Мониторинг ксилотрофных агарикомицетов в некоторых типах еловых лесов и березняке разнотравном (подзона южной тайги, Пермский край, Россия)
- Авторы: Шишигин А.С.1, Переведенцева Л.Г.2, Боталов В.С.2
-
Учреждения:
- Пермский государственный гуманитарно-педагогический университет
- Пермский государственный национальный исследовательский университет
- Выпуск: Том 58, № 4 (2024)
- Страницы: 303-313
- Раздел: БИОРАЗНООБРАЗИЕ, СИСТЕМАТИКА, ЭКОЛОГИЯ
- URL: https://journal-vniispk.ru/0026-3648/article/view/266862
- DOI: https://doi.org/10.31857/S0026364824040043
- EDN: https://elibrary.ru/uwztca
- ID: 266862
Цитировать
Полный текст
Аннотация
Подведены итоги многолетнего мониторинга биоты ксилотрофных агарикоидных базидиомицетов в некоторых типах коренных и производных лесов подзоны южной тайги Пермского края. Исследования проводились стационарным методом на учетных площадях размером 50 × 20 м, заложенных по одной в каждом типе леса: ельник приручьевой, ельник кисличный, березняк разнотравный. Работа осуществлялась в три периода: I – 1975–1977 гг., II – 1994–1996 гг., III – 2010–2012 гг. Сбор материала проводился ежегодно: в августе три раза с интервалом в 10 дней (учитывался видовой состав, число и воздушно-сухая биомасса базидиом), а в сентябре однократно (учитывался только видовой состав грибов). К настоящему времени установлено, что в исследуемых типах леса число ксилотрофных агарикоидных грибов варьируется от 60 (ельник приручьевой) до 66 (березняк разнотравный). Большинство выявленных видов относится к семейству Tricholomataceae (37.7–43.3% от общего числа видов грибов-ксилотрофов в каждом из биогеоценозов). Отмечено ежегодное накопление выявляемых видов грибов, причем наибольшее число видов (67–75%) обнаруживалось от 2 до 9 раз, а 2–3% из них были постоянными, встречались ежегодно. Установлена относительная стабильность видового состава высших сосудистых растений (коэффициент общности Жаккара: J = 56–88) во времени и зафиксированы более значительные изменения видового состава грибов-ксилотрофов (J = 36–50). Наибольшее сходство видового состава грибов между ценозами (по периодам), отмечено для еловых лесов (J = 44–52), а за все время наблюдений максимальные коэффициенты Жаккара (между ценозами) зафиксированы для березняка разнотравного и ельника кисличного (J = 56). “Урожайность” ксилотрофных агарикоидных грибов в исследуемых ценозах различается по годам наблюдений. Наибольшее число и биомасса базидиом за три периода исследований отмечена для березняка разнотравного. Установлено снижение числа базидиом грибов-ксилотрофов в ельнике кисличном при повышении среднемесячной температуры воздуха в августе (коэффициент корреляции Спирмена: rs = −0.70). Для биоты ксилотрофных агарикоидных базидиомицетов как по числу (индекс Шеннона: H = 1.23), так и по биомассе (H = 1.20) базидиом за все периоды наблюдений более благоприятным являлся ельник кисличный, так как биота ксилотрофов указаного ценоза была более разнообразна и ее составляющие наиболее выровнены.
Полный текст
Мониторинг ксилотрофных агарикомицетов в некоторых типах еловых лесов и березняке разнотравном (подзона южной тайги, Пермский край, Россия)1
ВВЕДЕНИЕ
Агарикоидные базидиомицеты, относящиеся к группе ксилотрофов играют огромную роль в функционировании природных экосистем, как гетеротрофный компонент лесных биогеоценозов. В настоящее время работы по изучению грибов-ксилотрофов в различных биогеоценозах довольно многочисленны. Однако процессы, происходящие на протяжении длительного времени в биоте агарикоидных грибов лесных сообществ на постоянных учетных площадях, изучены слабо и главным образом посвящены территориям, подверженным антропогенному влиянию. В связи с этим мы проанализировали результаты наших наблюдений, проведенных в некоторых типах еловых лесов и березняке разнотравном с 1975 по 2012 г. Целью работы является изучение многолетней динамики структуры и продуктивности агарикоидных базидиомицетов, относящихся к группе ксилотрофов, в ельнике приручьевом и ельнике кисличном (коренные леса) и производном березняке разнотравном подзоны южной тайги Пермского края. Для реализации поставленной цели решались следующие задачи: 1) выявить видовой состав ксилотрофных агарикомицетов в исследуемых биогеоценозах; 2) установить особенности таксономической структуры изучаемой группы грибов; 3) проанализировать зависимость плодоношения ксилотрофных агарикоидных базидиомицетов от количества осадков и температуры воздуха.
МАТЕРИАЛЫ И МЕТОДЫ
Микоэкологические наблюдения проводились стационарным методом в ельнике приручьевом, ельнике кисличном и березняке разнотравном подзоны южной тайги Пермского края в окрестностях ООПТ “Верхняя Кважва”. Первый период наблюдений был проведен в 1975–1977 гг., второй – в 1994–1996 гг., третий – в 2010–2012 гг. Программа исследования включала следующие блоки.
- Учет видового разнообразия, биомассы и числа плодовых тел грибов. В августе один раз в декаду (три посещения с интервалом в 10 дней) проводился учет видового разнообразия, а также числа и биомассы плодовых тел грибов. Дополнительно, однократно, в сентябре изучался их видовой состав. Для учета числа и биомассы базидиом грибов проводился сбор всех плодовых тел грибов на каждой учетной площади. Затем базидиомы каждого вида взвешивались и проводился пересчет на воздушно-сухую массу.
- Идентификация грибов. Для работы были использованы световые микроскопы: ZEISS Axio Imager A2 и Olympus BX51M, а также современные определители, монографии, атласы и справочные пособия зарубежных и отечественных авторов.
- Мониторинг биоты агарикоидных базидиомицетов. Для оценки сходства видового состава грибов по периодам наблюдений использовался коэффициент Жаккара (J × 100) (Greig-Smith, 1967; Megarran, 1992; Leontyev, 2008): J = [c/(a + b – c)] × 100, где J – индекс общности; c – число общих видов в двух сравниваемых биогеоценозах; a, b – число видов грибов в каждом из ценозов.
В качестве меры разнообразия сравниваемых биот исследуемых биогеоценозов использовался индекс Шеннона, описывающий два ее основных аспекта – богатство и сложность (Shmidt, 1984; Megarran, 1992; Leontyev, 2008): H = –Σpi lg pi, где H – индекс Шеннона; pi – относительное обилие каждого вида: рi = ni /N, где ni – число базидиом (или биомасса базидиом) одного вида; N – общее число базидиом (или биомасса базидиом) в биогеоценозе. Принадлежность грибов к эколого-трофическим группам устанавливалась по шкале, предложенной А.Е. Коваленко (Kovalenko, 1980) с дополнениями некоторых авторов (Stolyarskaya, Kovalenko, 1996; Morozova, 2001).
- Статистическая обработка данных. Влияние некоторых метеорологических показателей (по данным метеостанции г. Добрянка) на биоту ксилотрофных агарикомицетов изучалось с помощью корреляционного анализа. В качестве климатических показателей взяты: 1) средняя месячная температура воздуха с мая по сентябрь (°C); 2) сумма осадков (мм) по месяцам с мая по сентябрь; 3) сумма осадков за май–сентябрь (мм); 4) сумма осадков (мм) и средняя температура воздуха (°C) по декадам августа.
