Источники материала поверхностных донных осадков ряда районов Норвежско-Гренландского бассейна (по геохимическим данным)
- Авторы: Маслов А.В.1, Политова Н.В.2, Клювиткин А.А.2, Козина Н.В.2, Кравчишина М.Д.2, Новигатский А.Н.2, Новичкова Е.А.2, Алексеева Т.Н.2, Шевченко В.П.2
-
Учреждения:
- Геологический институт РАН
- Институт океанологии им. П.П. Ширшова РАН
- Выпуск: № 5 (2023)
- Страницы: 445-472
- Раздел: Статьи
- URL: https://journal-vniispk.ru/0024-497X/article/view/140500
- DOI: https://doi.org/10.31857/S0024497X23700222
- EDN: https://elibrary.ru/WUFFTM
- ID: 140500
Цитировать
Полный текст
Аннотация
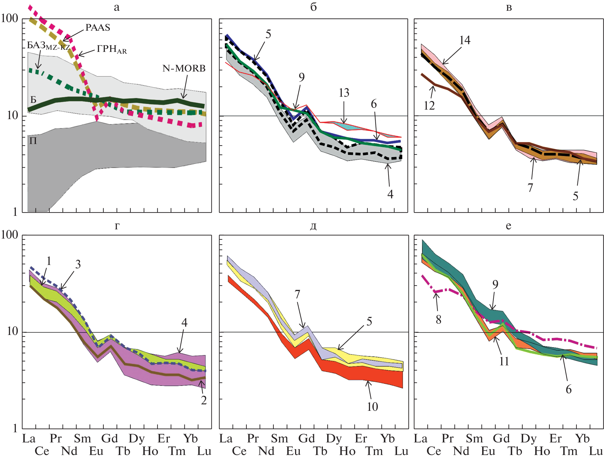
Рассмотрен валовый химический (основные породообразующие оксиды) состав и систематика редкоземельных элементов, Sc, Cr, Zr и Th проб поверхностных донных осадков, отобранных в ряде рейсов НИС “Академик Мстислав Келдыш” в Норвежско-Гренландском бассейне (хребты Мона, Книповича, Колбейнсей и Эгир, котловины Норвежского и Гренландского морей, континентальный склон Шпицбергена, западная континентальная окраина Баренцева моря и др.) для определения источников слагающего их тонкого алюмосиликокластического материала. Если для прибрежных осадков очевидно первоочередное влияние терригенного сноса, то в открытом море осадки испытывают влияние относительно более теплых атлантических вод, ведущее к разбавлению их карбонатом кальция, основными продуцентами которого выступают планктонные фораминиферы. Сделан вывод, что источником тонкой алюмосиликокластики для большинства исследованных проб являлись в разных соотношениях как кислые, так и основные магматические породы (вулканические породы Исландии).
Об авторах
А. В. Маслов
Геологический институт РАН
Автор, ответственный за переписку.
Email: amas2004@mail.ru
Россия, 119017, Москва, Пыжевский пер., 7, стр. 1
Н. В. Политова
Институт океанологии им. П.П. Ширшова РАН
Автор, ответственный за переписку.
Email: politova@ocean.ru
Россия, 117997, Москва, Нахимовский просп., 36
А. А. Клювиткин
Институт океанологии им. П.П. Ширшова РАН
Email: politova@ocean.ru
Россия, 117997, Москва, Нахимовский просп., 36
Н. В. Козина
Институт океанологии им. П.П. Ширшова РАН
Email: politova@ocean.ru
Россия, 117997, Москва, Нахимовский просп., 36
М. Д. Кравчишина
Институт океанологии им. П.П. Ширшова РАН
Email: politova@ocean.ru
Россия, 117997, Москва, Нахимовский просп., 36
А. Н. Новигатский
Институт океанологии им. П.П. Ширшова РАН
Email: politova@ocean.ru
Россия, 117997, Москва, Нахимовский просп., 36
Е. А. Новичкова
Институт океанологии им. П.П. Ширшова РАН
Email: politova@ocean.ru
Россия, 117997, Москва, Нахимовский просп., 36
Т. Н. Алексеева
Институт океанологии им. П.П. Ширшова РАН
Email: politova@ocean.ru
Россия, 117997, Москва, Нахимовский просп., 36
В. П. Шевченко
Институт океанологии им. П.П. Ширшова РАН
Email: politova@ocean.ru
Россия, 117997, Москва, Нахимовский просп., 36
Список литературы
- Батурин Д.Г. Западная континентальная окраина архипелага Шпицберген тектоника и седиментация // Геология осадочного чехла Шпицбергена / Отв. ред. А.А. Красильщиков, М.Н. Мирзаев. Л.: ПГО “Севморгеология”, 1986. С. 125–135.
