Radiolytic modification of polymer filler for cement compositions
- Authors: Kholodkova E.M.1, Nevolin Y.M.1, Shapagin A.V.2, Grafov O.Y.1, Ponomarev A.V.1
-
Affiliations:
- A.N. Frumkin Institute of Physical Chemistry and Electrochemistry of the Russian Academy of Sciences
- A.N. Frumkin Institute of Physical Chemistry and Electrochemistry of the Russian Academy of Sciences Leninsky prospekt 31(4), Moscow, 119071 Russia
- Issue: Vol 58, No 1 (2024)
- Pages: 54-59
- Section: RADIATION CHEMISTRY
- URL: https://journal-vniispk.ru/0023-1193/article/view/258148
- DOI: https://doi.org/10.31857/S0023119324010055
- EDN: https://elibrary.ru/KAHFSP
- ID: 258148
Cite item
Full Text
Abstract
The influence of preliminary irradiation (3 MeV electron beam) of powdered (≤0.2 mm) synthetic polymers (polyethylene, polypropylene, polyvinyl chloride, polycarbonate, polyethylene terephthalate, or polystyrene) on the compressive strength of cement-sand-polymer compositions has been studied. The surface oxidation of the powders was ensured by irradiation in air or in a water-air mixture. It is shown that the oxidation of the powder in an aqueous medium, as well as the post-radiation alkalization of the powders, contribute to a higher strength of the composites. Oxidation of the powder in air leads to a relative decrease in the strength of the composite due to a higher yield of acid formation.
Keywords
Full Text
ВВЕДЕНИЕ
Иммобилизации полимерных отходов в цементно-песчаные матрицы позволяет получать сравнительно легкие теплоизоляционные композиты с низкими показателями усадки, диффузного распространения трещин, газо- и водопроницаемости [1, 2]. Однако полимерный наполнитель снижает механическую прочность цементной композиции [3, 4]. Негативный эффект может быть уменьшен посредством предварительного радиолитического окисления пластика [5–7], способствующего повышению концентрации полярных групп на поверхности пластиковых частиц [8, 9] и, тем самым, увеличению адгезии пластика к другим материалам [10, 11]. Выход окисления во много раз выше выхода многих других радиолитических процессов благодаря цепному механизму [8].
Выбор режима окисления диктуется стремлением минимизировать образование нежелательных кислородсодержащих групп [8, 12] с одновременным повышением выхода групп, улучшающих совместимость облученного пластика с цементными смесями. В настоящей работе исследовалось радиолитическое окисление порошков полиэтилена, полипропилена, поливинилхлорида, поликарбоната, полиэтилентерефталата и полистирола, а также прочность цементно-песчано-полимерных композиций (ЦППК), включающих до 5 вес. % этих порошков.
ЭКСПЕРИМЕНТ
Исследовались воздушно-сухие порошки поливинилхлорида (ПВХ), полипропилена (ПП) и полистирола (ПС) от “LG Chem” (Республика Корея); полиэтилентерефталата (ПЭТФ) от “Сибур-ПЭТФ” (Россия); полиэтилена низкой плотности (ПЭНП), полиэтилена высокой плотности (ПЭВП) и поликарбоната (ПК, на основе дифенилкарбоната и бисфенола А) от “Казаньоргсинтез” (Россия). Первичные бесцветные гранулы промывались водой и этиловым спиртом, высушивались, а затем преобразовывались в порошок (≤0.2 мм) с помощью режущего измельчителя Powteq FM200 (Япония).
Облучателем служил линейный ускоритель электронов LINS-03-350 (RadiaBeam Systems, США) с горизонтальным несканируемым пучком (3 МэВ энергия электронов, 4 мкс длительности импульса и 50 Гц частота повторения импульсов). Средняя мощность дозы с учетом задержки между импульсами составляла 135 Гр/с. Поглощенная доза для порошка, используемого в композитах, составляла 25 кГр при толщине облучаемого слоя 1.3 г/см2. Порошки облучались в стеклянных сосудах [9] при комнатной температуре (20 ± 2°С) в потоке воздуха (псевдоожиженный слой) или в слое воды (барботаж) при расходе воздуха 6 дм3/с.
