Structural Features of Pine Catena Stands: from Forest to Oligotrophic Bog
- 作者: Storozhenko V.G.1, Glukhova T.V.1
-
隶属关系:
- Institute of Forest Science of the Russian Academy of Sciences
- 期: 编号 6 (2023)
- 页面: 577-586
- 栏目: RESEARCH
- URL: https://journal-vniispk.ru/0024-1148/article/view/148137
- DOI: https://doi.org/10.31857/S0024114823060098
- EDN: https://elibrary.ru/EKBGWZ
- ID: 148137
如何引用文章
全文:
详细
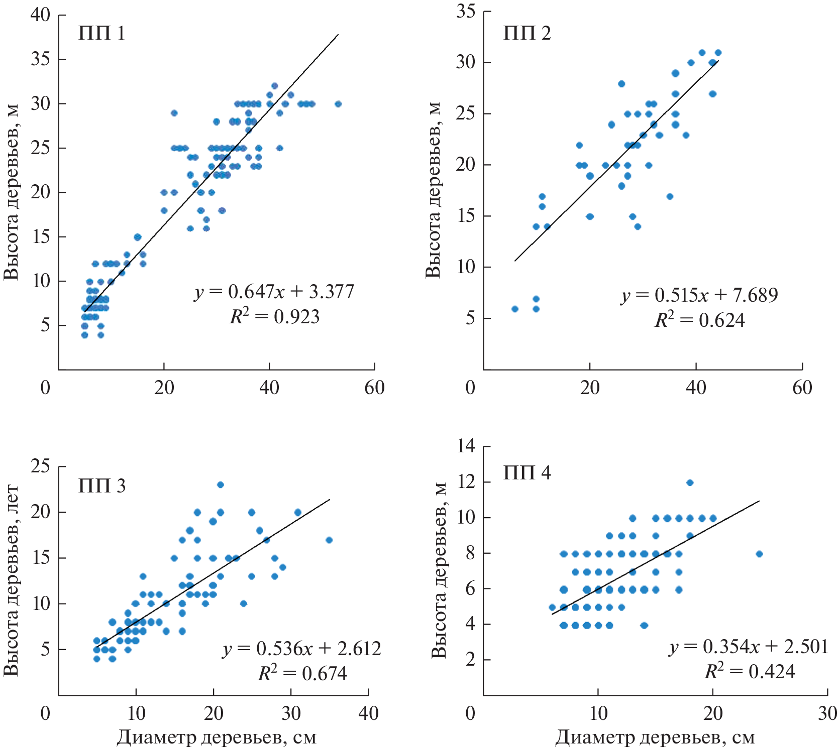
The article presents the results of studies of the pine catena’s stands structure, conducted in the Zapadnodvinsky forestry of the Tver region (Zapadnodvinsky forest-swamp station of the Institute of Forest Science of the RAS, IFS RAS), linking the biogeocenosis of the forest and swamp parts of the oligotrophic bog. The purpose of the research is to study the forestry characteristics, morphometric indices, origin, age structure, dynamic processes and volume indicators of pine stands during the transition of the forest part of the catena to the oligotrophic bog. The pine catena includes four sections with a total length of 110 m and a width of 40 m: the upper forest automorphous zone (PP 1), the slope transit zone (PP 2 and 3) and accumulative zone (PP 4) with forest types changing from cranberry-blueberry pine woods of II quality class to shrub-sphagnum meso-oligotrophic pine woods on 6 m of peat (V quality class), underlain by organic lake sediments. The age structure of stands varies from the conditional evenly-aged restorative dynamics in the forest part to the highly-unevenly-aged dynamics found closer to the climax phase of the meso-oligotrophic sphagnum swamp. The forest part is characterized by the better condition indicators’ values, while the oligotrophic bog’s stands have the worst ones. The pine biogeocenosis of an oligotrophic sphagnum bog is close in dynamic characteristics to sustainable climax forest communities with a maximum age of the first generations trees of approximately 240–280 years. The stands condition along the catena profile varies from healthy in the forest part to the weakened with the degradation development dynamics in the accumulative part of the sphagnum bog.
作者简介
V. Storozhenko
Institute of Forest Science of the Russian Academy of Sciences
编辑信件的主要联系方式.
Email: lesoved@mail.ru
Russia, 143030, Uspenskoe village, Odintsovo district, Moscow region
T. Glukhova
Institute of Forest Science of the Russian Academy of Sciences
Email: lesoved@mail.ru
Russia, 143030, Uspenskoe village, Odintsovo district, Moscow region
参考
- Александрова В.В., Цыганова В.И., Иванова А.В. Оценка состояния Pinus sylvestris L. в олиготрофных экосистемах Среднего Приобъя // Сборник избранных статей по материалам науч. конференций ГНИИ “Нацразвитие”. Санкт-Перербург, 2021. С. 8–12.
- Аринушкина Е.В. Руководство по химическому анализу почв. М.: МГУ, 1970. 487 с.
