Photosynthesis intensity of spruce, pine and oak seedlings under tree canopy and in the open site in different water supply conditions
- Authors: Molchanov A.G.1
-
Affiliations:
- Institute of Forest Science of the RAS
- Issue: No 6 (2024)
- Pages: 649-660
- Section: RESEARCH
- URL: https://journal-vniispk.ru/0024-1148/article/view/282720
- DOI: https://doi.org/10.31857/S0024114824060069
- EDN: https://elibrary.ru/NVFQJI
- ID: 282720
Cite item
Abstract
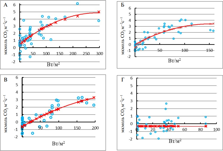
The studies were conducted in the Serebryany Bor experimental forestry division of the Institute of Forest Science of the Russian Academy of Sciences on 5–7-year-old seedlings of spruce, pine and oak. The average daily dependence of photosynthesis on solar radiation was studied under different water supply conditions. The dependence was aligned using the equation proposed by M. Monsi and T. Saeki and the correlation between photosynthesis intensity and the lack of water supply. The results obtained were as follows: while a spruce under the forest canopy reduces its intensity of photosynthesis to zero at the pre-dawn leaf water potential (PDLP) value of –2.4 MPa, the one in the open will do so at the PDLP value of –1.5 MPa. In case of pine, the decrease of photosynthesis intensity to zero occurs under the forest canopy at the PDLP value of –2.2 MPa, and in the open – at –1.8 MPa. The oak’s water supply requirements under the forest canopy and in the open are practically the same, photosynthesis intensity decreases to zero in both growing conditions at a PVPL equal to –3.5 MPa. However, under the forest canopy, the intensity of oak photosynthesis is three times lower than in the open, while for spruce it is practically the same.
Full Text
About the authors
A. G. Molchanov
Institute of Forest Science of the RAS
Author for correspondence.
Email: a.georgievich@gmail.com
Russian Federation, Sovetskaya st. 21, Uspenskoe, Odintsovsky District, Moscow Oblast, 143030
References
- Alekseev V.A., Svetovoi rezhim lesa (Light regime of forest), Leningrad: Nauka, 1975, 228 p.
- Bauerle W.L., Whitlow T.H., Setter T.L., Bauerle T.L. Vermeylen F.M., Ecophysiology of Acer rubrum seedlings from contrasting hydrologic habitats: growth, gas exchange, tissue water relations, abscisic acid and carbon isotope discrimination, Tree Physiology, 2003, Vol. 23, No. 12, pp. 841–850.
- Beshtoeva O., Instruktsiya po sokhraneniyu podrosta i molodnyaka khozyaistvenno tsennykh porod pri razrabotke lesosek i priemke ot lesozagotovitelei vyrubok s provedennymi meropriyatiyami po vosstanovleniyu lesa (Instructions for the preservation of undergrowth and young growth of economically valuable species during the development of logging sites and acceptance of fellings from loggers with forest restoration measures taken), Moscow, 1983, December 8, 1983, No. 147.
- Bosian G., Relationship between stomatal aperture, temperature, illumination, relative humidity and assimilation determined in the field by means of controlled environment plant chambers, In: Functioning of Terrestrial Ecosystems at the Primary Production Level: UNESCO Natural Resources Research Series, Copenhagen, 1968, Vol. 5, pp. 321–328.
- Clark J., Photosynthesis and respiration in white spruce and balsam fir, Syracuse, New York: State University College of Forestry, 1961.
- Edwards N.N., Sollins P., Continuous measurement of carbon dioxide evolution from partitioned forest floor components, Ecology, 1973, Vol. 54, No. 2, pp. 406–412.
- Karpov V.G., Pugachevskii A.V., Treskin P.P., Vozrastnaya struktura populyatsii i dinamika chislennosti eli (Age structure of population and dynamics of number of spruce trees), In: Faktory regulyatsii ekosistem elovykh lesov (Controlling factors in spruce forest ecosystems), Leningrad: Nauka, 1983, pp. 35–62.
- Kaufmann M.R., Stomatal response of Engelmann spruce to humidity, light, and water stress, Plant Physiology, 1976, Vol. 57, pp. 898–901.
- Kellomäki S., Wang K-Y., Photosynthetic responses to needle water potentials in Scots pine after a four-year exposure to elevated CO2 and temperature, Tree Physiology, 1996, Vol. 16, pp. 765–772.
