New data on the structure of the Laptev Sea flank of the gakkel ridge (Arctic Ocean)
- Autores: Kaminsky D.V.1, Chamov N.P.2, Zhilin D.M.3, Krylov A.A.1, Neevin I.A.4, Bujakaite M.I.2, Degtyarev K.E.2, Dubensky A.S.2, Kaminsky V.D.1, Logvina E.A.1, Okina O.I.2, Semenov P.B.1, Kil A.O.1, Pokrovsky B.G.2, Tolmacheva T.Y.4
- 
							Afiliações: 
							- All-Russian Science Research Institute Okeangeologiya
- Geological Institute, Russian Academy of Sciences
- LLC “Hydro-Si”
- Karpinsky All-Russian Science Research Geological Institute (VSEGEI)
 
- Edição: Nº 6 (2024)
- Páginas: 634–647
- Seção: Articles
- URL: https://journal-vniispk.ru/0024-497X/article/view/273445
- DOI: https://doi.org/10.31857/S0024497X24060028
- EDN: https://elibrary.ru/WVQJQL
- ID: 273445
Citar
Resumo
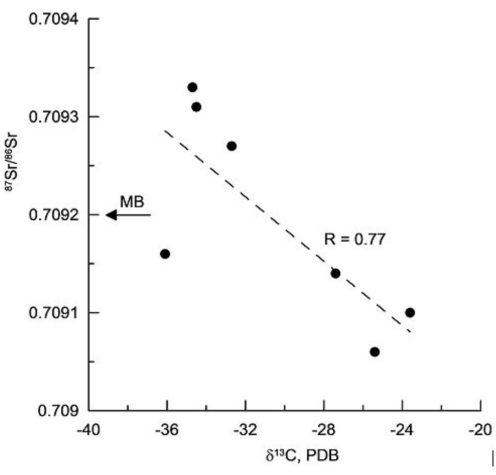
The article provides new data on the structure of the Laptev Sea flank of the Gakkel Ridge. The intensive supply of clastic material from the shelf of the Laptev Sea leads to the development of a thick alluvial cone at the continental foot, which determines the structure of the bottom topography. In the northwestern direction, the influence of the fan decreases and tectonics becomes the main relief-forming factor. The bathymetric survey traced the asymmetrical rift valley of the Gakkel Ridge, the western side of which is complicated by terraces. The presence of fault structures, bottom subsidence and intensive sediment supply, and the widespread development of landslide processes indicate high neotectonic activity of the Laptev Sea flank of the Gakkel Ridge. For the first time in this region, numerous carbonate formations have been discovered, the authigenic cement of which is represented by magnesian calcite or aragonite with an admixture of terrigenous material. Palynological and micropaleontological analysis of carbonate formations indicates the Quaternary formation of authigenic carbonate cement. An important role in the formation of authigenic carbonates was played by diagenetic solutions coming from the sedimentary cover together with methane and products of oxidation of gases and organic matter. Authigenic carbonates were deposited mainly in isotopic equilibrium with bottom water at a temperature of about 0°C. The negative correlation between 87Sr/86Sr and δ13C indicates the presence of at least two different sources of carbonate-forming solutions.
Palavras-chave
Texto integral
 