- Безруков П.Л., Лисицын А.П. Классификация осадков современных морских водоемов // Геологические исследования в дальневосточных морях. М.: АН СССР, 1960. С. 3–14.
- Биогеоценозы гляциальных шельфов Западной Арктики. Апатиты: КНЦ РАН, 1996. 286 с.
- Богданов Ю.А., Сагалевич А.М., Галкин С.В. и др. Геологические и биологические исследования в северной части хребта Мона (Норвежское море) // Океанология. 1997. Т. 37. № 4. С. 609–616.
- Горшкова Т.И. Карбонаты в донных отложениях Норвежско-Гренландского бассейна как показатели распределения водных масс // Труды ВНИРО. 1965. Т. LVII. С. 297–312.
- Горшкова Т.И. Осадки Норвежского моря // Морская геология. М.: Изд-во АН СССР, 1960. С. 132–139.
- Дриц А.В., Клювиткин А.А., Кравчишина М.Д. и др. Потоки осадочного вещества в Лофотенской котловине Норвежского моря: сезонная динамика и роль зоопланктона // Океанология. 2020. Т. 60. № 4. С. 576–594.
- Дубинин Е.П., Кохан А.В., Сущевская Н.М. Тектоника и магматизм ультрамедленных спрединговых хребтов // Геотектоника. 2013. № 3. С. 3–30.
- Емельянов Е.М., Лисицын А.П., Ильин А.В. Типы донных осадков Атлантического океана. Калининград: Калининградская правда, 1975. 590 с.
- Захаренко В.С. Особенности осадконакопления и палеогеография Шпицбергенского шельфа в плейстоцене / Автореф. дисс. … кандидата геол.-мин. наук. Мурманск: ММБИ КНЦ РАН, 2008. 24 с.
- Клювиткин А.А., Кравчишина М.Д., Немировская И.А. и др. Исследование седиментосистем Европейской Арктики в 75-м рейсе научно-исследовательского судна “Академик Мстислав Келдыш” // Океанология. 2020. Т. 60. № 3. С. 485–487.
- Клювиткин А.А., Политова Н.В., Новигатский А.Н., Кравчишина М.Д. Исследования Европейской Арктики в 80-м рейсе научно-исследовательского судна “Академик Мстислав Келдыш” // Океанология. 2021. Т. 61. № 1. С. 156–158.
- Кошелева В.А., Яшин Д.С. Донные осадки Арктических морей России. СПб.: ВНИИОкеангеология, 1999. 286 с.
- Кравчишина М.Д., Кузнецов А.Б., Баранов Б.В. и др. Гидротермальный генезис железомарганцевой корки южного сегмента хребта Мона, Норвежское море: геохимия РЗЭ, изотопный состав стронция и неодима // Докл. АН. Науки о Земле. 2022. Т. 506. № 2. С. 163–169.
- Кравчишина М.Д., Леин А.Ю., Боев А.Г. и др. Гидротермальные минеральные ассоциации на 71° с.ш. Срединно-Атлантического хребта (первые результаты) // Океанология. 2019. Т. 59. № 6. С. 1039–1057.
- Левитан M.A., Васнер М., Нюрнберг Д. и др. Средний состав ассоциаций глинистых минералов в поверхностном слое донных осадков Северного Ледовитого океана // Докл. АН. 1995. Т. 334. № 3. С. 364–366.
- Левитан М.А., Лаврушин Ю.А., Штайн Р. Очерки истории седиментации в Северном Ледовитом океане и морях Субарктики в течение последних 130 тыс. лет. М.: ГЕОС, 2007. 404 с.
