Zr и Hf являются сильно некогерентными элементами, величина их отношения в магматическом расплаве не зависит от процесса фракционной кристаллизации (David et al., 2000; Buchl et al., 2002). Приведенные на рис. 5 данные позволяют предполагать, что мантийный источник, продуцирующий расплав, который мог являться родоначальным для изученных закалочных стекол, отличался по составу от источников MORB рифтовой долины САХ между 20°–21°с.ш. На рис. 5 приведены также составы закалочных стекол, отобранных в осевой зоне САХ между 16° и 17°с.ш. Как упоминалось выше, ранее здесь была установлена геохимическая аномалия, отражающая изотопную специфику мантийных источников магматизма рифтовой долины, продуцирующих в этой акватории базальты семейства E-MORB (Силантьев и др., 2008). В эту группу закалочных стекол включен также отобранный в том же районе образец закалочного стекла 20L794-2 (на рис. 5 обозначен зеленым треугольником), изотопно-геохимические параметры которого позволили предполагать, что родительский расплав для этого образца был контаминирован компонентом, заимствованным из высокосоленого гидротермального флюида (Buikin et al., 2022).
Рис. 5. Ковариации величины отношения Zr/Hf c (La/Sm)cn (а), К2О/TiO2 (б), и содержаниями MgO (в) и Сl (г) в закалочных стеклах вулкана Пюи-де-Фоль. Составы закалочных стекол из сегментов САХ на 20о–21о и 16о–17о с.ш. заимствованы из (Силантьев и др., 2008; Силантьев и др., 2023).
Обращает на себя внимание то обстоятельство, что во всех координатах, использованных на рис. 5 (как и на рис. 4), состав изученных в настоящей работе закалочных стекол занимает промежуточное положение между полями состава типичных N-MORB (САХ, 20°–21°с.ш.) и Е-MORB, среди которых присутствуют образцы, контаминированные высокосоленым гидротермальным флюидом (САХ, 16°–17°с.ш., Buikin et al., 2022).
Рис. 6, на котором указанные составы закалочных стекол САХ отображены в координатах MgO – Cl, демонстрирует изменение содержания хлора в закалочных стеклах, отобранных южнее вулкана Пюи-де-Фоль (в районе САХ 16°–17°с.ш.), испытавших контаминацию гидротермальным компонентом, производным от морской воды (Buikin et al., 2022). Поведение точек состава изученных нами закалочных стекол на рис. 6 отличается от поведения стекол, отобранных в том же сегменте САХ, и скорее соответствует тренду образцов из района САХ на 16°–17°с.ш. Отметим, что в недавней работе (Urann et al., 2017) приводятся аргументы в пользу мнения, что существующие оценки содержания Cl в резервуаре DMM завышены и нуждаются в переоценке, в то время как содержание Cl в MORB почти всегда связано с некоторой контаминацией материалом, обогащенным морской водой или ее дериватами. В связи с этим, можно предполагать, что и наши образцы обнаруживают слабые сигналы подобной контаминации.
Рис. 6. Ковариации содержания Сl и содержания MgO в закалочных стеклах вулкана Пюи-де-Фоль. Зеленая стрелка соответствует тренду контаминации магматического расплава гидротермальным компонентом.