- Larkher V., Ekologiya rastenii (Plant ecology), Moscow: Progress, 1978, 185 p.
- Melekhov I.S., Lesovodstvo (Forestry), Moscow: Izd-vo Moskovskogo gosudarstvennogo universiteta lesa, 2003, 320 p.
- Molchanov A.A., Gidrologicheskaya rol’ lesa (Hydrological contribution of forest), Moscow: Izd-vo AN SSSR, 1960, 487 p.
- Molchanov A.G., Balans CO2 v ekosistemakh sosnyakov i dubrav v raznykh lesorastitel’nykh zonakh (CO2 balance in ecosystems of pine forests and oak forests in various zones of forest sites), Tula: Grif i K, 2007, 284 p.
- Molchanov A.G., Belyaeva E.A., Vliyanie nedostatka vodoobespecheniya na fotosintez sazhentsev eli, sosny i duba (Water affecting photosynthesis of seedlings growing in the open), Lesovedenie, 2024, No. 2, pp. 163–172.
- Molchanov A.G., CO2 drevostoev v estestvennykh usloviyakh (CO2 of forests stands in vivo), In: Fotosinteticheskaya deyatel’nost’ i produktsionnye protsessy fitotsenozov (Photosynthetic activity and production processes of phytocenoses), Orel: Izd-vo Orel GAU, 2014, Vol. 1, pp. 63–88.
- Molchanov A.G., Ekofiziologicheskoe izuchenie produktivnosti drevostoev (Environmental and physiological studies of productivity of stands), Moscow: Nauka, 1983, 135 p.
- Molchanov A.G., Gas exchange in sphagnum mosses at different near-surface groundwater levels, Russian Journal of Ecology, 2015, Vol. 46, No. 3, pp. 230–235.
- Molchanov A.G., Molchanova T.G., Mamaev V.V., Fiziologicheskie protsessy u seyantsev duba chereshchatogo pri nedostatke vlagi (Physiological processes in Quercus robur seedlings under water deficit), Lesovedenie, 1996, No. 1, pp. 54–64.
- Molchanov A.G., Monitoring ekologo-fiziologicheskikh pokazatelei v ekosistemakh (Monitoring of ecological and physiological indicators in ecosystems), In: Serebryanoborskoe opytnoe lesnichestvo: 65 let lesnogo monitoringa (Serebryanoborskoe experimental forestry: 65 years of forest monitoring), Moscow: Tovarishchestvo nauchnykh izdanii KMK, 2010, pp. 112–129.
- Molchanov A.G., Predrassvetnyi vodnyi potentsial kak pokazatel’ vlagoobespechennosti drevostoev (Predawn water potential, as an indicator of water availability of tree stands), PEMME, 2018, Vol. ХХIX, No. 3, pp. 73–92.
- Molchanov A.G., Zavisimost’ gazoobmena bolotnogo sosnyaka pushitsevo-sfagnovogo ot urovnya pochvenno-gruntovykh vod (Dependence of gas exchange on the level of gound water in swamp cotton grass-sphagnum pine forests), Vestnik PGTU, 2016, No. 2 (30), pp. 82–94.
- Monsi M., Saeki T., Uber den Lichtfaktor in den Pflanzengesellschaften und seine Bedeutung fur diе Stoffproduction, Japanese Journal of Botany, 1953, Vol. 14, No. 1, pp. 22–55.
- Pridacha V.B., Ol’chev A.V., Sazonova T.A., Tikhova G.P., Parametry CO2/N2O-obmena drevesnykh rastenii kak instrument monitoringa i otsenki sostoyaniya prirodnoi sredy (Parameters of CO2/H2O-exchange in woody plants as an instrument to monitor and evaluate environmental conditions), Uspekhi sovremennogo estestvoznaniya, 2019, No. 11, pp. 25–30.
- Pridacha V.B., Tikhova G.P., Sazonova T.A., Vliyanie abioticheskikh faktorov na vodoobmen khvoinogo i listvennogo drevesnykh rastenii (The effect of abiotic factors on water exchange in coniferous and deciduous plants), Trudy Karel’skogo nauchnogo tsentra Rossiiskoi akademii nauk, 2018, No. 12, pp. 76–86.