В качестве характеристик биоты ксилотрофных агарикоидных грибов взяты: 1) число видов за август – сентябрь, а также по декадам августа; 2) число и биомасса базидиом грибов (за август в целом, а также по декадам августа).
Математическая обработка осуществлялась при помощи программ Microsoft Office Excel 2016 и StatSoft Statistica 11. Корреляционный анализ проводился с использованием коэффициента ранговой корреляции Спирмена (rs) (Trukhacheva, 2013).
РЕЗУЛЬТАТЫ И ОБСУЖДЕНИЕ
Эколого-ценотическая характеристика исследуемых биогеоценозов
Геоботаническое описание исследуемых биогеоценозов было выполнено согласно В.Н. Сукачеву и Е.В. Зонну (Sukachev, Zonn, 1961). Латинские названия сосудистых растений приводятся по “Иллюстрированному определителю растений Пермского края” (Illustrated.., 2007). Для оценки сходства биогеоценозов по видовому составу высших сосудистых растений использовался коэффициент общности Жаккара (J × 100) (Greig-Smith, 1967; Leontyev, 2008).
Ельник приручьевой (58°23′6″ с. ш.; 56°21′55″ в. д.) – коренное сообщество, возраст которого составляет 120–135 лет. Биогеоценоз расположен в долине лесной речки Кважевки. Состав леса 9E1П + Б. Сомкнутость крон 0.5. Подрост образован Picea obovata Ledeb и Abies sibirica Ledeb. Кустарниковый ярус представлен такими видами как Lonicera xylosteum L., Sorbus aucuparia L., Ribes nigrum L. и R. spicatum Robson. Проективное покрытие кустарничково-травяного яруса составляет 80–90%, где преобладают Dryopteris carthusiana Vill., Oxalis acetosella L. и Stellaria nemorum L. Моховой покров представлен зелеными мхами, растущими на стволах и около стволов деревьев, реже они встречаются на почве. Валежника много. Почва пойменная, аллювиально-слоистая, легкосуглинистая.
Ельник кисличный (58°23′47″ с. ш.; 56°22′9″ в. д.) – коренное сообщество, расположенное на равнинной местности, возраст которого составляет 135 лет. Состав древостоя 5Е2П2Лп1Б. Сомкнутость крон 0.6. Подрост состоит из Picea obovata, Abies sibirica, Tilia cordata Mill. и Betula pendula Roth. Кустарниковый ярус образован такими видами как Sorbus aucuparia, Lonicera xylosteum и Padus avium Mill. Проективное покрытие кустарничково-травяного яруса составляет 70–80%, где доминируют Oxalis acetosella, Dryopteris carthusiana, Stellaria nemorum и Gymnocarpium dryopteris L. Моховой покров состоит из зеленых мхов, растущих около стволов и на стволах деревьев, реже они встречаются на почве. Лишайники обнаружены на стволах деревьев, а также на валежнике, которого очень много. Почва песчаная, дерново-сильноподзолистая.
Березняк разнотравный (58°23′42″ с. ш.; 56°22′15″ в. д.) является производным типом леса, который расположен на месте вырубленного елового леса. Возраст около 85 лет. Состав древостоя 10Б + Е. Сомкнутость крон 0.5. Подрост состоит из Picea obovata и Abies sibirica. Кустарниковый ярус сильно развит, включает Lonicera xylosteum, Rubus idaeus L., и Padus avium. В кустарничково-травяном ярусе доминируют Aegopodium podagraria L., Dryopteris carthusiana и Oxalis acetosella. Моховой покров представлен зелеными мхами, растущими около стволов лиственных деревьев. В лесу много валежника. Почва дерново-сильноподзолистая, супесчаная.
По периодам наблюдений в исследуемых биогеоценозах выявлялось от 32 (березняк разнотравный) до 64 (ельник приручьевой) видов высших сосудистых растений. Их видовой состав со временем оставался относительно стабильным (J = 56–88). Состав древостоя в исследуемых сообществах не изменялся. Во всех биогеоценозах в кустарничково-травяном ярусе происходили некоторые изменения по периодам наблюдений. Так, проективное покрытие кустарничково-травяного яруса ко II периоду во всех ценозах увеличилось почти в два раза и осталось таким же в третий период наблюдений.
Аннотированный список видов ксилотрофных агарикоидных базидиомицетов исследуемых биогеоценозов
Принадлежность к эколого-трофической группе устанавливалась по личным наблюдениям и соответствующим публикациям (Stolyarskaya, Kovalenko, 1996; Perevedentseva, 1999; Morozova, 2001). Видовой состав грибов исследуемых сообществ довольно разнообразен. Далее приводится его список. Объем семейств и родов, а также латинские названия видов указаны по системе, принятой M. Moser (1983). В скобках указаны синонимы грибов, соответствующие современной классификации MycoBank (2023). Римскими цифрами обозначены месяцы вегетационного периода. Арабскими цифрами обозначены периоды выявления вида: 1 – 1975–1977 гг., 2 – 1994–1996 гг., 3 – 2010–2012 гг. Местообитания: ЕПР – ельник приручьевой, ЕК – ельник кисличный, БЕР – березняк разнотравный.
Agaricales
Coprinaceae
Coprinus domesticus (Bolton) Gray [≡ Coprinellus domesticus (Bolton) Vilgalys, Hopple et Jacq. Johnson] – VIII–IX, ЕК (3), БЕР (3).
C. xanthothrix Romagn. [≡ Coprinellus xanthothrix (Romagn.) Vilgalys, Hopple et Jacq. Johnson] – VIII–IX, ЕК (1, 3), БЕР (1–3).
Psathyrella chondroderma (Berk. et Broome) A.H. Sm. – VIII–IX, ЕПР (2), БЕР (2, 3).
P. olympiana A.H. Sm. – VIII–IX, ЕПР (2).
P. piluliformis (Bull.) P.D. Orton – VIII, БЕР (1, 2).
P. spadicea (P. Kumm.) Singer [≡ Homophron spadiceum (P. Kumm.) Örstadius et E. Larss.] – VIII–IX, ЕК (3), БЕР (3).
Cortinariaceae
Galerina atkinsoniana A.H. Sm. – VIII–IX, ЕПР (1–3), ЕК (1–3).
G. cedretorum (Maire) Singer – VIII, ЕПР (1, 2), ЕК (1, 2).
G. marginata (Batsch) Kühner – VII–IX, ЕПР (1–3), ЕК (2, 3), БЕР (2, 3).
G. sideroides (Bull.) Kühner – VIII–IX, ЕПР (1–3), ЕК (1–3), БЕР (3).
G. stylifera (G.F. Atk.) A.H. Sm. et Singer [= G. sideroides (Bull.) Kühner] – VIII–IX, ЕПР (1–3).
G. triscopa (Fr.) Kühner – VIII–IX, ЕПР (3), БЕР (2, 3).
G. vittiformis (Fr.) Singer – VIII–IX, ЕПР (3), БЕР (3).
Gymnopilus hybridus (Gillet) Maire – VII–IX, БЕР (2, 3).
G. picreus (Pers.) P. Karst. – VIII–IX, ЕПР (1), ЕК (1, 2).
Crepidotaceae
Crepidotus epibryus (Fr.) Quél. – VIII, ЕК (2, 3), БЕР (2).
C. mollis (Schaeff.) Staude – VII–IX, ЕПР (2, 3), ЕК (1), БЕР (2).
C. sphaerosporus (Pat.) Lange [= С. cesatii (Rabenh.) Sacc.] – VIII, ЕК (1).
C. subverrucisporus Pilát – VIII–IX, БЕР (3).
C. versutus (Peck.) Sacc. – IX, ЕПР (2).
Simocybe centunculus (Fr.) P. Karst. – VI–IX, ЕПР (2), ЕК (1, 2).
