Biomarker hydrocarbons in autochthonous and migrated bitumens in Precambrian of the Ust’-Mayskaya-366 well (Siberian platform)
- Autores: Timoshina I.D.1
-
Afiliações:
- Trofimuk Institute of Petroleum Geology and Geophysics SB RAS
- Edição: Volume 69, Nº 11 (2024)
- Páginas: 1022-1038
- Seção: Articles
- URL: https://journal-vniispk.ru/0016-7525/article/view/277710
- DOI: https://doi.org/10.31857/S0016752524110052
- EDN: https://elibrary.ru/IELPXC
- ID: 277710
Citar
Resumo
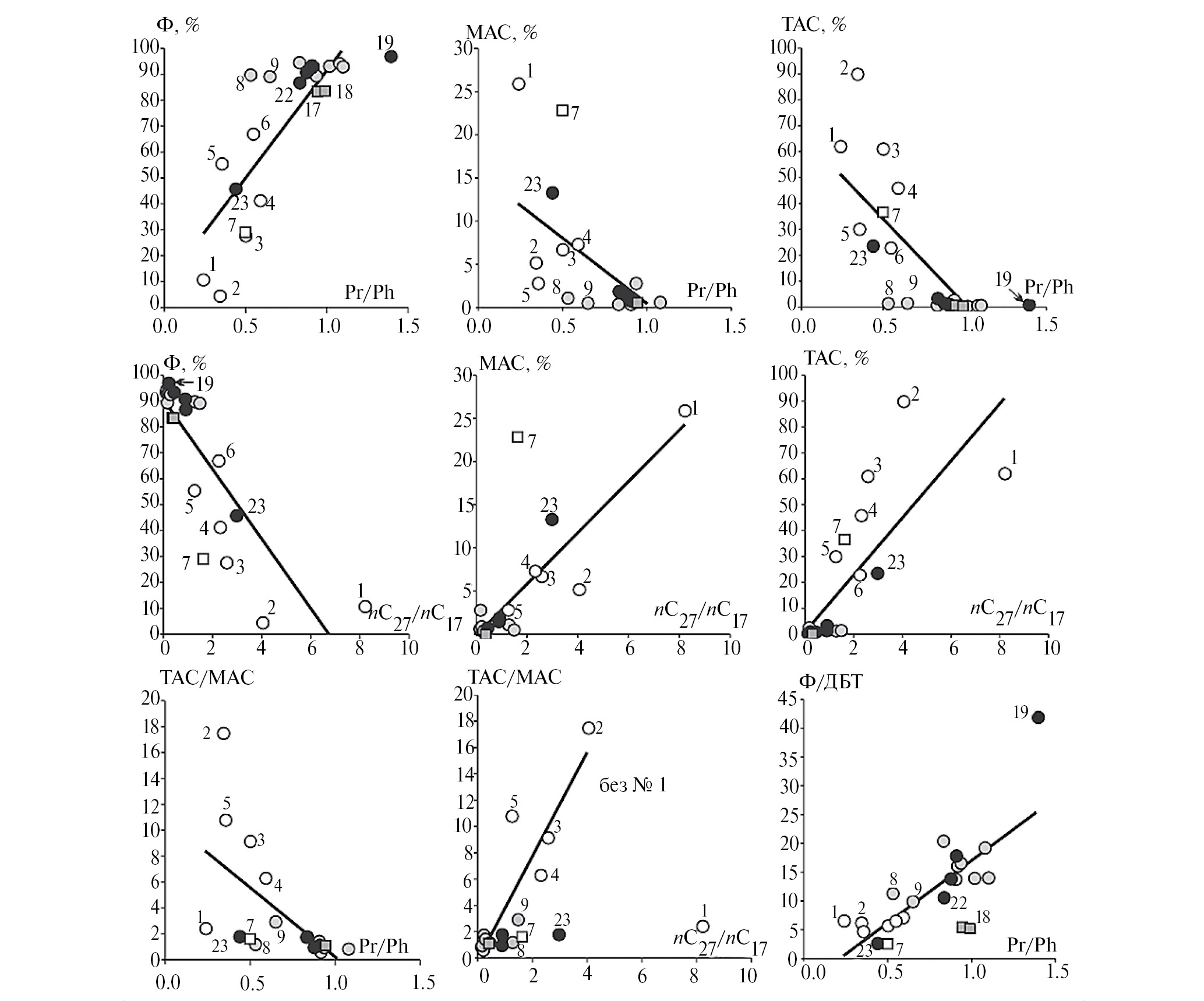
Within the framework of the problem of establishing the biogeochemical features of Precambrian petroleum-derived organic matter (OM) and naphthides generated by it, the distribution of biomarker hydrocarbons in samples from Ust-Mayskaya-366 well of the Aldano-Maya depression of the Siberian platform has been studied at a detailed modern level. In order to correlate OM and assess the effect of migration on biomarker parameters, allochthonous and mixed bitumens (AllB and MB), as well as extracted from the undivided rock open-pore bitumens (OPB) of the Neryuen, Ignikan, Kandyk, Ust-Kirbin (Riphean) and Sardana (Vendian) Formations were studied in comparison with autochthonous bitumen (AutB), of the Neryuen Formation’s oil-source-rock horizon in samples from the Ust-Mayskaya-366 well of the Aldan-Maya depression. Saturated cyclanes and aromatic fraction compounds for this well were analyzed for the first time. Neryuen mudstones are enriched with organic matter (TOC > 1%) accumulated in clays (in steranes βα/(αα + ββ)=0.5), which survived diagenesis in reducing environments without excess H2S (in homohopanes C35/C34=0.4) and thermally transformed within MC2-MC31 (Tmax – 452–465 °C). The maximum in tricyclanes C19–31 in almost all studied samples is C23, as well as in the Neryuen AutB. Even homologues of a number of 3,7-dimethylalkanes present in the Neryuen AutB and Ust-Kirbin MB, as well as those observed in trace amounts in the Neryuen and Ignikan MBs and in the OPBs of the Sardana formation, apparently disperse at migration. 