Rare Earth Elements in Fe oxyhydroxides from biofilms containing iron-oxidizing bacteria
- Authors: Felitsyn S.B.1
- 
							Affiliations: 
							- Institute of Precambrian Geology and Geochronology of the RAS
 
- Issue: No 4 (2024)
- Pages: 452-461
- Section: Articles
- URL: https://journal-vniispk.ru/0024-497X/article/view/266985
- DOI: https://doi.org/10.31857/S0024497X24040049
- EDN: https://elibrary.ru/ZOFFZO
- ID: 266985
Cite item
Full Text
Abstract
Fe oxyhydroxides extracted from modern-day biofilms with iron-oxidizing bacteria Arthrobacter spp., Gallionella spp и Leptothrix ochracea in the north-west of the East European platform display the enhanced content of rare earth elements – up to 1100 ppm. REE concentration in bacterial oxyhydroxides increase by one order in magnitude during 1 year suggesting the high sorption capacity of newly formed Fe mineral phases. La/YbN, Ce and Y anomalies in bacterial oxyhydroxides are consistent with geochemistry of the surface water facies where bacterial communities live. Isotopic composition of Nd in studied bacterial oxyhydroxides is controlled by the lithology of the Q-R underlying sediment and ambient water. 143Nd/144Nd values in Fe minerals of bacterial origin vary from 0.511570 to 0.512220 (eNd(0) from –21.8 to –9.2), the high proportion of radiogenic Nd is typical for the samples located on platform cover with Palaeozoic carbonate sediment.
Full Text
Способность оксигидроксидов железа накапливать элементы (включая щелочные, щелочноземельные и редкоземельные) из окружающей водной среды определяет применение их в промышленности в качестве сорбента. Сорбционная емкость оксигидроксидов железа связана со свойствами поверхности минеральных фаз (площадь и заряд) и образованием комплексных соединений [Hiemstra, van Riemsdijk, 2009], вследствие чего происходит накопление элементов на поверхности минеральных фаз [Trivedi et al., 2001; Sajih et al., 2014; Liu et al., 2017].
На особую роль ферригидрита бактериального происхождения в сорбции ряда элементов указывали ранее Ф.В. Чухров с соавторами [1973]. На северо-западе Восточно-Европейской платформы и в прилегающих к ней районах Балтийского щита, в водотоках с активным гидродинамическим режимом, воды которых содержат Fe2+, часто встречаются бактериальные сообщества, включающие представителей неформальной группы железобактерий, которые используют энергию окисления железа для фиксации углерода [Emerson et al., 2010]. Возникающие при этом минеральные фазы с Fe3+ (включая ферригидрит) осаждаются на поверхности бактериальных клеток, образуя чехлы различной морфологии. В лабораторных условиях активный рост железобактерий происходит при концентрациях Fe2+ > 7.5 мг/л [Felitsyn et al., 2023]; но в природных условиях железоокисляющие бактерии могут существовать в водных обстановках, где уровень содержания Fe2+ значительно ниже, включая морские бассейны [Ковальчук и др., 2012].
Изучение состава оксигидроксидов железа из бактериальных матов, находящихся длительное время на одном и том же месте, позволяет выяснить характер изменений концентрации в них различных элементов (включая РЗЭ) в течение нескольких лет.
В задачи настоящей работы входило исследование вариаций содержания РЗЭ и изотопного состава неодима в оксигидроксидах железа, которые образовались на поверхности клеток железобактерий различных видов в биопленках водоемов северо-запада Восточно-Европейской платформы, и выяснение динамики накопления РЗЭ бактериальными оксигидроксидами железа.
МАТЕРИАЛЫ И МЕТОДЫ
Объектом исследования являлись минералы железа, выделенные из содержащих железобактерии биопленок (бактериальных матов). Маты представляют собой прикрепленные к твердому субстрату водонасыщенные органические образования видимой толщиной первые мм и площадью до 100 см2 различных оттенков красного цвета – от желто- до темно-красного. Все изученные бактериальные маты находились в пределах водотоков с расходом воды 0.15‒0.4 л/с. Минералы железа, образованные на поверхности клеток железобактерий, представлены в основном гетитом и гидрогетитом, с подчиненным количеством ферригидрита, лепидокрокита, гидрогематита и гематита [Emerson et al., 2010]; далее в тексте для подобной ассоциации минералов используется обобщенный термин “оксигидроксиды железа”.
Объекты расположены в следующих трех локациях окрестностей г. Санкт-Петербурга.