Entolomataceae
Entoloma rhodocylix (Lasch) M.M. Moser – IX, ЕПР (3).
Rhodocybe nitellina (Fr.) Singer [≡ Clitopilus nitellinus (Fr.) Noordel. et Co-David] – VIII, ЕПР (3), БЕР (3).
Pluteaceae
Pluteus atricapillus (Batsch) Fayod [= P. cervinus (Schaeff.) P. Kumm.] – VII–IX, ЕПР (1–3), ЕК (1–3), БЕР (1–3).
P. chrysophaeus (Schaeff.) Quél. – VI–VIII, ЕК (2).
P. cinereofuscus J.E. Lange – VIII, ЕПР (2).
P. exiguus (Pat.) Sacc. – VIII, ЕК (2), БЕР (2).
P. granulatus Bres. (= P. hiatulus Romagn.) – VIII, ЕПР (1).
P. leoninus (Schaeff.) P. Kumm. – VII–IX, ЕПР (2), ЕК (1–3), БЕР (1).
P. nanus (Pers.) P. Kumm. – VII–IX, ЕПР (1–3), ЕК (1, 2), БЕР (2).
P. pellitus (Pers.) P. Kumm. – VII–VIII, ЕК (1, 2), БЕР (1–3).
P. phlebophorus (Ditmar) P. Kumm. – IX, ЕПР (3).
P. pseudorobertii M.M. Moser [= P. atromarginatus (Konrad) Kühner] – VIII, ЕПР (3).
P. semibulbosus (Lasch) Quél. – VIII–IX, ЕПР (1, 2), ЕК (2), БЕР (3).
P. umbrosus (Pers.) P. Kumm. – VIII, ЕК (2).
Strophariaceae
Flammulaster muricatus (Fr.) Watling – VIII–IX, БЕР (2).
Hypholoma capnoides (Fr.) P. Kumm. – VI–IX, ЕПР (1, 3), ЕК (2, 3), БЕР (1, 3).
H. fasciculare (Huds.) P. Kumm. – VII–IX, ЕПР (1, 2), ЕК (1), БЕР (1, 3).
H. lateritium (Schaeff.) P. Kumm. – VIII–IX, ЕК (2, 3).
Kuehneromyces mutabilis (Schaeff.) Singer, A.H. Sm. – VI–VIII, ЕПР (1, 2), ЕК (1, 2), БЕР (1, 2).
K. myriadophyllus (P.D. Orton) Pegler et T.W.K. Young [= K. lignicola (Peck) Redhead] – V–VI, ЕПР (1), ЕК (1, 2), БЕР (1).
Pholiota alnicola (Fr.) Singer [≡ Flammula alnicola (Fr.) P. Kumm.] – VIII–IX, ЕПР (2).
Ph. astragalina (Fr.) Singer [≡ Pyrrhulomyces astragalinus (Fr.) E.J. Tian et Matheny] – VIII, ЕК (3).
Ph. aurivella (Batsch) P. Kumm. – VIII–IX, ЕК (2), БЕР (1–3).
Ph. flammans (Batsch) P. Kumm. – VIII, БЕР (3).
Ph. lenta (Pers.) Singer – VIII, БЕР (2).
Ph. lubrica (Pers.) Singer – VIII–IX, ЕПР (2, 3), ЕК (2, 3), БЕР (1–3).
Ph. squarrosa (Vahl) P. Kumm. – VIII, ЕК (1, 2), БЕР (3).
Ph. tuberculosa (Schaeff.) P. Kumm. – VIII–IX, ЕК (1, 2), БЕР (1–3).
Phaeomarasmius erinaceus (Fr.) Scherff. ex Romagn. – VIII–IX, ЕК (1), БЕР (1).
Psilocybe inquilina var. crobula (Fr.) Høil. [=Deconica crobula (Fr.) Romagn.] – VII–VIII, ЕПР (1, 3), ЕК (2), БЕР (1).
Tubaria confragosa (Fr.) Harmaja – IX, БЕР (3).
T. conspersa (Pers.) Fayod – VIII–IX, БЕР (2, 3).
T. furfuracea (Pers.) Gillet – VI–IX, ЕПР (1, 2), ЕК (1, 3), БЕР (1–3).
Tricholomataceae
Armillaria mellea (Vahl: Fr.) P. Karst. s.l. – VIII–IX, ЕПР (1–3), ЕК (1–3), БЕР (1–3).
Clitocybe lignatilis (Pers.) P. Karst. [=Ossicaulis lignatilis (Pers.) Redhead et Ginns] – VIII, ЕК (2), БЕР (3).
Flammulina velutipes (Curtis) Singer – IX, ЕПР (1).
Gerronema strombodes (Berk. et Mont.) Singer – VII–VIII, ЕПР (1, 3), ЕК (1, 2), БЕР (1).
Hydropus marginellus (Pers.) Singer – VIII–IX, БЕР (3).
Hemimycena delectabilis (Peck) Singer – VIII, ЕПР (2).
Lyophyllum ulmarium (Bull.) Kühner [≡ Hypsizygus ulmarius (Bull.) Redhead] – VIII, ЕК (1).
Marasmius rotula (Scop.) Fr. – VI–IX, ЕПР (1–3), ЕК (1–3).
Mycena abramsii (Murrill) Murrill – VIII–IX, ЕПР (3), ЕК (3), БЕР (3).
M. aetites (Fr.) Quél. – VIII–IX, несъед., ЕПР (3), БЕР (3).
M. arcangeliana Bres. – VIII–IX, ЕПР (1–3), ЕК (1–3), БЕР (1–3).
M. clavicularis (Fr.) Gillet – IX, ЕПР (3).
M. galericulata (Scop.) Gray – VII–IX, ЕПР (1–3), ЕК (1–3), БЕР (1–3).
M. haematopus (Pers.) P. Kumm. – VII–IX, ЕПР (1–3), ЕК (1–3), БЕР (1–3).
M. hiemalis (Osbeck) Quél. [=Phloeomana hiemalis (Osbeck) Redhead] – VIII–IX, ЕПР (1–3), ЕК (1–3), БЕР (2, 3).
M. laevigata (Lasch) Gillet [=Agaricus laevigatus Lasch] – VI–IX, ЕПР (1, 3), ЕК (1–3), БЕР (1, 3).
M. maculata P. Karst. – VIII, ЕК (2).
M. niveipes (Murrill) Murrill – VIII, ЕПР (2), БЕР (3).
M. parabolica (Fr.) Quél. – VIII–IX, ЕК (2).
M. phaeophylla Kühner [=Phloeomana clavata (Peck) Redhead] – VIII–IX, ЕПР (2, 3), ЕК (2), БЕР (2, 3).
M. rubromarginata (Fr.) P. Kumm. – VIII–IX, ЕПР (2, 3), ЕК (1–3), БЕР (3).
M. sanguinolenta (Alb. et Schwein.) P. Kumm. – VI–IX, ЕПР (1–3), ЕК (1–3), БЕР (1–3).
M. speirea (Fr.) Gillet [=Phloeomana speirea (Fr.) Redhead] – VIII, ЕПР (3), ЕК (3).
M. stipata Maas Geest. et Schwöbel – VIII–IX, ЕПР (1–3), ЕК (1–3), БЕР (1–3).
M. stylobates (Pers.) P. Kumm. – VIII, ЕПР (1–3), ЕК (2, 3), БЕР (1–3).
M. viridimarginata P. Karst. – VIII, ЕПР (3).
Omphalina epichysium (Pers.) Quél. [≡ Arrhenia epichysium (Pers.) Redhead] – VII–IX, ЕПР (1), ЕК (1, 2), БЕР (1).
