Модель потоков высокоэнергичных электронов на орбитах ГЛОНАСС
- Authors: Шустов П.И.1, Петрукович А.А.1, Артемьев А.В.1
-
Affiliations:
- Институт космических исследований РАН
- Issue: Vol 62, No 3 (2024)
- Pages: 239-248
- Section: Articles
- URL: https://journal-vniispk.ru/0023-4206/article/view/271733
- DOI: https://doi.org/10.31857/S0023420624030019
- EDN: https://elibrary.ru/JKPVMJ
- ID: 271733
Cite item
Full Text
Abstract
Моделирование динамики потоков энергичных электронов во внутренней магнитосфере Земли представляет собой актуальную задачу изучения “космической погоды”, учитывая роль, которую энергичные электроны играют в сбоях аппаратуры космических аппаратов. В настоящей работе исследуется возможность построения эмпирической модели потоков электронов на средневысотной круговой орбите спутников ГЛОНАСС. В качестве основной базы данных потоков использованы измерения спутниковой миссии Radiation Belt Storm Probes за 2012–2019 гг. Околоэкваториальные измерения Radiation Belt Storm Probes спроецированы на высоты орбит спутников ГЛОНАСС с использованием эмпирической модели магнитного поля. Главной особенностью представляемой модели потоков энергичных электронов является тот факт, что вместо среднего потока модель восстанавливает функцию распределения вероятностей амплитуд потоков в зависимости от энергии электронов и геомагнитных условий.
Full Text
ВВЕДЕНИЕ
Динамика потоков высокоэнергичных электронов во внешнем радиационном поясе земной магнитосферы контролируется широким спектром разномасштабных процессов, ответственных как за потери электронов, так и за их ускорение [1, 2]. Основные причины потерь электронов — это различные эффекты резонансного взаимодействия волна — частица, приводящие к высыпанию электронов в ионосферу [3], а также эффекты радиального транспорта электронов, включающие транспорт к границе магнитосферы, магнитопаузе, и потери электронов за счет их ухода в магнитослой [4, 5]. Основными процессами, влияющими за ускорение электронов и рост их потоков, являются процессы локального ускорения за счет резонансного взаимодействия с волнами [6, 7] и процессы нагрева при радиальном транспорте [8–10]. Современные модели радиационных поясов включают детальное описание существенной части данных процессов [11–15], эффективность которых, как правило, определяется из статистических моделей волновой активности [16–19] и характеризуется индексами геомагнитной активности [20–22]. При этом несмотря на то, что точность расчетов и перечень рассматриваемых физических процессов в таких моделях постоянно растет, использование рассчитанных распределений потоков энергичных электронов все еще уступает по точности прогноза использованию эмпирических моделей таких потоков [23–26].
Важность разработки, верификации и совершенствования эмпирических моделей обусловлена, в первую очередь, необходимостью аккуратно предсказывать динамические диапазоны потоков энергичных электронов на орбитах спутников [27–31]. Существенные вариации таких потоков в ходе крупномасштабных геомагнитных возмущений (мощных суббурь и бурь) могут нанести значительный ущерб чувствительной электронике спутников [32]. Наибольший риск для спутниковой электроники представляет общая ионизирующая доза радиации (total ionizing dose), которая определяет ионизацию в полупроводниковых элементах, взаимодействующих с релятивистскими электронами радиационных поясов Земли [33, 34]. Эффект ионизации приводит к сбоям в работе спутниковой электроники и, в отдельных случаях, к потере аппаратов [35, 36, 28]. При этом следует отметить, что общая доза ионизации и поглощенная доза радиации определяются интегральным (во времени) эффектом взаимодействия электроники и релятивистских электронов, приводящим к постепенной деградации полупроводниковых элементов [35, 37, 34]. Как правило, спутниковая электроника защищена от ионизации алюминиевым покрытием толщиной в несколько миллиметров, которое существенным образом уменьшает потоки электронов с энергиями менее 1 МэВ [35, 37]. Таким образом, наибольшую опасность представляют длительные интервалы повышенных потоков с энергиями выше 1 МэВ [35], а модели потоков электронов должны хорошо воспроизводить статистику таких редких временных интервалов. При этом потоки релятивистских электронов представляют наибольшую опасность для спутников с орбитами на высотах от 20 000 до 40 000 км, пересекающими внешний радиационный пояс Земли, в котором в ходе геомагнитных бурь на длительных интервалах фиксируются повышенные потоки электронов с энергией 1…2 МэВ [38, 39, 28, 24, 40, 41].