Бор – надежный индикатор степени изменения пород океанической коры вследствие крайне низких концентраций этого элемента в мантийном источнике MORB (Ishikawa, Nakamura, 1992). Согласно (Ishikawa, Nakamura, 1992; Chaussidon, Jambon, 1994), содержание бора в N-MORB колеблется в интервале 0.34–0.74 г/т, в то время как для более обогащенных MORB оно составляет 0.5–2.4 г/т. Оценка содержания бора в мантии, произведенная в (Gurenko, Сhaussidon, 1997) по результатам изучения закалочных стекол базальтов неовулканической зоны Исландии, составила 0.13–0.21 г/т. Содержание бора в закалочных стеклах вулкана Пюи-де-Фоль составляет 0.88–0.90 г/т. Повышенные по сравнению с N-MORB содержания бора в изученных закалочных стеклах, родительский расплав которых, как указывалось выше, характеризуется лишь незначительной степенью фракционирования, могут свидетельствовать в пользу предположения о специфическом составе их мантийного источника. С другой стороны, они не исключают возможный небольшой вклад в состав магматического расплава гидротермального компонента, представляющего собой дериваты морской воды (см. также обсуждение выше). Добавим к этому, что хотя отношение Br/Cl в изученных образцах и близко к характерному для MORB, однако, в образце 45L099ad (Br/Cl = 0.0037) оно несколько превышает вариации этого параметра в N-MORB (0.0022–0.0034 по Kendrick, 2018). При этом, изменение отношений Br/Cl и K/Cl в наших образцах повторяет тенденции, установленные в (Kendrick, 2018) для закалочных стекол базальтов, контаминированных высокосоленым гидротермальным флюидом.
Изотопный состав Sr, Nd, Pb, B и O
Изотопные составы Sr, Nd и Pb приведены в табл. 4 и на рис. 7 и 8. Эти данные, также как и рассмотренные выше параметры состава, свидетельствуют о принадлежности закалочных стекол вулкана Пюи-де-Фоль к семейству деплетированных N-MORB.
Таблица 4. Изотопный состав Sr, Nd, Pb, O и B в закалочных стеклах базальтов вулкана Пюи-де-Фоль
Образец | 87Sr/86Sr | ± 2σ | 143Nd/144Nd | ± 2σ | 206Pb/204Pb | 207Pb/204Pb | 208Pb/204Pb | δ18O, VSMOW | δ11B, NBS951 |
45L-099ad | 0.702548 | 11 | 0.513128 | 5 | 18.3427 | 15.5013 | 37.7884 | 5.10 | −9.3 |
45L-102ad | 0.702561 | 8 | 0.513133 | 6 | 18.3463 | 15.5231 | 37.8691 | 5.61 | −7.3 |
45L-102ag | 0.702751 | 10 | 0.513131 | 8 | 18.3724 | 15.5460 | 37.9549 | 5.54 | н/а |
Примечания. Погрешности определения изотопного состава стронция и неодима относятся к последним цифрам изотопного отношения. Погрешность значений δ18О менее ± 0.3 ‰; δ11B около ± 7 ‰. Погрешность измерения изотопных отношений Pb в стеклах не превышала 0.03–0.04 % (2σ).
Рис. 7. Изотопный состав стронция и неодима в изученных закалочных стеклах. Бледно голубым обозначено поле состава MORB, представленное по (Костицын, 2004). Состав деплетированной мантии (DM) представлен согласно (Workman, Hart, 2005). Остальные условные обозначения как на рис. 6.
Рис. 8. Изотопный состав свинца в закалочных стеклах вулкана Пюи-де-Фоль. Для сравнения показаны точки изотопного состава свинца в базальтах рифтовой долины САХ по (Shirey et al., 1987; Sun, McDonough, 1989; Dosso et al., 1991; Skolotnev, 2014) и из района САХ 16°07’ – 16°10’ с. ш. (Silantyev et al., 2008).
В отличие от Sr и Nd, изотопный состав Pb в изученных образцах относительно неоднороден. Различия крайних значений изотопных отношений 206Pb/204Pb, 207Pb/204Pb и 208Pb/204Pb составляет соответственно 0.16 %, 0.29 % и 0.44 %. Эти различия в 4–10 раз превышают аналитическую погрешность и являются геохимически значимыми. На Pb-Pb изотопных диаграммах точки лежат в поле N-MORB, вблизи линии NHRL (North Hemisphere Reference Line) и области значений DM. Следует отметить повышенный масштаб вариаций отношения 207Pb/204Pb, который почти в 2 раза превышает таковой для отношения 206Pb/204Pb – наиболее вариативного в природных объектах. При этом наблюдается корреляция между отношениями 206Pb/204Pb и 207Pb/204Pb, которая на диаграмме в соответствующих координатах, выражается в виде короткого субвертикального тренда. Примечательно, что вдоль этого же тренда с небольшим разбросом располагаются точки изотопного состава аномальных в геохимическом отношении закалочных стекол из сегмента САХ между 16°–17° с. ш. (Силантьев и др., 2008). Следует еще раз отметить, что и поведение хлора в изученных образцах близко к таковому в образцах из сегмента САХ между 16°–17° с. ш. (рис. 6).
