Адгезия к монокристаллическому кремнию пленок диазохинонноволачных фоторезистов, облученных электронами
- Авторы: Вабищевич С.А.1, Вабищевич Н.В.1, Бринкевич С.Д.2,3, Бринкевич Д.И.2, Просолович В.С.2, Ластовский С.Б.4
-
Учреждения:
- Полоцкий государственный университет им. Евфросинии Полоцкой
- Белорусский государственный университет
- ООО “Мой медицинский центр – высокие технологии”
- ГО “НПЦ НАН Беларуси по материаловедению”
- Выпуск: Том 58, № 1 (2024)
- Страницы: 60-68
- Раздел: РАДИАЦИОННАЯ ХИМИЯ
- URL: https://journal-vniispk.ru/0023-1193/article/view/258154
- DOI: https://doi.org/10.31857/S0023119324010068
- EDN: https://elibrary.ru/JZBZOQ
- ID: 258154
Цитировать
Полный текст
Аннотация
В работе методом индентирования исследовано влияние облучения электронами с энергией 5 МэВ на адгезионные и прочностные свойства пленок диазохинонноволачных фоторезистов ФП9120, SPR-700 и S1813 G2 SP15, нанесенных на пластины монокристаллического кремния методом центрифугирования. Установлено, что облучение приводит к увеличению значений истинной микротвердости фоторезистивных пленок, наиболее выраженному в пленках SPR-700 и обусловленному сшиванием молекул фенолформальдегидной смолы. Показано, что значения удельной энергии отслаивания G фоторезистивных пленок на кремнии при облучении возрастают в результате рекомбинации радикалов на границе раздела фаз фоторезист/кремний с образованием новых ковалентных связей Si-C и Si-O-C. Наблюдаемые экспериментальные результаты объяснены с учетом радиационно-химических и релаксационных процессов, протекающих в объеме полимерной пленки и на межфазной границе.
Ключевые слова
Полный текст
ВВЕДЕНИЕ
Фотолитография (ФЛ) является одним из основных процессов современной электроники [1]. При изготовлении микросхемы на одной пластине операции ФЛ повторяются многократно. Так, на различных этапах формирования элементной базы по n-МОП технологии применяется до 10 операций фотолитографии, в то время как в БИКМОП технологии осуществляется порядка 22 операций ФЛ [2]. В технологических процессах микроэлектроники наиболее широкое применение получили позитивные двухкомпонентные диазохинонноволачные фоторезисты на базе светочувствительного о-нафтохинондиазида и фенолформальдегидной смолы (новолачного типа), используемой в качестве основы [1].
Развитие субмикронных и нанотехнологий в современной электронике приводит к уменьшению проектных норм приборов, что определяет необходимость увеличения разрешения литографического процесса и, в соответствии с критерием Релея, обуславливает переход от ультрафиолетового актиничного излучения к более коротковолновым излучениям – рентгеновскому и электронному. При использовании электронолитографии размеры элементов должны определяться длиной волны де-Бройля экспонирующих электронов. Соответствующие специфические требования в данном случае предъявляются и к свойствам резистов, включая их адгезию к подложке, которая может изменяться в результате воздействия быстрых электронов. Ранее в [3–5] показано, что ã-облучение и ионная имплантация существенным образом влияют на прочностные и адгезионные характеристики фоторезиста марки ФП9120. Однако влияние электронного облучения на адгезию пленок диазохинонноволачных фоторезистов к монокристаллическому кремнию до настоящего времени не исследовалось.