Основным подходом к построению эмпирических моделей потоков энергичных электронов является сбор больших статистических баз данных спутниковых измерений, в которых амплитуда потока для заданного диапазона энергии распределяется в параметрическом пространстве координат (как правило, заданных L-оболочкой и магнитной широтой) и пространстве геомагнитных индексов и параметров солнечного ветра [42, 43]. Такие базы данных могут использоваться как для построения аппроксимаций потоков, как функций геомагнитных индексов и пространственных координат [44, 45], так и для построения более сложных статистических моделей, использующих методы машинного обучения [46–50]. И в том, и в другом случае вариабельность конфигурации магнитного поля в ходе геомагнитных возмущений учитывается при нахождении пространственных координат (L-оболочки), а основным результатом модели становится значение потока в соответствующем диапазоне модельных параметров. Очевидным неустранимым недостатком такого подхода является однозначность сопоставления величины потока и ограниченного набора параметров системы, в то время как из-за невозможности учета всех факторов, определяющих динамику потоков, для любого заданного диапазона параметров спутниковые измерения выдают некоторое распределение амплитуды потоков. Характеризовать такое распределение средними (или средними взвешенными) значениями удобно с точки зрения аппроксимаций модели, но при этом теряется информация о динамическом диапазоне вариаций потоков в каждом из модельных диапазонов параметров системы.
Основная идея настоящей работы состоит в создании статистической модели потоков энергичных электронов, которая для заданных характеристик энергии и параметров геомагнитной активности предоставляет распределение вероятностей наблюдения потоков различной амплитуды. В качестве пространственной области, для которой создается данная модель, выбрана область средневысотной круговой орбиты спутников ГЛОНАСС с высотой порядка 19 400 км (~3RE, три радиуса Земли). Создаваемая модель основана на данных измерений спутников Van Allen Probes, ранее носивших название Radiation Belt Storm Probes (RBSP) [51], и проекции этих измерений вдоль силовых линий магнитного поля, восстановленных по эмпирической модели магнитного поля[52].
Спутниковые данные
В представленной работе используются данные со спутниковой миссии Van Allen Probes (RBSP) [53]. Данная спутниковая миссия состоит из двух слабо разнесенных космических аппаратов, вращающихся по одинаковой экваториальной (наклонение 10°) сильно эллиптической орбите с высотами перицентра ~620 км (1.1RE) и апоцентра ~30 000 км (5.8RE), проработавших с октября 2012 по октябрь 2019 г. В работе используются данные прибора The Magnetic Electron Ion Spectrometer (MagEIS) [54]. Прибор представляет собой набор из четырех магнитных спектрометров, которые охватывают три различных диапазона энергии. MagEIS измеряет электроны от ~20 кэВ до 4 МэВ с разрешением в 23 энергетических диапазона и 11 питч-угловых интервалов. Кроме того, спектрометр MagEIS содержит твердотельный телескоп, регистрирующий протоны с энергиями от ~60 кэВ до ~1.3 МэВ.
Обработка данных
Для проекции значений потоков энергичных заряженных частиц на конкретную орбиту (в случае представленной работы — на орбиту спутников ГЛОНАСС) используются существующие модели магнитного поля в качестве “промежуточной ступени” между входными параметрами геомагнитной активности (Kp, DST, SymH) и самими значениями предсказываемых потоков. Такая промежуточная ступень необходима для учета изменения в амплитудах потоков на заданной высоте при изменении конфигурации магнитного поля и, как следствие, смещении проекций околоэкваториальных измеряемых потоков.
Проецирование потоков заряженных частиц
Для каждого момента времени, когда доступно измерение потоков электронов, на спутниках RBSP используется трассировка положения спутника вдоль силовых линий магнитного поля в исследуемую область — на высоту HG = 3RE от поверхности Земли (соответствует высоте орбиты ГЛОНАСС). Для трассировки используется эмпирическая модель магнитного поля T96 [55]. В силу экваториальности орбиты спутников RBSP, в большинстве случаев их траектории оказываются в непосредственной близости от самой удаленной от Земли точки пересекаемой силовой линии (рис. 1). Силовая линия может пересекать исследуемую высоту HG в двух точках или не пересекать вовсе (за исключением вырожденного случая одного пересечения). Таким образом, каждому моменту времени наблюдений спутниковой миссии RBSP ставится в соответствие две координаты пересечения исследуемой поверхности, если такие пересечения есть. В итоговой статистике для каждого момента времени наблюдений записывается поток электронов, равный среднему значению от рассчитанных потоков в Северном и Южном полушариях. Такое усреднение необходимо, чтобы избежать искусственного удвоения статистики спутниковых измерений за счет проекций в два полушария.