12- and 13-monomethylalkanes are recorded in all bitumens, and they are especially abundant in the Kandyk OPBs – probably these compounds can accumulate during migration. Migrated bitumens differ from AutB by an increase in the proportion of steranes C29 (to C29/nC27 > 2) and the ratio nC27/nC17 (to > 1). A relationship with the bitumen coefficient was found for: Pr/Ph, nC27/nC17, ΣnCi/ΣizoCi in acyclic hydrocarbons, C29/C27 in steranes, C35/C34 in homohopanes, hopane/tricyclane ratios – these parameters are likely subject to migration effects. Probably, the Riphean bitumens have their source mainly in the carbonaceous Neryuen horizon, variations in characteristics are associated with catagenesis and migration processes of accumulation or dispersion of low molecular weight mobile compounds. The OPBs of the Sardana Formation differ from the Riphean ones. The upper 2 bitumens are immature parautochthonous, the rest are probably a mixture of Riphean and Vendian bitumens, which were influenced by the effects of solutions from the located southeast stratiform polymetallic deposits Sardana (about 35 km) and Perevalnoye (about 20 km) with mineralization in the Vendian.
Palavras-chave
Texto integral
Sobre autores
I. Timoshina
Trofimuk Institute of Petroleum Geology and Geophysics SB RAS
Autor responsável pela correspondência
Email: TimosinaID@ipgg.sbras.ru
Rússia, Ak. Koptyuga Ave. 3, Novosibirsk, 630090
Bibliografia
- Борисова Л. С., Фурсенко Е. А., Костырева Е. А., Тимошина И. Д. (2019) Комплекс химических и физических методов получения и исследования компонентов органического вещества пород и нафтидов: учебно-методическое пособие. Новосибирск: ИПЦ НГУ, 84 с.