- Правый берег р. Сестра Заводская в районе ж/д платформы Курорт, в ~30 км северо-западнее г. Санкт-Петербурга, координаты точки пробоотбора 60°11249 с.ш., 29°95988 в.д., образцы Sestra-1 и Sestra-2. Маты покрывают склон дюнных отложений четвертичного возраста, состоящих из кварцевого песка и залегающих на терригенных породах (аргиллитах и песчаниках) верхнего эдиакария, в местах выхода грунтовых вод в 2.5 км выше места впадения реки в Финский залив. Место отбора проб окружено садовыми участками. Отдельные бактериальные маты существуют на одном и том же месте до трех лет. По данным микробиологических исследований, главными железоокисляющими бактериями в матах р. Сестра Заводская являются Gallionella ferruginea, обнаружены и другие представители группы – Arthrobacter spp., Thiobacillus ferrooxidans, Leptothrix spp. В материале матов присутствует незначительное количество гематита (“железная сметана”).
- Район д. Заозерье на берегу озера Орлинское, Гатчинский район Ленинградской обл., координаты точки пробоотбора 59°23699 с.ш., 30°07396 в.д., образцы Orl-A и Orl-S. Маты присутствуют в центральной и краевой частях водотока (дренажная канава) с различным гидродинамическим режимом – скорость воды составляет 0.15 л/с в краевой части и 0.40 л/с в центральной. В матах преобладают Arthrobacter spp. и Gallionella spp., возраст матов оценить невозможно. На дне водотока и в пределах почвенного горизонта рядом с дренажной канавой присутствуют гальки и валуны размером до 15 см, сходные по внешнему виду с карбонатными породами волховского торизонта нижнего ордовика.
- Район населенного пункта Скачки, Красносельский район г. Санкт-Петербурга, координаты точки пробоотбора 59°75918 с.ш., 30°10287 в.д., образцы Sk-1-A, Sk-1-B, Sk-2, Sk-3 и Sk-4. Маты расположены в водотоке с расходом воды 0.2‒0.3 л/с в зоне небольшого перелива, возникшего в месте изменения гипсометрического уровня поверхностного водоема, появились в июне 2020 г. и исчезли в конце 2022 г. В окружающих озерно-ледниковых отложениях присутствуют фрагменты нижнепалеозойских известняков и доломитов различной степени окатанности. Преобладающей формой железобактерий в матах является Leptothrix ochracea, также обнаружена Gallionella ferruginea.
Определение видового состава бактерий проведено Л.А. Краевой (СПб НИИ эпидемиологии и микробиологии им. Пастера), описание и изображения железобактерий из локаций р. Сестра Заводская и оз. Орлинское приведены в работах [Фелицын, Алфимова, 2017; Felitsyn et al., 2019, 2023], изображение чехлов Leptothrix ochracea из локации Скачки показано на рис. 1.
Рис. 1. Оксигидроксиды железа, покрывающие клетки Leptothrix ochracea, локация Скачки, образец Sk-1-А. Изображения получены с помощью растрового электронного микроскопа JSM-6510LA (Japan), оснащенного спектрометром JED-2200 (JEOL)
Выделение минералов железа из обезвоженных матов проводилось гравитационным методом и электромагнитной сепарацией с последующей очисткой под оптическим микроскопом. Полученная фракция минералов железа растворялась в теплой (40°C) 10% HCl в течение 6 часов, полученный раствор высушивался и сухой остаток служил материалом для последующих изотопно-геохимических исследований. Целью подобной предварительной процедуры являлось исключение возможности попадания в пробу устойчивых в зоне гипергенеза минералов – граната, циркона и титанита, элементный и изотопный состав которых мог бы исказить данные по составу бактериальных оксигидроксидов железа. Изотопный состав Nd определен с помощью масс-спектрометра TRITON (Thermo Fisher Scientific, Germany), элементный состав – на оборудовании Agilent 7500c ICP-MS (USA) в Институте геологии и геохронологии докембрия РАН, детальное описание реализованной методики аналитических определений, список реактивов и метрология приведены в работах [Фелицын, Богомолов, 2016; Felitsyn et al., 2019, 2023]. Для представления результатов определения изотопного состава Nd в виде единиц eNd(0) использовано значение 143Nd/144Nd CHUR0 = 0.512638 согласно работе [Bouvier et al., 2008].