Рис. 1. Проекции силовых линий магнитного поля (красный цвет), проходящих через один виток траектории орбиты спутника RBSP (синий цвет) на три плоскости. Красными точками отмечено пересечение силовых линий с высотой HG
Для расчета полного потока заряженных частиц на исследуемой высоте HG вводится сетка с малым шагом (dθ = 0.1°) по питч-углам (угол между направлением магнитного поля и скоростью электронов), и для каждой ячейки данной сетки ставится в соответствие поток dF = fdS, где f — дифференциальный поток в единичном телесном угле по данным со спутника RBSP, — площадь сферического сегмента питч-угловой ячейки. Далее, с использованием модельного магнитного поля, восстановленного по значениям геомагнитных индексов для каждого момента времени измерения потоков электронов, вычисляется вариация питч-угла при движении электронов вдоль силовой линии от точки наблюдения на спутнике к точке на исследуемой высоте HG (данная вариация рассчитывается из предположения сохранения магнитного момента заряженных частиц). На этой основе определяются питч-угловые ячейки, частицы в которых доходят до исследуемой точки HG. Сумма потоков в данных питч-угловых ячейках и будет давать интегральный поток заряженных частиц на исследуемой высоте HG. Рисунок 2 демонстрирует соотношение интегральных потоков энергичных электронов, измеренных спутниками RBSP, и интегральных потоков, спроектированных на исследуемую высоту HG. Диагональ занята наблюдениями в непосредственной близости от исследуемой высоты HG либо наблюдениями изотропных питч-угловых распределений: в обоих случаях геомагнитная проекция не меняет измеряемого потока. Ниже диагонали лежит основное количество наблюдений, для которых проекция вдоль силовых линий магнитного поля на исследуемую высоту HG приводит к уменьшению потоков энергичных электронов. Как следствие, комбинация спутниковых измерений и эмпирической модели магнитного поля позволяет создать базу данных модельных измерений потоков электронов на поверхности заданной высоты в зависимости от энергии электронов и геомагнитных условий (в случае с T96 это геомагнитные индексы Dst или SymH).
Рис. 2. Распределение потоков энергичных электронов с энергиями 33–4096 кэВ, измеренных на RBSP, и потоков на исследуемой высоте орбиты ГЛОНАСС, цветом показано количество измерений, попавших в диапазон параметров
Анализ потоков заряженных частиц
В результате проекции измеряемых потоков энергичных электронов вдоль силовых линий магнитного поля на исследуемую высоту HG получается база данных, которая состоит из амплитуды потоков, зависящих от энергии электронов и от геомагнитного индекса SymH [56]. Распределение SymH для всех доступных наблюдений RBSP представлено на рис. 3. Значениям SymH > 20 нТ соответствуют периоды сильного сжатия дневной магнитосферы под действием усиленного потока солнечного ветра, как правило, такие интервалы предвещают начало геомагнитных бурь. Сами бури соответствуют SymH < –50 нТ, когда сильный кольцевой ток горячих ионов существенно уменьшает экваториальное поле на близких к Земле расстояниях. При этом диапазон SymH < –100 нТ соответствует сильным бурям, для которых будет характерно существенное увеличение потоков релятивистских электронов. Для анализа зависимости потоков энергичных электронов от геомагнитного индекса SymH диапазон всех значений SymH разбивается на 80 равных интервалов, и выполняется отсечка в 1000 событий на интервал, что оставляет 50 интервалов в диапазоне SymH от –150 до 50 нТ. Для каждого диапазона значений SymH и энергии из доступного диапазона измерений выполняется сбор статистики потоков и статистики проекций потоков на исследуемую высоту HG = 3RE. Именно эти данные будут составлять эмпирическую основу модели.
Рис. 3. Гистограмма количества наблюдений по данным RBSP от значения геомагнитного индекса SymH в соответствующий момент времени. Горизонтальная линия соответствует 1000 наблюдениям, по которой выполняется отсечка
На рис. 4 (левый столбец) приведены гистограммы числа наблюдений различной амплитуды потоков (в проекции на исследуемую высоту HG. для нескольких значений энергии (суммарно по всем значениям SymH). Для анализа потоков энергичных электронов удобнее работать с плотностью вероятности наблюдения потоков в проекции на рассматриваемую высоту HG, которая представлена на рис. 4 (правый столбец).
Рис. 4. Примеры гистограмм наблюдений различных значений потоков (слева) и соответствующей плотности вероятности потоков электронов для трех различных энергий (справа)
Для практического использования функций плотности вероятности наблюдения потоков удобно провести их аппроксимацию аналитическими функциями, которые будут описывать вероятность наблюдения потока заданной амплитуды при фиксированной энергии и геомагнитной активности (SymH). На рис. 5 представлены аппроксимации потоков электронов, спроецированных на высоту , для нескольких значений энергии и геомагнитного индекса. Для аналитической аппроксимации плотности вероятности потока используется следующее выражение:
, (1)
Рис. 5. Пример аппроксимации функций распределения для разных значений энергии и геомагнитного индекса. Синий цвет — плотность вероятности, получаемая по данным измерений потоков на спутниках RBSP, красный — аппроксимация представленной плотности вероятности
где x — значение потока; b и x0 — параметры аппроксимации, отвечающие за наклон показательной части функции и точку “обрезания” потока на больших значениях (размерность потока: см–2с–1кэВ–1); Г — гамма-функция. Множитель в функции выбран для равенства единице интеграла по всем значениям потока. Ограничения на значения параметров: 0 < b < 1 и x0 > 0.