Oudemansiella platyphylla (Pers.) M.M. Moser [≡ Megacollybia platyphylla (Pers.) Kotl. et Pouzar] – VI–VIII, ЕПР (1), ЕК (1, 3), БЕР (1–3).
Panellus serotinus (Pers.) Kühner [≡ Sarcomyxa serotina (Pers.) V. Papp] – IX, ЕПР (1), БЕР (1).
P. stipticus (Bull.) P. Karst. – VIII, БЕР (3).
Tephrocybe boudieri (Kühner et Romagn.) Derbsch [= Myochromella boudieri (Kühner et Romagn.) V. Hofst.] – IX, БЕР (3).
Tricholomopsis decora (Fr.) Singer – VIII, ЕПР (1).
T. rutilans (Schaeff.) Singer – VI–IX, ЕПР (1), БЕР (2).
Xeromphalina campanella (Batsch) Kühner et Maire – V–IX, ЕПР (1–3), ЕК (1–3), БЕР (1, 3).
Boletales
Paxillaceae
Hygrophoropsis aurantiaca (Wulfen) Maire – VIII–IX, ЕПР (1, 2), ЕК (1), БЕР (1, 3).
Polyporales
Polyporaceae
Panus rudis Fr. [=Panus lecomtei (Fr.) Corner] – VIII, БЕР (1).
Polyporus brumalis (Pers.) Fr. [≡ Lentinus brumalis (Pers.) Zmitr.] – VI–IX, ЕПР (1, 3), ЕК (1), БЕР (1).
P. melanopus (Pers.) Fr. [≡ Picipes melanopus (Pers.) Zmitr. et Kovalenko] – VII–IX, ЕК (1, 2).
Pleurotus dryinus (Pers.) P. Kumm. – VIII, ЕК (1).
P. ostreatus (Jacq.) P. Kumm. – VIII, БЕР (3).
P. pulmonarius (Fr.) Quél. – VIII–IX, ЕПР (1–3), ЕК (1–3), БЕР (1–3).
Параметры биоразнообразия
Для ксилотрофов важнейший лимитирующий фактор – наличие субстрата. Виды данной группы грибов осуществляют деструкцию отмершей древесины, обеспечивая круговорот биогенных элементов. Ксилотрофов в исследуемых лесах отмечено 21.0–28.5% от общего числа всех обнаруженных видов агарикоидных грибов в каждом из ценозов. Видовой состав ксилотрофных агарикомицетов в целом за все периоды наблюдений (1975–1977, 1994–1996, 2010–2012 гг.) ельника приручьевого достиг 60 видов (27 родов, 9 семейств), ельника кисличного – 61 (25 родов, 8 семейств), а березняка разнотравного – 66 видов (29 родов, 9 семейств) (табл. 1). Новыми для Пермского края в III период являлись 2 вида грибов: Crepidotus subverrucisporus и Hydropus marginellus.
Таблица 1. Таксономический состав ксилотрофных агарикоидных базидиомицетов исследуемых биоге-оценозов (в сумме за три периода наблюдений)
Род | ЕПР | ЕК | БЕР |
Agaricales Coprinaceae | |||
Coprinus | – | 2 | 2 |
Psathyrella | 2 | 1 | 3 |
Cortinariaceae | |||
Galerina | 7 | 4 | 4 |
Gymnopilus | 1 | 1 | 1 |
Crepidotaceae | |||
Crepidotus | 2 | 3 | 3 |
Simocybe | 1 | 1 | – |
Entolomataceae | |||
Entoloma | 1 | – | – |
Rodocybe | 1 | – | 1 |
Pluteaceae | |||
Pluteus | 8 | 8 | 6 |
Strophariaceae | |||
Flammulaster | – | – | 1 |
Hypholoma | 2 | 3 | 2 |
Kuehneromyces | 2 | 2 | 2 |
Phaeomarasmius | – | 1 | 1 |
Pholiota | 2 | 5 | 6 |
Psilocybe | 1 | 1 | 1 |
Tubaria | 1 | 1 | 3 |
Tricholomataceae | |||
Armillaria | 1 | 1 | 1 |
Clitocybe | – | 1 | 1 |
Flammulina | 1 | – | – |
Gerronema | 1 | 1 | 1 |
Hemimycena | 1 | – | – |
Hydropus | – | – | 1 |
Lyophyllum | – | 1 | – |
Marasmius | 1 | 1 | – |
Mycena | 15 | 15 | 14 |
Omphalina | 1 | 1 | 1 |
Oudemansiella | 1 | 1 | 1 |
Panellus | 1 | – | 2 |
Tephrocybe | – | – | 1 |
Tricholomopsis | 2 | – | 1 |
Xeromphalina | 1 | 1 | 1 |
Boletales Paxillaceae | |||
Hygrophoropsis | 1 | 1 | 1 |
Polyporales Polyporaceae | |||
Panus | – | – | 1 |
Pleurotus | 1 | 2 | 2 |
Polyporus | 1 | 2 | 1 |
Всего видов | 60 | 61 | 66 |
По периодам число видов ксилотрофных агарикоидных базидиомицетов варьируется (табл. 2). В производном типе леса (березняк разнотравный) к III периоду наблюдений происходит увеличение числа видов ксилотрофов, что, вероятно, связано с процессами сукцессии, происходящей в березняке разнотравном. В ельнике приручьевом число видов грибов-ксилотрофов было относительно стабильным (36–37 видов). В ельнике кисличном число выявляемых видов к III периоду снижается.
Таблица 2. Число видов ксилотрофных агарикоидных базидиомицетов по периодам наблюдений в исследуемых биогеоценозах
Периоды | Годы наблюдений | Число видов грибов | ||
ельник приручьевой | ельник кисличный | березняк разнотравный | ||
I | 1975–1977 | 37 | 39 | 32 |
II | 1994–1996 | 37 | 45 | 33 |
III | 2010–2012 | 36 | 31 | 47 |
За все периоды | 60 | 61 | 66 | |
Грибы-ксилотрофы входили в основном в состав семейств Tricholomataceae (37.7–43.3% от общего числа видов грибов-ксилотрофов в каждом из биогеоценозов), Strophariaceae (13.3–24.2%) и Pluteaceae (9.1–13.3%), что характерно для бореальной зоны (рис. 1).
Рис. 1. Соотношение ведущих семейств ксилотрофных агарикоидных грибов в исследуемых биогеоценозах за все время наблюдений (в процентах от общего числа видов грибов-ксилотрофов за 1975–2012 гг. для каждого из ценозов): 1 – Tricholomataceae; 2 – Strophariaceae; 3 – Pluteaceae; 4 – остальные семейства
Представители трех ведущих семейств включают 69.9–72.1% видов от числа всех выявленных грибов-ксилотрофов с 1975 по 2012 г. для каждого из биогеоценозов. Наименьшее число видов грибов в исследуемых биогеоценозах относится к семействам Cortinariaceae (7.6–13.3%), Crepidotaceae (4.5–6.6%), Coprinaceae (3.3–7.6%), Polyporaceae (3.3–6.6%), Entolomataceae (0–3.3%) и Paxillaceae (1.5–1.7%). В спектре ведущих отмечены роды Mycena (21.2–25.0% от общего числа видов грибов-ксилотрофов в каждом из биогеоценозов), Pluteus (9.21–13.3%), Galerina (6.1–11.7%) и Pholiota (3.3–9.1%).
