On the Issue of Statistically Significant Differences between the Average Values of Plastic Features in Two Groups of Juvenile Fish and between the Average Values of Their Indices
- Autores: Lobyrev F.S.1
-
Afiliações:
- Lomonosov Moscow State University
- Edição: Volume 144, Nº 1 (2024)
- Páginas: 97-110
- Seção: Articles
- ##submission.dateSubmitted##: 13.08.2024
- ##submission.dateAccepted##: 13.08.2024
- ##submission.datePublished##: 13.08.2024
- URL: https://journal-vniispk.ru/0042-1324/article/view/261705
- DOI: https://doi.org/10.31857/S0042132424010076
- EDN: https://elibrary.ru/RXHILH
- ID: 261705
Citar
Texto integral
Resumo
The regularities that determine the preservation and/or change of statistically significant differences during the transition from comparing the average values of plastic signs of juvenile fish to comparing the average values of their indices have been studied. An algorithm for evaluating the factors determining the variability of plastic features and their indices in allometry is proposed. Three cases of variability were identified and parametrized: (a) statistically significant differences are absent between the values of plastic features and their indices, (b) significant differences disappear when switching from comparing features to comparing their indices, and (c) significant differences in both cases remain. Case (b) is associated with different initial length of juveniles and different hatching time; case (c) is determined by different growth rates in the compared groups. The approach was tested on the selection of fingerlings of the Regsa fluviatilus L. perch from two reservoirs of the Staritsky district of the Tver region.
Palavras-chave
Texto integral
ВВЕДЕНИЕ
В основе ряда экологических и популяционных исследований, а также задач, решаемых в области аквакультуры, лежит статистическое сравнение совокупностей рыб одного или нескольких возрастных классов (Мальцев, Меркулов, 2006; Молчанова, Хрусталев, 2017; Островская, Касаткина, 2021; Olden, Jackson, 2002). Традиционным подходом остается морфометрический анализ, позволяющий выявлять межгрупповую изменчивость благодаря сравнению большого числа меристических и пластических признаков (Семенченко, 2005; Симонов, Виноградов, 2019; Bernard, 1981). Грамотная интерпретация результатов биометрического анализа увеличивает информационную ценность проведенных исследований, помогает правильно планировать их постановку, анализировать полученные данные и объективно судить о результатах наблюдений (Чудновская и др., 2018).
Одна из особенностей пластических признаков связана с тем, что будучи числовыми характеристиками различных участков тела, изменяющихся непропорционально в силу аллометрии (Мина, Клевезаль, 1976; Есин, 2015; Авастхи и др,, 2015, Черноиванова, 2017; Renzo et al., 2021), их величины и величины их отношений также меняются непропорционально. Учет этого обстоятельства актуален в связи с тем, что в биометрическом анализе используются преимущественно не абсолютные величины пластических признаков, а их индексы, получаемые путем стандартизации – деления значения данного признака на длину тела или головы (Романов и др., 2009; Строганов и др., 2017; Симонов, Виноградов, 2019; Островская, Касаткина, 2021). Интуитивно понятно, что подобное преобразование должно порождать определенную вариабельность значений индексов, в ряде случаев отличную от вариабельности значений пластических признаков. Совместная изменчивость величин признаков и их индексов формируется на основании определенных закономерностей, выявление которых путем статистического анализа было бы важно по ряду причин. Однако напрямую сравнивать изменчивость признаков и их индексов нельзя, поскольку в результате стандартизации индексы приобретают особые качества, делающие совокупности “признаки” и “индексы” неоднородными относительно их внутренних свойств (например, формализовав параметры роста, можно от длины тела рыбы перейти к ее массе, однако сравнивать между собой длину и массу некорректно). Тем не менее, ответить на вопрос о значимости сходства и/или различия определенных характеристик двух и более сравниваемых групп может только статистический анализ. В этой связи уместны вопросы о том, как объективно оценить различия в вариабельности между величинами пластических признаков и их индексов, как в дальнейшем эти различия объяснять и для каких целей эту информацию можно использовать. Материалом для анализа послужили сеголетки речного окуня Percа fluviatilus L. из двух водоемов Старицкого р-на Тверской обл., собранных в четырех точках с различными параметрами среды.