РЕЗУЛЬТАТЫ
Содержание железа в пробах до обработки HCl составляло от 16.7 (локация Скачки) до 37.9 мас. % (локация р. Сестра Заводская), марганца – от 300 до 1300 мкг/г. Выделенные из бактериальных матов оксигидроксиды железа показывают значительное обогащение РЗЭ – в несколько раз превосходящее концентрации этих элементов в стандартных постархейских глинистых сланцах (NASC, PAAS) по [Gromet et al., 1984; Taylor, McLennan, 1985] (табл. 1). Наблюдается зависимость содержания РЗЭ от возраста бактериального мата или от расхода воды в водотоке. В локации оз. Орлинское в оксигидроксидах железа из бактериального мата в обстановке c расходом воды 0.4 л/с (образец Orl-A) суммарное содержание РЗЭ (950 мкг/г) более чем в три раза выше по сравнению с образцом Orl-S из зоны с расходом воды 0.15 л/с (310 мкг/г), расстояние между этими местами пробоотбора составляет не более 50 см. По мере увеличения возраста мата от 3 до 18 месяцев (локация Скачки) содержание РЗЭ в оксигидроксидах железа увеличивается более чем на порядок: от ~100 до ~1120 мкг/г. В бактериальных оксигидроксидах железа из матов возрастом не менее двух лет (локация Сестра Заводская) суммарное содержание РЗЭ составляет 1121 мкг/г. Концентрация примеси натрия в бактериальных оксигидроксидах Fe уменьшается от 1.1 мас. % в матах возрастом 3 месяца до 0.09 мас. % в мате возрастом 24 месяца, зависимость содержания РЗЭ и Na от возраста матов показана на рис. 2.
Таблица 1. Содержание РЗЭ (мкг/г) и натрия (мас. %) в оксигидроксидах железа из бактериальных матов
| № образца и возраст мата | Sk-1-A 3 месяца | Sk-1-B 3 месяца | Sk-2 6 месяцев | Sk-3 6 месяцев | Sk-4 18 месяцев | Orl-A – | Orl-S – | Sestra-2 24 месяца | 
| La | 22.5 | 18.2 | 148.0 | 137.0 | 225.0 | 198.0 | 63.0 | 331.0 | 
| Ce | 46.1 | 38.0 | 324.0 | 302.0 | 449.0 | 365.0 | 127.0 | 405.0 | 
| Pr | 5.7 | 4.6 | 39.0 | 35.5 | 54.0 | 47.6 | 14.8 | 56.6 | 
| Nd | 21.8 | 17.5 | 148.0 | 135.0 | 217.0 | 168.0 | 55.0 | 229 | 
| Sm | 4.3 | 3.5 | 31.8 | 28.8 | 43.1 | 32.3 | 11.1 | 30.6 | 
| Eu | 0.95 | 0.74 | 7.2 | 6.7 | 8.8 | 4.7 | 1.1 | 2.8 | 
| Gd | 4.0 | 3.2 | 30.0 | 28.5 | 39.0 | 27.2 | 10.1 | 26.5 | 
| Tb | 0.59 | 0.49 | 4.6 | 4.7 | 5.6 | 4.0 | 1.5 | 2.9 | 
| Dy | 3.5 | 32.9 | 26.0 | 29.0 | 35.0 | 22.1 | 9.1 | 14.8 | 