Изотопный состав кислорода в изученных образцах варьирует в узких пределах (от 5.1 до 5.6 ‰) и близок к изотопному составу кислорода в MORB (5.5–5.6 ‰, Bindeman, 2008) и в деплетированной мантии (5.3 ‰, Cavosie et al., 2009) (табл. 4). Изотопный состав бора в тех же образцах варьирует в пределах от –9.3 до –7.3 ‰. Изотопный состав бора в деплетированной мантии по (Marschall et al., 2017) составляет –7.1 ± 0.9 ‰. Таким образом, все рассмотренные изотопные системы свидетельствуют в пользу происхождения закалочных стекол вулкана Пюи-де-Фоль из сильно деплетированного расплава, образованного при частичном плавлении мантийного резервуара DM.
ПОДВОДНЫЙ ВУЛКАН ПЮИ-ДЕ-ФОЛЬ – АНОМАЛЬНОЕ ОСЕВОЕ ПОДНЯТИЕ В РИФТОВОЙ ДОЛИНЕ САХ
Осевые вулканические поднятия являются важнейшим структурным элементом рифтовой долины срединно-океанических хребтов, так как именно они служат геоморфологическими маркерами проявлений современного магматизма осевой зоны СОХ, продукты которого представлены MORB с нулевым возрастом (так называемыми «zero-age basalts»). Занимая в геоморфологическом отношении позицию осевого поднятия, вулкан Пюи-де-Фоль резко превосходит по размерам типичные для САХ осевые вулканические поднятия, высота которых не превышает нескольких сотен метров (Smith et al., 1995; Shah, Sempere, 1998). Для выяснения возможных факторов, определивших образование на оси рифтовой долины САХ на 20°36′с.ш., крупного вулканического центра, возвышающегося на 1800 метров над дном рифтовой долины, полезно рассмотреть данные о геохимической природе базальтов, слагающих вершину этого вулкана.
Приведенные выше параметры состава закалочных стекол вулкана Пюи-де-Фоль свидетельствуют об их происхождении из деплетированного расплава, отделившегося от мантийного резервуара DM, и продуцирующего N-MORB, обычные для сегмента САХ между 20°–21° с. ш. Этот вывод позволяет исключить плюмовый магматизм в качестве возможного механизма образования крупного вулканического поднятия в оси хребта. Содержание главных элементов в изученных закалочных стеклах указывает на то, что они являются продуктом фракционирования толеитового расплава. В работе (Ma et al., 2024) предполагается, что присутствие в рифтовой долине низкоскоростных центров спрединга продуктов фракционированных расплавов, родительских для N-MORB, может указывать на существование под-осевой магматической камеры, расположенной на глубине от 13 до 32 км под осью срединно-океанического хребта. Согласно цитируемым авторам, использовавшим оливиновый диффузионный хронометр, подьем расплава из такой магматической камеры к поверхности занимает от нескольких недель до трех месяцев. Результаты лабораторных исследований, представленные в (Smith et al., 1995), указывают на то, что при формировании вулканических построек в рифтовой долине большое влияние на их морфологические особенности оказывает скорость поднятия на поверхность и скорость излияния магматического расплава. При быстром излиянии рост вулканической постройки сопровождается преимущественно увеличением ее диаметра, в то время как медленное излияние способствует образованию значительных по высоте вулканических аппаратов.