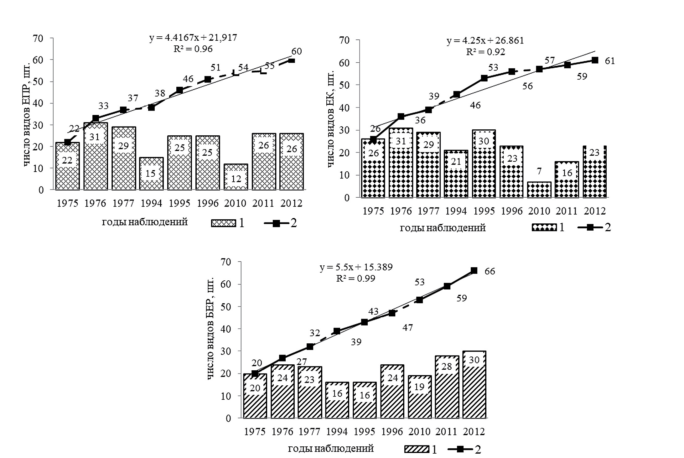
В связи с тем, что скрытое разнообразие грибов не поддается учету, все ранее зафиксированные виды ксилотрофных агарикомицетов включались в общий список. В результате в каждый сезон наблюдений для каждого из биогеоценозов выявлялись новые виды грибов, то есть происходило увеличение их общего выявленного разнообразия, что подчеркивает несоответствие наблюдаемого и скрытого разнообразия (рис. 2).
Рис. 2. Изменение видового разнообразия ксилотрофных агарикоидных базидиомицетов в исследуемых биогеоценозах по годам наблюдений: 1 – число видов за год наблюдений; 2 – накопление общего выявленного разнообразия; ЕПР – ельник приручьевой; ЕК – ельник кисличный; БЕР – березняк разнотравный
Под скрытым разнообразием понимается, что, в зависимости от различных факторов, грибы периодически формируют свои базидиомы, поэтому некоторые виды грибов не встречаются на учетной площади, хотя мицелий, вероятно, существует и при благоприятных условиях вновь формирует плодовые тела (Novozhilov et al., 2016). Например, в 2010 г. в ельнике приручьевом базидиомы формировали всего лишь 12 видов грибов-ксилотрофов, а в целом к этому году в нем было обнаружено 54 вида. Кривая накопления выявляемого разнообразия грибов линейная, сохраняет восходящий тренд, что свидетельствует о необходимости продолжения наблюдений для наиболее полного выявления структуры биоты агарикоидных грибов данных ценозов.
В ельнике приручьевом по годам наблюдений наименьшее число ксилотрофов зафиксировано в 2010 г. (12 видов), а наибольшее – в 1976 г. (31 вид). В ельнике кисличном наименьшее число ксилотрофов зафиксировано в 2010 г. (семь видов), а наибольшее – в 1976 г. (31 вид). В березняке разнотравном по сезонам наблюдений меньше всего ксилотрофов отмечено в 1994 и 1995 гг. (16 видов), а больше всего – в 2012 г. (30 видов).
Во всех биогеоценозах за девять лет наблюдений большинство видов (70.0–75.4%) обнаруживалось от двух до девяти раз с разными интервалами, что подтверждает гипотезу о наличии мицелиального континуума во времени. Некоторые виды грибов (2–3%) были постоянными, встречались ежегодно. В основном это были виды рода Mycena. Часть видов (24.6–30.0%) выявлена только один раз в какой-либо сезон (рис. 3).
Рис. 3. Частота выявления видов ксилотрофных агарикоидных базидиомицетов в исследуемых биогеоценозах: ЕПР – ельник приручьевой; ЕК – ельник кисличный; БЕР – березняк разнотравный
В ельнике приручьевом за три периода исследований 42 вида (70%) встречались от двух до девяти раз, из них два вида (3.3%) – Mycena galericulata и Pluteus atricapillus – встречались каждый сезон наблюдений. А 18 видов (27.4%) ксилотрофов были выявлены только однократно, в какой-либо один год наблюдений. В ельнике кисличном за девять лет наблюдений 46 видов ксилотрофных агарикомицетов (75.4%) встречались от двух до девяти раз, в том числе один вид (1.6%) – Mycena sanguinolenta – встречался ежегодно. А 15 видов (24.6%) обнаруживали однократно. В березняке разнотравном ежегодно встречалось два вида грибов – Mycena haemаtopus и M. sanguinolenta.
По периодам наблюдений в каждом из биогеоценозов происходило изменение видового состава грибов. Наименьшие коэффициенты Жаккара для грибов-ксилотрофов во времени были отмечены для березняка разнотравного (JI–II = 38, JII–III = 40, JI–III = 36), что, вероятно, связано с сукцессионными процессами, происходящими в березняке разнотравном, а также с деструкцией древесины, изменением ее физико-химических свойств, колебанием влажности субстрата и температуры. В ельнике приручьевом коэффициенты общности Жаккара по периодам варьировали от 43 до 45 (JI–II = 45, JII–III = 43, JI–III = 43), а в ельнике кисличном от 37 до 50 (JI–II = 50, JII–III = 43, JI–III = 37). Наибольшее сходство видового состава между биогеоценозами (по периодам), отмечено для еловых лесов (J = 44–52), так как видовой состав древесных пород данных ценозов наиболее близок. За все время наблюдений максимальные коэффициенты Жаккара (между ценозами) зафиксированы для березняка разнотравного и ельника кисличного (J = 56), т.е. сходство ксилотрофов между березняком разнотравным и ельником кисличным выше, чем между ельниками. Следовательно, по мере увеличения скрытого видового разнообразия число общих видов грибов-ксилотрофов между ельником кисличным и березняком разнотравным увеличивается, что, вероятно, связано с сукцессионными процессами, происходящими в березняке разнотравном.
Большое значение при изучении грибов имеют данные по их “урожайности”, которые позволяют судить об объеме вторичной продукции биогеоценоза. По сезонам наблюдений по данным метеостанции г. Добрянка погодные условия отличались от средних многолетних данных повышенным фоном температур воздуха (относительно нормы) и довольно значительными колебаниями количества осадков. Самыми неблагоприятными для развития грибов следует считать засушливые 1975 г. (среднемесячная температура воздуха ниже на 0.56–0.65°C, а количество осадков за июль–август ниже нормы на 26–31 мм) и 2010 г. (среднемесячная температура воздуха в июле–августе выше нормы на 2.0–3.2°C, а количество осадков в июле ниже нормы на 64 мм, в августе все их количество выпало в конце третьей декады), а также 1994 г., отличающийся большим количеством осадков и пониженными температурами воздуха в июле – августе (среднемесячная температура воздуха ниже на 1.0–2.6°C, а количество осадков за июль–август выше нормы на 27–83 мм).
“Урожайность” ксилотрофных агарикоидных грибов исследуемых ценозов по периодам варьируется. Наибольшее число и биомасса базидиом за три периода наблюдений отмечена для березняка разнотравного, что обусловлено обилием базидиом распространенных видов грибов-ксилотрофов. По годам наблюдений (за август) максимальные “урожаи” грибов по числу базидиом в ельнике приручьевом отмечены в 1977 г., в остальных исследуемых биогеоценозах – в 1996 г., а по биомассе базидиом для ельника приручьевого в 1976, 1977, 1995 гг., а в ельнике кисличном и березняке разнотравном – в 1996 г. (рис. 4).