МЕТОДИКА ЭКСПЕРИМЕНТА
Ни одна из существующих теорий адгезии не дает возможности в каждом конкретном случае рассчитать энергию адгезионного взаимодействия и прочность адгезионного соединения. Это обусловлено тем, что на адгезионное взаимодействие одновременно влияет множество разнородных факторов, таких как состав и способ получения контактирующих веществ, чистота обработки поверхности подложки, наличие на границах раздела фаз напряжений и заряженных локальных состояний, обусловленных наличием разорванных связей и адсорбированных примесных атомов. Комплекс данных факторов не может быть учтен в рамках одной модели. Для определения адгезионной прочности разработаны различные экспериментальные методы, но немногие из них подходят для измерения адгезии тонких (толщиной ~1 мкм) пленок. В работе [6] метод индентирования был использован для измерения адгезии различных полимерных пленок к стеклянным подложкам. Было показано, что при применении индентора Виккерса удельная энергия отслаивания пленок G может быть рассчитана по формуле
(1)
где h – толщина, H – микротвердость пленки; n – коэффициент Пуассона (использовалось значение 0.3), Е – модуль Юнга (для исследовавшейся пленки 8 ГПа); Р – нагрузка на индентор, l – длина трещины расслоения.
В настоящей работе указанная методика использовалась для измерения адгезии к монокристаллическому кремнию полимерных диазохинонноволачных резистов 3 различных марок — ФП9120, SPR-700 и S1813 G2 SP15. Значения параметров для расчета G определялись в соответствии с процедурой, изложенной в [5, 7]. Микроиндентирование проводилось на приборе ПМТ-3 по стандартной методике при комнатной температуре [5, 7]. В качестве индентора использовался алмазный наконечник в форме четырехгранной пирамиды с квадратным основанием и углом при вершине α = 136°. Нагрузка (Р) на индентор варьировалась в пределах 1–50 г. Длительность нагружения составляла 2 с; выдержка под нагрузкой 5 с. При каждом измерении на поверхность образца наносилось не менее 50 отпечатков. Для обработки экспериментальных данных использовались стандартные методы математической статистики [8]. Погрешность измерения удельной энергии отслаивания резистивных пленок на пластинах монокристаллического кремния составляла 11% (с доверительной вероятностью 0.95).
Пленки позитивных диазохинонноволачных фоторезистов (ФР) марок ФП9120, SPR-700 и S1813 G2 SP15 толщиной 1.8 мкм наносились методом центрифугирования на поверхность пластин кремния с ориентацией (100) и (111). Время вращения центрифуги — 40 с. Перед формированием пленки ФР кремниевые пластины подвергали стандартному циклу обработки поверхности в органических и неорганических растворителях. После нанесения фоторезиста на рабочую сторону пластины проводилась сушка в течение 50–55 мин при температуре 88оС. Толщина пленок фоторезиста контролировалась на профилометре “Dectak”. Облучение электронами с энергией 5 МэВ проводилось на линейном ускорителе электронов У-003 флюенсом 3 × 1016 см-2. Плотность потока электронов контролировалась с помощью цилиндра Фарадея и составляла 1 × 1012 см–2 с–1. Температура образцов в процессе облучения не превышала 310 К.
ЭКСПЕРИМЕНТАЛЬНЫЕ РЕЗУЛЬТАТЫ И ИХ ОБСУЖДЕНИЕ
Измерения микротвердости Н фоторезистивной пленки проводили при нагрузках 1–2 г, когда глубина проникновения индентора не превышала половины толщины пленки. В этом случае подложка не оказывает существенного влияния и измеренные значения соответствуют истинной микротвердости пленки [9]. Истинные значения микротвердости приведены в табл. 1. Облучение электронами с энергией 5 МэВ приводило к увеличению значений истинной микротвердости фоторезистивных пленок (табл. 1), причем наиболее существенно (почти в 3 раза) в пленках SPR-700 толщиной 1.8 мкм. Наиболее устойчивыми к облучению были пленки ФП9120, в которых рост микротвердости был минимален (~ 60%).