Цель данного исследования заключается в описании закономерностей и параметризации факторов, определяющих различные типы изменчивости средних значений пластических признаков и средних значений их индексов, выявляемые статистическими методами, а также в интерпретации результатов статистического анализа.
МАТЕРИАЛЫ И МЕТОДЫ
Изменчивость любых параметров организма во времени как внутри однородной по некоторым свойствам группы, так и между различными группами в той или иной мере связана с ростом. Формализуем рост молоди рыб и опосредованную им динамику величин пластических признаков.
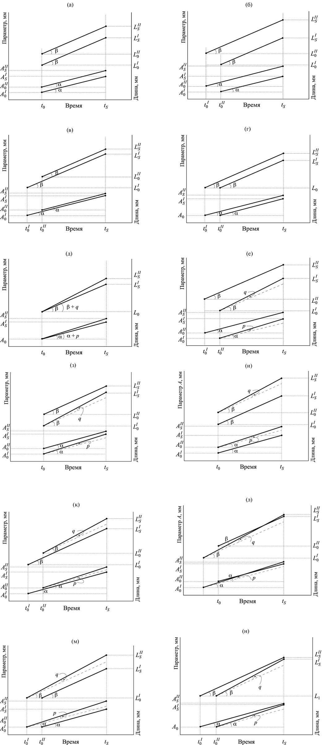
Линейный рост как самой рыбы, так и частей ее тела на разных этапах онтогенеза можно описать линейной функцией (Fortier et al., 2006; Bouchard, Fortier 2011; Vestfals et al., 2019) и функциями, отличными от линейной (Lugert et al., 2013; Thorarensen et al., 2015). Для начала рассмотрим случай линейной функции, задав параметры роста следующим образом. Пусть – время вылупления, – время взятия выборки, – величина данного пластического признака в момент вылупления , – величина этого же признака в момент , – длина тела в момент , – длина тела в момент , – скорость изменения параметра А, – скорость изменения параметра L. Тогда, если у групп I и II молоди в момент имеются статистически значимые различия по величине признака A, то есть , то они имеются вследствие следующих трех причин: разные начальные размеры, то есть , как следствие , разное время вылупления, то есть , и разная скорость роста .
В модели используются следующие допущения: (1) линейный рост L молоди групп I и II одного вида от момента до момента описывается линейной функцией (Fortier et al., 2006; Sigourney et al., 2008; Bouchard, Fortier, 2011); (2) динамика величины признака А описывается той же функцией, что и рост L; (3) между A и L имеет место аллометрия (Мина, Клевезаль, 1976; Weatherley, 1990); (4) в момент отношения величины признака A к длине тела L у групп I и II молоди одного вида равны вне зависимости от начальных размеров, то есть .
В соответствии с допущениями (2) и (3) аллометрия между A и L определена различной величиной тангенса угла наклона линейных функций (если тангенс угла наклона один, то рост A и L будет пропорциональным). Тогда функция , описывающая линейный рост, имеет следующий вид:
L(t) = β × t + L0, (1)
где β= – скорость изменения L со временем, или тангенс угла наклона кривой роста, а – начальная длина. Соответственно, функция, описывающая изменение величины признака A со временем, запишется как:
(2)
где α = GrA – скорость изменения A со временем, A0 – начальная величина A, причем в силу аллометрии .
Пусть имеются статистически значимые различия между средними значениями A и L, то есть и , для двух групп I и II в момент . Построим модель, позволяющую оценить, сохраняются ли значимые различия при переходе от величины признака A к величине его индекса , если в каждом отдельном случае различие определяет только одна из трех причин – (как следствие ), или .
Линейный рост. Различные начальные величины признака,
На основании функций (1) и (2) величина индекса в момент для группы I запишется как:
(3)
соответственно, величина индекса для группы II как:
. (4)
Отношения (3) и (4) тождественны в силу допущения о равенстве отношений в начальный момент времени, что свидетельствует об исчезновении различий при переходе от средних значений признака А к средним значениям его индекса . Данный случай соответствует графику (а) рис. 3. Если в функциях (3) и (4) значение заменить на переменную t, функции (3) и (4) будут описывать динамику индекса во времени для групп I и II. Стандартизация на длину тела при условии , таким образом, тождественна совмещению кривых (3) и (4) динамики индексов, в результате чего они совпадут.