- Левитан М.А., Мурдмаа И.О., Иванова Е.В. и др. История осадконакопления на плато Воринг (Норвежское море) за последние 25 тыс. лет // Литология и полез. ископаемые. 2005. № 6. С. 463–580.
- Лисицын А.П. Современные представления об осадкообразовании в океанах и морях. Океан как природный самописец взаимодействия геосфер Земли // Мировой океан. Т. II. Физика, химия и биология океана. Осадкообразование в океане и взаимодействие геосфер Земли / Под ред. Л.И. Лобковского, Р.И. Нигматулина. М.: Научный мир, 2014. С. 331–571.
- Лукашин В.Н. О геохимии взвеси и осаждающегося материала в восточной части Норвежского моря // Геохимия. 2008а. № 7. С. 766–779.
- Лукашин В.Н. Седиментация на континентальных склонах под влиянием контурных течений. М.: ГЕОС, 2008б. 250 с.
- Маслов А.В., Клювиткин А.А., Козина Н.В. и др. Минеральный и химический состав поверхностных донных осадков ряда районов Норвежско-Гренландского бассейна // Океанология. 2022а. Т. 62. № 5. С. 795–810.
- Маслов А.В., Козина Н.В., Клювиткин А.А. и др. Распределение редкоземельных элементов и систематика 87Sr/86Sr в современных донных осадках Каспийского моря // Докл. АН. 2014. Т. 459. № 2. С. 203–207.
- Маслов А.В., Мельничук О.Ю., Мизенс Г.А. и др. Реконструкция состава пород питающих провинций. Статья 2. Лито- и изотопно-геохимические подходы и методы // Литосфера. 2020. Т. 20. № 1. С. 40–62.
- Маслов А.В., Политова Н.В., Клювиткин А.А. и др. Систематика редкоземельных элементов, Sc, Cr, Zr и Th в поверхностных донных осадках Норвежско-Гренландского бассейна // Докл. АН. Науки о Земле. 2022б. Т. 507. № 2. С. 165–173.
- Маслов А.В., Политова Н.В., Шевченко В.П. и др. Систематика Co, Hf, Ce, Cr, Th и редкоземельных элементов в современных донных осадках Баренцева моря // Докл. АН. 2019. Т. 485. № 2. С. 81–86.
- Маслов А.В., Шевченко В.П., Ронкин Ю.Л. и др. Систематика Th, Cr, Hf, Co и редкоземельных элементов в современных донных осадках Белого моря и бассейна нижнего течения р. Северная Двина // Докл. АН. 2012. Т. 443. № 2. С. 214–220.
- Маслов А.В., Школьник С.И., Летникова Е.Ф. и др. Ограничения и возможности литогеохимических и изотопных методов при изучении осадочных толщ. Новосибирск: ИГМ СО РАН, 2018. 383 с.
- Матишов Г.Г. Геоморфология материкового склона Норвежско-Гренландского бассейна и Северо-Западной Атлантики / Автореф. дисс. … кандидата географ. наук. Ростов-на-Дону, 1973. 27 с.
- Матишов Г.Г. Геоморфология дна и некоторые особенности гляциального морфогенеза подводной окраины Западного Шпицбергена // Океанология. 1978. Т. 18. № 2. С. 255–262.
- Матишов Г.Г., Павлова Л.Г. Общая экология и палеогеография полярных океанов. Л.: Наука, 1990. 224 с.
- Никитин О.П., Касьянов С.Ю. Поверхностные течения Норвежского и Гренландского морей // Исследования морей и океанов. Вып. 216. М.: ГОИН, 2015. С. 79–85.
- Новигатский А.Н., Гладышев С.В., Клювиткин А.А. и др. Мультидисциплинарные исследования в Северной Атлантике и прилегающей Арктике в 71-м рейсе научно-исследовательского судна “Академик Мстислав Келдыш” // Океанология. 2019. Т. 59. № 3. С. 510–512.
- Петелин В.П. Новый метод водно-механического анализа морских осадков // Океанология. 1961. Т. 1. Вып. 1. С. 144–148.
- Рянская А.Д., Гуляева Т.Я., Стрелецкая М.В. Отработка методики получения ориентированных образцов глин для рентгеноструктурного анализа // Ежегодник-2014. Екатеринбург: ИГГ УрО РАН, 2015а. С. 254–266.