Таблица 1. Микротвердость исходных и облученных пленок фоторезиста при нагрузке 1 г
Марка ФР | Толщина пленки, мкм | Микротвердость, ГПа | |
исходный | облученный | ||
ФП91٢0 | 1.8 | 0.21 | 0.35 |
SPR 700 | 1.8 | 0.14 | 0.40 |
S1813 G2 SP15 | 1.8 | 0.23 | 0.41 |
Полученные результаты коррелируют с данными работы [9], в которой показано, что γ-облучение приводит к увеличению микротвердости пленок сополимеров метилметакрилата и метакриламида на кремнии. Ранее [2] также наблюдалось увеличение микротвердости пленок ФП9120 при имплантации сурьмы. Представленные в табл. 1 данные свидетельствуют о том, что после облучения значения истинной микротвердости различных ФР сближались – значения Н различались менее чем на 0.06 ГПа (~15%), что близко к удвоенной погрешности измерений. В то же время в необлученных фоторезистивных пленках различных марок значения Н различались существенно – более чем в 1.5 раза. Рост истинной микротвердости фоторезистивных пленок при облучении, вероятнее всего, обусловлен сшиванием макромолекул фенолформальдегидной смолы, являющейся основным компонентом (около 70–80% по массе) диазохинонноволачных фоторезистов. Образование таких сшивок при облучении отмечалось ранее в работах [2, 7] и было подтверждено методом нарушенного полного внутреннего отражения [10].
Облучение электронами приводило к усилению адгезии – росту удельной энергии отслаивания пленок G – всех исследовавшихся марок фоторезистов (рис. 1, 2). Наиболее сильный рост G наблюдался в фоторезистах марки SPR700 с более низкой адгезией исходных пленок (табл. 2). В этих ФР после облучения адгезия возрастала ~ в 3 раза, в то время как в пленках ФП9120 наблюдался рост ~ в 2.5 раза, а для S1813 – менее чем в 2 раза (табл. 2). В то же время для пленок ФР на кремнии, которые хранились около 3 лет, наблюдался эффект снижения адгезии почти в 2 раза по сравнению со свеженанесенными вариантами (рис. 3 и табл. 2). При электронном облучении диазохинонноволачные резисты ведут себя как негативные ФР – адгезия к подложке возрастает, а скорость растворения снижается [2].
Рис. 1. Зависимости удельной энергии отслаивания G от величины нагрузки для пленок фоторезиста ФП9120 толщиной 1.8 мкм исходных (1) и облученных электронами флюенсом 3 × 1016 см-2 (2).
Рис. 2. Зависимости удельной энергии отслаивания G от величины нагрузки для пленок фоторезиста SPR700 толщиной 1.2 мкм исходных (1) и облученных электронами флюенсом 3 × 1016 см-2 (2).
Таблица 2. Удельная энергия отслаивания G исходных и облученных пленок фоторезиста при нагрузке 50 г
Марка фоторезиста | Толщина пленки, мкм | G, Дж/м2 | |
исходный | облученный | ||
ФП91٢0 свежая | 1.8 | 1.65 | 3.80 |
ФП91٢0 хранение | 1.8 | 0.93 | 2.64 |
SPR 700 | 1.8 | 0.92 | 3.06 |
S1813 G2 SP15 | 1.8 | 1.95 | 3.54 |
Рис. 3. Зависимости удельной энергии отслаивания G от величины нагрузки для пленок фоторезиста ФП9120 толщиной 1.8 мкм свежеприготовленных (1) и после хранения в течение 3 лет (2).
Отметим, что ранее в работе [5] было показано, что низкоинтенсивное γ-облучение (P ~ 0.15 Гр/с) дозами до 300 кГр приводит к снижению значений удельной энергии отслаивания G фоторезистивных пленок марки ФП9120 на кремнии. Это кардинально отличает результаты воздействия на границу раздела кремний-фоторезист фотонного излучения изотопных источников от высокоинтенсивного электронного излучения ускорителей.
Полученные экспериментальные результаты являются следствием реализации комплекса радиационно-химических и релаксационных процессов, протекающих как на границе раздела фаз фоторезист/кремний, так и в объеме полимерной пленки и кремния. Следует также отметить, что на поверхности кремния всегда существует тонкий (толщиной 3–10 нм) слой естественного оксида, который быстро образуется при контакте кремния с воздухом. Поэтому при анализе экспериментальных результатов следует рассматривать структуру фоторезист — тонкий слой SiO2 — кремний.