Сравнивались пять вариантов порошка: необлученный (F); облученный на воздухе (А), облученный в воде (W), подщелоченный после облучения на воздухе (AN) и подщелоченный после облучения в воде (WN). Для пост-радиационного подщелачивания использовали водный 0.1 М раствор NaOH (перемешивание 5 мин). После подщелачивания пластиковый порошок трижды по 10 мин промывали в избытке дистиллированной воды, а затем высушивали 25 мин в потоке воздуха при комнатной температуре.
Изменение степени окисления поверхности пластиков регистрировалось с помощью ИК-Фурье спектрометра ФТ-801 (ООО НПФ “Симекс”, Россия) с двумя приставками. В случае пластиковых порошков использовалась приставка (микроскоп) Микран 3 с зеркальным отражением от стальной подложки в диапазоне 4000–650 см-1 с разрешением 4 см-1. В случае пластиковых пленок применялась приставка НПВО (алмаз) в диапазоне 4000–600 см-1 с разрешением 4 см-1.
Исследования методом рентгеновской фотоэлектронной спектроскопии (РФЭС) проводили на спектрометре OMICRON ESCA+ с алюминиевым анодом AlKα 1486.6 эВ при угле эмиссии 15°. Энергия пропускания анализатора составляла 20 эВ. Спектрометр калибровали по линии Au4f 7/2 при 84.1 эВ. Давление в камере анализатора не превышало 10-9 мбар. Все спектры накапливались не менее трех раз. Положения спектров стандартизировали относительно пика C1s углеводородных загрязнений из атмосферы с максимумом при 285.0 эВ. Разделение спектров на компоненты проводили после вычитания фона, определенного по методу [13]. При количественном анализе использовали коэффициенты чувствительности Скофилда [14].
Матрицы для иммобилизации готовили на основе смеси Портланд цемента М 500 (42.5 МПа) и промытого кварцевого песка (≤ 0.2 мм) при их весовом соотношении 1/3 и относительной влажности воздуха 35 ± 7%. Пластиковый порошок (до 5 вес. %) добавляли к сухой цементно-песчаной смеси и тщательно перемешивали. Вес добавляемой воды равнялся сумме веса цемента и пластика. Перемешивание осуществлялось в четыре этапа в силиконовом контейнере с помощью лабораторной мешалки при 100 оборотах в минуту. Из полученного строительного раствора формовали кубические образцы с размером грани 10 мм. Образцы выдерживались при комнатной температуре при относительной влажности воздуха 100%. Прочность образцов на сжатие определялась спустя 35 суток с использованием разрывной машины Zwick/Roell Z010 (Германия) при скорости нагружения 0.6 МПа/с.
РЕЗУЛЬТАТЫ И ОБСУЖДЕНИЕ
Окисление придает пластику гидрофильность, что существенно повышает удержание порошка в свежей цементно-песчаной пасте. Тем не менее, пасту приходится поначалу перемешивать во избежание всплытия порошка на поверхность. Рисунки 1 и 2 показывают типичные результаты тестирования прочности на сжатие для образцов ЦППК, содержащих до 5 вес. % пластиковых порошков. Тесты выявляют существенную зависимость прочности образцов от условий радиолиза и пост-радиационной обработки. Введение 5 вес. % любого из необлученных порошков (режим F) снижает прочность ЦППК на 6–10 МПа или на 18–30% по сравнению с песчано-цементным композитом, не содержащим пластика.
Частичная компенсация потери прочности наблюдается в случае предварительного облучения порошков на воздухе (рис. 1 и 2, режим А). Для образцов, содержащих от 2 до 3 вес. % облученного пластикового порошка, прочность выше на 1–4 МПа по сравнению с образцами, включающими необлученный порошок. Еще более высокая прочность наблюдается в случаях предварительного облучения порошка в воде (режим W) или в случае пост-радиационного подщелачивания облученного порошка (режимы AN и WN). Наибольшая прочность, сопоставимая с прочностью обычного строительного раствора, имеет место в случае композитов, содержащих ПЭВП, ПП, ПС и ПЭТФ, облученные в воде с последующим кратковременным подщелачиванием (режим WN, рис. 1). В случае ПЭНП, ПВХ и ПК, наибольшая прочность достигается после облучения в водо-воздушной смеси (режим W, рис. 2). Зависимость прочности от условий облучения и пост-радиационной обработки указывает на различия состава кислородсодержащих групп на поверхности облученных пластиковых частиц. В частности, позитивное влияние пост-радиационного подщелачивания может быть связано с нейтрализацией кислот.