- Рянская А.Д., Щапова Ю.В., Гуляева Т.Я. и др. Полнопрофильный рентгенодифракционный анализ фазово-минерального состава пород-коллекторов нефти и газа с использованием программы SiroQuant (на примере искусственных смесей) // Ежегодник-2014. Екатеринбург: ИГГ УрО РАН, 2015б. С. 267–275.
- Тримонис Э.С. Терригенная седиментация в Атлантическом океане. М.: Наука, 1995. 255 с.
- Харин Г.С., Ерошенко Д.В. Каменный материал на дне полярных морей: распределение, состав, генезис // Океанология. 2020. Т. 60. № 6. С. 954–969.
- Харин Г.С., Удинцев Г.Б., Чернышева Е.А. Современный щелочной магматизм и гидротермальная деятельность на подводных горах Гренландского моря // Докл. АН. 2003. Т. 392. № 3. С. 375–378.
- Чамов Н.П., Добролюбова К.О., Пейве А.А., Соколов С.Ю. Признаки присутствия газогидратов в верхней части осадочного чехла на бортах разломной зоны Моллой (пролив Фрама, Норвежско-Гренландский бассейн) // Бюл. МОИП. Отд. геол. 2008. Т. 83. Вып. 2. С. 51–60.
- Чамов Н.П., Соколов С.Ю., Костылева В.В. и др. Строение и состав осадочного чехла района рифта Книповича и впадины Моллой (Норвежско-Гренландский бассейн) // Литология и полез. ископаемые. 2010. № 6. С. 594–619.
- Чернышева Е.А., Харин Г.С. Щелочной вулканизм в истории формирования Норвежско-Гренландского бассейна // Петрология. 2007. Т. 15. № 3. С. 317–232.
- Andrews J.T., Eberl D.D. Quantitative mineralogy of surface sediments on the Iceland shelf, and application to down-core studies of Holocene ice-rafted sediments // J. Sed. Res. 2007. V. 77. P. 469–479.
- Andrews J.T., Vogt C. Source to sink: Statistical identification of regional variations in the mineralogy of surface sediments in the western Nordic Seas (58° N–75° N; 10° W–40° W) // Marine Geol. 2014. V. 357. P. 151–162.
- Andrews J.T., Bigg G.R., Wilton D.J. Holocene ice-rafting and sediment transport from the glaciated margin of East Greenland (67°–70° N) to the N Iceland shelves: detecting and modelling changing sediment sources // Quat. Sci. Rev. 2014. V. 91. P. 204–217.
- Andrews J.T., Darby D., Eberle D. et al. A robust, multisite Holocene history of drift ice off northern Iceland: implications for North Atlantic climate // The Holocene. 2009. V. 19. P. 71–77.
- Andrews J.T., Jennings A.E., Coleman G.C., Eberl D.D. Holocene variations in mineral and grain-size composition along the East Greenland glaciated margin (ca 67°–70° N): Local versus long-distance sediment transport // Quat. Sci. Rev. 2010. V. 29. P. 2619–2632.
- Berner H. Mechanismen der Sedimentbildung in der Framstrasse, im Arktischen Ozean und in der Norwegischen See. Berichte, Fachbereich Geowissenschaften, Universitat Bremen, Nr. 20. 1991. 167 s.
- Berner H., Wefer G. Physiographic and biological factors controlling surface sediment distribution in the Fram Strait // Geological history of the Polar oceans: Arctic versus An-tarctic / Eds U. Bleil, J. Thiede. Dordrecht: Kluwer, 1990. P. 317–335.
- Bernstein S., Leslie A.G., Higgins A.K., Brooks C.K. Tertiary alkaline volcanics in the Nunatak Region, Northeast Greenland: new observations and comparison with Siberian maymechites // Lithos. 2000. V. 53. P. 1–20.
- Bischof J. Ice drift, ocean and climate change. Berlin: Springer, 2000. 214 p.
- Blindheim J., Rey F. Water-mass formation and distribution in the Nordic Seas during the 1990s // ICES J. Marine Sci. 2004. V. 61. P. 846–863.