| Y | 16.2 | 14.8 | 138.0 | 139.0 | 140.0 | 89.0 | 29.8 | 56.0 | 
| Ho | 0.70 | 0.58 | 5.3 | 5.8 | 5.1 | 4.4 | 1.9 | 3.4 | 
| Er | 2.1 | 1.6 | 14.4 | 15.8 | 16.1 | 13.1 | 5.8 | 8.8 | 
| Tm | 0.27 | 0.22 | 2.0 | 2.1 | 2.2 | 2.0 | 0.85 | 1.1 | 
| Yb | 1.7 | 1.5 | 12.4 | 13.2 | 15.5 | 13.9 | 5.8 | 6.7 | 
| Lu | 0.26 | 0.22 | 1.9 | 1.9 | 2.4 | 2.3 | 0.84 | 1.1 | 
| Na | 0.89 | 1.1 | 0.79 | 0.72 | 0.35 | 0.62 | 0.94 | 0.09 | 
Рис. 2. Зависимость содержания суммы РЗЭ (а) и натрия (б) в оксигидроксидах железа от возраста бактериального мата
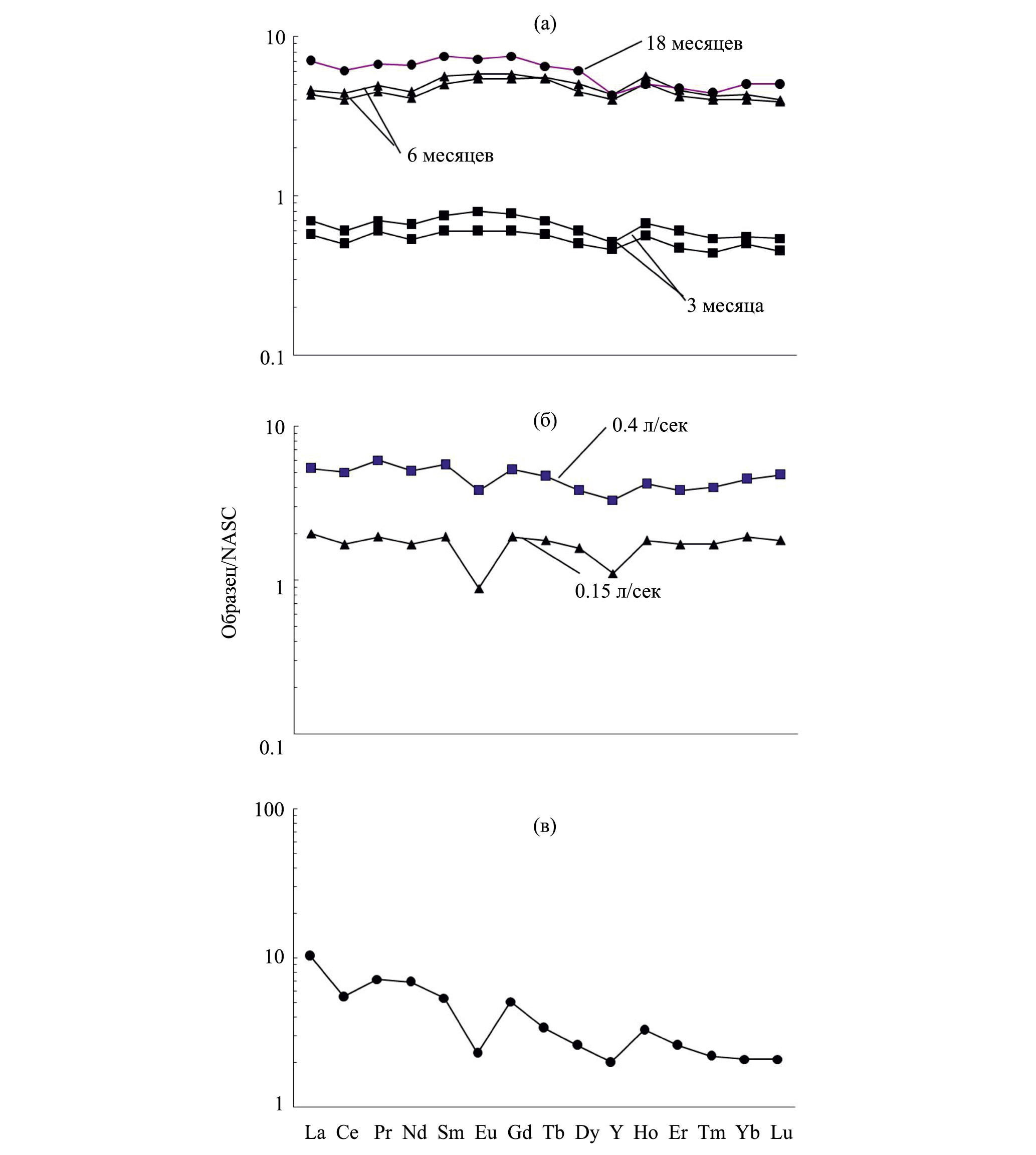
Спектры распределения РЗЭ в изученных образцах бактериальных оксигидроксидах железа (рис. 3) демонстрируют незначительное обогащение легкими РЗЭ относительно тяжелых РЗЭ: величина отношения (La/Yb)N составляет от 1.0 до 1.3 и не изменяется по мере увеличения возраста мата. Также не меняются во времени индикаторные характеристики спектра РЗЭ (Ce- и Eu-аномалии, обеднение Y относительно Dy и Ho, отношение легкие РЗЭ/средние РЗЭ/тяжелые РЗЭ). В оксигидроксидах железа из локации р. Сестра Заводская величина отношения La/YbN составляет около 5.0 и имеет место выраженная отрицательная Eu-аномалия.
Рис. 3. Распределение РЗЭ в оксигидроксидах железа в образцах из локаций Скачки (а), оз. Орлинское (б) и р. Сестра Заводская (в) по данным табл. 1
Содержание РЗЭ в NASC ‒ из работы [Gromet et al., 1984]. Указаны возраст бактериальных матов в локации Скачки (а) и расход воды (л/с) в локации оз. Орлинское (б). Возраст мата из локации р. Сестра Заводская составляет не менее двух лет
Значения eNd(0) в изученных оксигидроксидах железа бактериального происхождения изменяются от –9.2 до –21.3 и показывают связь с местоположением пробоотбора. Образцы из локации Скачки имеют наибольшее содержание радиогенного Nd (eNd(0) от –9.2 до –12.1) по сравнению с образцами из района р. Сестра Заводская (eNd(0) –21.8 и –21.3) и оз. Орлинское (eNd(0) –15.7 и –17.3). Два последних района расположены в пределах осадочного чехла северо-запада Восточно-Европейской платформы, где четвертичные озерно-ледниковые отложения залегают на нижнепалеозойских осадочных породах, аналогичные отложения в локации Сестра Заводская лежат на силикокластических осадках верхнего эдиакария (табл. 2).