Рис. 1. Прочность на сжатие s для ЦППК в зависимости от содержания [P] и режима обработки порошка ПЭВП. Схожие зависимости наблюдаются в случае порошков ПП, ПС и ПЭТФ.
Рис. 2. Прочность на сжатие для ЦППК в зависимости от содержания [p] и режима обработки порошка ПЭНП. Схожие зависимости наблюдаются в случае порошков ПВХ и ПК.
Окисление на воздухе
Окисление на поверхности существенно отличается от окисления в объеме. Низкая растворимость и медленная диффузия кислорода ограничивают окисление в объеме пластика [8]. Более того, объемное окисление зависит от структурно-морфологических особенностей пластика, наличия структурных дефектов и антиоксидантов, толщины образца, давления кислорода, мощности дозы и температуры. Высокая мощность дозы, характерная для электронного пучка, обеспечивает более быстрое расходование кислорода по сравнению с его диффузионным восполнением, а также способствует обрыву кинетической цепи окисления из-за возрастания вероятности рекомбинации макрорадикалов в объеме.
Радиолитическое окисление протекает в три стадии: образование макрорадикалов (R·); реакции между R· и О2 с образованием перекисных радикалов (ROO ·); конверсия нестабильных ROO · в стабильные продукты (преимущественно карбонильные соединения и спирты). Промежуточными продуктами также могут быть гидроперекиси и диалкилперекиси. Типичный выход карбонилов и воды в объеме полиэтилена составляет около 0.52 и 0.26 мкмоль/Дж соответственно [8].
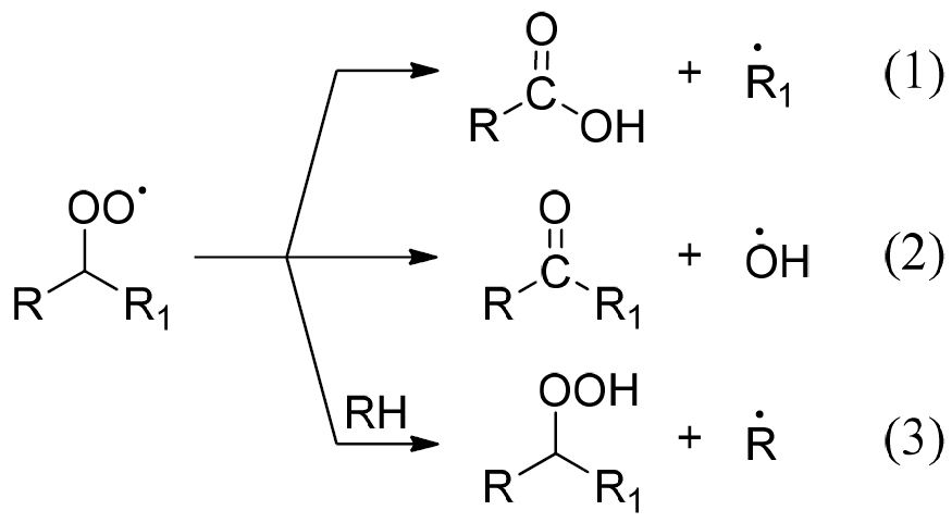
Окисление на поверхности интенсивнее из-за максимальной концентрации О2, более быстрого восполнения кислорода и более низкой вероятности рекомбинации макрорадикалов. Степень окисления также может возрастать в пост-радиационных процессах за счет миграции радикальных центров из объема к поверхности пластика. Гибель ROO · включает три конкурирующих реакции (где R и R1 полимерные группы):
На поверхности более вероятен мономолекулярный распад ROO · по реакциям (1) и (2). Бимолекулярная реакция (3) с участием соседних макромолекул RH (источник Н) предпочтительна в объеме пластика. Реакции (1)–(3) обеспечивают цепное развитие окисления. Карбоксильные группы на поверхности образуются с заметными выходами [8]. В частности, преобразование карбонила в карбоксил характерно для алифатических кетонов. При окислении ароматических углеводородов выход кислот превышает 0.1 мкмоль/Дж. Выход карбоксильных групп при объемном радиолитическом окислении линейного полиэтилена и сополимера этилена с пропиленом составляет 0.7 и 0.5 мкмоль/Дж соответственно [8]. Карбоксильная группа может также входить в состав малой карбоновой кислоты, отщепляемой при радиолизе.