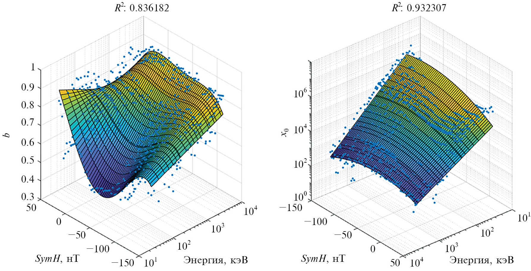
Процедура нахождения функциональных зависимостей значений x0 и b от энергии и геомагнитного индекса SymH состоит из двух этапов. На первом вычисляются значения параметров и bE,SymH которые наилучшим образом аппроксимируют плотность вероятности для каждой пары энергия/геомагнитный индекс в отдельности. Для простоты аппроксимации используется фиксация среднего значения потока для искомой функции плотности вероятности. Для приведенной выше формулы среднее значение . Отсюда, приравнивая данное выражение к оценке среднего по выборке, можно исключить вариацию параметра x0, и рассмотреть однопараметрическую задачу оптимизации. Результаты аппроксимации представлены на рис. 6 синими точками, на левом графике — параметр bE,SymH, на правом — параметр , которые рассчитываются через среднее значение потока на выборке значений потоков.
Рис. 6. Зависимости параметров аппроксимации от энергии и геомагнитного индекса. Параметр R — коэффициент корреляции модели (поверхность) и значений параметров при аппроксимации данных (синие точки)
Второй этап получения выражений x0(E, SymH) и b(E, SymH) — аппроксимация набора значений и bE,SymH как функциональных зависимостей энергии E и геомагнитного индекса SymH. Данная функциональная зависимость представлена на рис. 6 в виде гладких поверхностей и является аппроксимацией значений параметров полиномиальными (лог-полиномиальными) функциями. Аппроксимация зависимости обоих параметров от энергии выбрана логарифмически-линейной. Для аппроксимации зависимости от геомагнитного индекса SymH для параметра b используется функция четвертого порядка, для параметра x0 — второго порядка. Вид формул и значения коэффициентов (со среднеквадратическим отклонением) данных аппроксимаций — табл. 1, 2, приведены ниже:
, (2)
. (3)
Таблица 1. Значения аппроксимаций для bij
bij | 0 | 1 | 2 | 3 | 4 |
0 | 0.206 ± 0.012 | 0.00976 ± 0.0003 | 1.404·10–4 ± 0.081·10–4 | –4.167·10–8 ± 7.369·10–8 | –3.224·10–9 ± 0.262·10–9 |
1 | 0.0861 ± 0.0018 | –0.00128 ± 0.00004 | –2.351·10–5 ± 0.125·10–5 | –8.534·10–4 ± 0.874·10–4 |
Таблица 2. Значения аппроксимаций для Xij
Xij | 0 | 1 | 2 |
0 | 18.85 ± 0.14 | –0.0409 ± 0.0021 | –1.5415·10–4 ± 0.0429·10–4 |
1 | –1.440 ± 0.018 | 0.00361 ± 0.00027 |
Таким образом, функция плотности вероятности потока электронов определяется выражением f(x; b; x0) из уравнения (1) (x — поток), а параметры и представляют собой функции энергии и геомагнитного индекса, которые определены уравнениями (2)–(3) и табл. 1, 2. Данная модель рассчитана для использования на высотах орбит ГЛОНАСС, однако аналогичные выражения при необходимости можно построить для любых других высот, лежащих ниже перигея орбиты спутника, с которого берутся данные о потоках энергичных электронов. Рабочий диапазон модели по энергиям находится в пределах доступных на приборе Magies (RBSP) измерений: от 20 кэВ до 4 МэВ. Диапазон используемых значений SymH: от –150 до 50 нТ.
Применение эмпирической модели
Представленная в настоящей работе модель описывается системой уравнений (1)–(3) и данными, приведенными в табл. 1, 2. Модель позволяет получить функцию плотности вероятности потока электронов конкретной энергии при различной геомагнитной активности, характеризуемой индексом SymH. Получаемая плотность вероятности характеризует усредненные по сферическим угловым координатам (широта — долгота) значения потоков электронов на заданной высоте (в данной работе приведены для высоты 19 400 км).
Как обсуждалось, существуют различные факторы, влияющие на работоспособность спутников. Среди них — редкие, но интенсивные всплески потоков высокоэнергичных заряженных частиц, которые способны преодолеть защиту космического аппарата и вывести из строя чувствительную электронику. Приведем пример использования представленной модели для оценки эффекта подобных событий. Для частиц с энергией при геомагнитной обстановке, характеризующейся значением S геомагнитного индекса SymH, вероятность потока электронов, превышающего критическое значение Ф (индивидуальное для каждого космического аппарата) будет определяться интегралом от плотности вероятности (1) в пределах от значения критического потока Ф до бесконечности:
,
где Г(η) и Гi(η, z) — гамма-функция и верхняя неполная гамма-функция, соответственно. Параметры и вычисляются согласно выражениям (2)–(3) представленной работы, где в качестве энергии и геомагнитного индекса используются рассматриваемые значения и S в пределах ограничения модели (20…4000 кеВ; –150…50 нТ).
