Conformational Rearrangements of Adsorbed Polyampholytes under Periodic Changes in Polarity of a Charged Prolate Gold Nanospheroid
- Authors: Kruchinin N.Y.1, Kucherenko M.G.1, Neyasov P.P.1
-
Affiliations:
- Center for Laser and Information Biophysics, Orenburg State University
- Issue: Vol 57, No 6 (2023)
- Pages: 423-436
- Section: PHOTONICS
- URL: https://journal-vniispk.ru/0023-1193/article/view/232772
- DOI: https://doi.org/10.31857/S0023119323060074
- EDN: https://elibrary.ru/QIQMJY
- ID: 232772
Cite item
Full Text
Abstract
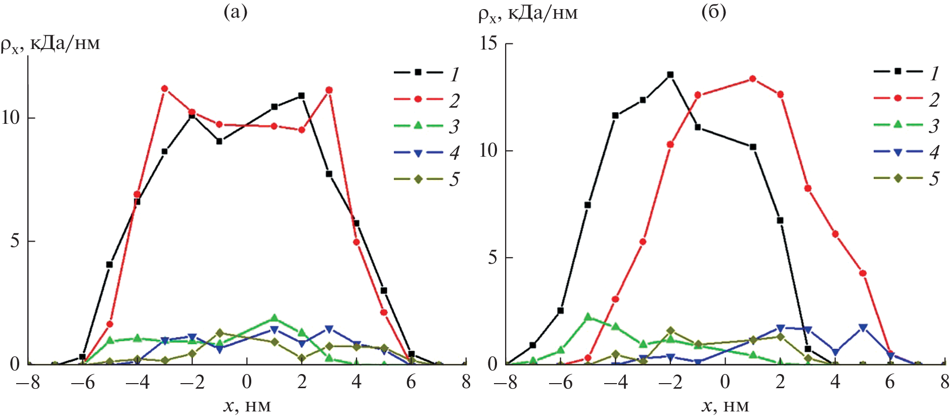
Conformational rearrangements of polyampholytic polypeptides adsorbed on the surface of a charged prolate gold nanospheroid with a periodic change in time of its polarity along the rotation axis have been studied using molecular dynamics simulation. The radial distributions of the density of polypeptide atoms in the equatorial region of the nanospheroid have been calculated, as well as the distributions of the linear density of polypeptide atoms along the major axis of the nanospheroid. At a low simulation temperature, a girdle polyampholytic fringe was formed in the central region of the nanospheroid and its ordering by layers, depending on the type of units, occurred with an increase in the charge of the nanospheroid with a simultaneous increase in the width of the macromolecular fringe along the rotation axis. The thickness of such a fringe along the cross section depends on the distance between the oppositely charged units in the
polyampholyte. At high temperatures and high absolute values of the total charge of the spheroidal nanoparticle, there were periodic displacements of the polyampholytic fringe toward the poles of the nanospheroid, being in antiphase for oppositely charged metallic nanospheroids. A mathematical model is presented for describing the conformational structure of a polyampholyte macromolecule on a prolate nanospheroid in an alternating electric field with the approximation of a prolate spheroid by a spherical cylinder
About the authors
N. Yu. Kruchinin
Center for Laser and Information Biophysics, Orenburg State University
Email: kruchinin_56@mail.ru
Orenburg, Russia
M. G. Kucherenko
Center for Laser and Information Biophysics, Orenburg State University
Email: kruchinin_56@mail.ru
Orenburg, Russia
P. P. Neyasov
Center for Laser and Information Biophysics, Orenburg State University
Author for correspondence.
Email: kruchinin_56@mail.ru
Orenburg, Russia
References
- Peltomaa R., Amaro-Torres F., Carrasco S. et al. // ACS Nano. 2018. V. 12. P. 11333.
- Natarajan P., Sukthankar P., Changstrom J. et al. // ACS Omega. 2018. V. 3. P. 11071.
- Perng W., Palui G., Wang W., Mattoussi H. // Bioconjugate Chem. 2019. V. 30. P. 2469
- Shahdeo D., Kesarwani V., Suhag D. et al. // Carbohydrate Polymers. 2021. V. 266. P. 118138.
- Uddayasankar U., Krull U.J. // Langmuir. 2015. V. 31. P. 8194.
- Green C.M., Spangler J., Susumu K. et al. // ACS Nano. 2022. V. 16. P. 20693.
- Chakraborty K., Biswas A., Mishra S. et al. // ACS Appl. Bio Mater. 2023. V. 6. P. 458.
- Jin Z., Dridi N., Palui G. et al. // J. Am. Chem. Soc. 2023. V. 145. P. 4570.
- Farhangi S., Karimi E., Khajeh K. et al. // Nanomedicine: Nanotechnology, Biology and Medicine. 2023. V. 47. P. 102609.