Воздействие ускоренных электронов и γ-квантов на различные материалы, как правило, приводит к сходным радиационным эффектам несмотря на то, что механизмы взаимодействия этих типов излучения с веществом различаются. Для высокоэнергетического γ-излучения с энергией ~1.25 МэВ (изотоп 60Со) при взаимодействии с конденсированными средами, содержащими легкие атомы, преобладает эффект Комптона. При этом происходит неупругое рассеяние γ-квантов на электронах атомов, составляющих вещество, с образованием свободных низкоэнергетических электронов и вторичных γ-фотонов с более низкими энергиями. Ионизация облучаемого фотонами вещества происходит в основном под действием вторичных электронов (вследствие кулоновских взаимодействий) и в значительно меньшей степени – в результате прямой ионизации при Комптон эффекте.
В отличие от γ-облучения, при воздействии высокоэнергетическими электронами (с энергией 5 МэВ) основные потери энергии приходятся на прямую ионизацию. С небольшой вероятностью возможно также упругое взаимодействие налетающих электронов с ядрами атомов, вызывающее их смещение из скелета органических молекул или кристаллической решетки неорганических веществ. Рекомбинация разноименно заряженных пар ионов в объеме полимера или кулоновское воздействие движущихся электронов приводят также к образованию возбужденных частиц.
Таким образом, основные процессы в объеме полимера при облучении как электронами, так и γ-квантами на первичной, физической стадии радиолиза могут быть сведены к реакциям возбуждения (2) и ионизации (3) макромолекул по схеме, приведенной ниже.
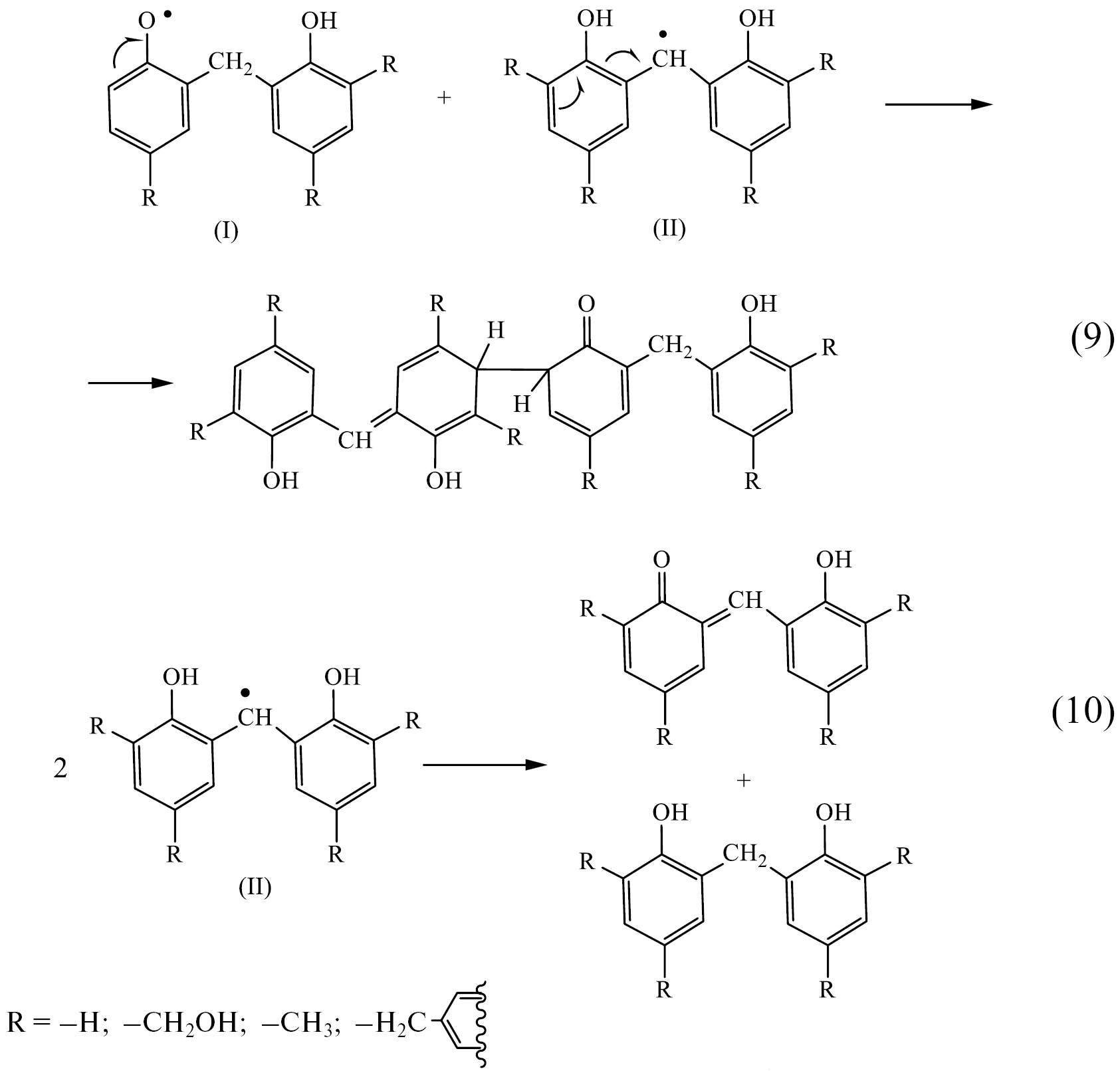