- Базин Е.Т., Копенкин В.Д. Технический анализ торфа. М.: Недра, 1992. 430 с.
- Биогеоценологическое изучение болотных лесов в связи с опытной гидролесомелиорацией. М.: Наука, 1982. 207 с.
- Глебов Ф.З., Торейко Л.С. О биологической продуктивности болотных лесов в лесообразовательном и болотообразовательном процессах // Ботанический журнал. 1975. Т. 60. № 9. С. 1336–1349.
- Головацкая Е.А. Биомасса и продукция древесного яруса сосново-кустарничково-сфагновых болот южной тайги Западной Сибири // Лесоведение. 2017. № 2. С. 102–110.
- Дыренков С.А. Структура и динамика таежных ельников. Л.: Наука, 1984. 176 с.
- Дворецкий М.Л. Пособие по вариационной статистике. М.: Лесная пром-сть, 1971. 104 с.
- Иванов А.И. Структура и первичная продуктивность сосняков болотного ряда: автореф. дис… канд. биол. наук: 03.00.05. М.: МГУ, 1979. 20 с.
- Вомперский С.Э., Иванов А.И. Вертикально-фракционная структура и первичная продуктивность сосняков болотного ряда // Лесоведение. 1978. № 6. С. 13–24.
- Комин Г.Е. Некоторые особенности строения разновозрастных древостоев заболоченных сосняков // Разновозрастные леса Сибири, Дальнего Востока и Урала и ведение хозяйства в них. Красноярск: Вост. Сиб. кн. изд-во, 1967. С.19–26.
- Комин Г.Е., Семечкин И.В. Возрастная структура древостоев и принципы ее типизации // Лесоведение. 1970. № 2. С. 24–33.
- Коронатова Н.Г. Продуктивность древесного яруса на выпуклых олиготрофных болотах западной Сибири: Материалы IV Междунар. конф. “Биогеоценология и ландшафтная экология: итоги и перспективы”. 2012. С. 76–80.
- Коронатова Н.Г., Миляева Е.В. Определение продуктивности сосновых древостоев в разных типах северотаежных болот // Интерэкспо Гео-Сибирь. 2014. Т. 4. № 2. С. 79–83.
- Кочубей А.А., Санникова Н.С. Динамика поселения, выживания и численности подроста сосны на гарях в сосняках багульниково-кассандрово-сфагновых: Матер. XV Междунар. конф. молодых ученых “Леса Евразии – большой Алтай”. 2015. С. 60–63.
- Плейстоценовые оледенения Восточно-Европейской равнины / Под ред. А.А. Величко, М.А. Фаустовой. М.: Наука, 1981. 203 с.
- Правила санитарной безопасности в лесах (утв. приказом М-ва природных ресурсов и экологии РФ от 24 декабря 2013 г. № 613). М., 2013. 23 с.
- Правдин Л.Ф. Сосна обыкновенная. М.: Наука, 1964. 161 с.
- Рысин Л.П., Савельева Л.И. Сосновые леса России. М.: Товарищество научных изданий КМК, 2008. 288 с.
- Семенский Е.П. Технический анализ торфа. М.: Недра, 1966. 231 с.
- Солоневич Н.Г. Структура и продуктивность некоторых болотных растительных сообществ // Труды БИН РАН. 1963. Сер. 3. Вып. 15. С. 3–93.
- Стороженко В.Г. Устойчивые лесные сообщества. М.: Гриф и К, 2007. 190 с.
- Стороженко В.Г. Древесный отпад в коренных лесах Русской равнины. М.: Товарищество научных изданий КМК, 2011. 122 с.
- Стороженко В.Г., Крутов В.И., Руоколайнен А.В., Коткова В.М., Бондарцева М.А. Атлас-определитель дереворазрушающих грибов лесов Русской равнины. М.: Гриф и К, 2014. 198 с.
- Сукачев В.Н. О болотной сосне // Лесной журнал. 1905. Т. 35. № 3. С. 354–372.
- Третьяков Н.В, Горский П.В., Самойлович Г.Г. Справочник таксатора. М-Л.: Гослесбумиздат, 1952. 853 с.
- Шварцман Ю.Г., Болотов И.Н. Пространственно-временная неоднородность таежного биома в области плейстоценовых материковых оледенений. Екатеринбург: УрО РАН, 2008. 263 с.
- Цветков В.Ф., Семенов Б.А. Сосняки Крайнего Севера. М.: Агропромиздат, 1985. 116 с.
- Chaddock R.E. Principles and methods of statistics. Boston, New York, 1925. 471 p.
- Prieditis N. Pine-birch forest communities on nondrained peatlands in Latvia // Feddes Repertorium. 1993. V. 104. № 3–4.
- Eckstein J., Leuschner H.H., Bauerochse A. Mid-Holocene pine woodland phases and mire development – significance of dendroecological data from subfossil trees from northwest Germany // Journal of Vegetation Science. 2011.V. 22. № 5.
补充文件