В связи с вышесказанным, можно полагать, что формирование вулкана Пюи-де-Фоль занимало более протяженный отрезок времени, чем предполагаемый для формирования типичных осевых поднятий рифтовой долины, сложенных так называемыми “Zero-age Basalt”. Таким образом, источником расплава, питающего вулканическую постройку, должна была служить долгоживущая магматическая камера. Из этого допущения следует, что в рассматриваемой акватории рифтовой долины наблюдается стагнация спрединга океанической коры. Возможно также, что родительские расплавы отделялись от мантийного источника, отличного в геохимическом и минералогическом отношении от резервуара DM и расположенного на уровне гранатовой фации глубинности мантии. В рамках этого механизма можно предполагать, что высокая степень плавления такого источника обеспечила генерацию значительного объема магматического расплава, определившую формирование крупного вулканического центра. Однако, авторы не располагают надежными аргументами в пользу подобного сценария образования вулкана Пюи-де-Фоль.
Точки, в которых были получены образцы закалочных стекол, расположены в пределах области проявления современной гидротермальной деятельности. Некоторые геохимические (повышение содержания Cl и одновременно с этим отношения Br/Cl в одном из образцов в отсутствии признаков влияния фракционной кристаллизации) и изотопные (вариации изотопного состава свинца) особенности закалочных стекол могут быть объяснены слабым взаимодействием гидротермальных и магматических систем (см. также обсуждение выше). Обнаружение этих очень слабо проявленных маркеров контаминации стало возможным, благодаря высокой степени деплетированности магматического расплава, родительского для изученных закалочных стекол. Очевидна необходимость продолжения изучения закалочных стекол вулкана Пюи-де-Фоль на большем количестве образцов.
Установленное сходство некоторых геохимических и изотопных параметров закалочных стекол вулкана Пюи-де-Фоль с особенностями состава закалочных стекол, отобранных в сегменте САХ на 16°–17° с. ш., дает основание предполагать, что в формировании родоначальных расплавов вулкана Пюи-де-Фоль, помимо резервуара DM, мог принимать участие мантийный субстрат, обогащенный несовместимыми элементами. Примечательно, что район осевой зоны САХ, расположенный южнее вулкана Пюи-де-Фоль (САХ между 16°–17° с. ш.), также характеризуется заметным поднятием рельефа внутри осевой зоны рифтовой долины (Le Douaran, Francheteau, 1981).
ВЫВОДЫ
Полученные в проведенном исследовании данные о составе закалочных стекол вулкана Пюи-де-Фоль позволяют прийти к ряду выводов, дополняющих существующие представления о магматических и тектонических процессах, формирующих геоморфологические черты рифтовой долины низкоскоростных центров спрединга, к которым относится Срединно-Атлантический хребет:
- Вулкан Пюи-де-Фоль образован в результате деятельности промежуточной долгоживущей магматической камеры, расположенной под осью рифтовой долины САХ.
- Закалочные стекла вулкана Пюи-де-Фоль изначально являются продуктом сильно деплетированного расплава, образованного при частичном плавлении мантийного резервуара DM, впоследствии испытавшего обогащение редкими и рассеянными элементами и, возможно, расположенного в условиях гранатовой фации глубинности мантии;
- В закалочных стеклах, отобранных на вершине вулкана Пюи-де-Фоль, установлены слабые геохимические признаки, указывающие на возможное воздействие на родительские магматические расплавы гидротермального флюида;
- В районе осевой зоны САХ на 20°31′ с.ш., по-видимому, наблюдается стагнация спрединга океанической коры.
Авторы благодарят К. А. Лоренца за помощь в получении аналитических данных на TESCAN Mira3 и М. О. Аносову за помощь в проведении анализов методом LA-ICP-MS. Авторы также благодарны научному редактору О. А. Луканину и рецензентам М. В. Портнягину и А. В. Гирнису за внимательное отношение к рукописи, конструктивную критику и ценные замечания, которые помогли заметно улучшить качество статьи.