Линейный рост. Различное время вылупления,
Возраст молоди групп I и II, соответствующий количеству прожитых дней, запишется как () и () соответственно. Тогда величина индекса имеет следующий вид:
(5)
соответственно, величина индекса определится как:
(6)
Отношения (5) и (6) тождественны вследствие , что также свидетельствует об исчезновении значимых различий при переходе от средних значений признака А к средним его индекса , и что также отразится в совпадении кривых (5) и (6) динамики индексов. Данный случай представлен на графике (г) рис. 3.
Все вышесказанное для начальных условий и будет справедливо и при начальном условии разного времени взятия выборок, то есть , если только характер и скорость роста до момента взятия проб не меняются.
Линейный рост. Различная скорость роста, и
Зададим различия в скорости роста A и L у молоди групп I и II через параметры и следующим образом. Пусть скорость роста молоди группы I равна , тогда скорость роста для II равна = (), где p — разница между скоростью изменения величин и . Далее, пусть скорость изменения длины тела для группы I со временем равна ; тогда скорость роста для II равна = (), где q — разница между скоростью изменения и , причем для любого момента в силу аллометрии p < q. Тогда величина индекса для группы I запишется как:
(7)
соответственно, величина индекса для группы II запишется как:
(8)
Отношения (7) и (8) не являются тождественными ввиду , что указывает на сохранение значимых различий при переходе от средних значений признака А к средним его индекса . Данный случай отражен на графике (д) рис. 3. Очевидно, что при попытке совмещения кривых индексов двух групп они не совпадут.
Нелинейный рост. Различные начальные величины признака,
Теперь опишем изменение статистически значимых различий в средних величинах признаков и их индексов для случая, когда рост нелинейный, положив в основу закономерности, выявленные для линейного роста. Допустим, что значимые различия при линейном росте для групп I и II имеют место, например, при условии . Как видно из рис. 1, для группы I величина индекса равняется отношению отрезков и , то есть , а величина индекса – отношению . Подставим в числитель и знаменатель данных отношений площади фигур, куда каждый из отрезков, , , и , входит составной частью, и проверим тождество отношений площадей следующих фигур:
(9)
Площадь любой из четырех фигур можно представить как сумму площадей прямоугольного треугольника и прямоугольника (рис. 1). Перепишем тождество (9), выразив площади фигур через параметры роста:
(10)
Рис. 1. Линейная динамика средних значений пластического признака A и длины тела L сеголетков из групп I и II во времени при разной начальной длине и одном времени вылупления.
Очевидно, что тождество (10) выполняется в силу допущения . Таким образом, отсутствие значимых различий между средними величинами индексов и при начальном условии можно установить как через тождества функций (3) и (4), так и через тождество отношений соответствующих площадей фигур (формула 10).
Допустим теперь, что динамика величин L и A во времени задана нелинейной (экспоненциальной) функцией вида и , где и – соответственно коэффициенты, определяющие скорость изменения величин L и A со временем. Тогда по аналогии с функцией (10) нужно проверить тождество отношений площадей соответствующих фигур, где площадь каждой фигуры вычисляется через параметры роста как сумма площадей криволинейного треугольника и прямоугольника (рис. 2):
(11)
Рис. 2. Нелинейная динамика во времени средних значений пластического признака A и длины тела L сеголетков из групп I и II при разной начальной длине и одном времени вылупления.
Очевидно, что, как и в случае с линейным ростом, правая и левая части выражения (11) тождественны вследствие . Отсюда, по аналогии с выводами для линейного роста можно заключить, что если тождество выполняется для площадей фигур, сформированных нелинейными функциями, куда отдельными множителями входят величины индексов и , тождество также будет справедливо и для самих величин индексов и . Таким образом, при нелинейном росте при переходе от средних значений признака А к средним его индекса значимые различия исчезают (то есть кривые индексов и у двух групп совместятся), если в основе различий лежит начальное условие .