Дальнейшие радиационно-химические превращения в объеме полимера приводят к возникновению свободных радикалов. Указанные частицы образуются в результате ион-молекулярных реакций (4), распада возбужденных частиц (5), а также радикал-молекулярных взаимодействий, например, присоединения атома водорода по ароматическому кольцу по реакции (6). В силу высокой проникающей способности электронного облучения радикалы будут достаточно равномерно распределены по объему полимерной пленки. Наиболее термодинамически стабильными в силу делокализации спиновой плотности по ароматической системе и, следовательно, более распространенными парамагнитными частицами будут радикалы феноксильного (I) и метиленового (II) типа.
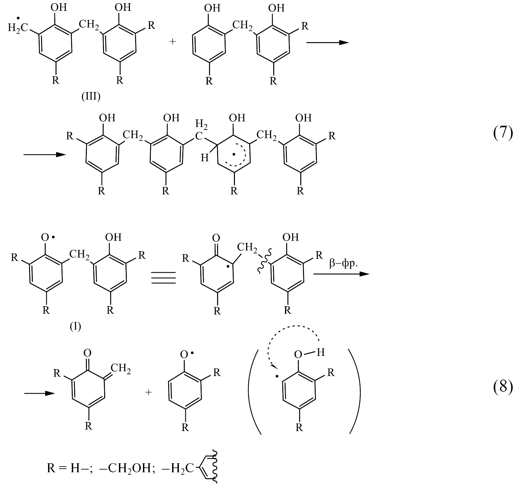
Свободные радикалы, образовавшиеся под действием ионизирующего излучения в объеме полимера, могут вступать в радикал-молекулярные реакции присоединения и замещения (в первую очередь атома водорода) или монорадикальные реакции циклизации и фрагментации. Причем вероятность этих двух типов процессов значительно возрастает по мере снижения мощности дозы ионизирующего излучения и, следовательно, концентрации радикалов в объеме. В качестве примеров радикал-молекулярных реакций можно привести присоединение радикалов бензильного типа (III) к макромолекулам по реакции (7). Для радикалов (I) и (II) такие реакции значительно менее вероятны в силу наличия стерического затруднения.
Важную роль в изменении механических свойств пленок в условиях облучения могут иметь монорадикальные реакции фрагментации, например по реакции (8), которые приводят к снижению молекулярной массы макромолекул. Однако для ароматических полимеров такие реакции значительно менее характерны, чем для алифатических и, вероятно, будут наблюдаться только для радикалов в возбужденном состоянии.