- Bogaerts M., Scaillet B., Liégeois J.-P., Vander Auwera J. Petrology and geochemistry of the Lyngdal granodiorite (Southern Norway) and the role of fractional crystallisation in the genesis of Proterozoic ferro-potassic A-type granites // Precambrian Res. 2003. V. 124. P. 149–184.
- Boyle E.A. Vertical oceanic nutrient fractionation and glacial/interglacial CO2 cycles // Nature. 1988. V. 331. P. 55–56.
- Braccialli L., Marroni M., Pandolfi L., Rocchi S. Geoche-mistry and petrography of Western Tethys Cretaceous sedimentary covers (Corsica and Northern Apennines): from source areas to configuration of margins // Sedimentary Provenance and Petrogenesis: Perspectives from Petrography and Geochemistry / Eds J. Arribas, S. Critelli, M.J. Johnsson // Geol. Soc. Am. Spec. Pap. 2007. № 420. P. 73–93.
- Broecker W.S., Denton G.H. The role of ocean-atmosphere reorganizations in glacial cycles // Geochim. Cosmochim. Acta. 1989. V. 53. P. 2465–250l.
- Carlsson P., Johansson Å., Gee D.G. Geochemistry of the Palaeoproterozoic Bangenhuk granitoids, Ny Friesland, Svalbard // GFF. 1995. V. 117. P. 107–119.
- Condie K.C. Chemical composition and evolution of the upper continental crust: contrasting results from surface samples and shales // Chem. Geol. 1993. V. 104. P. 1–37.
- Cotkin S.J. Igneous and metamorphic petrology of the eclogitic Seljeneset Meta-anorthosite and related jotunites, Western Gneiss Region, Norway // Lithos. 1997. V. 40. P. l–30.
- Cruz M.I.F.S. Mineralogy and geochemistry of contrasting hydrothermal systems on the Arctic Mid Ocean Ridge (AMOR): The Jan Mayen and Loki’s Castle vent fields. Doutoramento em Ciencias do Mar. Univeridadae de Lisboa. Faculdade de Ciencias. 2015. 257 p.
- Cullers R.L. Implications of elemental concentrations for provenance, redox conditions, and metamorphic studies of shales and limestones near Pueblo, CO, USA // Chem. Geol. 2002. V. 191. P. 305–327.
- Cullers R.L. The geochemistry of shales, siltstones, and sandstones of Pennsylvanian-Permian age, Colorado, USA: implications for provenance and metamorphic stu-dies // Lithos. 2000. V. 51. P. 181–203.
- Dugstad J., Fer I., LaCasce J. et al. Lateral heat transport in the Lofoten Basin: near-surface pathways and subsurface exchange // J. Geophys. Res.: Oceans. 2019. V. 124. P. 2992–3006.
- Evans J., Dowdeswell J.A., Grobe H. et al. Late Quaternary sedimentation in Kejser Franz Joseph Fjord and the continental margin of East Greenland // Glacier-lnftuenced Sedimentation on High-Latitude Continental Margins / Eds J.A. Dowdeswell, C. O’Cofaigh // Geol. Soc. (London). Spec. Publ. 2002. No 203. P. 149–179.
- Farmer G.L., Barber D., Andrews J. Provenance of Late Quaternary ice-proximal sediments in the North Atlantic: Nd, Sr and Pb isotopic evidence // Earth Planet. Sci. Lett. 2003. V. 209. P. 227–243.
- Feng R., Kerrich R. Geochemistry of fine-grained clastic sediments in the Archean Abitibi greenstone belt, Canada: implications for provenance and tectonic setting // Geochim. Cosmochim. Acta. 1990. V. 54. P. 1061–1081.
- Fedo C.M., Eriksson K.A., Krogstad E.J. Geochemistry of shales from the Archean (~3.0 Ga) Buhwa Greenstone Belt, Zimbabwe: implications for provenance and source-area weathering // Geochim. Cosmochim. Acta. 1996. V. 60. P. 1751–1763.
- Fedo C.M., Young G.M., Nesbitt H.W. Paleoclimatic control on the composition of the Paleoproterozoic Serpent Formation, Huronian Supergroup, Canada: a greenhouse to icehouse transition // Precambrian Res. 1997. V. 86. P. 201– 223.
