Spectral Properties of Functional Distyryl Derivatives of BODIPY
- Authors: Pakhomov A.A.1,2, Efremova A.V.2, Maksimova M.A.3, Kononevich Y.N.2, Ionov D.S.4, Dubinets N.O.4, Martynov V.I.1, Muzafarov A.M.2,5, Alfimov M.V.4,6
-
Affiliations:
- Shemyakin and Ovchinnikov Institute of Bioorganic Chemistry, Russian Academy of Sciences
- Nesmeyanov Institute of Organoelement Compounds, Russian Academy of Sciences
- Faculty of Chemistry, Moscow State University
- Photochemistry Center, Federal Research Center “Crystallography and Photonics,” Russian Academy of Sciences
- Enikolopov Institute of Synthetic Polymer Materials, Russian Academy of Sciences
- Moscow Institute of Physics and Technology (State University)
- Issue: Vol 57, No 3 (2023)
- Pages: 177-185
- Section: PHOTONICS
- URL: https://journal-vniispk.ru/0023-1193/article/view/139972
- DOI: https://doi.org/10.31857/S0023119323030105
- EDN: https://elibrary.ru/KDPLDV
- ID: 139972
Cite item
Full Text
Abstract
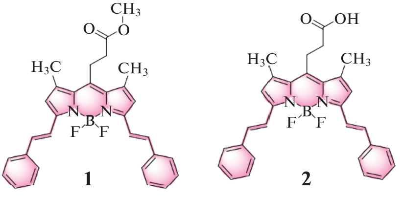
The photophysical properties of functional distyryl derivatives of dipyrrometheneboron difluoride (BODIPY) in various solvents have been studied. It was shown that in all solvents, the studied compounds have similar absorption and fluorescence spectra, which are characteristic of the distyryl derivatives of BODIPY. Small bathochromic shifts of the spectra with increasing solvent polarity, as well as insignificant changes in the rate constants of radiative and nonradiative processes, provide evidence that the S1 states are of the (π,π*) type. These dyes can be used to visualize processes in living systems.
Keywords
About the authors
A. A. Pakhomov
Shemyakin and Ovchinnikov Institute of Bioorganic Chemistry, Russian Academy of Sciences; Nesmeyanov Institute of Organoelement Compounds, Russian Academy of Sciences
Email: Dmitriy.ionov@gmail.com
Moscow, 117997 Russia; Moscow, 119991 Russia
A. V. Efremova
Nesmeyanov Institute of Organoelement Compounds, Russian Academy of Sciences
Email: Dmitriy.ionov@gmail.com
Moscow, 119991 Russia
M. A. Maksimova
Faculty of Chemistry, Moscow State University
Email: Dmitriy.ionov@gmail.com
Moscow, 119899 Russia
Yu. N. Kononevich
Nesmeyanov Institute of Organoelement Compounds, Russian Academy of Sciences
Email: Dmitriy.ionov@gmail.com
Moscow, 119991 Russia
D. S. Ionov
Photochemistry Center, Federal Research Center “Crystallography and Photonics,” Russian Academy of Sciences
Email: Dmitriy.ionov@gmail.com
Moscow, 119421 Russia
N. O. Dubinets
Photochemistry Center, Federal Research Center “Crystallography and Photonics,” Russian Academy of Sciences
Email: Dmitriy.ionov@gmail.com
Moscow, 119421 Russia
V. I. Martynov
Shemyakin and Ovchinnikov Institute of Bioorganic Chemistry, Russian Academy of Sciences
Email: Dmitriy.ionov@gmail.com
Moscow, 117997 Russia
A. M. Muzafarov
Nesmeyanov Institute of Organoelement Compounds, Russian Academy of Sciences; Enikolopov Institute of Synthetic Polymer Materials, Russian Academy of Sciences
Email: Dmitriy.ionov@gmail.com
Moscow, 119991 Russia; Moscow, 117393 Russia
M. V. Alfimov
Photochemistry Center, Federal Research Center “Crystallography and Photonics,” Russian Academy of Sciences; Moscow Institute of Physics and Technology (State University)
Author for correspondence.
Email: Dmitriy.ionov@gmail.com
Moscow, 119421 Russia; Dolgoprudnyi, Moscow oblast, 141707 Russia
References
- Tanaka K., Chujo Y. // NPG Asia Mater. 2015. V. 7. № 11. P. e223–e223.
- Frath D., Massue J., Ulrich G. et al. // Angew. Chemie Int. Ed. 2014. V. 53. № 9. P. 2290–2310.
- Li D., Zhang H., Wang Y. // Chem. Soc. Rev. 2013. V. 42. № 21. P. 8416–8433.
- Loudet A., Burgess K. // Chem. Rev. 2007. V. 107. № 11. P. 4891–4932.
- Kowada T., Maeda H., Kikuchi K. // Chem. Soc. Rev. 2015. V. 44. № 14. P. 4953–4972.
- Kamkaew A., Lim S.H., Lee H.B. et al. // Chem. Soc. Rev. 2013. V. 42. № 1. P. 77–88.
- Martynov V.I., Pakhomov A.A. // Russ. Chem. Rev. 2021. V. 90. № 10. P. 1213–1262.
- Lu H., Mack J., Yang Y. et al. // Chem. Soc. Rev. 2014. V. 43. № 13. P. 4778–4823.
- Tao J., Sun D., Sun L. et al. // Dye. Pigment. 2019. V. 168. P. 166–174.
- Zhang Y., Song K.-H., Tang S. et al. // J. Am. Chem. Soc. 2018. V. 140. № 40. P. 12741–12745.
- Liu Y., Xu C., Teng L. et al. // Chem. Commun. 2020. V. 56. № 13. P. 1956–1959.
- Kwon H., Liu X., Choi E.G. et al. // Angew. Chemie Int. Ed. 2019. V. 58. № 25. P. 8426–8431.
- Huang L., Yu X., Wu W. et al. // Org. Lett. 2012. V. 14. № 10. P. 2594–2597.
- Ünlü H., Okutan E. // New J. Chem. 2017. V. 41. № 18. P. 10424–10431.
- Turan I.S., Yildiz D., Turksoy A. et al. // Angew. Chemie Int. Ed. 2016. V. 55. № 8. P. 2875–2878.
- Pakhomov A.A., Deyev I.E., Ratnikova N.M. et al. // Biotechniques. 2017. V. 63. № 2.
- Martynov V.I., Pakhomov A.A., Popova N.V. et al. // Acta Naturae. 2016. V. 8. № 4. P. 33–46.
- Pakhomov A.A., Efremova A.V., Kononevich Y.N. et al. // ChemPhotoChem. P. In Press. https://doi.org/10.1002/cptc.202200324
- Weigend F., Ahlrichs R. // Phys. Chem. Chem. Phys. 2005. V. 7. № 18. P. 3297.
- Grimme S., Ehrlich S., Goerigk L. // J. Comput. Chem. 2011. V. 32. № 7. P. 1456–1465.
- Kruse H., Goerigk L., Grimme S. // J. Org. Chem. 2012. V. 77. № 23. P. 10824–10834.
- Barone V., Cossi M. // J. Phys. Chem. A. 1998. V. 102. № 11. P. 1995–2001.
- Mataga N., Kaifu Y., Koizumi M. // Bull. Chem. Soc. Jpn. 1956. V. 29. № 4. P. 465–470.
- Smallwood I.M. London: Elsevier, 1996.
Supplementary files