Избегая повторений, отметим, что все вышесказанное для нелинейной функции для начальных условий будет также справедливо и для начальных условий и .
Нелинейный рост. Различная скорость роста
По аналогии с линейным ростом различия в скоростях нелинейного роста при использовании экспоненциальной функции для групп I и II можно выразить через коэффициенты роста () и () для признака А и через () и () – для длины L, где и соответственно разница между скоростью роста параметров А и L, причем в силу аллометрии . Тогда имеет место следующее неравенство:
(12)
т.к. правая и левая части (12) не тождественны в силу . Следовательно, при разных скоростях нелинейного роста для двух групп молоди при переходе от средних значений А к средним его индекса различия сохраняются. Все вышесказанное будет справедливо и для любой другой нелинейной функции.
Линейная динамика величин А и L во времени при различных комбинациях равенства и/или неравенства параметров , и Gr для двух групп представлена на графиках (а–н) рис. 3. Аналогичные графики могут быть построены для любой другой функции роста, отличной от линейной.
Рис. 3. Линейная динамика во времени средних значений пластического признака A и длины тела L сеголетков из групп I и II при различных комбинациях параметров (начальной длины), (времени вылупления) и (скорости роста).
Всю совокупность случаев, отраженных на графиках рис. 3, можно разделить на две группы: статистически значимые различия (б) исчезают и (в) сохраняются при переходе от сравнения средних значений признаков к сравнению средних их индексов. Случай (а) отсутствия значимых различий между средними величинами признаков и их индексов параметризации не требует.
Объектом исследования послужили сеголетки окуня Perca fluviatilis (L.) (Percidae), пойманные в четырех точках в водоемах Старицкого р-на Тверской обл. 12–17 августа 2022 г. (рис. 4). Точки (1) и (2) с координатами 56°38´ с.ш., 34°86´ в.д. расположены у левого берега р. Волга в районе д. Болдырево на расстоянии 100–150 м друг от друга; отбор проб проводился на глубине 0.8–1.2 м “подъемником” площадью 1.5×1.5 м ячеи 5 мм. Берег местами каменистый с небольшим количеством водной растительности. Точка (3) с координатами 56°37´ с.ш., 34°87´ в.д. расположена у левого берега р. Волга на ~2 км выше по течению точек 1 и 2; лов поводился в затоне с глубины 0.7–1.2 м тем же орудием. Береговая линия покрыта преимущественно рогозом (Typhaceae), дно заилено. Ширина р. Волга в районах отбора проб 100–120 м, средняя скорость течения по стреженю ~0.2 м/с, максимальная глубина ~3.0 м. Точка (4) с координатами 56°43´ с.ш., 34°81´ в.д. находится в небольшом озере площадью 0.09 км2 на р. Неклюдовка, 56°43´ с.ш., 34°81´ в.д. Материал собран в прибрежной части на глубине 0.8–1.2 м тем же орудием; дно слабо заилено, видимое течение отсутствует.
Рис. 4. Карта-схема района сбора материала, Старицкий р-н, Тверская обл.; точки 1–3 – р. Волга, левый берег, точка 4 – р. Неклюдовка.
Измерение морфометрических параметров произведено в соответствии со схемой для окуневых (Правдин, 1966). Для анализа взяты 9 пластических признаков, имеющих наибольшую вариабельность (Терентьев, Березина, 2022) (табл. 1), что повышает вероятность обнаружения значимых различий. Возраст определялся частично по жаберной крышке для контроля возрастной группы 0+. Подготовка данных к статистическому анализу проведена в программе Microsoft Excel, статистический анализ выполнен в пакете Statistica10. В силу нормального (Гауссовского) распределения величин пластических признаков и их индексов первый этап статистического анализа проведен с использованием t-теста Стьюдента для независимых выборок при уровне значимости α = 0.05. Поскольку имеет место множественное сравнение, для уровня значимости α введена поправка Бонферрони, равная 0.05/3 ≈ 0.17, где 3 – количество сравнений (Rice, 1989). Гипотеза Н0, таким образом, отвергалась при p < ~0.17. Второй этап анализа связан с оценкой вариабельности значений признаков и их индексов, для чего по каждой паре выборок с помощью теста хи-квадрат при уровне значимости α = 0.05 сравнивались доли значений t-теста, соответствующие принятию или отвержению нулевой гипотезы. Гипотеза Н0 отвергалась при p < 0.05.