- Fohrmann H., Backhaus J.O., Blaumel F. et al. Modern Ocean Current-Controlled Sediment Transport in the Greenland-Iceland-Norwegian (GIN) Seas // The Northern North Atlantic: A Changing Environment / Eds P. Schafer, W. Ritzrau, M. Schluter, J. Thiede. Berlin: Springer, 2001. P. 135–154.
- Gale A., Dalton C.A., Langmuir C.H. et al. The mean composition of ocean ridge basalts // Geochem. Geophys. Geosyst. 2013. V. 14. P. 489–518. https://doi.org/10.1029/2012GC004334
- Geochemistry of Sediments and Sedimentary Rocks: Evolutionary Considerations to Mineral Deposit-Forming Environments / Ed. D.R. Lentz // Geol. Ass. Canada. GeoText 4. 2003. 184 p.
- Girty G.H., Hanson A.D., Knaack C., Johnson D. Provenance determined by REE, Th, Sc analyses of metasedimentary rocks, Boyden Cave Roof Pendant, central Sierra Nevada, California // J. Sed. Res. 1994. V. B64. P. 68–73.
- Gromet L.P., Dymek R.F., Haskin L.A., Korotev R.L. The “North American shale composite”: Its compilation, major and trace element characteristics // Geochim. Cosmochim. Acta. 1984. V. 48. P. 2469–2482.
- Grousset F.E., Chesselet R. The Holocene sedimentary regime in the northern Mid-Atlantic Ridge region // Earth Planet. Sci. Lett. 1986. V. 78. P. 271–287.
- Hald M. Climate change and paleoceanography // The Northern North Atlantic: A Changing Environment / Eds P. Schaufer, W. Ritzrau, M. Schluter, J. Thiede. Berlin: Springer, 2001. P. 281–290.
- Hald N., Tegner C. Composition and age of tertiary sills and dykes, Jameson Land Basin, East Greenland: relation to regional flood volcanism // Lithos. 2000. V. 54. P. 207–233.
- Hards V.L., Kempton P.D., Thompson R.N. The heterogeneous Iceland plume: new insights from the alkaline basalts of the Snaefell volcanic centre // J. Geol. Soc. (London). 1995. V. 152. P. 1003–1009.
- Haskin M.A., Haskin L.A. Rare earths in European shales: a redetermination // Science. 1966. V. 154. P. 507–509.
- Hebbeln D., Berner H. Surface sediment distribution in the Fram Strait // Deep-Sea Res. I. 1993. V. 40. P. 1731–1745.
- Hebbeln D., Wefer G. Effects of ice coverage and ice-rafted material on sedimentation in the Fram Strait // Nature. 1991. V. 350. P. 409–411.
- Holm P.M., Hald N., Waagstein R. Geochemical and Pb–Sr–Nd isotopic evidence for separate hot depleted and Iceland plume mantle sources for the Paleogene basalts of the Faroe Islands // Chem. Geol. 2001. V. 178. P. 95–125.
- Imbrie J., Boyle E.A., Clemens S. et al. On the structure and origin of major glaciation cycles: 1. Linear responses to Milankovitch Forcing // Paleoceanography. 1992. V. 7. P. 701–738.
- Johannessen T., Jansen E., Flatoy A., Ravelo A.C. The relationship between surface water masses, oceanographic fronts and paleoclimatic proxies in surface sediments of the Greenland, Iceland, Norwegian seas // Carhon Cycling in the Glacial Ocean: Constraints on the Ocean’s Role in Global Change / Eds R. Zahn, T.F. Pedersen, M.A. Kaminski, L. Labeyrie // NATO ASI I. V. 17. Berlin, Heidelberg: Springer-Verlag, 1994. P. 61–85.
- Kalsbeek F. Geochemistry, tectonic setting, and poly-orogenic history of Palaeoproterozoic basement rocks from the Caledonian fold belt of North-East Greenland // Precambrian Res. 1995. V. 72. P. 301–315.
- Kalsbeek F., Jepsen H.F., Jones K.A. Geochemistry and petrogenesis of S-type granites in the East Greenland Caledonides // Lithos. 2001. V. 57. P. 91–109.