Дополнительным источником ROO · может служить радиационно-индуцируемый озон. Выход карбоксилов в озонируемых пластиках выше, чем карбонилов, и дополнительно многократно возрастает с температурой [15]. По мере радиолитического генерирования двойных связей в пластике, скорость его реакций с озоном возрастает [15, 16]. При этом сами карбоновые кислоты не реагируют с озоном, поскольку относятся к конечным продуктами его реакций с органическими соединениями.
Согласно РФЭС, окисление на воздухе при 150 кГр (экспозиция 20 мин) снижает содержание неокисленных С атомов почти на 4–7 ат. % в случае пленок ПЭНП, ПЭВП и ПП, и почти на 10 ат. % в случае пленки ПС. Соответственно, появляется такое же количество групп, где С атом связан с одним или двумя атомами кислорода. Фракция атомов С, входящих в состав карбоксилов, составляет от 20 (ПП) до 30% (ЛДПЕ) от количества окисленных атомов С (рис. 3). Оцениваемый выход образования –С(О)ОН групп варьируется от 1.1 (для ПП) до 4 мкмоль/Дж (для ПС). Такие величины характерны для цепного механизма окисления. Параллельно наблюдается образование свободной воды на поверхности пластика, что может свидетельствовать о протекании реакции (2) и последующем участии ОН в Н-отрыве с образованием воды. Количество атомов О, приходящихся на воду, минимально в ПЭВП (3 ат. %) и ПП (14 ат. %), тогда как в ПЭНП и ПС оно составляет 24 и 34 ат. % соответственно.
Рис. 3. Выходы G образования карбоксильных групп и суммарные выходы кислородсодержащих групп на поверхности пленок.
Появление карбоксилов среди кислород-содержащих групп в облученном пластике выявляется по наличию пяти характеристических полос на ИК-спектре (рис. 4): А — широкая полоса или группа полос при 3300–2500 см-1, соответствующая связанной группе ОН; B — полоса при 1760–1680 см-1, относящаяся к группам СH2–C(О)ОH, C=C–C(O)OH или Ar–C(O)OH (где Ar — арил); С — полоса при 1440–1395 см-1, соответствующая колебаниям О–Н (δOH); D — полоса при 1320–1210 см-1, указывающая на колебания С–О (nС–О); и Е — широкая полоса при 955–890 см-1, относящаяся к неплоским деформационным колебаниям ОН (δOH). Все эти полосы обнаруживаются на ИК-спектрах пластиков, облученных на воздухе. Рисунок 4 демонстрирует соответствующие изменения ИК-спектра для случая ПЭВП и ПС.
Рис. 4. ИК спектры ПС и ПЭВП до (порошки) и после (пленки) радиолитического окисления.
В случае ПВХ, ПК и ПЭТФ радиолитическое образование кислот может происходить даже без участия кислорода [8, 12]. В случае ПК возможна гибель макрорадикалов за счет элиминирования свободной муравьиной кислоты [15]. В макрорадикале ПЭТФ система сопряженных связей обеспечивает перемещение неспаренного электрона между карбонильной группой и ароматическим звеном, что влечет за собой разрыв С–О связи (в b-положении относительно карбонильного С атома) с образованием концевой карбоксильной группы. В случае ПВХ, радиолиз приводит к цепному образованию соляной кислоты [8, 12]. Причем в кислороде выход НCl в 2.5–3 раза выше, чем в инертной атмосфере [8].
Окисление в воде
Радиолитическое окисление в воде подчиняется иному механизму, где существенный вклад в косвенное образование макрорадикалов на поверхности пластика вносят · ОН радикалы (из воды), инертные по отношению к кислороду. Реакция · Н с кислородом дает радикал Н ·O2, который может рекомбинировать с макрорадикалами и, тем самым, повышать выход образования гидроперекисей [8]. Радикалы · Н и · ОН также способны быстро присоединяться к двойным связям, имеющимся или образующимся в пластике в процессе облучения [8].