Настоящее исследование осуществлялось в рамках госзадания ГЕОХИ РАН.
About the authors
S. A. Silantyev
Vernadsky Institute of RAS
Author for correspondence.
Email: silantyev@geokhi.ru
Russian Federation, Kosygin st., 19, Moscow, 119991
A. I. Buikin
Vernadsky Institute of RAS
Email: silantyev@geokhi.ru
Russian Federation, Kosygin st., 19, Moscow, 119991
A. A. Gurenko
Université de Lorraine
Email: silantyev@geokhi.ru
Centre de Recherches Petrographiques et Geochimiques, UMR 7358
France, 54501 Vandoeuvre-les-NancyA. V. Chugaev
Institute of Geology of Ore Deposits, Petrography, Mineralogy and Geochemistry of RAS
Email: silantyev@geokhi.ru
Russian Federation, Staromonetny per., 35, Moscow, 119017
V. V. Shabykova
Vernadsky Institute of RAS
Email: silantyev@geokhi.ru
Russian Federation, Kosygin st., 19, Moscow, 119991
A. R. Tshovrebova
Vernadsky Institute of RAS
Email: silantyev@geokhi.ru
Russian Federation, Kosygin st., 19, Moscow, 119991
V. E. Beltenev
VNIIOkeangeologia
Email: silantyev@geokhi.ru
Russian Federation, Angliiskii pt., 1, Saint Petersburg, 190121
A. S. Bich
VNIIOkeangeologia
Email: silantyev@geokhi.ru
Russian Federation, Angliiskii pt., 1, Saint Petersburg, 190121
References
- Андреев С. И., Бабаева С. Ф., Казакова В. Е., Колчина Н.Л., Суханова А.А., Фирстова А.В., Ануфри- ева С.И., Луговская И.Г. (2017) Комплексы редкометалльных элементов в составе гидротермальных сульфидных руд Мирового океана. Руды и металлы. 4, 102–111.
- Дмитриев Л. В., Соколов С. Ю., Плечова А. А. (2006) Статистическая оценка вариаций состава и P-T условий эволюции базальтов срединно-океанических хребтов и их региональное распределение. Петрология. 14(2), 1–22.
- Костицын Ю. А. (2004) Sm-Nd и Lu-Hf изотопные системы Земли: отвечают ли они хондритам? Петрология.12(5), 451–466.
- Насонов Д. А. и др. (2023) Отчет по объекту «Оценочные работы на рудных полях северной части Российского разведочного района глубоководных полиметаллических сульфидов (РРР-ГПС) в Атлантическом океане» по Государственному контракту от 31.08.2021; № К.2021.005 в 6 книгах, фонды АО «ПМГРЭ», г. Ломоносов
- Силантьев С. А., Бортников Н. С., Шатагин К. Н., Бычкова Я. В., Краснова Е. А., Бельтенев В. Е. (2015.) Перидотит-базальтовая ассоциация САХ на 19°42′ – 19°59′ с. ш.: оценка условий петрогенезиса и баланса вещества при гидротермальном преобразовании океанической коры. Петрология. 23(1), 1–23.
- Силантьев С. А., Данюшевский Л. В., Плечова А. А., Доссо Л., Базылев Б. А., Бельтенев В. Е. (2008) Геохимические и изотопные черты продуктов магматизма рифтовой долины САХ в районах 12°49′–17°23′с.ш. и 29°59′–33°41′с.ш.: свидетельство двух контрастных источников родительских расплавов. Петрология. 16(1), 38–65.
- Силантьев С. А., Буйкин А. И., Цховребова А. Р., Шабыкова В. В., Бельтенев В. Е. (2023) Вариации состава закалочных стекол MORB Срединно-Атлантического хребта, 12°–31°с.ш.: Отражение эволюции состава родительских расплавов и влияния гидротермального компонента. Петрология. 31(5), 1–19.
