Radiolytic Inactivation of Ponceau 4R Mutagenicity in Aqueous Solution
- Authors: Ponomarev A.V.1, Kholodkova E.M.1, Zotova I.V.2,3, Shumega A.R.2, Stepchenkova E.I.2,3
-
Affiliations:
- Frumkin Institute of Physical Chemistry and Electrochemistry, Russian Academy of Sciences
- St. Petersburg State University
- Vavilov Institute of General Genetics, St. Petersburg Branch, Russian Academy of Sciences
- Issue: Vol 57, No 5 (2023)
- Pages: 415-418
- Section: RADIATION CHEMISTRY
- URL: https://journal-vniispk.ru/0023-1193/article/view/140024
- DOI: https://doi.org/10.31857/S002311932305011X
- EDN: https://elibrary.ru/MZIVSK
- ID: 140024
Cite item
Full Text
Abstract
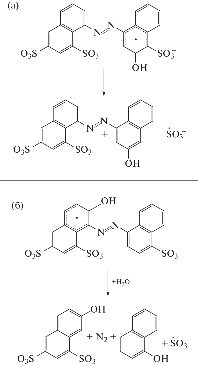
The electron-beam treatment of an aqueous solution of the azo dye Ponceau 4R (0.02 g/dm3) at a dose of 1.5 kGy in air led to the complete elimination of color and genotoxicity. The addition of OH radicals to the system of conjugated bonds of the dye (the formation of OH adducts) was a key radiolytic process, which led to the elimination of side groups with lower binding energies
Keywords
About the authors
A. V. Ponomarev
Frumkin Institute of Physical Chemistry and Electrochemistry, Russian Academy of Sciences
Email: ponomarev@ipc.rssi.ru
Moscow, 119071 Russia
E. M. Kholodkova
Frumkin Institute of Physical Chemistry and Electrochemistry, Russian Academy of Sciences
Email: ponomarev@ipc.rssi.ru
Moscow, 119071 Russia
I. V. Zotova
St. Petersburg State University; Vavilov Institute of General Genetics, St. Petersburg Branch, Russian Academy of Sciences
Email: ponomarev@ipc.rssi.ru
St. Petersburg, 199034 Russia; St. Petersburg, 199034 Russia
A. R. Shumega
St. Petersburg State University
Email: ponomarev@ipc.rssi.ru
St. Petersburg, 199034 Russia
E. I. Stepchenkova
St. Petersburg State University; Vavilov Institute of General Genetics, St. Petersburg Branch, Russian Academy of Sciences
Author for correspondence.
Email: ponomarev@ipc.rssi.ru
St. Petersburg, 199034 Russia; St. Petersburg, 199034 Russia
References
- Tkaczyk A., Mitrowska K., Posyniak A. // Sci. Total Environ. 2020. V. 717. P. 137222. https://doi.org/10.1016/j.scitotenv.2020.137222
- Rocha O.P., Cesila C.A., Christovam E.M., Barros S.B., Zanoni M.V., de Oliveira D.P. // Toxicology. 2017. V. 376. P. 113. https://doi.org/10.1016/j.tox.2016.04.002
- Yamjala K., Subramania Nainar M., Varma S.K., Ambore N. // Anal. Methods. 2016. V. 8. P. 5017. https://doi.org/10.1039/C6AY00716C
- Ames B.N., McCann J., Yamasaki E. // Mutat. Res. Mutagen. Relat. Subj. 1975. V. 31. P. 347. https://doi.org/10.1016/0165-1161(75)90046-1
- Mortelmans K., Zeiger E. // Mutat. Res. Mol. Mech. Mutagen. 2000. V. 455. P. 29. https://doi.org/10.1016/S0027-5107(00)00064-6
- Kholodkova E.M., Ponomarev A.V. // High Energy Chem. 2023. V. 57. P. 146. https://doi.org/10.1134/S0018143923020078
- Ponomarev A.V., Ershov B.G. // Environ. Sci. Technol. 2020. V. 54. P. 5331. https://doi.org/10.1021/acs.est.0c00545
- Traven V.F. // Frontier Orbitals and Properties of Organic Molecules (Ellis Horwood Series in Organic Chemistry), Mellor J. ed. Ellis Horwood Ltd, New York. 1992.
- Hunger K., Mischke P., Rieper W., Raue R., Kunde K., Engel A. // Azo Dyes. In Ullmann’s Encyclopedia of Industrial Chemistry; Wiley-VCH Verlag GmbH & Co. KGaA: Weinheim, Germany. 2000
- Kim Yuri, Ershov B.G., Ponomarev A.V. // High Energy Chem. 2020, V. 54(6). P. 462. https://doi.org/10.1134/S0018143920060089
Supplementary files