Таблица 2. Изотопный состав неодима в оксигидроксидах железа бактериального происхождения
| Образец | Дата пробоотбора | Sm, мкг/г | Nd, мкг/г | 147Sm/144Nd | 143Nd/144Nd | eNd(0) | 
| р. Сестра Заводская | ||||||
| Sestra-1 | 01.01.2019 | 30.2 | 179.0 | 0.1005 | 0.511570 ± 5 | –21.3 | 
| Sestra-2 | 01.01.2020 | 46.4 | 280.4 | 0.1001 | 0.511582 ± 7 | –20.9 | 
| оз. Орлинское | ||||||
| Orl-A | 10.07.2021 | 29.7 | 181.5 | 0.0990 | 0.511608 ± 3 | –17.3 | 
| Orl-S | 10.07.2021 | 10.9 | 57.6 | 0.1145 | 0.511832 ± 8 | –15.7 | 
| н.п. Скачки | ||||||
| Sk-1-B | 17.10.2020 | 3.5 | 15.1 | 0.1296 | 0.512220 ± 6 | –9.2 | 
| Sk-2 | 03.01.2021 | 29.8 | 149.8 | 0.1204 | 0.511969 ± 3 | –11.3 | 
| Sk-4 | 01.01.2022 | 30.7 | 152.6 | 0.1224 | 0.511950 ± 3 | –12.0 | 
| Sk-4-1 | 01.01.2022 | 28.4 | 140.1 | 0.1223 | 0.511949 ± 2 | –12.1 | 
РЕДКОЗЕМЕЛЬНЫЕ ЭЛЕМЕНТЫ В БАКТЕРИАЛЬНЫХ ОКСИГИДРОКСИДАХ ЖЕЛЕЗА
Высокая сорбционная емкость оксигидроксидов Fe (в том числе, бактериального ферригидрита) определяется значительной величиной площади поверхности кристаллов – до 840 м2 на грамм у ферригидрита [Davis, Leckie, 1978]. Накопление содержащихся в водной среде элементов может быть связано с присутствием O– [Hiemstra, van Riemsdijk, 2009] или OH– [Tessier et al., 1996] на поверхности оксигидроксидов Fe, данные по сорбции и соосаждению РЗЭ на оксигидроксидах железа приведены в работе [Дубинин, 2006].
Очевидно, что источником РЗЭ в бактериальных матах является омывающая их вода, и индикаторные характеристики спектров РЗЭ определяются распределением этих элементов в аквафациях, в которых росли железобактерии. Во всех изученных пробах наблюдается отрицательная Ce-аномалия, что типично для окислительных обстановок аквафаций, и отрицательная Y-аномалия, указывающая на пресноводность водоемов (см. обзор [Möller et al., 2021]). При увеличении времени нахождения оксигидроксидов Fe в водной среде и/или возрастании скорости потока воды, происходит увеличение содержания РЗЭ в них (см. рис. 2). При этом скорость накопления РЗЭ изменяется во времени – за первые 3 месяца существования мата (локация Скачки) содержание РЗЭ в оксигидроксидах увеличилось в 7 раз (от 110 до 770 мкг/г), а за последующий год – только на 50% (от 770 до 1120 мкг/г). При расходе воды 0.1 л/с и содержании РЗЭ в поверхностных водах Санкт-Петербургского региона ~5 × 10–6 г/т [Фелицын, Богомолов, 2017], через маты с железобактериями за 1 год проходит около 3500 т воды. Проведенные балансовые расчеты показывают, что содержащихся в таком количестве воды РЗЭ вполне достаточно для получения наблюдаемых в бактериальных оксигидроксидах железа концентраций РЗЭ при толщине омывающего слоя воды в 1 мм.
Характер зависимости суммарного количества РЗЭ от возраста матов из различных локаций позволяет предположить ограничение количества сорбированных РЗЭ при достижении концентраций 1100‒1200 мкг/г. Возможно, существенно различные величины отношения La/YbN в матах локации р. Сестра Заводская, с одной стороны, и районов Скачки и оз. Орлинское с другой, обусловлены разным составом четвертичных озерно-ледниковых отложений. В районе Карельского перешейка, где расположена р. Сестра Заводская, четвертичные отложения главным образом представлены фрагментами пород фундамента и верхнеэдиакарских силикокластических пород (преимущественно, аргиллиты котлинского и гдовского горизонтов), которые образовались в результате эрозии Балтийского щита [Сочава и др., 1992]. Для аргиллитов верхнего эдиакария северо-западной части Московской синеклизы типичны высокие значения отношения La/YbN (2.5 и выше), что связано с распределением РЗЭ в эродируемых комплексах фундамента Восточно-Европейской платформы в эдиакарии [Борхвардт, Фелицын, 1992]. Поскольку локация р. Сестра Заводская расположена в районе промышленной и сельскохозяйственной активности, не исключено образование в поверхностных водах комплексов лантаноидов с техногенными анионами (например, с фосфатами).