РЕЗУЛЬТАТЫ И ОБСУЖДЕНИе
Объемы выборок составили: в точке (1) – 48 экз., (2) – 59 экз., (3) – 57 экз., (4) – 51 экз., исходные данные размещены в репозитории Feodor1974/perch_0_4_points (github.com); объемы выборок превышают необходимые 30 экз. для корректного применения t-теста Стьюдента. Статистическое сравнение пластических признаков проведено для выборок из точек (1)–(2), (1)–(3) и (1)–(4), результаты отражены в табл. 1. Каждая пара выборок сеголетков окуня после стандартизации разбита на две группы – “признаки” и “индексы”. Данные группы включают соответственно 9 пластических признаков и 9 значений их индексов. Каждый из 9 признаков и каждый из 9 индексов представлен двумя совокупностями значений, объемы которых равны объему сравниваемых выборок. В результате парного сравнения по t-тесту в группах “признаки” и “индексы” имеется по 9 значений t-теста, на основании каждого из которых гипотеза о сходстве средних значений данного признака или его индекса принимается (варианта H0) или отвергается (варианта H1) (табл. 1). Переход к значениям t-теста, таким образом, делает группы “признаки” и “индексы” однородными относительно свойств сравниваемых параметров. Для оценки того, сохраняется ли для данной пары выборок общая изменчивость 9 параметров при переходе от сравнения средних значений признаков к сравнению средних их индексов, требуется, используя статистику хи-квадрат, сравнить на выбор доли вариант или в двух совокупностях значений t-теста. Итогом данного сравнения будет принятие или отвержение нулевой гипотезы. Поскольку, с одной стороны, имеется только три случая вариабельности, (а), (б) и (в), а с другой стороны, всего два исхода теста хи-квадрат, H0 и H1, то результат легко соотнести с одним из случаев (а)–(в).
Таблица 1. Средние величины M и стандартное отклонение SD пластических признаков сеголетков окуня в четырех точках, значения t-теста, полученные при сравнении совокупностей величин признаков и их индексов
Параметры | M (см) ± SD (см) | t-тест, значения | |||
точка 1 | точка 2 | признаки | индексы | ||
Группа (а) | od | 6.22 ± 0.46 | 6.17 ± 0.36 | — | — |
np | 0.37 ± 0.03 | 0.38 ± 0.04 | –0.89 | –0.98 | |
po | 0.88 ± 0.07 | 0.83 ± 0.06 | 3.74* | 2.51* | |
ao | 1.78 ± 0.08 | 1.78 ± 0.10 | 0.54 | –0.21 | |
lm | 1.10 ± 0.09 | 1.12 ± 0.09 | –1.13 | –1.13 | |
gh | 1.54 ± 0.08 | 1.53 ± 0.09 | 0.87 | 0.02 | |
ik | 0.46 ± 0.03 | 0.48 ± 0.03 | –3.15* | –2.11 | |
aq | 2.01 ± 0.11 | 1.96 ± 0.12 | 1.33 | 0.26 | |
az | 2.32 ± 0.11 | 2.36 ± 0.08 | –2.21 | –1.37 | |
fd | 0.95 ± 0.04 | 0.95 ± 0.09 | 0.15 | 0.12 | |
Группа (б) | точка 1 | точка 3 | признаки | индексы | |
od | 6.22 ± 0.46 | 6.14 ± 0.41 | — | — | |
np | 0.37 ± 0.03 | 0.36 ± 0.03 | 2.10 | 1.82 | |
po | 0.88 ± 0.07 | 0.81 ± 0.05 | 5.74* | 4.52* | |
ao | 1.78 ± 0.08 | 1.72 ± 0.07 | 3.62* | 2.12 | |
lm | 1.10 ± 0.09 | 1.07 ± 0.09 | 1.82 | 1.41 | |
gh | 1.54 ± 0.08 | 1.49 ± 0.10 | 3.05* | 1.41 | |
ik | 0.46 ± 0.03 | 0.46 ± 0.10 | 0.36 | 0.49 | |
aq | 2.01 ± 0.11 | 1.94 ± 0.10 | 3.59* | 1.03 | |