В конечном итоге все парамагнитные частицы гибнут в бирадикальных процессах рекомбинации и диспропорционирования, например по реакциям (9) и (10). Причем для фенолформальдегидных смол вероятность первого процесса превосходит таковую для второго. Таким образом, в результате рекомбинации радикалов (9) и, в меньшей степени, присоединения радикалов к макромолекулам (7) в процессе облучения происходит в основном накопление продуктов сшивания и, как следствие, увеличение средней молекулярной массы макромолекул полимера.
В результате сшивания полимерный ФР становится более жестким и теряет свои пластические свойства, что приводит к наблюдаемому экспериментально увеличению его микротвердости после облучения электронами. При индентировании необлученной фоторезистивной пленки под давлением алмазной пирамидки происходит изменение конформации макромолекул под пирамидкой; индентор глубже погружается в пленку, из-за чего нагрузка распределяется на больший объем/площадь полимера. В то время как облученный электронами ФР значительно более устойчив по отношению к пластическим деформациям под нагрузкой и, соответственно, демонстрирует более высокую микротвердость. Следует отметить, что увеличение микротвердости ФР происходит и при облучении γ-квантами [7], что указывает на схожесть радиационно-химических процессов в объеме полимера при облучении γ-фотонами и электронами.
Различия в величинах микротвердости различных марок исходных фоторезистов и степени их изменения в условиях облучения электронами (табл. 1) зависят от ряда технологических параметров ФР, в первую очередь, от соотношения остатков фенола и крезола в смоле. Последний вводится в состав реакционной смеси при поликонденсации в качестве регулятора молекулярной массы (ограничивает рост макромолекулы). Высокая степень метилирования ароматических колец фенол-формальдегидной смолы осложняет реализацию реакций рекомбинации радикалов по реакции (9). Кроме того, на поведение различных марок ФР в условиях облучения электронами будет влиять содержание растворителей (воды, бутилцелозольва и др. [11]) и функциональных добавок (орто-нафтохинондиазид), а также молекулярно-массовое распределение фенол-формальдегидных смол.
Что касается адгезии к кремниевой подложке, то после облучения электронами удельная энергии отслаивания G увеличивалась для всех исследованных марок ФР. При этом под действием низкоинтенсивного γ-излучения адгезия к кремниевой подложке наоборот — снижалась, в первую очередь за счет разрушения сложноэфирных связей Si–O–C на границе раздела фаз [5] и разложения орто-нафтохинондиазида, который при получении энергии возбуждения от макромолекул полимера способен деазотироваться в кетен и образовывать сложный эфир с Si–O–H [12].
Вероятне всего, кардинальные различия в характере изменения адгезии ФР при воздействии γ-квантов и высокоэнергетических электронов связаны в первую очередь с разной величиной мощности дозы ионизирующего излучения.
Структура Si–SiO2 характеризуется наличием в ней упругих напряжений [13], вследствие чего валентные связи осуществляются на расстоянии, не соответствующем параметру решетки в кристалле, и (или) под углом, отличным от оптимального. При электронном облучении ростовые технологические дефекты “заряжаются” и образуют радиационные дефекты вследствие разрыва таких напряженных валентных связей. По данным [13] разрыв одной напряженной связи сопровождается релаксацией напряжений в ~64 валентных связях. Образуется специфический дефект в виде микротрещины, который обычно называют E′-центром [13, 14]. Как правило, E′-центры являются донороподобными центрами, которые могут находиться в нейтральном состоянии или быть положительно заряженными. Большинство E′-центров характеризуются неспаренным электроном, локализованным на атоме кремния, связанном с тремя атомами кислорода, т.е. представляют собой ≡ Si•. Вторым типом радиационных дефектов в оксиде кремния очевидно являются кислород-центрированные радикалы Si−O•.
Рекомбинация радикалов ≡ Si• и Si−O• с углерод- и кислород-центрированными радикалами различных типов (I-III) в фенол-формальдегидной смоле будет приводить к образованию новых ковалентных связей на границе раздела фаз полимер/кремниевая пластина. Причем новые Si–C и простые эфирные Si–O−C связи будут устойчивы в условиях облучения электронами и при щелочном гидролизе (удалении маски фоторезиста).