- Цховребова А. Р., Шабыкова В. В., Силантьев С. А., Буйкин А. И. (2023) Особенности изотопного состава стронция и неодима в закалочных стеклах базальтов Срединно-Атлантического хребта, 12°–31°с. ш. Геохимия. 68(12), 1241–1252.
- R. Tskhovrebova, V. V. Shabykova, S. A. Silantyev, A. I. Buikin (2023) Strontium and Neodymium Isotopic Signatures in Basalt Glasses of the Mid-Atlantic Ridge, 12°–31° N. Geochem Int. 61(12), 1241–1252.
- Черкашев Г. А., Степанова Т. В., Андреев С. И. и др. (2018) Рудные объекты в пределах Российского Разведочного Района в северной приэкваториальной части Срединно-Атлантического хребта. В: Мировой океан. Том III. Твердые полезные ископаемые и газовые гидраты в океане. (Под ред. Лобковского Л. И., Черкашева Г. А.) М.: Научный мир, 90–122.
- Чернышев И. В., Чугаев А. В., Шатагин К. Н. (2007) Высокоточный изотопный анализ Pb методом многоколлекторной ICP-масс-спектрометрии с нормированием по205Tl/203Tl: оптимизация и калибровка метода для изучения вариаций изотопного состава Pb. Геохимия. 11, 1155–1168.
- V. Chernyshev, A. V. Chugaev, K. N. Shatagin (2007) High-Precision Pb Isotope Analysis by Multicollector-ICP-Mass-Spectrometry Using Normalization: Optimization and Calibration of the Method for the Studies of Pb Isotope Variations. Geochem Int. 45(11), 1065–1076.
- Чугаев А. В., Чернышев И. В., Лебедев В. А., Еремина А. В. (2013) Изотопный состав свинца и происхождение четвертичных лав вулкана Эльбрус (Большой Кавказ, Россия): данные высокоточного метода MC–ICP-MS. Петрология. 21(1), 20–33.
- Bindeman I. (2008) Oxygen Isotopes in Mantle and Crustal Magmas as Revealed by Single Crystal Analysis. Rev. Mineral. Geochem. 69, 445–478.
- Boschi L., Dziewonski A. M. (2000) Whole Earth tomography from delay times of P, PcP, PKP phases: lateral heterogeneities in the outer core, or radial anisotropy in the mantle? J. Geophys. Res. 105(B6), 13675–13696
- Buchl A., Munker C., Mezger K., Hofmann A. W. (2002) High-precision Nb/Ta and Zr/Hf ratios in global MORB. Goldschmidt Conference Abstracts. A108.
- Buikin A. I., Silantyev S. A., Verchovsky A. B. (2022) systematics combined with , Cl, K abundances in MORB glasses demonstrate interaction of magmatic and hydrothermal systems: a case for MAR at 16°07′–17°11′ N. Geochem. Int. 60(11), 1068–1086.
- Cadoux A., Iacono-Marziano G., et al. (2017). A new set of standards for in–situ measurement of bromine abundances in natural silicate glasses: Application to SR-XRF, LA-ICP-MS and SIMS techniques. Chem. Geol. 452, 60–70.
- Cavosie A. J., Kita N. T., Valley J. W. (2009) Primitive oxygen-isotope ratio recorded in magmatic zircon from the Mid-Atlantic Ridge. Am. Mineralog. 94, 926–934.
- Chaussidon M., Jambon A. (1994) Boron content and isotopic composition of oceanic basalts: Geochemical and cosmochemical implications. Earth Planet. Sci. Lett. 121, 277–291.
- Cherkashov G., Kuznetsov V., Kuksa K., Tabuns E., Maksimov F., Beltenev V. (2017) Sulfide geochronology along the Northern Equatorial Mid-Atlantic Ridge. Ore Geol. Rev. 87, 147–154.