Другим важным параметром, непосредственно влияющим на работоспособность аппаратуры космического аппарата, является суммарная ионизирующая доза радиации. Используя индивидуальные для каждого космического аппарата коэффициенты (характеризующие степень его чувствительности к различным диапазонам энергии и потока заряженных частиц) совместно с представленной функцией плотности вероятности потоков электронов (на основе которых рассчитывается флюенс (англ. fluence) — количество прошедших частиц через единицу площади), можно получать прогнозы на поглощенные дозы радиации для различных геомагнитных условий. На рис. 7 приведены примеры расчета флюенса на основе построенной модели и его сравнение с данными спутниковых наблюдений. Для получения модельного значения флюенса используется интегрирование потока, полученного из модели при заданном временном ряде SymH (пунктирная линия, рис. 7). Для сравнения приведены значения флюенса по данным спутниковой миссии RBSP, спроецированных на высоту орбиты ГЛОНАСС (сплошным синим цветом), на основе которых и была построена модель. Также приведены значения флюенса, полученные по данным спутников GPS (красная сплошная линия, рис. 7). Данные GPS используются для независимой проверки, так как этот набор данных не применялся при построении модели. Диапазон интегрирования по энергии: 0.5…3 МэВ, выбран таким образом, чтобы покрывать центральную область доступных энергетических каналов одновременно на обоих спутниках миссий (RBSP: 33…4000 кэВ и GPS: 120…10 000 кэВ). Из рисунков видно, что модельные значения флюенса хорошо предсказывают средние значения реально наблюдаемых значений флюенса.
Рис. 7. Геомагнитный индекс SymH (вверху) и флюенс (внизу) для четырех интервалов времени в диапазоне энергии 0.5…3.0 МэВ. Синими сплошными линиями показан флюенс на основе данных с RBSP, спроецированных на высоты ГЛОНАСС; синим пунктиром — флюенс на основе построенной в данной работе модели; красными сплошными линиями —флюенс на основе открытых данных со спутника GPS
Также представленную модель можно использовать для моделирования потоков высокоэнергичных электронов с помощью полученной функции плотности вероятности. Для генерации случайных чисел (значения потоков) с заданной плотностью вероятности необходимо использовать обратные функции (по отношению к задаваемой функции распределения). Поскольку реализации обратной гамма-функции широко представлены в различных программных пакетах, использование описанного в настоящей работе выражения для моделирования потоков заряженных частиц, уравнение (1), является крайне удобным и простым в исполнении.
ВЫВОДЫ
В данной работе представлена модель функций плотности вероятности наблюдения потоков энергичных электронов для высот, соответствующих высотам орбит группировки спутников ГЛОНАСС. Модель двухпараметрическая: плотность вероятности потоков зависит от энергии электронов и геомагнитных условий, характеризуемых индексом SymH. Главной особенностью построенной модели является сохранение информации о диапазоне вариации потоков и вероятности различных амплитуд при фиксированной энергии и геомагнитном индексе. Таким образом модель уходит от привычных аппроксимаций средних значений потоков и предоставляет больший объем информации, позволяющий как рассчитать средний поток, так и оценить вероятность наблюдения потоков выше заданного предела. Как раз вторая возможность представляется наиболее актуальной для задач влияния потоков энергичных электронов на функционирование космических спутников. Модель предоставляет возможность задать минимальную амплитуду потока (как дифференциального, так и интегрального для всего диапазона энергий от 30 кэВ до 4 МэВ) и рассчитать интегральный по времени поток на орбите с фиксированной высотой. Представляется, что столь гибкая в плане выдаваемой информации модель окажется полезной при прогнозировании интегральных потоков энергичных электронов на орбитах спутников связи.
БЛАГОДАРНОСТИ
Авторы благодарны сотрудникам НАСА миссий Van Allen Probes и Bern Blake за использование данных прибора MagEIS инструментария ECT на спутнике Van Allen Probes (RBSP). Все данные RBSP-ECT находятся в открытом доступе на веб-сайте http://www.RBSP-ect.lanl.gov/.
В работе используются открытые данные GPS CXD версии 1.09 доступные по адресу https://www.ngdc.noaa.gov/stp/space-weather/satellite-data/satellite-systems/gps/data/.
ФИНАНСИРОВАНИЕ РАБОТЫ
Работа П. И. Шустова выполнена при поддержке “Совета по грантам Президента Российской Федерации”, СП-1757.2021.3.
КОНФЛИКТ ИНТЕРЕСОВ
Авторы данной работы заявляют, что у них нет конфликта интересов.
About the authors
П. И. Шустов
Институт космических исследований РАН
Author for correspondence.