- Kokfelt T.F., Hoernle K., Hauff F. et al. Combined Trace Element and Pb–Nd–Sr–O Isotope Evidence for Recycled Oceanic Crust (Upper and Lower) in the Iceland Mantle Plume // J. Petrol. 2006. V. 47. P. 1705–1749.
- Laberg J.S., Vorren T.O. Late Weichsetian submarine debris flow deposits on the Bear Island Trough Mouth Fan // Marine Geol. 1995. V. 127. P. 45–72.
- Lackschewitz K.S., Wallrabe-Adams H.-J., Garbe-Schonberg D. Geochemistry of surface sediments from the mid-oceanic Kolbeinsey Ridge, north of Iceland // Marine Geol. 1994. V. 121. P. 105–119.
- Lee Y.I. Provenance derived from the geochemistry of late Paleozoic-early Mesozoic mudrocks of the Pyeongan Supergroup, Korea // Sed. Geol. 2002. V. 149. P. 219–235.
- Maccali J., Hillaire-Marcel C., Carignan J., Reisberg L.C. Pb isotopes and geochemical monitoring of Arctic sedimentary supplies and water mass export through Fram Strait since the Last Glacial Maximum // Paleoceanography. 2012. V. 27. PA1201. https://doi.org/10.1029/2011PA002152
- Markl G. REE constraints on fractionation processes of massive-type anorthosites on the Lofoten Islands, Norway // Mineral. Petrol. 2001. V. 72. P. 325–351.
- Mason A.J., Brewer T.S. Mafic dyke remnants in the Le-wisian Complex of the Outer Hebrides, NW Scotland: a geochemical record of continental break-up and re-assembly // Precambrian Res. 2004. V. 133. P. 121–141.
- McClelland J.W., Holmes R.M., Dunton K.H. et al. The Arctic Ocean Estuary // Estuaries and Coasts. 2012. V. 35. P. 353–368.
- McLennan S.M. Rare earth elements in sedimentary rocks: influence of provenance and sedimentary processes // Geochemistry and mineralogy of rare earth elements / Eds B.R. Lipin, G.A. McKay // Reviews in Mineralogy. 1989. V. 21. P. 169–200.
- McLennan S.M., Hemming S.R., McDaniel D.K., Hanson G.N. Geochemical approaches to sedimentation, provenance and tectonics // Processes controlling the composition of clastic sediments / Eds M.J. Johnsson, A. Basu // Geol. Soc. Am. Spec. Pap. 1993. № 284. P. 21–40.
- Munsell Soil-Color-Charts with genuine Munsell color ships. 2009 year revised. Michigan: Munsell Color, Grand Rapids, 2012.
- Negrel P., Sadeghi M., Ladenberger A. et al. Geochemical fingerprinting and source discrimination of agricultural soils at continental scale // Chem. Geol. 2015. V. 396. P. 1–15.
- Peate D.W., Baker J.A., Jakobsson S.P. et al. Historic magmatism on the Reykjanes Peninsula, Iceland: a snap-shot of melt generation at a ridge segment // Contrib. Mineral. Petrol. 2009. V. 157. P. 359–382.
- Peterman E.M., Hacker B.R., Baxter E.F. Phase transformations of continental crust during subduction and exhumation: Western Gneiss Region, Norway // Eur. J. Mineral. 2009. V. 21. P. 1097–1118.
- Pfirman S. Sediment distribution of the Greenland Sea and the Fram Strait // Polar Res. 1987. V. 5. P. 319–320. https://doi.org/10.3402/polar.v5i3.6901
- Pirrung M., Illner P., Matthiessen J. Biogenic barium in surface sediments of the European Nordic Seas // Marine Geol. 2008. V. 250. P. 89–103.
- Randelhoff A., Reigstad M., Chierici M. et al. Seasonality of the physical and biogeochemical hydrography in the inflow to the Arctic Ocean through Fram Strait // Front. Mar. Sci. 2018. V. 5. 224. https://doi.org/10.3389/fmars.2018.00224
- Rossby T., Ozhigin V., Ivshin V., Bacon S. An isopycnal view of the Nordic Seas hydrography with focus on properties of the Lofoten Basin // Deep-Sea Res. I. 2009. V. 56. P. 1955–1971.