												
	                        Sobre autores
D. Kaminsky
All-Russian Science Research Institute Okeangeologiya
														Email: Nchamov@yandex.ru
				                					                																			                												                	Rússia, 							Angliysky prosp., 1, St. Petersburg, 190121						
N. Chamov
Geological Institute, Russian Academy of Sciences
							Autor responsável pela correspondência
							Email: Nchamov@yandex.ru
				                					                																			                												                	Rússia, 							Pyzhevsky lane, 7, bld. 1, Moscow, 119017						
D. Zhilin
LLC “Hydro-Si”
														Email: Nchamov@yandex.ru
				                					                																			                												                	Rússia, 							Beloostrovskaya str., 20, liter b, St. Petersburg, 197342						
A. Krylov
All-Russian Science Research Institute Okeangeologiya
														Email: Nchamov@yandex.ru
				                					                																			                												                	Rússia, 							Angliysky prosp., 1, St. Petersburg, 190121						
I. Neevin
Karpinsky All-Russian Science Research Geological Institute (VSEGEI)
														Email: Nchamov@yandex.ru
				                					                																			                												                	Rússia, 							Sredny prosp. V.O., 74, St. Petersburg, 199106						
M. Bujakaite
Geological Institute, Russian Academy of Sciences
														Email: Nchamov@yandex.ru
				                					                																			                												                	Rússia, 							Pyzhevsky lane, 7, bld. 1, Moscow, 119017						
K. Degtyarev
Geological Institute, Russian Academy of Sciences
														Email: Nchamov@yandex.ru
				                					                																			                												                	Rússia, 							Pyzhevsky lane, 7, bld. 1, Moscow, 119017						
A. Dubensky
Geological Institute, Russian Academy of Sciences
														Email: Nchamov@yandex.ru
				                					                																			                												                	Rússia, 							Pyzhevsky lane, 7, bld. 1, Moscow, 119017						
V. Kaminsky
All-Russian Science Research Institute Okeangeologiya
														Email: Nchamov@yandex.ru
				                					                																			                												                	Rússia, 							Angliysky prosp., 1, St. Petersburg, 190121						
E. Logvina
All-Russian Science Research Institute Okeangeologiya
														Email: Nchamov@yandex.ru
				                					                																			                												                	Rússia, 							Angliysky prosp., 1, St. Petersburg, 190121						
O. Okina
Geological Institute, Russian Academy of Sciences
														Email: Nchamov@yandex.ru
				                					                																			                												                	Rússia, 							Pyzhevsky lane, 7, bld. 1, Moscow, 119017						
P. Semenov
All-Russian Science Research Institute Okeangeologiya
														Email: Nchamov@yandex.ru
				                					                																			                												                	Rússia, 							Angliysky prosp., 1, St. Petersburg, 190121						
A. Kil
All-Russian Science Research Institute Okeangeologiya
														Email: Nchamov@yandex.ru
				                					                																			                												                	Rússia, 							Angliysky prosp., 1, St. Petersburg, 190121						
B. Pokrovsky
Geological Institute, Russian Academy of Sciences
														Email: Nchamov@yandex.ru
				                					                																			                												                	Rússia, 							Pyzhevsky lane, 7, bld. 1, Moscow, 119017						
T. Tolmacheva
Karpinsky All-Russian Science Research Geological Institute (VSEGEI)
														Email: Nchamov@yandex.ru
				                					                																			                												                	Rússia, 							Sredny prosp. V.O., 74, St. Petersburg, 199106						
Bibliografia
- Арктический бассейн (геология и морфология) / Под ред. В.Д. Каминского, А.Л. Пискарева, В.А. Поселова. СПб.: ВНИИОкеангеология, 2017. 291 с.
- Аветисов Г.П., Гусева Ю.В. Глубинное строение района дельты Лена по сейсмологическим данным // Советская геология. 1991. № 4. С. 73‒81.
- Аветисов Г.П. Сейсмоактивные зоны Арктики. СПб.: ВНИИокеанология, 1996. 185 с.