Email: p.shustov@gmail.com
Russian Federation, Москва
А. А. Петрукович
Институт космических исследований РАН
Email: p.shustov@gmail.com
Russian Federation, Москва
А. В. Артемьев
Институт космических исследований РАН
Email: p.shustov@gmail.com
Russian Federation, Москва
References
- Shprits Y. Y., Elkington S. R., Meredith N. P. et al. Review of modeling of losses and sources of relativistic electrons in the outer radiation belt I: Radial transport // J. Atmospheric and Solar-Terrestrial Physics. 2008. V. 70. P. 1679–1693.
- Shprits Y. Y., Subbotin D. A., Meredith N. P. et al. Review of modeling of losses and sources of relativistic electrons in the outer radiation belt II: Local acceleration and loss // J. Atmospheric and Solar-Terrestrial Physics. 2008. V. 70. P. 1694–1713.
- Millan R.M., Thorne R. M. Review of radiation belt relativistic electron losses // J. Atmospheric and Solar-Terrestrial Physics. 2007. V. 69. P. 362–377.
- Turner D.L., Shprits Y., Hartinger M. et al. Explaining sudden losses of outer radiation belt electrons during geomagnetic storms // Nature Physics. 2012. V. 8. P. 208–212. https://doi.org/10.1038/nphys2185.
- Sorathia K.A., Merkin V. G., Ukhorskiy A. Y. et al. Energetic particle loss through the magnetopause: A combined global MHD and test-particle study // J. Geophysical Research: Space Physics. 2017. V. 122. P. 9329–9343. doi: 10.1002/2017ja024268.
- Li W., Hudson M. K. Earth’s Van Allen Radiation Belts: From Discovery to the Van Allen Probes Era // J. Geophysical Research (Space Physics). 2019. V. 124 P. 8319–8351. doi: 10.1029/2018JA025940.
- Thorne R. M., Bortnik J., Li W. et al. Wave–Particle Interactions in the Earth’s Magnetosphere // Magnetospheres in the Solar System. American Geophysical Union (AGU), 2021. P. 93–108. doi: 10.1002/9781119815624.ch6.
- Sorathia K. A., Ukhorskiy A. Y., Merkin V. G. et al. Modeling the Depletion and Recovery of the Outer Radiation Belt During a Geomagnetic Storm: Combined MHD and Test Particle Simulations // J. Geophysical Research (Space Physics). 2018. V. 123. P. 5590–5609. doi: 10.1029/2018JA025506.
- Hudson M.K., Kress B. T., Mueller H.-R. et al. Relationship of the Van Allen radiation belts to solar wind drivers // J. Atmospheric and Solar-Terrestrial Physics. 2008. V. 70. P. 708–729.
- Hudson M. K., Paral J., Kress B. T. et al. Modeling CME-shock-driven storms in 2012–2013: MHD test particle simulations // J. Geophysical Research. 2015. V. 120. P. 1168–1181. doi: 10.1002/2014JA020833
- Thorne R.M., Li W., Ni B. et al. Rapid local acceleration of relativistic radiation-belt electrons by magnetospheric chorus // Nature. 2013. V. 504. P. 411–414.
- Ma Q., Li W., Bortnik J. et al. Quantitative Evaluation of Radial Diffusion and Local Acceleration Processes During GEM Challenge Events // J. Geophysical Research (Space Physics). 2018. V. 123. P. 1938–1952. doi: 10.1002/2017JA025114.
- Allison H.J., Shprits Y. Y., Zhelavskaya I. S. et al. Gyroresonant wave-particle interactions with chorus waves during extreme depletions of plasma density in the Van Allen radiation belts // Science Advances. 2021. V. 7. Art. ID. eabc0380. doi: 10.1126/sciadv.abc0380.
- Drozdov A. Y., Shprits Y. Y., Orlova K. G. et al. Energetic, relativistic, and ultrarelativistic electrons: Comparison of long-term VERB code simulations with Van Allen Probes measurements // J. Geophysical Research. 2015. V. 120. P. 3574–3587. DOI: 10.1002/ 2014JA020637.
- Mann I. R., Ozeke L. G., Murphy K. R. et al. Explaining the dynamics of the ultra-relativistic third Van Allen radiation belt // Nature Physics. 2016. V. 12. P. 978–983. https://doi.org/10.1038/nphys3799.
- Meredith N. P., Horne R. B., Sicard-Piet A. et al. Global model of lower band and upper band chorus from multiple satellite observations // J. Geophysical Research. 2012. V. 117. Art. ID. 10225.
- Meredith N. P., Horne R. B., Kersten T. et al. Global morphology and spectral properties of EMIC waves derived from CRRES observations // J. Geophysical Research. 2014. V. 119. P. 5328–5342.
- Agapitov O. V., Artemyev A., Krasnoselskikh V. et al. Statistics of whistler mode waves in the outer radiation belt: Cluster STAFF-SA measurements // J. Geophysical Research. 2013. V. 118. P. 3407–3420.