Важно отметить, что вероятность рекомбинации радикалов возрастает пропорционально квадрату их концентрации в объеме облучаемого образца. Поэтому значимые количества новых ковалентных связей на границе раздела фаз фоторезист/кремниевая подложка могут образовываться только под воздействием электронного пучка высокой интенсивности. При низкой мощности дозы (в условиях γ-облучения) радикалы в объеме фенол-формальдегидного ФР будут перегруппировываться (вследствие радикал-молекулярных реакций) в малоактивные, термодинамически и кинетически стабильные радикалы, которые в основном будут исчезать при взаимодействии с наиболее подвижными парамагнитными частицами – электронами и атомами водорода или же диспропорционировать (перенос H-атома между радикалами) по реакциям, аналогичным (10). Таким образом, при облучении низкоинтенсивными изотопными источниками γ-излучения на межфазной границе не достигается концентрация свободных радикалов, необходимая для образования значимых количеств новых ковалентных связей Si–C и Si–O–C.
Более низкая адгезия необлученного ФР после длительного хранения, вероятно, связана с релаксацией напряжений, образовавшихся в процессе получения пленки, а также в результате испарения остаточных растворителей. Тот факт, что при облучении электронами длительно хранившийся ФР так же увеличивает адгезию, как и свежий, служит дополнительным подтверждением важной роли реакций рекомбинации радикалов в оксидном слое кремниевой подложки (≡ Si•, Si−O•) с углерод- и кислород-центрированными радикалами (I-III) фенолформальдегидной смолы в радиационно-стимулированном увеличении адгезии ФР к кремниевой пластине.
ЗАКЛЮЧЕНИЕ
Таким образом установлено, что облучение высокоэнергетичными электронами приводит к увеличению значений истинной микротвердости фоторезистивных пленок, наиболее выраженному в пленках SPR-700 и обусловленному сшиванием молекул фенолформальдегидной смолы. Показано, что величины удельной энергии отслаивания G всех исследовавшихся марок позитивных диазохинонноволачных фоторезистивных пленок на кремнии возрастают после облучения высокоэнергетичными электронами в результате рекомбинации радикалов на границе раздела фаз фоторезист/кремний с образованием новых ковалентных связей Si–C и Si–O–C. Длительное хранение указанных структур фоторезист/кремний приводит к снижению величины G. Наблюдаемые эффекты связаны с совокупностью радиационно-химических и релаксационных процессов, протекающих как на границе раздела фоторезист/кремний, так и в объеме полимерной пленки.
Об авторах
С. А. Вабищевич
Полоцкий государственный университет им. Евфросинии Полоцкой
Email: brinkevich@bsu.by
Белоруссия, ул. Блохина, 29, Новополоцк, 214400
Н. В. Вабищевич
Полоцкий государственный университет им. Евфросинии Полоцкой
Email: brinkevich@bsu.by
Белоруссия, ул. Блохина, 29, Новополоцк, 214400
С. Д. Бринкевич
Белорусский государственный университет; ООО “Мой медицинский центр – высокие технологии”
Email: brinkevich@bsu.by
Белоруссия, пр. Независимости, 4, Минск, 220050; Октябрьский пр., 122, Всеволожск, Ленинградская область, 188640
Д. И. Бринкевич
Белорусский государственный университет
Автор, ответственный за переписку.
Email: brinkevich@bsu.by
Белоруссия, пр. Независимости, 4, Минск, 220050
В. С. Просолович
Белорусский государственный университет
Email: brinkevich@bsu.by
Белоруссия, пр. Независимости, 4, Минск, 220050
С. Б. Ластовский
ГО “НПЦ НАН Беларуси по материаловедению”
Email: brinkevich@bsu.by
Белоруссия, Минск, ул. П. Бровки, 19, 220072
Список литературы
- Моро У. Микролитография. Принципы, методы, материалы. В 2-х ч. Ч. 2. М.: Мир, 1990. 632 с. (Moreau W.M. Semiconductor Lithography. Principles, Practices, and Materials. Plenum Press. New York, London. 1988.)