- Rudnick R.L., Gao S. Composition of the continental crust // Treatise on Geochemistry. Amsterdam: Elsevier, 2003. V. 3. P. 1–64.
- Sarafanov A., Falina A., Mercier H. et al. Mean fulldepth summer circulation and transports at the northern periphery of the Atlantic Ocean in the 2000s // J. Geoph. Res. 2012. V. 117. C01014.
- Slagstad T. Geochemistry of trondhjemites and mafic rocks in the Bymarka ophiolite fragment, Trondheim, Norway: Petrogenesis and tectonic implications // Norwegian J. Geol. 2003. V. 83. P. 167–185.
- Slater L., McKenzie D., Gronvold K., Shimizu N. Melt gene-ration and movement beneath Theistareykir, NE Iceland // J. Petrol. 2001. V. 42. P. 321–354.
- Slubowska-Woldengen M., Koč N., Rasmussen T.L. et al. Time-slice reconstructions of ocean circulation changes on the continental shelf in the Nordic and Barents Seas during the last 16,000 cal yr B.P. // Quat. Sci. Rev. 2008. V. 27. P. 1476–1492.
- Stein R., Nam S.-I., Grobe H., Hubberten H. Late Quaternary glacial history and short-term ice-rafted debris fluctuations along the East Greenland continental margin // Late Quaternary Palaeoceanography of the North Atlantic Margins / Eds J.T. Andrews, W.E.N. Austin, H. Bergsten, A.E. Jennings // Geol. Soc. Spec. Publ. 1996. № 111. P. 135–151.
- Taylor J., Tranter M., Munhoven G. Caгbon cycling and burial in the glacially influenced Polar North Atlantic // Paleoceanography. 2002. V. 17. № 1. https://doi.org/10.1029/2001PA000644
- Taylor S.R., McLennan S.M. The Continintal Crust: Its composition and evolution. Oxford: Blackwell, 1985. 312 p.
- Teschner C. Reconstructing the Plio–Pleistocene evolution of the water mass exchange and climate variability in the Nordic Seas and North Atlantic Ocean / Dissertation zur Erlangung des Doktorgrades Dr. rer. nat. der Mathematisch-Naturwissenschaftlichen Fakultät der Christian-Albrechts Universität zu Kiel. Kiel, 2013. 171 p.
- The Northern North Atlantic / Eds P. Schaufer, W. Ritzrau, M. Schluter, J. Thiede. Berlin, Heidelberg: Springer, 2001. 520 p.
- Thorpe M.T., Hurowitz J.A., Dehouck E. Sediment geochemistry and mineralogy from a glacial terrain river system in southwest Iceland // Geochim. Cosmochim. Acta. 2019. V. 263. P. 140–166.
- Verplanck E.P., Farmer G.L., Andrews J. et al. Provenance of Quaternary glacial and glacimarine sediments along the southeast Greenland margin // Earth Planet. Sci. Lett. 2009. V. 286. P. 52–62.
- Vogt C., Knies J., Spielhagen R.F., Stein R. Detailed mine-ralogical evidence for two nearly identical glacial/deglacial cycles and Atlantic water advection to the Arctic Ocean during the last 90 000 years // Global and Planet. Change. 2001. V. 31. P. 23–44.
- Vogt P.R. Seafloor topography, sediments, and paleoenvironments // The Nordic Seas / Ed. B.O. Hurdle. N. Y.: Springer, 1986. P. 237–412.
- Volkov D.L., Belonenko T.V., Foux V.R. Puzzling over the dynamics of the Lofoten Basin – a sub-Arctic hot spot of ocean variability // Geophysical Res. Lett. 2013. V. 40. P. 738–743.
- Vorren T.O., Laberg J.S., Blaume F. et al. The Norwegian– Greenland Sea continental margins: morphology and Late Quaternary sedimentary processes and environment // Quat. Sci. Rev. 1998. V. 17. P. 273–302.
- Wood D.A., Joron J.-L., Treuil M. et al. Elemental and Sr isotope variations in basic lavas from Iceland and the surrounding ocean floor (the nature of mantle source inhomogeneities) // Contrib. Mineral. Petrol. 1979. V. 70. P. 319–339.
Дополнительные файлы