Представляет интерес сопоставление скорости накопления РЗЭ оксигидроксидами железа бактериального происхождения и железомарганцевыми конкрециями – хорошо изученного депозитария РЗЭ. В последних содержание РЗЭ достигает 0.4 вес. % [DeCarlo, McMurtry, 1992; Koski, 1992] при скоростях роста конкреций от первых мкм за 1000 лет в морских пелагических железомарганцевых конкрециях [Батурин, 1986; Banakar, Hein, 2000] и до первых мм/1000 лет в пресноводных конкрециях [Hayles et al., 2021]. В бактериальных оксигидроксидах железа, как было показано выше, содержание РЗЭ увеличилось на порядок – до 0.1 мас. % за 1 год. Вероятной причиной различной скорости накопления РЗЭ в морских железомарганцевых конкрециях и оксигидроксидах железа бактериального происхождения является разница в объеме воды (и, соответственно, в количестве РЗЭ), омывающей формирующиеся минеральные фазы в пелагических обстановках и в континентальных водотоках.
ИЗОТОПНЫЙ СОСТАВ НЕОДИМА В БАКТЕРИАЛЬНЫХ ОКСИГИДРОКСИДАХ ЖЕЛЕЗА
Изотопный состав Nd изученных оксигидроксидов железа полностью соответствует выявленной ранее связи величины отношения 143Nd/144Nd в аутигенных минералах железа с вещественным составом четвертичных озерно-ледниковых отложений, залегающих на карбонатных породах нижнего палеозоя или на силикокластических осадках верхнего эдиакария и протерозойских комплексах Балтийского щита. Образцы болотных руд и оксигидроксидов железа из содержащих железоокисляющие бактерии биопленок водотоков Балтийского щита показывают значения eNd(0) от –20.0 до –28.4, тогда как аналогичные пробы из мест, расположенных в пределах платформенного чехла Восточно-Европейской платформы, имеют изотопный состав Nd c eNd(0) от –5.0 до –10.0 [Фелицын, Богомолов, 2016; 2017, Felitsyn et al., 2019, 2023]. Нижнепалеозойские известняки и доломиты, вскрывающиеся рядом с местом пробоотбора в локации оз. Орлинское, характеризуются значениями eNd(0) от –7.0 до –8.2 (Е. Богомолов, неопубликованные данные). Растворение карбонатных пород с таким изотопным составом неодима приводит к увеличению доли радиогенного Nd как в природных водах, так и в присутствующих в них бактериальных матах с железобактериями. Аргиллиты верхнего эдиакария (котлинский горизонт) в районе Ладожского оз. и Карельского перешейка характеризуются значениями eNd(0) = –22.1 [Sturesson et al., 2005], и такие же породы подстилают четвертичные дюнные отложения в районе р. Сестра Заводская. Таким образом, вариации изотопного состава Nd в поверхностных водах (и соответственно в оксигидроксидах железа из бактериальных матов в таких водах), определяются вкладом двух различных источников Nd в водотоки, дренирующие водно-ледниковые отложения на северо-западе Восточно-Европейской платформы. Нижнепалеозойские карбонатные породы являются источником повышенного содержания радиогенного Nd в дренажных водах, а силикокластические осадочные породы верхнего эдиакария, источником материала для которых были протерозойские комплексы Балтийского щита, определяют более низкие значения 143Nd/144Nd в дренажных водах. Показательным в этом отношении является изменение величины eNd(0) в бактериальных оксигидроксидах железа из локации Скачки. Первые пробы, взятые в конце летнего периода, характеризуются наиболее высоким значением eNd(0) (–9.2), в последующих пробах (отобранных в зимнее время) величина eNd(0) составляет от –12.1 до –11.3. Более высокая закисленность (на 0.2–0.3 единиц pH) летних осадков, по сравнению с зимними [Израэль и др., 1989], определяет более интенсивное растворение карбонатных пород в летний период, что и определяет вариации значений eNd(0) в бактериальных оксигидроксидах железа, отобранных в разное время года. В оксигидроксидах железа бактериального происхождения из матов одного возраста (не более 3 месяцев, локация оз. Орлинское), величины отношения 143Nd/144Nd существенно различаются (eNd(0) –15.7 и –17.3). Подобные различия могут быть связаны с динамикой растворения фрагментов палеозойских карбонатных пород, присутствующих в дренируемых озерно-ледниковых отложениях, и с различным вкладом кластических и карбонатных пород в изотопный состав омывающих вод. Напротив, в локации р. Сестра Заводская, где полностью отсутствуют карбонатные осадочные породы палеозоя, изотопный состав Nd остался неизменным за 12 месяцев, значения слабо варьируют в пределах погрешности измерения (см. табл. 2).