- Бринкевич Д.И., Бринкевич С.Д., Вабищевич Н.В., Оджаев В.Б., Просолович В.С. // Микроэлектроника. 2014. Т.43. № 3. C. 193–199. (Brinkevich D.I., Brinkevich S.D., Vabishchevich N.V., Odzhaev V.B., Prosolovich V.S. // Russian Microelectronics. 2014. V. 43. № 3. P. 194–200.)
- Вабищевич С.А., Бринкевич С.Д., Бринкевич Д.И., Просолович В.С. // Химия высоких энергий. 2020. T. 54. № 1. С. 54–59. (Vabishchevich S.A., Brinkevich S.D., Brinkevich D.I., Prosolovich V.S. // High Energy Chemistry. 2020. V. 54. № 1. P. 46–50).
- Vabishchevich S.A., Brinkevich S.D., Prosolovich V.S., Vabishchevich N.V., Brinkevich D.I. // Journal of Surface Investigation. X-Ray, Synchrotron and Neutron Techniques. 2020. V. 14. № 6. P. 1352–1357.
- Вабищевич С.А., Бринкевич С.Д., Вабищевич Н.В., Бринкевич Д.И., Просолович В.С. // Химия высоких энергий. 2021. T. 55. № 6. С. 461–468. https://doi.org/10.31857/S0023119321060152
- (Vabishchevich S.A., Brinkevich S.D., Vabishchevich N.V., Brinkevich D.I., Prosolovich V.S. // High Energy Chemistry. 2021. V. 55. № 6. P. 495–501.)
- Malzbender J., den Toonder J.M.J., Balkenende A.R., de With G. // Materials Science and Engineering R. 2002. V. 36. P. 47–103.
- Вабищевич С.А., Вабищевич Н.В., Бринкевич Д.И., Просолович В.С. // Вестник Полоцкого государственного университета. Серия С. Фундаментальные науки. Физика. 2020. № 12. C. 60–64.
- Бринкевич Д.И. Вабищевич Н.В., Вабищевич С.А. // Вестник Полоцкого университета. Серия С. Фундаментальные науки. 2010. № 9. C. 92–97.
- Вабищевич С.А., Вабищевич Н.В., Бринкевич Д.И., Бринкевич С.Д., Просолович В.С. // Вестник Полоцкого государственного университета. Серия С. Фундаментальные науки. 2016. № 12. C. 51–57.
- Бринкевич С.Д., Бринкевич Д.И., Просолович В.С., Свердлов Р.Л. // Химия высоких энергий. 2021. T. 55. № 1. С. 66–75. (Brinkevich S.D., Brinkevich D.I., Prosolovich V.S., Sverdlov R.L. // High Energy Chemistry. 2021. V. 55. № 1. P. 65–74.)
- Бринкевич Д.И., Бринкевич С.Д., Петлицкий А.Н., Просолович В.С. // Микроэлектроника. 2021. Т. 50. № 4. С. 274–280. (Brinkevich D.I., Brinkevich S.D., Petlitsky A.N., Prosolovich V.S. // Russian Microelectronics, 2021. V. 50. № 4. Р. 239–245.)
- Бринкевич С.Д., Гринюк Е.В., Свердлов Р.Л., Бринкевич Д.И., Просолович В.С., Петлицкий А.Н. // Журнал прикладной спектроскопии. 2020. T. 87. № 4. С. 589–594. (Brinkevich S.D., Grinyuk E.V., Brinkevich D. I., Sverdlov R. L., Prosolovich V.S., Pyatlitski A.N. // Journal of Applied Spectroscopy. 2020. V. 87. № 4. Р. 647–651.)
- Воронкова Г.М., Попов В.Д., Протопопов Г. А. Физика и техника полупроводников. 2007. Т. 41. № 8. С. 977–980.
- Першенков В.С., Попов В.Д., Шальнов Г.М. Поверхностные радиационные эффекты в элементах интегральных микросхем. М.: Энергоатомиздат, 1988. 256 с.
Дополнительные файлы