Таким образом, в воде мономолекулярные процессы (1) и (2) становятся менее конкурентоспособными по сравнению с процессом (3). С одной стороны, вода может служить источником водорода, необходимого для реакции (3). С другой стороны, вероятность образования гидроперекисей возрастает за счет рекомбинации макрорадикалов с Н ·O2. Распад гидроперекисей приводит преимущественно к образованию карбонильных и гидроксильных групп, редко давая карбоксил [8]. Облучение в воде также может снижать кислотность пластика за счет вымывания свободных кислот с его поверхности.
Влияние кислоты на компоненты портландцемента
Компоненты цемента обладают высокой химической основностью и, следовательно, способны энергично взаимодействовать с кислотами [17, 18]. Как неорганические, так и органические кислоты, способны реагировать с гидроксидом кальция Са(ОН)2, гидросиликатами кальция, гидроалюминатами кальция и др. [19, 20]. Гидроалюминаты, особенно низкоосновные, наименее стойки к действию кислот. Под действием кислоты образуются кальциевая соль и аморфные бессвязные массы Si02aq, А1(ОН)3, Fe(OH)3. При этом карбоновые кислоты способны удлинять сроки схватывания низкощелочных и низкоалюминатных цементов [12, 20].
Реакционные процессы между кислотой и компонентами цемента подразделяются на три категории: процессы образования растворимых соединений; процессы образования рыхлых масс, не обладающих вяжущими свойствами; процессы образования солей, способных вызывать локальные внутренние напряжения (расклинивающее разрушение). Все это сопровождается снижением прочности цементного материала. Подобные процессы происходят также под действием СО2, являющегося продуктом радиолиза кислородсодержащих пластиков или аэробной деградации иных пластиков [8].
При приготовлении строительного раствора безводные компоненты клинкера реагируют с водой (гидратация), превращаясь в гидросиликаты, гидроалюминаты и гидроферраты кальция [19, 20]. Помимо них образуется также гашеная известь Ca(OH)2. Химическое взаимодействие между цементом и кислыми компонентами пластика начинается именно на стадии гидратации. Из числа органических кислот наиболее агрессивно влияют молочная, уксусная, масляная и винная, которые имеют сравнительно низкую молекулярную массу и легко растворяются в воде. Высокомолекулярные органические кислоты не растворяются в воде, но образуют соли, оказывающие разрушающее действие на материал [20].
ЗАКЛЮЧЕНИЕ
Метод радиационного окисления предоставляет большие возможности в гидрофилизации поверхности пластиков и повышении их совместимости со строительными связующими. Однако совместимость зависит не только от гидрофильности пластикового наполнителя, но и от его химической активности по отношению к компонентам связующего. Большинство кислородсодержащих групп способствуют получению более прочного композита. Однако как демонстрирует настоящая работа, карбоксильные группы способны снижать этот благоприятный эффект. Наиболее существенное генерирование кислот наблюдается именно при облучении пластика на воздухе. Более низкое содержание кислот и, соответственно, более высокая прочность ЦППК достигается в случае облучения пластика в воде или в случае пост-радиационного подщелачивания пластика. При этом с точки зрения прочности на сжатие, содержание пластикового порошка в цементно-песчаной пасте следует ограничивать величиной 2–3 вес. %.
ИСТОЧНИКИ ФИНАНСИРОВАНИЯ
Работа выполнена при поддержке МАГАТЭ (Research Contract No 24429) с использованием оборудования УНУ КРХИ ИФХЭ РАН (тема № 122011300061-3).
About the authors
E. M. Kholodkova
A.N. Frumkin Institute of Physical Chemistry and Electrochemistry of the Russian Academy of Sciences
Email: ponomarev@ipc.rssi.ru
Russian Federation, Leninsky prospekt 31(4), Moscow, 119071
Yu. M. Nevolin
A.N. Frumkin Institute of Physical Chemistry and Electrochemistry of the Russian Academy of Sciences
Email: ponomarev@ipc.rssi.ru
Russian Federation, Leninsky prospekt 31(4), Moscow, 119071
A. V. Shapagin
A.N. Frumkin Institute of Physical Chemistry and Electrochemistry of the Russian Academy of SciencesLeninsky prospekt 31(4), Moscow, 119071 Russia
Email: ponomarev@ipc.rssi.ru
Russian Federation, A.N. Frumkin Institute of Physical Chemistry and Electrochemistry of the Russian Academy of Sciences
Leninsky prospekt 31(4), Moscow, 119071
O. Yu. Grafov
A.N. Frumkin Institute of Physical Chemistry and Electrochemistry of the Russian Academy of Sciences
Email: ponomarev@ipc.rssi.ru
Russian Federation, Leninsky prospekt 31(4), Moscow, 119071
A. V. Ponomarev
A.N. Frumkin Institute of Physical Chemistry and Electrochemistry of the Russian Academy of Sciences
Author for correspondence.