- David K., Schiano P., Allègre C. J. (2000) Assessment of the Zr/Hf fractionation in oceanic basalts and continental materials during petrogenetic processes. Earth Planet. Sci. Lett. 178(3–4), 285–301.
- Dosso L., Hanan B. B., Bougault H., Schilling J.-G., Joron J.-L. (1991) Sr-Nd-Pb geochemical morphology between 10° and 17° N on the Mid-Atlantic Ridge: a new MORB isotope signature. Earth Planet. Sci. Lett. 106, 29–43.
- Grand S. P., van der Hilst R. D., Widiyantoro S. (1997) Global seismic Tomography: A snapshot of convection in the Earth. GSA Today. 7(4), 1–7.
- Gurenko A., Chaussidon M. (1997) Boron concentrations and isotopic composition of the Icelandic mantle: evidence from glass inclusions in olivine. Chem. Geol. 135, 21–34.
- Gurenko A. A., Bindeman I. N., Sigurdson I. A. (2015) To the origin of Icelandic rhyolites: insights from partially melted leucocratic xenoliths. Contrib. Mineral. Petrol. 169(5), 1–21.
- Gurenko A. A., Kamenetsky V. S., Kerr A. C. (2016) Oxygen isotopes and volatile contents of the Gorgona komatiites, Colombia: A confirmation of the deep mantle origin of . Earth Planet. Sci. Lett. 454, 154–165.
- Ishikawa T., Nakamura E. (1992) Boron isotope geochemistry of the oceanic crust from DSDP/ODP Hole 504B. Geochim Cosmochim Acta. 56, 1633–1639.
- Jackson M.G., Dasgupta R. (2008) Compositions of HIMU, EM1, and EM2 from global trends between radiogenic isotopes and major elements in ocean island basalts. Earth Planet. Sci. Lett. 276, 175–186.
- Jochum K. P., Stoll B., Herwig K., Woodhead J.et al. (2006) MPI-DING reference glasses for in situ microanalysis: New reference values for element concentrations and isotope ratios. Geochem. Geophys. Geosyst. 7(2), Q02008.
- Jochum KP, Weis U., Stoll B., Kuzmin D., Yang Q., Raczek I., Jacob D. E., Stracke A., Birbaum K., Frick D. A., Gunther D., Enzweiler J. (2011) Determination of reference values for NIST SRM 610–617 glasses following ISO guidelines. Geostand. Geoanalyt. Res. 35, 397–429
- Kendrick, M. A., C. Hemond, et al. (2017). Seawater cycled throughout Earth’s mantle in partially serpentinized lithosphere. Nature Geosci. 10(3), 222–228.
- Kendrick M. A. (2018) Halogens in Seawater, Marine Sediments and the Altered Oceanic Lithosphere. In: The Role of Halogens in Terrestrial and Extraterrestrial Geochemical Processes: Surface, Crust, and Mantle. Eds. D. E. Harlov and L. Aranovich. Springer Geochemistry. Pp. 591–648. https://link.springer.com/chapter/10.1007/978-3-319-61667-4_9.
- Le Douaran S. E., Francheteau J. (1981) Axial depth anomalies from 10 to 50o north along the Mid-Atlantic Ridge: correlation with other mantle properties. Earth Planet. Sci. Lett. 54, 29–47.
- Le Roux P.J., Shirey S.B., Hauri E.H., Perfit M.D., Ben-der J.F. The effects of variable sources, processes and contaminants on the composition of northern EPR MORB (8–10°N and 12–14°N): Evidence from volatiles (, , S) and halogens (F, Cl) // Earth and Planet Sci. Lett. 2006. V. 251 (3–4). PP. 209–231.