- Бушнев Д. А. (1999) Основы геохимической интерпретации данных по составу и распределению индивидуальных органических соединений в нефтях и осадочных породах. Сыктывкар: Институт геологии Коми НЦ УРО РАН, 48 с.
- Виноградова Т. Л., Чахмахчев В. А., Агафонова З. Г., Якубсон З. В. (2001) Углеводородные и гетероатомные соединения – показатели термической зрелости органического вещества пород и нафтидов. Геология нефти и газа. (6), 49–55.
- Галямов А. Л., Волков А. В., Мурашов К. Ю., Сидорова Н. В., Кузнецова Т. П. (2020) Перспективы выявления месторождений миссисипского типа на Северо-Востоке России. Литосфера. 20 (2), 254–270. https://doi.org/10.24930/1681-9004-2020-20-2-254-270.
- Каширцев В. А., Советов Ю. К., Костырева Е. А., Меленевский В. Н., Кучкина А. Ю. (2009) Новый гомологический ряд молекул-биометок из вендских отложений Бирюсинского Присаянья. Геология и геофизика. 50 (6), 698–702.
- Каширцев В. А., Долженко К. В., Фомин А. Н., Конторович А. Э., Шевченко Н. П. (2017) Углеводородный состав битумоидов террагенного органического вещества больших глубин (зоны апокатагенеза). Геология и геофизика. 58 (6), 869–879. doi: 10.15372/GiG20170604
- Каширцев В. А., Дзюба О. С., Никитенко Б. Л., Костырева Е. А., Иванова И. К., Шевченко Н. П. (2021) Геохимия высокомолекулярных диметилалканов. Геология и геофизика. 62 (8), 1056–1068. doi: 10.15372/GiG2021108
- Ким Н. С., Родченко А. П. (2016) Гопановые углеводороды в битумоидах мезозойских отложений западной части Енисей-Хатангского регионального прогиба. Геология и геофизика. 57 (4), 758–770. https://doi.org/10.15372/GiG20160408
- Конторович А. Э., Бахтуров С. Ф., Башарин А. К., Беляев С. Ю., Бурштейн Л. М., Конторович А. А., Кринин В. А., Ларичев А. И., Ли Году, Меленевский В. Н., Тимошина И. Д., Фрадкин Г. С., Хоменко А. В. (1999) Разновозрастные очаги нафтидообразования и нафтидонакопления на Северо-Азиатском кратоне. Геология и геофизика. 40 (11), 1676–1693.
- Конторович А. Э., Верховская Н. А., Тимошина И. Д., Фомичев А. С. (1986) Изотопный состав углерода рассеянного органического вещества и битумоидов и некоторые спорные вопросы теории образования нефти. Геология и геофизика. (5), 3–12.
- Конторович А. Э., Тимошина И. Д. (2009). Насыщенные углеводороды-биомаркеры в нефтях и битумонасыщенных породах докембрия Катангской нефтегазоносной области. Геология нефти и газа. (1), 90–98.
- Конторович А. Э., Меленевский В. Н., Иванова Е. Н., Фомин А. Н. (2004) Фенантрены, ароматические стераны и дибензтиофены в юрских отложениях Западно-Сибирского нефтегазоносного бассейна и их значение для органической геохимии. Геология и геофизика. 5 (7), 873–883.
- Конторович А. Э., Парфенова Т. М., Иванова Е. Н. (2005) Ароматические углеводороды-биомаркеры и дибензотиофены в битумоидах куонамской свиты (северо-восток Сибирской платформы). ДАН. 402 (6), 804–806.
- Парфенова Т. М., Суслова Е. А. (2019) Новые сведения о геохимии рассеянного органического вещества пород неопротерозоя на юго-востоке Сибирской платформы. Новые идеи в геологии нефти и газа: Материалы международной научно-практической конференции. М.: Перо, 363–367.
- Петров А. А. (1984) Углеводороды нефти. М.: Наука, 264 с.
