Особенности плазмоэлектрохимического расщепления графита при импульсном воздействии
- Authors: 1, 1, 1, 1, 1, 2, 2
-
Affiliations:
- ФГБУН Институт проблем химической физики РАН
- ФГБУН Филиал Федерального исследовательского центра химической физики им. Н.Н. Семенова РАН
- Issue: Vol 57, No 1 (2023)
- Pages: 49-54
- Section: PLASMA CHEMISTRY
- URL: https://journal-vniispk.ru/0023-1193/article/view/139994
- DOI: https://doi.org/10.31857/S0023119322060092
- EDN: https://elibrary.ru/DDJBFJ
- ID: 139994
Cite item
Full Text
Abstract
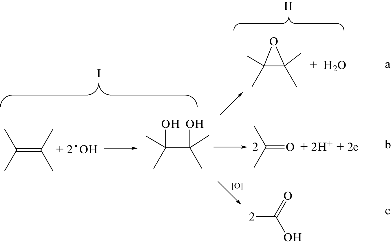
На основании анализа спектров оптической и акустической генерации, формы осциллограмм тока и напряжения, наряду с данными по характеризации электронной микроскопией, РФЭ- и ИК-спектроскопией синтезированных малослойных графеновых структур, предложена эмпирическая модель одностадийного расщепления графита под воздействием импульсной амбиполярной электролизной плазмы.
About the authors
ФГБУН Институт проблем химической физики РАН
Author for correspondence.
Email: kocherginvk@yandex.ru
Россия, 142432, Московская обл., Черноголовка, просп. Академика Семенова, 1
ФГБУН Институт проблем химической физики РАН
Email: kocherginvk@yandex.ru
Россия, 142432, Московская обл., Черноголовка, просп. Академика Семенова, 1
ФГБУН Институт проблем химической физики РАН
Email: kocherginvk@yandex.ru
Россия, 142432, Московская обл., Черноголовка, просп. Академика Семенова, 1
ФГБУН Институт проблем химической физики РАН
Email: kocherginvk@yandex.ru
Россия, 142432, Московская обл., Черноголовка, просп. Академика Семенова, 1
ФГБУН Институт проблем химической физики РАН
Email: kocherginvk@yandex.ru
Россия, 142432, Московская обл., Черноголовка, просп. Академика Семенова, 1
ФГБУН Филиал Федерального исследовательского центра химической физики им. Н.Н. Семенова РАН
Email: kocherginvk@yandex.ru
Россия, 142432, Московская обл., Черноголовка, просп. Академика Семенова, 1/10
ФГБУН Филиал Федерального исследовательского центра химической физики им. Н.Н. Семенова РАН
Email: kocherginvk@yandex.ru
Россия, 142432, Московская обл., Черноголовка, просп. Академика Семенова, 1/10
References
- Liu C.J., Vissokov G.P., Jang B.W.L. // Catal. Today. 2002. V. 72. № 3–4. P. 173.
- Kizling M.B., Jaras S.G. // Appl. Catal., A. 1996. V. 147. № 1. P. 1.
- Lebedev V.F., Rabchinskii M.K., Kozlyakov M.S., Stepanov D.N., Shvidchenko A.V., Nikonorov N.V. and Vul A.Y. // J. Anal. At. Spectrom. 2018. V. 33. P. 240.
- Mousavi S.J., Farsani M.H., Darbani S.M.R., Asado-rian N., Soltanolkotabi M., Majd A.E. // Appl. Opt. 2015. V. 54. № 7. P. 1713.
- Belkin P.N., Kusmanov S.A. // Surf. Eng. Appl. Electrochem. 2021. V. 57 №. 1. P. 19.
- Sikdar S., Menezes P.V., Maccione R., Jacob T., Menezes P.L. // Nanomaterials. 2021. V. 11. №. 6. P. 1375.
- Кравченко А.В., Кублановский В.С., Пивоваров А.А., Пустовойтенко В.П. // Низкотемпературный плазменный электролиз: теория и практика. M.: Днепропетровск ООО “Акцент ПП”, 2013. 222 с.
- Krivenko A.G., Manzhos R.A., Kotkin A.S., Kochergin V.K., Piven N.P. // Instrum. Sci. Technol. 2019. V. 47. P. 535.
- Kotkin A.S., Kochergin V.K., Kabachkov E.N., Shulga Y.M., Lobach A.S., Manzhos R.A., Krivenko A.G. // Mater. Today Energy. 2020. V. 17. P. 100459.
- Parvez K., Wu Z.S., Li R.J., Liu X.J., Graf R., Feng X.L., Mullen K. // J. Am. Chem. Soc. 2014. V. 136. № 16. P. 6083.
- Buxton G.V., Greenstock C.L., Helman W.P., Ross A.B. // J. Phys. Chem. Ref. Data. 1988. V. 17. № 2. P. 513.
- Vasiliev V.P., Kotkin A.S., Kochergin V.K., Manzhos R.A., Krivenko A.G. // J. Electroanal. Chem. 2019. V. 851. P. 113440.
- Belkin P.N., Kusmanov S.A. // Surf. Eng. Appl. Electrochem. 2016. V. 52. № 6. P. 531.
- Sengupta S.K., Singh R., Srivastava A.K. // J. Electrochem. Soc. 1998. V. 145. № 7. P. 2209.
- Engel A. Von // Ionized Gases. Oxford: Clarendon Press, 1965. P. 222.
- Kramida A., Ralchenko Yu., Reader J., and NIST ASD Team. NIST Atomic Spectra Database (ver. 5.9), https://physics.nist.gov/asd
- Ferus M., Kubelík P., Knížek A., Pastorek A., Sutherland J., Civiš S. // Sci. Rep. 2017. V. 7 № 1. P. 1.
Supplementary files