- Rakhi M.O., Apparatura dlya issledovanii komponentov vodnogo potentsiala list’ev (Equipment for studying leaf water potential components), Fiziologiya rastenii, 1973, Vol. 20, pp. 215–221.
- Rauner Y.L., Teplovoi balans rastitel’nogo pokrova (Heat balance of plant cover), Moscow: Nauka, 1972, 210 p.
- Ronco F., Influence of high light intensity on survival of planted Engelmann spruce, Forest Science, 1970, Vol. 16, pp. 331–339.
- Sazonova T.A., Bolondinskii V.K., Pridacha V.B., Novichonok E.V., Vliyanie vodnogo defitsita lista na fotosintez berezy povisloi (The effect of water deficit in leaves on photosynthesis in Silver birch), Mezhdunarodnyi zhurnal prikladnykh i fundamental’nykh issledovanii, 2016, No. 10-4, pp. 595–597.
- Sazonova T.A., Bolondinskii V.K., Pridacha V.B., Vliyanie vodnogo defitsita khvoi sosny obyknovennoi na fotosintez v usloviyakh dostatochnogo pochvennogo uvlazhneniya (The effect of water deficit in needles on photosynthesis of the Scots pine under normal soil moistening), Lesovedenie, 2017, No. 4, pp. 311–318.
- Skuratov I.V., Kryukova E.A., Vliyanie vysokikh temperatur na sostoyanie drevesnykh rastenii i ikh patogenov v zashchitnykh nasazhdeniyakh Nizhnego Povolzh’ya (High temperatures influence on woody plants condition and their pathogens in protective stands of lower Volga region), Vestnik Povolzhskogo gosudarstvennogo tekhnologicheskogo universiteta. Seriya: Les. Ekologiya. Prirodopol’zovanie, 2015, No. 2 (26), pp. 37–43.
- Sleicher R., Vodnyi rezhim rastenii (Water regime of plants), Moscow: Mir, 1970, 365 p.
- Slemnev N.N., Prirost fitomassy i fotosintez khvoi v sosnovykh drevostoyakh razlichnykh polnot i tipov lesa. Avtoref. dis. kand. biol. nauk (Growth of phytomass and photosynthesis of needles in pine forest stands of various thicknesses and forest types. Extended abstract of Candidate’s biol. sci. thesis), Leningrad: LTA, 1969, 18 p.
- Stoker O., Die photosynthetischen Leistungen der Steppen und Wüstenpflanzen, Handbuch für der Pflanzenphysiologie, Ser. B. Springer, 1960, Bd 5, H. 2, ss. 460–491.
- Tikhova G.P., Pridacha V.B., Sazonova T.A., Vliyanie temperatury i otnositel’noi vlazhnosti vozdukha na dinamiku vodnogo potentsiala derev’ev Betula pendula (Betulaceae) (The influence of air temperature and relative humidity on dynamics of water potential in Betula pendula (Betulaceae) trees), Sibirskii lesnoi zhurnal, 2017, No. 1, pp. 56–64.
- Tsel’niker Y.L., Fiziologicheskie osnovy tenevynoslivosti drevesnykh rastenii (Physiological basis of the shade-tolerance of woody plants), Moscow: Nauka, 1978, 212 p.
- Tsel’niker Y.L., Malkina I.S., Kovalev A.G., Chmora S.N., Mamaev V.A., Molchanov A.G., Rost i gazoobmen CO2 u lesnykh derev’ev (The growth and CO2-gaseuos exchange in forest trees), Moscow: Nauka, 1993, 256 p.
- Tsel’niker Y.L., Radiatsionnyi rezhim pod pologom lesa (Radiation regime under the forest canopy), Moscow: Nauka, 1969, 100 p.
- Tsel’niker Y.L., Vygodskaya N.N., Koeffitsient ekstinktsii dlya potokov fotosinteticheski aktivnoi radiatsii v pologe drevostoev i travyanistykh fitotsenozov (Extinction coefficient for photosynthetically active radiation fluxes in the canopy of forest stands and herbaceous phytocenoses), Lesovedenie, 1971, No. 6, pp. 68–71.
- Xu L., Baldocchi D.D., Seasonal trends in photosynthetic parameters and stomatal conductance of blue oak (Quercus douglasii) under prolonged summer drought and high temperature, Tree Physiology, 2003, Vol. 23, pp. 865–877.
Supplementary files