Рис. 4. Динамика числа и биомассы базидиом ксилотрофных агарикоидных базидиомицетов в исследуемых ценозах по годам наблюдений: 1 – ельник приручьевой (…), 2 – ельник кисличный (---), 3 – березняк разнотравный (—)
Таким образом, по сезонам наблюдений в исследуемых биогеоценозах число и биомасса базидиом ксилотрофных агарикоидных грибов значительно варьируются.
Значения индексов Шеннона по числу и биомассе базидиом (за август) по периодам и за все периоды наблюдений варьировались (табл. 3).
Таблица 3. Индексы Шеннона по числу и биомассе базидиом ксилотрофных грибов в исследуемых биогеоценозах
Периоды | Годы наблюдений | Значения индексов Шеннона (H) по числу базидиом | Значения индексов Шеннона (H) по биомассе базидиом | ||||
ЕПР | ЕК | БЕР | ЕПР | ЕК | БЕР | ||
I | 1975–1977 | 0.82 | 0.75 | 0.86 | 0.98 | 0.92 | 0.85 |
II | 1994–1996 | 1.01 | 1.11 | 0.76 | 0.97 | 1.08 | 0.71 |
III | 2010–2012 | 0.74 | 0.91 | 0.95 | 0.70 | 0.56 | 0.88 |
За все периоды | 1.13 | 1.23 | 0.97 | 1.18 | 1.20 | 0.86 | |
Примечание. ЕПР – ельник приручьевой; ЕК – ельник кисличный; БЕР – березняк разнотравный.
Для биоты ксилотрофных агарикоидных базидиомицетов как по числу, так и по биомассе базидиом за все периоды наблюдений более благоприятным являлся ельник кисличный, т. к. биота ксилотрофов ельника кисличного была более разнообразна и ее составляющие наиболее выровнены (H = 1.23; 1.20). Следовательно, в ельнике кисличном большинство отмеченных нами базидиом ксилотрофов относилось к разным видам грибов, а в ельнике приручьевом и березняке разнотравном – лишь к некоторым видам.
На плодоношение агарикоидных базидиомицетов могут оказывать влияние различные факторы. Но чаще всего колебания обилия и разнообразия объясняют погодными условиями (Burova, 1971, 1986; Vasilyeva, 1973; Kalamees, 1975; Gorlenko, 1989; Perevedentseva, 1999; Straatsma, Ayer et al., 2001; Straatsma, Krisai-Greilhuber, 2003; De la Varga et al., 2013; Pešková et al., 2013; Ivanov, 2016; Tahvanainen et al., 2016). В связи с этим нами проведена статистическая обработка полученных результатов с помощью корреляционного анализа. Корреляционный анализ проводился с использованием коэффициента ранговой корреляции Спирмена (rs). Значение коэффициента корреляции rs от 0.30 до 0.70 при p < 0.05 соответствовало средней корреляции между признаками. При значении rs ≥ 0.70 (p < 0.05) отмечалась сильная положительная и статистически значимая корреляция. Отрицательное значение rs соответствует обратной корреляции (Trukhacheva, 2013).
В результате анализа данных по годам наблюдений установлено, что увеличение среднемесячной температуры воздуха в августе в ельнике кисличном отрицательно сказывается на числе базидиом ксилотрофов (коэффициент корреляции Спирмена: rs = –0.70) (рис. 5).
Рис. 5. Диаграмма рассеяния характеристик биоты ксилотрофных агарикомицетов и метеорологических показателей статистически значимых корреляций по годам наблюдений в исследуемых биогеоценозах
Влияние метеорологических показателей на биоту ксилотрофных агарикоидных грибов по декадам наблюдений не выявлено.
Таким образом, в исследуемых биогеоценозах отмечена всего лишь одна статистически значимая отрицательная корреляция по годам наблюдений, а по декадам исследований их не было выявлено.
ЗАКЛЮЧЕНИЕ
В результате мониторинга в исследуемых типах леса за три периода наблюдений выявлено от 60 (ельник приручьевой) до 66 (березняк разнотравный) видов ксилотрофных агарикоидных грибов. По периодам их число варьируется. В производном типе леса (березняк разнотравный) к третьему периоду наблюдений происходит увеличение числа видов ксилотрофов от 32 (I период) до 47 видов (III период). В ельнике приручьевом число видов грибов-ксилотрофов было относительно стабильным (36–37 видов). В ельнике кисличном число выявляемых видов к III периоду снижается с 39 (I период) до 31 вида (III период). Грибы-ксилотрофы входили, в основном, в состав семейств Tricholomataceae, Strophariaceae и Pluteaceae. Большинство видов (67–75%) обнаруживалось от двух до девяти раз, а 2–3% из них были постоянными, встречались ежегодно. В основном это были виды рода Mycena. Наименьшие коэффициенты сходства Жаккара для грибов-ксилотрофов во времени (по периодам наблюдений) были отмечены для березняка разнотравного (J = 36–40). В ельнике приручьевом коэффициенты общности Жаккара по периодам варьировали от 43 до 45, а в ельнике кисличном от 37 до 50. Наибольшее сходство видового состава между ценозами (по периодам) отмечено для еловых лесов (J = 44–52), так как видовой состав древесных пород данных ценозов наиболее близок.
Продуктивность ксилотрофных агарикомицетов в исследуемых ценозах различается по годам наблюдений. Наибольшее число и биомасса базидиом за три периода наблюдений отмечена для березняка разнотравного, что обусловлено обилием базидиом распространенных видов грибов-ксилотрофов. Для биоты ксилотрофных агарикоидных грибов как по числу, так и по биомассе базидиом за все периоды наблюдений более благоприятным являлся ельник кисличный, т. к. биота ксилотрофов ельника кисличного была более разнообразна и ее составляющие наиболее выровнены (H = 1.23; 1.20). В результате корреляционного анализа по годам наблюдений установлено снижение числа базидиом ксилотрофных агарикомицетов в ельнике кисличном при повышении среднемесячной температуры воздуха в августе (rs = –0.70).
Burova L.G. Ecology of macrofungi. Moscow, Nauka, 1986 (in Russ.).
Burova L.G. The influence of grass and moss cover on the development and distribution of macrofungi in broad-leaved spruce forests of the Moscow region. II. Mikologiya i fitopatologiya. 1976. V. 10 (3) P. 81–85 (in Russ.).
De la Varga H., Águeda B., Ágreda T. et al. Seasonal dynamics of Boletus edulis and Lactarius deliciosus extraradical mycelium in pine forests of central Spain. Mycorrhiza. 2013. V. 23 (5). P. 391–402. https://doi.org/10.1007/s00572-013-0481-3
Gorlenko M.V. Macrofungi of the Zvenigorod biological station of Moscow State University. MSU, Moscow, 1989 (in Russ.).
Greig-Smit P. Quantitative plant ecology. Mir, Moscow, 1967 (in Russ.).
Illustrated keybook to plants of the Perm region. Book World, Perm, 2007 (in Russ.).
Ivanov A.I. Fruiting of Agaricomycetes in natural communities of the Penza region in connection with cycles of solar activity and weather conditions. Mikologiya i fitopatologiya. 2016. V. 50 (4). P. 219–229 (in Russ.).
Kalamees K.A. Agaricoid fungi of Estonia (Polyporales, Boletales, Russulales, Agaricales). Systematics, ecology, distribution. Dr. Biol. Thesis. Tallinn, 1975 (in Russ.).
Kovalenko A.E. Ecological survey of the fungi of the orders Polyporales s. str., Boletales, Agaricales s. str., Russulales in the mountain forests of the Central North-West Caucasus. Mikologiya i fitopatologiya. 1980. V. 14 (4). P. 300–314 (in Russ.).