- Yousefi A., Ying C., Parmenter C.D.J. et al. // Nano Letters. 2023. V. 23. P. 3251.
- Nikolenko L.M., Pevtsov D.N., Brichkin S.B. // High Energy Chemistry. 2022. V. 56. P. 380.
- Shi M., Wang X., Wu Y. et al. // Sensors and Actuators B: Chemical. 2022. V. 355. P. 131315.
- Nevidimov A.V., Razumov V.F. // High Energy Chemistry. 2020. V. 54 P. 28.
- Li D., Zhang X., Chai Y., Yuan R. // Analytical Chemistry. 2023. V. 95. P. 1490.
- Sokolov P.A., Ramasanoff R.R., Gabrusenok P.V., Baryshev A.V., Kasyanenko N.A. // Langmuir. 2022. V. 38. P. 15776.
- Kruchinin N.Yu., Kucherenko M.G. // Colloid Journal. 2020. V. 82. № 2. P. 136.
- Kruchinin N.Yu., Kucherenko M.G. // Surfaces and Interfaces. 2021. V. 27. P. 101517.
- Kruchinin N. Yu. // Colloid Journal. 2021. V. 83. № 3. P. 326.
- Kruchinin N.Yu., Kucherenko M.G. // Colloid Journal. 2021. V. 83. № 5. P. 591.
- Kruchinin N.Yu., Kucherenko M.G. // High Energy Chemistry. 2021. V. 55. № 6. P. 442.
- Kruchinin N.Yu., Kucherenko M.G. // Russian Journal of Physical Chemistry A. 2022. V. 96. № 3. P. 622.
- Kucherenko M.G., Kruchinin N.Yu., Neyasov P.P. // Eurasian Physical Technical Journal. 2022. V. 19. № 2 (40). P. 19.
- Kruchinin N.Y., Kucherenko M.G. // Colloid Journal. 2022. V. 84. P. 169.
- Kruchinin N.Yu., Kucherenko M.G. // High Energy Chemistry. 2022. V. 56. № 6. P. 499.
- Kruchinin N.Yu., Kucherenko M.G. // Polymer Science Series A. 2022. V. 64. № 3. P. 240.
- Kruchinin N.Yu., Kucherenko M.G. // Colloid Journal. 2023. V. 85. P. 44.
- Phillips J.C., Braun R., Wang W. et al. // J. Comput. Chem. 2005. V. 26. P. 1781.
- MacKerell A.D.Jr., Bashford D., Bellott M. et al. // J. Phys. Chem. B. 1998. V. 102. P. 3586.
- Huang J., Rauscher S., Nawrocki G. et al. // Nature Methods. 2016. V. 14. P. 71.
- Heinz H., Vaia R.A., Farmer B.L., Naik R.R. // J. Phys. Chem. C. 2008. V. 112. P. 17281.
- Cappabianca R., De Angelis P., Cardellini A. et al. // ACS Omega. 2022. V. 7. P. 42292.
- Chew A.K., Pedersen J.A., Van Lehn R.C. // ACS Nano. 2022. V. 16. P. 6282.
- Dutta S., Corni S., Brancolini G. // Int. J. Mol. Sci. 2021. V. 22. P. 3624.
- Kariuki R., Penman R., Bryant S.J. et al. // ACS Nano. 2022. V. 16. P. 17179.
- Farhadian N., Kazemi M.S., Baigi F.M., Khalaj M. // Journal of Molecular Graphics and Modelling. 2022. V. 116. 2022. P. 108271.
- Jia H., Zhang Y., Zhang C. et al. // J. Phys. Chem. B. 2023. V. 127. P. 2258.
- Xiong Q., Lee O., Mirkin C.A., Schatz G. // J. Am. Chem. Soc. 2023. V. 145. P. 706.
- Hoff S.E., Di Silvio D., Ziolo R.F. et al. // ACS Nano. 2022. V. 16. P. 8766.
- Salassi S., Caselli L., Cardellini J. et al. // J. Chem. Theory Comput. 2021. V. 17. P. 6597.
- Darden T., York D., Pedersen L. // J. Chem. Phys. 1993. V. 98. P. 10089.
- Jorgensen W.L., Chandrasekhar J., Madura J.D. et al. // J. Chem. Phys. 1983. V. 79. P. 926.
- Shankla M., Aksimentiev A. // Nature Communications. 2014. V. 5. P. 5171.
- Chen P., Zhang Z., Gu N., Ji M. // Molecular Simulation. 2018. V. 44. P. 85.
- Ландау Л.Д., Лифшиц Е.М. Электродинамика сплошных сред. М.: Наука, 1982.
- Гросберг А.Ю., Хохлов А.P. Статистическая физика макромолекул. М.: Наука, 1989.
Supplementary files