ЗАКЛЮЧЕНИЕ
Данные о содержании РЗЭ в оксигидроксидах железа бактериального происхождения из водотоков различных районов Ленинградской обл. свидетельствуют о высокой скорости их накопления: за год суммарное содержание РЗЭ увеличилось на порядок. Содержание примеси Na в тех же матах за год уменьшилось более чем в 10 раз. Полученные результаты показывают, что возможный предел насыщения РЗЭ бактериальных оксигидроксидов железа – около 0.1 мас. % за один год. Спектры РЗЭ (Eu-, Ce- и Y-аномалии, величина отношения La/YbN) в изученных оксигидроксидах железа близко соответствуют распределению РЗЭ в водной среде, в которой происходило их формирование, и не изменяются при прогрессивном накоплении РЗЭ.
Изотопный состав Nd в бактериальных оксигидроксидах железа определяется особенностями геологического строения районов пробоотбора и состава присутствующих здесь четвертичных отложений. Образцы из водотоков тех районов, где озерно-ледниковые отложения залегают на палеозойских известняках и доломитах, характеризуются более высоким содержанием радиогенного Nd по сравнению с оксигидроксидами железа из бактериальных матов на территории Карельского перешейка, где на территории водосбора присутствуют породы протерозойского фундамента и силикокластические отложения верхнего эдиакария. Вероятной причиной возрастания значений 143Nd/144Nd в оксигидроксидах Fe является поступление в поверхностные воды более высокорадиогенного Nd в тех районах, где происходит растворение нижнепалеозойских осадочных карбонатов.
КОНФЛИКТ ИНТЕРЕСОВ
Автор данной работы заявляет, что у него нет конфликта интересов.
ФИНАНСИРОВАНИЕ РАБОТЫ
Работа выполнена в рамках темы НИР ИГГД РАН № FMUW-2022-0004.
About the authors
S. B. Felitsyn
Institute of Precambrian Geology and Geochronology of the RAS
							Author for correspondence.
							Email: felitsynsergey@gmail.com
				                					                																			                												                	Russian Federation, 							Saint Petersburg						
References
- Батурин Г.Н. Геохимия железомарганцевых конкреций океана. М.: Наука, 1986. 328 с.
- Борхвардт Д.В., Фелицын С.Б. Геохимия вулканических туфов редкинского горизонта верхнего венда Русской платформы // Вулканология и сейсмология. 1992. № 1. С. 33‒45.
- Дубинин А.В. Геохимия редкоземельных элементов в океане. М.: Наука, 2006. 360 с.
- Израэль Ю.А, Назаров И.М., Прессман А.Я., Ровинский Ф.Я., Рябошапко А.Г., Филиппова Л.М. Кислотные дожди. Л.: Гидрометеоиздат, 1989. 269 с.
- Ковальчук Ю.Л., Полтаруха О.П., Жданова Г.В. Железо-марганцевые микроорганизмы в донных отложениях Севастопольской бухты и прилегающих участков юго-западной части Крымского побережья // Вода, химия и экология. 2012. № 11. С. 55‒59.
- Сочава А.В., Коренчук Л.В., Пиррус Э.А., Фелицын С.Б. Геохимия верхневендских отложений Русской платформы // Литология и полез. ископаемые. 1992. № 2. С. 71‒89.
- Фелицын С.Б., Богомолов Е.С. Редкоземельные элементы, Rb-Sr и Sm-Nd систематики в торфяно-болотных железных рудах и мхах северо-запада Восточно-Европейской платформы // Литология и полез. ископаемые. 2016. № 2. С. 118‒128.
- Фелицын С.Б., Богомолов Е.С. Изотопный состав неодима подземных вод Санкт-Петербургского региона // Геоэкология. Инженерная геология. Гидрогеология. Геокриология. 2017. № 4. С. 73‒81.
- Фелицын С.Б., Алфимова Н.А. Изотопные и микроэлементные систематики бактериальных матов с Gallionella sp. на северо-западе Восточно-Европейской платформы // ДАН. 2017. Т. 474. № 6. С. 271‒273.
- Чухров Ф.В., Звягин Б.Б., Горшков А.И., Ермилова Л.П., Балашова В.В. О ферригидрите // Известия АН СССР. Сер. геол. 1973. № 4. С. 22‒33.