Email: ponomarev@ipc.rssi.ru
Russian Federation, Leninsky prospekt 31(4), Moscow, 119071
References
- Sandanayake M., Bouras Y., Haigh R., Vrcelj Z. // Sustainability, 2020, V. 12. P. 9622. https://doi.org/10.3390/su12229622
- Gu L., Ozbakkaloglu T. // Waste Manag. 2016. V. 51. Р. 19. https://doi.org/10.1016/j.wasman.2016.03.005
- Abu-Saleem M., Zhuge Y., Hassanli R., Ellis M., Rahman M.M., Levett P. // Case Stud. Constr. Mater. 2021. V. 15. Р. e00728. https://doi.org/10.1016/j.cscm.2021.e00728
- Cheon H., Ruziev J., Lee H., Kang Y., Roh S., Kim W. // Appl. Sci. 2021. V. 11. Р. 11982. https://doi.org/ 10.3390/app112411982
- Ponomarev A.V. // High Energy Chem. 2020. V. 54. Р. 194. https://doi.org/10.1134/S0018143920030121
- Ponomarev A.V., Gohs U., Ratnam C., Horak C. // Radiat. Phys. Chem. 2022. V. 201. Р. 110397. https://doi.org/10.1016/j.radphyschem.2022.110397
- Lee H., Cheon H., Kang Y., Roh S., Kim W. // Appl. Sci. 2021. V. 11. Р. 10340. https://doi.org/10.3390/app112110340
- Woods R., Pikaev A. // Applied Radiation Chemistry. Radiation Processing. New York: Wiley, 1994.
- Khusyainova D.N., Shapagin A.V., Ponomarev A.V. // Radiat. Phys. Chem. 2022. V. 192. Р. 109918. https://doi.org/10.1016/j.radphyschem.2021.109918
- Bludenko A.V., Ponomarev A.V., Kholodkova E.M., Khusyainova D.N., Shapagin A.V. // High Energy Chem. 2022. V. 56. Р. 258. https://doi.org/10.1134/S0018143922040130
- Vcherashnyaya A.S., Mikhailova M.V., Shapagin A.V., Poteryaev A.A., Stepanenko V.Y., Ponomarev A.V. // High Energy Chem. 2021. V. 55. Р. 295. https://doi.org/10.1134/S0018143921040159
- Kholodkova E.M., Shapagin A.V., Ponomarev A.V. // High Energy Chem. 2022. V. 56. Р. 383. https://doi.org/10.1134/S001814392205006X
- Shirley D.A. // Phys. Rev. B. 1972. V. 5. Р. 4709. https://doi.org/10.1103/PhysRevB.5.4709
- Scofield J.H. // J. Electron Spectros. Relat. Phenomena. 1976. V. 8. Р. 129. https://doi.org/10.1016/0368-2048(76)80015-1
- Zaikov G.E., Rakovsky S.K. // Ozonation of Organic and Polymer Compounds. Smithers Rapra Technology, 2009.
- Orzechowska G.E., Nguyen H.T., Paulson S.E. // J. Phys. Chem. A. 2005. V. 109. Р. 5366. https://doi.org/ 10.1021/jp050167k
- Bertron A., Duchesne J., Escadeillas G. // Cem. Concr. Res. 2005. V. 35. Р. 155. https://doi.org/10.1016/j.cemconres.2004.09.009
- Oueslati O., Duchesne J. // Cem. Concr. Compos. 2014. V. 45. Р. 89. https://doi.org/10.1016/j.cemconcomp. 2013.09.007
- Paine K.A. Elsevier. 2019. Р. 285–339. https://doi.org/10.1016/B978-0-08-100773-0.00007-1
- Marchon D., Flat R.J. // Mechanisms of cement hydration, in: Science and Technology of Concrete Admixtures. Elsevier. 2016. Р. 129. https://doi.org/10.1016/B978-0-08-100693-1.00008-4
Supplementary files