Leontyev D.V. Floristic analysis in mycology. PP Ranok-NT, Kharkov, 2008 (in Russ.).
Megarran E. Ecological diversity and its measurement. Mir, Moscow, 1992 (in Russ.).
Morozova O.V. Agaricoid basidiomycetes of the southern taiga subzone of the Leningrad region. Cand. Biol. Thesis. St. Petersburg, 2001 (in Russ.).
Moser M. Die Rohrlinge und Blätterpilze (Polyporales, Boletales, Agaricales, Russulales). Kleine Kryptogamenflora. Bd. 2b/2. Fischer, Stuttgart, N.Y., 1983.
MycoBank. Fungal Databases, Nomenclature and Species Banks. https://www.mycobank.org. Accessed 22.10.2023.
Novozhilov YU.K., Malysheva V.F., Malysheva E.F. et al. Hidden diversity of fungi and fungus-like protists in nature ecosystems: problems and prospects. Biosphere. 2016. V. 8 (2). P. 202–215 (in Russ.).
Perevedentseva L.G. Biota and ecology of agaricoid basidiomycetes of Perm Region. Dr. Biol. Thesis. Moscow, 1999 (in Russ.).
Pešková V., Landa J., Modlinger R. Long term observation of mycorrhizal status and above-ground fungi fruiting body production in oak forest. Dendrobiology. 2013. V. 69. P. 99–110.
Shmidt V.M. Mathematical methods in botany. Nauka, Leningrad, 1973 (in Russ.).
Stolyarskaya M.V., Kovalenko A.E. Fungi of the Nizhnesvirsky reserve. I. 1. Macromycetes: annotated lists of species. SPb., 1996 (in Russ.).
Straatsma G., Ayer F., Egli S. Species richness, abundance, and phenology of fungal fruit bodies over 21 years in a Swiss forest plot. Mycol. Res. 2001. V. 105 (5). P. 515–523. https://doi.org/10.1017/S0953756201004154
Straatsma G., Krisai-Greilhuber I. Assemblage structure, species richness, abundance, and distribution of fungal fruit bodies in a seven-year plot-based survey near Vienna. Mycol. Res. 2003. V. 107. (5). P. 632–640. https://doi.org/10.1017/S0953756203007767
Sukachev V.N., Zonn E.V. Methodical instructions for studying of forest types. 2nd ed. Moscow, 1961 (in Russ.).
Tahvanainen V., Miina J., Mikko K. et al. Modelling the yields of marketed mushrooms in Picea abies standsin eastern Finland. Forest Ecol. Managem. 2016. V. 362. P. 79–88. https://doi.org/10.1016/j.foreco.2015.11.040
Trukhacheva N.V. Mathematical statistics in biomedical research using the Statistica package. Geotar-Media, Moscow, 2012 (in Russ.).
Vasilyeva L.N. Agaricoid fungi of Primorsky Krai. Nauka, Leningrad, 1973 (in Russ.).
Бурова Л.Г. (Burova) Экология грибов макромицетов. М.: Наука, 1986. 224 с.
Бурова Л.Г. (Burova) Влияние травяного и мохового покрова на развитие и распределение макромицетов в широколиственно-еловых лесах Подмосковья. II // Микология и фитопатология. 1976. Т. 10. № 3. С. 81–85.
Васильева Л.Н. (Vasilyeva) Агариковые шляпочные грибы Приморского края. Л.: Наука, 1973. 330 с.
Горленко М.В. (Gorlenko) Макромицеты Звенигородской биологической станции МГУ. М.: МГУ, 1989. 84 с.
Грейг-Смит П. (Greig-Smit) Количественная экология растений. М.: Изд-во Мир, 1967. 359 с.
Иванов А.И. (Ivanov) Плодоношение агарикомицетов (Agaricomycetes) в природных сообществах Пензенской области в связи с циклами солнечной активности и погодными условиями // Микология и фитопатология. 2016. Т. 50. №4. С. 219–229.
Иллюстрированный определитель растений Пермского края (Illustrated) Пермь: Изд-во Книжный мир, 2007. 743 с.
Каламеэс К.А. (Kalamees) Агариковые грибы Эстонии (Polyporales, Boletales, Russulales, Agaricales). Систематика, экология, распространение. Автореф. дисc. … канд. биол. наук. Таллин, 1975. 110 с.
Коваленко А.Е. (Kovalenko) Экологический обзор грибов из порядков Polyporales s. str., Boletales, Agaricales s. str., Russulales в горных лесах Центральной части Северо-Западного Кавказа // Микология и фитопатология. 1980. Т. 14. № 4. С. 300–314.
Леонтьев Д.В. (Leontyev) Флористический анализ в микологии. Харьков: ПП Ранок-НТ, 2008. 110 с.
Морозова О.В. (Morozova) Агарикоидные базидиомицеты подзоны южной тайги Ленинградской области. Дис. … канд. биол. наук. СПб., 2001. 250 с.
Мэгарран Э. (Megarran) Экологическое разнообразие и его измерение. М.: Мир, 1992. 184 с.
Новожилов Ю.К., Малышева В.Ф., Малышева Е.Ф. и др. (Novozhilov et al.) Скрытое разнообразие грибов и грибообразных протистов в природных экосистемах: проблемы и перспективы // Биосфера. 2016. Т. 8. № 2. С. 202–215.
Переведенцева Л.Г. (Perevedentseva) Биота и экология агарикоидных базидиомицетов Пермской области. Автореф. дис. … докт. биол. наук. М., 1999. 48 с.
Столярская М.В., Коваленко А.Е. (Stolyarskaya, Kovalenko) Грибы Нижнесвирского заповедника. Вып. 1. Макромицеты: аннотированные списки видов. СПб.: НГПЗ, 1996. 59 с.
Сукачев В.Н., Зонн Е.В. (Sukachev, Zonn) Методические указания к изучению типов леса. 2-е изд. М.: Изд-во АН СССР, 1961. 144 с.
Трухачева Н.В. (Trukhacheva) Математическая статистика в медико-биологических исследованиях с применением пакета Statistica. М.: Гэотар-Медиа, 2012. 384 с.
Шмидт В.М. (Shmidt) Математические методы в ботанике. Л.: Наука, 1973. 263 с.
1 Рекомендовано к печати оргкомитетом Всероссийской конференции с международным участием “Экология грибов и грибоподобных организмов: факты, гипотезы, тенденции”, посвященной 300-летию Российской академии наук, Ярославль, 12–14 октября 2023 г.
Об авторах
А. С. Шишигин
Пермский государственный гуманитарно-педагогический университет
Автор, ответственный за переписку.
Email: shishigin1992@mail.ru
Россия, Пермь
Л. Г. Переведенцева
Пермский государственный национальный исследовательский университет
Email: perevperm@mail.ru
Россия, Пермь
В. С. Боталов
Пермский государственный национальный исследовательский университет
Email: vitalywc@yandex.ru
Россия, Пермь
Список литературы
- Burova L.G. Ecology of macrofungi. Moscow, Nauka, 1986 (In Russ.).
- Burova L.G. The influence of grass and moss cover on the development and distribution of macrofungi in broad-leaved spruce forests of the Moscow region. II. Mikologiya i fitopatologiya. 1976. V. 10 (3) P. 81–85 (In Russ.).