- Agapitov O.V., Artemyev A. V., Mourenas D. et al. Empirical model of lower band chorus wave distribution in the outer radiation belt // J. Geophysical Research. 2015. V. 120. P. 425–442. https://doi.org/10.1002/2015JA021829.
- Agapitov O. V., Mourenas D., Artemyev A. V. et al. Synthetic Empirical Chorus Wave Model from Combined Van Allen Probes and Cluster Statistics // J. Geophysical Research (Space Physics). 2018. V. 123. P. 297–314. doi: 10.1002/2017JA024843.
- Wang D., Shprits Y. Y., Zhelavskaya I. S. et al. Analytical Chorus Wave Model Derived from Van Allen Probe Observations // J. Geophysical Research (Space Physics). 2019. V. 124. P. 1063–1084. doi: 10.1029/2018JA026183.
- Zhang X.-J., Li W., Thorne R. M. et al. Statistical distribution of EMIC wave spectra: Observations from Van Allen Probes // Geophysical Research Letters. 2016. V. 43. P. 348–355. doi: 10.1002/2016GL071158.
- Forsyth C., Watt C. E.J., Mooney M. K. et al. Forecasting GOES15 >2 MeV Electron Fluxes From Solar Wind Data and Geomagnetic Indices // Space Weather. 2020. V. 18. Art. ID. e2019SW002416. doi: 10.1029/2019SW002416.
- Mourenas D., Artemyev A. V., Zhang X.-J. Impact of Significant Time-Integrated Geomagnetic Activity on 2-MeV Electron Flux // J. Geophysical Research: Space Physics. 2019. V. 124. P. 4445–4461. doi: 10.1029/2019JA026659.
- Chen Y., Reeves G. D., Fu X. et al. PreMevE: New Predictive Model for Megaelectron-Volt Electrons inside Earth’s Outer Radiation Belt // Space Weather. 2019. V. 17. P. 438–454. https://doi.org/10.1029/2018SW002095.
- Balikhin M. A., Rodriguez J. V., Boynton R. J. et al. Comparative analysis of NOAA REFM and SNB³GEO tools for the forecast of the fluxes of high-energy electrons at GEO // Space Weather. 2016. V. 14. P. 22–31. doi: 10.1002/2015SW001303.
- Horne R. B., Glauert S. A., Meredith N. P. et al. Space weather impacts on satellites and forecasting the Earth’s electron radiation belts with SPACECAST // Space Weather. 2013. V. 11. P. 169–186.
- Iucci N., Levitin A. E., Belov A. V. et al. Space weather conditions and spacecraft anomalies in different orbits // Space Weather. 2005. V. 3. Art. ID1001. doi: 10.1029/2003SW000056.
- Horne R. B., Phillips M. W., Glauert S. A. et al. Realistic Worst Case for a Severe Space Weather Event Driven by a Fast Solar Wind Stream // Space Weather. 2018. V. 16. P. 1202–1215. doi: 10.1029/2018SW001948.
- Green J. C., Likar J., Shprits Y. Impact of space weather on the satellite industry // Space Weather. 2017. V. 15. P. 804–818. doi: 10.1002/2017SW001646.
- Welling D. T. The long-term effects of space weather on satellite operations // Annales Geophysicae. 2010. V. 28. P. 1361–1367.
- Xapsos M. A., O’Neill P.M., O’Brien T. P. Near-Earth Space Radiation Models // IEEE Trans. Nuclear Science. 2013. V. 60. P. 1691–1705.
- Cochran D. J., Buchner S. P., Chen D. et al. Total Ionizing Dose and Displacement Damage Compendium of Candidate Spacecraft Electronics for NASA // Proc. IEEE Radiation Effects Data Workshop. 2009. P. 25–31. doi: 10.1109/REDW.2009.5336318.
- Zheng Y., Ganushkina N. Y., Jiggens P. et al. Space Radiation and Plasma Effects on Satellites and Aviation: Quantities and Metrics for Tracking Performance of Space Weather Environment Models // Space Weather. 2019. V. 17. P. 1384–1403. doi: 10.1029/2018SW002042.
- Chen Y., Carver M. R., Morley S. K. et al. Determining Ionizing Doses in Medium Earth Orbits Using Long-Term GPS Particle Measurements // Proc. IEEE Aerospace Conference. 2021. Big Sky, MT, USA. Art. ID. 50100. doi: 10.1109/AERO50100.2021.9438516.
- Ecoffet R. Overview of In-Orbit Radiation Induced Spacecraft Anomalies // IEEE Trans. Nuclear Science. 2013. V. 60. P. 1791–1815.
- Stassinopoulos E.G., Raymond J. P. The space radiation environment for electronics // Proc. IEEE. 1988. V. 76. P. 1423–1442. doi: 10.1109/5.90113.