- Петров Ал.А. (1994) Геохимическая типизация нефтей. Геохимия. (6), 876–891.
- Решения Всесоюзного стратиграфического совещания по докембрию, палеозою и четвертичной системе Средней Сибири. (1983) Ч. 1 (Верхний докембрий, нижний палеозой). (Ред. В. Е. Савицкий, В. И. Краснов, В. В. Хоментовский). Новосибирск, 215 с.
- Соболев П. Н., Шиганова О. В., Дыхан С. В., Ахмедова А. Р. (2017) Новые данные о перспективах нефтегазоносности Алдано-Майской впадины. Геология и геофизика. 58 (3–4), 643–656. https://doi.org/10.15372/GiG20170325
- Тимошина И. Д., Болдушевская Л. Н. (2020) Геохимия органического вещества неопротерозоя на юго-востоке Сибирской платформы. Георесурсы. 22 (4), 41–54. https://doi.org/10.18599/grs.2020.4.41-54
- Тиссо Б., Вельте Д. (1981) Образование и распространение нефти. М.: Мир, 502 c.
- Фомин А. М., Константинова Л. Н., Губин И. А., Моисеев С. А. (2022) Результаты корреляции протерозойско-фанерозойских разрезов глубоких скважин и нефтегазоносные комплексы Алдано-Майской потенциально нефтегазоносной области. Нефтегазовая геология. Теория и практика. 17 (3), 1–20. http://www.ngtp.ru/rub/2022/29_2022.html
- Хоментовский В. В. (2005) Актуальные вопросы стратиграфии неопротерозоя в сибирском гипостратотипе рифея. Геология и геофизика. 46 (5), 529–545.
- Чахмахчев А. В., Виноградова T. Л., Агафонова З. Г., Гордадзе Т. И., Чахмахчев В. А. (1995) Бензотиофены – высокомолекулярные показатели катагенеза углеводородных систем. Геология нефти и газа. (7), 32–37.
- Brocks J. J., Buick R., Summons R. E., Logan G. A. (2003) A reconstruction of Archean biological diversity based on molecular fossils from the 2.78 to 2.45 billion-year-old Mount Bruce Supergroup, Hamersley Basin, Western Australia. Geochimica & Cosmochimica Acta. 67 (22), 4321–4335. https://doi.org/10.1016/S0016-7037(03)00209-6
- Fang R., Littke R., Zieger L., Baniasad A., Li M., Schwarzbauer J. (2019) Changes of composition and content of tricyclic terpane, hopane, sterane, and aromatic biomarkers throughout the oil window: A detailed study on maturity parameters of Lower Toarcian Posidonia Shale of the Hils Syncline, NW Germany. Org. Geochem. 138 (103928). https://doi.org/10.1016/j.orggeochem.2019.103928
- Huang W.-Y., Meinschein W. G. (1979) Sterols as ecological indicators. Geochim. Cosmochim. Acta. 43 (5), 739–745. https://doi.org/10.1016/0016-7037(79)90257-6
- Peters K. E., Moldowan J. M. (1993) The biomarker Guide: Interpreting molecular fossils in petroleum and ancient sediments. New Jersey: Prentis Hall, Englewood Cliffs, 363 p.
- Peters K. E., Walters C. C., Moldowan J. M. (2007) The biomarker guide. Cambridge University Press, 1155 p.
- Radke M., Welte D. H., Willsch H. (1991) Distribution of alkylated aromatic hydrocarbons and dibenzothiophenes in rocks of the Upper Rhine Graben. Chemical Geology. 93 (3–4), 325–341. https://doi.org/10.1016/0009-2541(91)90122-8
- Sсhou L., Myhr M. B. (1988) Sulfur aromatic compounds as maturity parameters. Org. Geochem. 13, 61–66. https://doi.org/10.1016/0146-6380(88)90025-3
Arquivos suplementares