- De la Varga H., Águeda B., Ágreda T. et al. Seasonal dynamics of Boletus edulis and Lactarius deliciosus extraradical mycelium in pine forests of central Spain. Mycorrhiza. 2013. V. 23 (5). P. 391–402. https://doi.org/10.1007/s00572-013-0481-3
- Gorlenko M.V. Macrofungi of the Zvenigorod biological station of Moscow State University. MSU, Moscow, 1989 (In Russ.).
- Greig-Smit P. Quantitative plant ecology. Mir, Moscow, 1967 (In Russ.).
- Illustrated keybook to plants of the Perm region. Book World, Perm, 2007 (In Russ.).
- Ivanov A.I. Fruiting of Agaricomycetes in natural communities of the Penza region in connection with cycles of solar activity and weather conditions. Mikologiya i fitopatologiya. 2016. V. 50 (4). P. 219–229 (In Russ.).
- Kalamees K.A. Agaricoid fungi of Estonia (Polyporales, Boletales, Russulales, Agaricales). Systematics, ecology, distribution. Dr. Biol. Thesis. Tallinn, 1975 (In Russ.).
- Kovalenko A.E. Ecological survey of the fungi of the orders Polyporales s. str., Boletales, Agaricales s. str., Russulales in the mountain forests of the Central North-West Caucasus. Mikologiya i fitopatologiya. 1980. V. 14 (4). P. 300–314 (In Russ.).
- Leontyev D.V. Floristic analysis in mycology. PP Ranok-NT, Kharkov, 2008 (In Russ.).
- Megarran E. Ecological diversity and its measurement. Mir, Moscow, 1992 (In Russ.).
- Morozova O.V. Agaricoid basidiomycetes of the southern taiga subzone of the Leningrad region. Cand. Biol. Thesis. St. Petersburg, 2001 (In Russ.).
- Moser M. Die Rohrlinge und Blätterpilze (Polyporales, Boletales, Agaricales, Russulales). Kleine Kryptogamenflora. Bd. 2b/2. Fischer, Stuttgart, N.Y., 1983.
- MycoBank. Fungal Databases, Nomenclature and Species Banks. https://www.mycobank.org. Accessed 22.10.2023.
- Novozhilov YU.K., Malysheva V.F., Malysheva E.F. et al. Hidden diversity of fungi and fungus-like protists in nature ecosystems: problems and prospects. Biosphere. 2016. V. 8 (2). P. 202–215 (In Russ.).
- Perevedentseva L.G. Biota and ecology of agaricoid basidiomycetes of Perm Region. Dr. Biol. Thesis. Moscow, 1999 (In Russ.).
- Pešková V., Landa J., Modlinger R. Long term observation of mycorrhizal status and above-ground fungi fruiting body production in oak forest. Dendrobiology. 2013. V. 69. P. 99–110.
- Shmidt V.M. Mathematical methods in botany. Nauka, Leningrad, 1973 (In Russ.).
- Stolyarskaya M.V., Kovalenko A.E. Fungi of the Nizhnesvirsky reserve. I. 1. Macromycetes: annotated lists of species. SPb., 1996 (In Russ.).
- Straatsma G., Ayer F., Egli S. Species richness, abundance, and phenology of fungal fruit bodies over 21 years in a Swiss forest plot. Mycol. Res. 2001. V. 105 (5). P. 515–523. https://doi.org/10.1017/S0953756201004154
- Straatsma G., Krisai-Greilhuber I. Assemblage structure, species richness, abundance, and distribution of fungal fruit bodies in a seven-year plot-based survey near Vienna. Mycol. Res. 2003. V. 107. (5). P. 632–640. https://doi.org/10.1017/S0953756203007767
- Sukachev V.N., Zonn E.V. Methodical instructions for studying of forest types. 2nd ed. Moscow, 1961 (In Russ.).
- Tahvanainen V., Miina J., Mikko K. et al. Modelling the yields of marketed mushrooms in Picea abies standsin eastern Finland. Forest Ecol. Managem. 2016. V. 362. P. 79–88. https://doi.org/10.1016/j.foreco.2015.11.040
- Trukhacheva N.V. Mathematical statistics in biomedical research using the Statistica package. Geotar-Media, Moscow, 2012 (In Russ.).
- Vasilyeva L.N. Agaricoid fungi of Primorsky Krai. Nauka, Leningrad, 1973 (In Russ.).
- Бурова Л.Г. (Burova) Экология грибов макромицетов. М.: Наука, 1986. 224 с.
- Бурова Л.Г. (Burova) Влияние травяного и мохового покрова на развитие и распределение макромицетов в широколиственно-еловых лесах Подмосковья. II // Микология и фитопатология. 1976. Т. 10. № 3. С. 81–85.
- Васильева Л.Н. (Vasilyeva) Агариковые шляпочные грибы Приморского края. Л.: Наука, 1973. 330 с.
- Горленко М.В. (Gorlenko) Макромицеты Звенигородской биологической станции МГУ. М.: МГУ, 1989. 84 с.
- Грейг-Смит П. (Greig-Smit) Количественная экология растений. М.: Изд-во Мир, 1967. 359 с.
- Иванов А.И. (Ivanov) Плодоношение агарикомицетов (Agaricomycetes) в природных сообществах Пензенской области в связи с циклами солнечной активности и погодными условиями // Микология и фитопатология. 2016. Т. 50. №4. С. 219–229.
- Иллюстрированный определитель растений Пермского края (Illustrated) Пермь: Изд-во Книжный мир, 2007. 743 с.
- Каламеэс К.А. (Kalamees) Агариковые грибы Эстонии (Polyporales, Boletales, Russulales, Agaricales). Систематика, экология, распространение. Автореф. дисc. … канд. биол. наук. Таллин, 1975. 110 с.
- Коваленко А.Е. (Kovalenko) Экологический обзор грибов из порядков Polyporales s. str., Boletales, Agaricales s. str., Russulales в горных лесах Центральной части Северо-Западного Кавказа // Микология и фитопатология. 1980. Т. 14. № 4. С. 300–314.
- Леонтьев Д.В. (Leontyev) Флористический анализ в микологии. Харьков: ПП Ранок-НТ, 2008. 110 с.
- Морозова О.В. (Morozova) Агарикоидные базидиомицеты подзоны южной тайги Ленинградской области. Дис. … канд. биол. наук. СПб., 2001. 250 с.
- Мэгарран Э. (Megarran) Экологическое разнообразие и его измерение. М.: Мир, 1992. 184 с.
- Новожилов Ю.К., Малышева В.Ф., Малышева Е.Ф. и др. (Novozhilov et al.) Скрытое разнообразие грибов и грибообразных протистов в природных экосистемах: проблемы и перспективы // Биосфера. 2016. Т. 8. № 2. С. 202–215.
- Переведенцева Л.Г. (Perevedentseva) Биота и экология агарикоидных базидиомицетов Пермской области. Автореф. дис. … докт. биол. наук. М., 1999. 48 с.
- Столярская М.В., Коваленко А.Е. (Stolyarskaya, Kovalenko) Грибы Нижнесвирского заповедника. Вып. 1. Макромицеты: аннотированные списки видов. СПб.: НГПЗ, 1996. 59 с.
- Сукачев В.Н., Зонн Е.В. (Sukachev, Zonn) Методические указания к изучению типов леса. 2-е изд. М.: Изд-во АН СССР, 1961. 144 с.
- Трухачева Н.В. (Trukhacheva) Математическая статистика в медико-биологических исследованиях с применением пакета Statistica. М.: Гэотар-Медиа, 2012. 384 с.
- Шмидт В.М. (Shmidt) Математические методы в ботанике. Л.: Наука, 1973. 263 с.
Дополнительные файлы