- Banakar V.K., Hein J.R. Growth response of a deep-water ferromanganese crust to evolution of the Neogene Indian Ocean // Marine Geology. 2000. V. 162. P. 529‒540.
- Bouvier A., Vervoort J.D., Patchett P.J. The Lu–Hf and Sm–Nd isotopic composition of CHUR: Constraints from unequilibrated chondrites and implications for the bulk composition of terrestrial planets // Earth Planet. Sci. Lett. 2008. V. 273. P. 48–57.
- Davis J.A., Leckie J.O. Surface ionization and complexation at the oxide/water interface II. Surface properties of amorphous iron oxyhydroxide and adsorption of metal ions // J. Colloid Interface Sci. 1978. V. 67(1). P. 90‒107.
- De Carlo E.H., MacMurtry G.M. Rare-earth element geochemistry of ferromanganese crusts from the Hawaiian Archipelago, Central Pacific // Chem. Geol. 1992. V. 95(3‒4). P. 235‒250.
- Emerson D., Fleming E.J., Mcbeth J. Iron-Oxidizing Bacteria: An Environmental and Genomic Perspective // Ann. Rev. Microbiol. 2010. V. 64. P. 561‒583.
- Felitsyn S.B., Alfimova N.A., Bogomolov E.S. Nd and Sr isotopic composition of ancient iron-made artifacts and ores from Northwest Russia // Geoarchaeology. 2019. V. 34. P. 221‒228.
- Felitsyn S.B., Alfimova N.A., Bogomolov E.S. The accumulation of the REE by bacterial Fe oxyhydroxide // Geochemistry International. 2023. V. 61. P. 1‒14. https://doi.org/10.1134/S0016702923090021
- Gromet L.P., Haskin L.A., Korotev R.L., Dymek R.F. The “North American shale composite”: Its compilation, major and trace element characteristics // Geochim. Cosmochim. Acta. 1984. V. 48. P. 2469‒2482.
- Hayles S., Al T., Cornett J., Harrison A., Zhao J. Growth rates for freshwater ferromanganese concretions indicate regional climate change in eastern Canada at the Northgrippian‒Meghalayan boundary // The Holocene. 2021. V. 31. P. 1250‒1263.
- Hiemstra T., Riemsdijk W.H. A surface structural model for ferrihydrite I: Sites related to primary charge, molar mass, and mass density // Geochim. Cosmochim. Acta. 2009. V. 73. P. 4423‒4436.
- Koski R.A. Ferromanganese deposits from the Gulf of Alaska Seamount Province: Mineralogy, chemistry and origin // Can. J. Earth Sci. 1988. V. 25. P. 116‒133.
- Liu H., Pourret O., Guo H., Bonhoure J. Rare earth elements sorption to iron oxyhydroxide: Model development and application to groundwater // Appl. Geochem. 2017. V. 87. P. 158‒166.
- Möller P., Dulski P., De Lucia M. REY Patterns and Their Natural Anomalies in Waters and Brines: The Correlation of Gd and Y anomalies // Hydrology. 2021. V. 8. P. 1‒21.
- Sajih M., Bryan N.D., Livens F.R., Vaughan D.J. Descosts M., Phrommavanh V., Nos J., Morris R. Adsorption of radium and barium on goethite and ferrihydrite: A kinetic and surface complexation modeling study // Geochim. Cosmochim. Acta. 2014. V. 146. P. 150‒163.
- Sturesson U., Popov L., Holmer L., Basset M., Felitsyn S., Belyatsky B. Neodymium isotopic composition of Cambrian-Ordovician biogenic apatite in the Baltoscandian Basin: implications for palaeogeographical evolution and patterns of biodiversity // Geol. Mag. 2005. V. 142. P. 419‒439.
- Taylor S.R., McLennan S.M. The Continental Crust; Its composition and evolution; an examination of the geochemical record preserved in sedimentary rocks. Oxford: Blackwell, 1985. 312 р.
- Tessier A., Fortin D., Belzile N., De Vitre R.R., Leppard G.G. Metal sorption to diagenetic iron and manganese oxyhydroxides and associated organic matter: Narrowing the gap between field and laboratory measurements // Geochim. Cosmochim. Acta. 1996. V. 60. P. 387‒404.
- Trivedi P., Axe L., Dyer J. Adsorption of metal ions onto goethite: Single-adsorbate and competitive systems // Colloids Surf. A: Physicochemical and Engineering Aspects. 2001. V. 191. P. 107‒121.
Supplementary files
 
				
			 
					 
						 
						 
						 
						 
				
 
  
  
  Email this article
			Email this article 