- Грамберг И.С., Деменицкая Р.М., Секретов С.Б. Система рифтогенных грабенов шельфа моря Лаптевых как недостающее звено рифтового пояса хребта Гаккеля – Момского хребта // Докл. АН СССР 1990. Т. 311. № 3. С. 689‒694.
- Грачев А.Ф., Деменицкая Р.М., Карасик А.М. Проблемы связи Момского континентального рифта со структурой срединно-океанического хребта Гаккеля // Геофизические методы разведки в Арктике. Л.: НИИГА, 1973. Вып. 8. С. 56‒75.
- Дубинина Е.О., Мирошников А.Ю., Коссова С.А., Щука С.А. Модификация опресненных вод на шельфе моря Лаптевых: связь изотопных параметров и солености // Геохимия. 2019. Т. 64. № 1. С. 3–19.
- Имаев В.С., Имаева Л.П., Козьмин Б.М. Сейсмотектоника Якутии / Под ред. Г.С. Гусева. М.: ГЕОС, 2000. 226 с.
- Имаев В.С., Имаева Л.П., Козьмин Б.М. Океанические и континентальные рифты северо-восточной Азии и области их сочленения (сейсмотектонический анализ) // Литосфера. 2004. № 4. С. 44‒61.
- Колесник О.Н., Колесник А.Н., Покровский Б.Г. О находке аутигенного метанопроизводного карбоната в Чукотском море // Доклады Академии Наук. 2014. Т. 458. № 3. С. 330–332.
- Кравчишина М.Д., Леин А.Ю., Саввичев А.С. и др. Аутигенный Mg-кальцит на метановом полигоне в море Лаптевых // Океанология. 2017. Т. 57. № 1. С. 194–213.
- Крылов А.А., Логвина Е.А., Матвеева Т.В. и др. Икаит (СаСО3·Н2О) в донных отложениях моря Лаптевых и роль анаэробного окисления метана в процессе его формирования // Записки РМО. 2015. № 4. С. 61–75.
- Кузнецов А.Б., Семихатов М.А., Горохов И.М. Изотопный состав Sr в водах мирового океана, окраинных и внутренних морей: возможности и ограничения Sr-изотопной стратиграфии // Стратиграфия. Геол. корреляция. 2012. Т. 20. № 6. С. 3–19.
- Соколов С.Ю., Чамов Н.П., Хуторской М.Д., Силантьев С.А. Индикаторы интенсивности геодинамических процессов вдоль Атлантико-Арктической рифтовой системы // Геодинамика и тектонофизика. 2020. Т. 11. № 2. С. 302–319.
- Чамов Н.П. Литология палеогеновых вулканогенно-осадочных отложений п-ова Говена (юг Корякского нагорья) // Литология и полез. ископаемые. 1991. № 5. С. 79–94.
- Чамов Н.П., Соколов С.Ю. Рифтогенез в Арктике: процессы, направленность развития, генерация углеводородов // Литология и полез. ископаемые. 2022. № 2. С. 107–135.
- ANSS Earthquake Composite Catalog. 2014. http://quake.geo.berkeley.edu/anss/
- Eickmann B., Bach W., Rosner M., Peckmann J. Geochemical constraints on the modes of carbonate precipitation in peridotites from the Logatchev Hydrothermal Vent Field and Gakkel Ridge // Chemical Geology. 2009. V. 268. P. 97–106.
- Epstein S., Buchsbaum R., Lowenstam H.A., Urey H.C. Revised carbonate-water temperature scale // Geological Society of America Bulletin. 1953. V. 62. P. 417–426.
- Imfeld A., Ouellet A., Douglas P. et al. Molecular and stable isotope analysis (δ13C, δ2H) of sedimentary n-alkanes in the St. Lawrence Estuary and Gulf, Quebec, Canada: importance of even numbered n-alkanes in coastal systems // Organic Geochemistry. 2022. V. 164. P. 1–14.
- Jokat W., O’Connor J., Hauff F., Koppers A.P., Miggins D.P. Ultraslow Spreading and Volcanism at the Eastern end of Gakkel Ridge, Arctic Ocean // Geochem. Geophys. Geosyst. 2019. V. 20. P. 1‒19.
- Kodina L.A., Tokarev V.G., Vlasova L.N., Korobeinik G.S. Contribution of biogenic methane to ikaite formation in the Kara Sea: Evidence from the stable carbon isotope geochemistry / Eds R. Stein et al. // Siberian River run-off in the Kara Sea. Proc. in Marine Science. V. 6. Amsterdam: Elsevier, 2003. P. 349–374.
- Lein A.Yu., Makkaveev P.N., Savvichev A.S. et al. Transformation of suspended particulate matter into sediment in the Kara Sea in September of 2011 // Oceanology. 2013. V. 53(5). P. 570–606.
- Logvina E., Krylov A.A., Taldenkova E. et al. Mechanisms of Late Pleistocene authigenic Fe-Mn-carbonate formation at the Laptev Sea continental slope (Siberian Arctic) // Arktos. 2018. V. 4. P. 1–13.
- Rogov M., Ershova V., Gaina C., Vereshchagin O. et al. Glendonites throughout the Phanerozoic // Earth-Sci. Rev. 2023. V. 241. P. 1–32.
- Ruban A., Rudmin M., Mazurov A. et al. Cold-seep carbonates of the Laptev Sea continental slope: constraints from fluid sources and environment of formation // Chemical Geology. 2022. V. 610. P. 1–13.
Arquivos suplementares
 
				
			 
						 
						 
					 
						 
						 
				
 
  
  
  Enviar artigo por via de e-mail
			Enviar artigo por via de e-mail 
 Acesso aberto
		                                Acesso aberto Acesso está concedido
						Acesso está concedido