- Baker D. N., McPherron R. L., Cayton T. E. et al. Linear prediction filter analysis of relativistic electron properties at 6.6RE // J. Geophysical Research: Space Physics. 1990. V. 95. P. 15133–15140.
- Glauert S. A., Horne R. B., Meredith N. P. A 30-Year Simulation of the Outer Electron Radiation Belt // Space Weather. 2018. V. 16. P. 1498–1522. doi: 10.1029/2018SW001981.
- Murphy K. R., Watt C. E.J., Mann I. R. et al. The Global Statistical Response of the Outer Radiation Belt during Geomagnetic Storms // Geophysical Research Letters. 2018. V. 45. P. 3783–3792. doi: 10.1002/2017gl076674.
- Ozeke L. G., Mann I. R., Olifer L. et al. Rapid Outer Radiation Belt Flux Dropouts and Fast Acceleration During the March 2015 and 2013 Storms: The Role of Ultra-Low Frequency Wave Transport From a Dynamic Outer Boundary // J. Geophysical Research: Space Physics. 2020. V. 125. Art. ID. e2019JA027179. doi: 10.1029/2019JA027179.
- Claudepierre S. G., O’Brien T.P., Looper M. D. et al. A Revised Look at Relativistic Electrons in the Earth’s Inner Radiation Zone and Slot Region // J. Geophysical Research: Space Physics. 2019. V. 124. P. 934–951. doi: 10.1029/2018JA026349.
- Piet A. S., Bourdarie S., Boscher D. et al. A Model for the Geostationary Electron Environment: POLE, From 30 keV to 5.2 MeV // IEEE Trans. Nuclear Science. 2006. V. 53. P. 1844–1850.
- Allison H. J., Horne R. B., Glauert S. A. et al. The magnetic local time distribution of energetic electrons in the radiation belt region // J. Geophysical Research: Space Physics. 2017. V. 122. P. 8108–8123. doi: 10.1002/2017JA024084.
- Sicard-Piet A., Bourdarie S., Boscher D. et al. A new international geostationary electron model: IGE-2006, from 1 keV to 5.2 MeV // Space Weather. 2008. V. 6. doi: 10.1029/2007SW000368.
- Balikhin M.A., Boynton R. J., Walker S. N. et al. Using the NARMAX approach to model the evolution of energetic electrons fluxes at geostationary orbit // Geophysical Research Letters. 2011. V. 38. Art. ID. 18105.
- Claudepierre S. G., O’Brien T. P. Specifying High-Altitude Electrons Using Low-Altitude LEO Systems: The SHELLS Model // Space Weather. 2020. V. 18. Art. ID. e2019SW002402. doi: 10.1029/2019sw002402.
- Pires de Lima R., Chen Y., Lin Y. Forecasting Megaelectron-Volt Electrons inside Earth’s Outer Radiation Belt: PreMevE2.0 Based on Supervised Machine Learning Algorithms // Space Weather. 2020. V. 18. Art. ID. e2019SW002399. doi: 10.1029/2019SW002399.
- Smirnov A. G., Berrendorf M., Shprits Y. Y. et al. Medium Energy Electron Flux in Earth’s Outer Radiation Belt (MERLIN): A Machine Learning Model // Space Weather. 2020. V. 18. Art. ID. e2020SW002532. doi: 10.1029/2020SW002532.
- Ma D., Chu X., Bortnik J. et al. Modeling the dynamic variability of sub-relativistic outer radiation belt electron fluxes using machine learning // Space Weather. 2022. V. 20. Art. ID. e2022SW003079. doi: 10.1029/2022SW003079.
- Mauk B. H., Fox N. J., Kanekal S. G. et al. Science Objectives and Rationale for the Radiation Belt Storm Probes Mission // Space Science Reviews. 2013. V.179. P. 3–27,
- Tsyganenko N. A., Sitnov M. I. Modeling the dynamics of the inner magnetosphere during strong geomagnetic storms // J. Geophysical Research. 2005. V. 110. Art. ID. A03208.
- Kessel R. L., Fox N. J., Weiss M. The Radiation Belt Storm Probes (RBSP) and Space Weather // Space Science Reviews. 2013. V. 179. P. 531–543.
- Blake J. B., Carranza P. A., Claudepierre S. G. et al. The Magnetic Electron Ion Spectrometer (MagEIS) Instruments aboard the Radiation Belt Storm Probes (RBSP) Spacecraft // Space Science Reviews. 2013. P. 179. doi: 10.1007/s11214-013-9991-8.
- Tsyganenko N. A. Modeling the Earth’s magnetospheric magnetic field confined within a realistic magnetopause //J. Geophysical Research. 1995. V. 100. P. 5599–5612.
- Kletzing C.A., Kurth W. S., Acuna M. et al. The Electric and Magnetic Field Instrument Suite and Integrated Science (EMFISIS) on RBSP // Space Science Reviews. 2013. V. 179. P. 127–181.
Supplementary files