- Ma B., Liu P.-P., Dick H. J.B., Zhou M.-F., Chen Q., Liu C.-Z. (2024) Trans-Lithospheric Ascent Processes of the Deep-Rooted Magma Plumbing System Underneath the Ultraslow Spreading SW Indian Ridge. J. Geophys. Res. Solid Earth. 129. e2023JB027224. https://doi.org/10.1029/2023JB027224
- Marks, M.A.W., Kendrick M., Eby N., Zack T., Wenzel T. (2017). The F, Cl, Br and I Contents of Reference Glasses BHVO-2G, BIR-1G, BCR-2G, GSD-1G, GSE-1G, NIST SRM 610 and NIST SRM 612. Geostand. Geoanalyt. Res. 41(1), 107–122.
- Marschall H. R., Wanless V. D., Shimizu N., Pogge von Strandmann P. A.E., Elliott T., Monteleone B. D. (2017) The boron and lithium isotopic composition of mid-ocean ridge basalts and the mantle. Geochim. Cosmochim. Acta. 207, 102–138.
- Salters V. J.M., Stracke A. (2004) Composition of the depleted mantle Geochem. Geophys. Geosyst. 5(5), doi. 01.1029/2003GC000597.
- Saccani E. A. (2015) A new method of discriminating different types of post-Archean ophiolitic basalts and their tectonic significance using Th-Nb and Ce-Dy-Yb systematic. Geoscience Frontiers. 6, 481–501.
- Shah A. K., Sempere J.-C. (1998) Morphology of the transition from an axial high to a rift valley at the Southeast Indian Ridge and the relation to variations in mantle temperature. J. Geophys. Res. 103(B3), 5203–5223.
- Shirey S. B., Bender J. F., Langmuir C. H. (1987) Three-component isotope heterogeneity near the Oceanographer transform, Mid-Atlantic Ridge. Nature. 325(6101), 217–223.
- Skolotnev S. G. (2014) New Isotopic Data for Mid-Atlantic Ridge Basalts from the Arkhangelsk–Sierra Leone Fracture Zone (Central Atlantic). Dokl. Earth Sci. 459(1), 1429–1435.
- Smith D. K., Joe R. Cann J. R., Dougherty M. E., Lin J., Spencer S., MacLeod C., Keeton J., McAllister E., Brooks B., Pascoe R., Robertson W. (1995) Mid-Atlantic Ridge volcanism from deep-towed side-scan sonar images, 25o–29o N. J. Volcanol. Geotherm. Res. 67, 233–262.
- Sokolov S. Y., Chamov N. P., Khutorskoy M. D., Silantyev S. A. (2020) Intensity indicators of geodynamic processes along the Atlantic-Arctic Rift System. Geodynamics & Tectonophysics. 11(2), 302–319.
- Sun S.-S., McDonough W.F. (1989) Chemical and isotopic systematics of oceanic basalts: implications for mantle composition and processes, Magmatism in Ocean Basins, Saunders, A.D. and Norry, M.J., Eds., Geol. Soc. Spec. Publ. London. 42, 313–345.
- Urann B.M., Le Roux V., Hammond K. et al. Fluorine and chlorine in mantle minerals and the halogen budget of the Earth’s mantle // Contrib. Mineral. Petrol. 2017. https://doi.org/10.1007/s00410-017-1368-7
- Van Achterbergh E., Ryanm C. G., Griffin W. L. (1999) GLITTER: On-line interactive data reduction for the laser ablation ICP-MS microprobe. Proceedings of the 9th V. M. Goldschmidt Conference. Cambridge, Massachusetts. 305.
- Wetzel, D. T., Hauri E. H., Saal A. E., Rutherford M. J. (2015) Carbon content and degassing history of the lunar volcanic glasses. Nature Geosci. 8 (10), 755–758.
- Wilson M. (1989) Igneous Petrogenesis. London: Unwin Hyman, Boston-Sidney-Wellington, 466 p.
- Workman R. K., Hart S. R. (2005) Major and trace element composition of the depleted MORB mantle (DMM). Earth Planet. Sci. Lett. 231(1–2), 53–72.
Supplementary files