az | 2.32 ± 0.11 | 2.25 ± 0.07 | 3.53* | 0.75 | |
fd | 0.95 ± 0.04 | 0.93 ± 0.05 | 2.60* | 0.49 | |
Группа (в) | точка 1 | точка 4 | признаки | индексы | |
od | 6.22 ± 0.46 | 6.07 ± 0.35 | — | — | |
np | 0.37 ± 0.03 | 0.33 ± 0.03 | 7.05* | 6.18* | |
po | 0.88 ± 0.07 | 0.84 ± 0.06 | 3.06* | 1.77 | |
ao | 1.78 ± 0.08 | 1.67 ± 0.08 | 7.12* | 3.62* | |
lm | 1.10 ± 0.09 | 1.01 ± 0.09 | 5.22* | 3.88* | |
gh | 1.54 ± 0.08 | 1.44 ± 0.06 | 7.27* | 3.59* | |
ik | 0.46 ± 0.03 | 0.45 ± 0.08 | 0.84 | 0.46 | |
aq | 2.01 ± 0.11 | 1.83 ± 0.12 | 7.93* | 4.99* | |
az | 2.32 ± 0.11 | 2.11 ± 0.09 | 10.38* | 5.22* | |
fd | 0.95 ± 0.04 | 0.87 ± 0.03 | 10.65* | 5.11* | |
Примечание: od – длина туловища, nр – горизонтальный диаметр глаза, ро – заглазничный отдел головы, ао – длина головы, lm – высота головы у затылка, gh – наибольшая высота тела, ik – наименьшая высота тела, aq – антедорсальное расстояние, аz – антевентральное расстояние, fd – длина хвостового стебля.
* – значимые различия средних величин по t-тесту при p < 0.05 (H1).
Для выборок из точек (1) и (2) гипотеза H0 об отсутствии значимых различий принимается для 7 из 9 вариант из колонки “признаки” и для 8 из 9 вариант из колонки “индексы”. Тогда доли вариант H0 в первой и второй группах составят и соответственно. Если до и после стандартизации значимых различий нет, то доли и должны быть случайным образом отклонены от соотношения 50% : 50%. Оценим значение хи-квадрат:
. (13)
Величина 0.16 меньше порогового значения ~3.84 для одной степени свободы при уровне значимости 0.05, что говорит об отсутствии значимых различий в долях H0 до и после стандартизации. Данный вариант относится к случаю (а) табл. 1.
Для выборок (1)–(3) сравним доли вариант H1. В колонке “признаки” количество вариант составляет 6 из 9, или ; и 1 из 9 – в колонке “индексы”, или . После перехода к долям и оцениваем величину :
, (14)
которая существенно больше ~3.84. Следовательно, имеются достоверно значимые различия между количеством вариант H1 до и после стандартизации, что указывает на исчезновение изменчивости при переходе к индексам. Данный вариант принадлежит случаю (б) табл. 1. Наконец, сравнение выборок (1)–(4) по H1 дает величину , равную ~0.36 < ~3.84 и указывающую на отсутствие значимых различий между долями вариант в выборках (1) и (4), что свидетельствует о сохранении различий до и после стандартизации. Данный вариант соответствует случаю (в) табл. 1.
Разумное ограничение количества сравниваемых морфометрических параметров необходимо для достоверности оценки динамики общей изменчивости. Если количество признаков с низкой вариабельностью будет достаточно большим, их суммарный вклад способен “перевесить” значимую вариабельность остальных параметров. В этом случае статистический тест может показать в целом отсутствие значимых различий между группами несмотря на то, что по ряду ключевых признаков различия сохраняются.
В основном, текущий анализ преследует своей целью иллюстрацию общих принципов работы модели, описывающей различные варианты динамики изменчивости средних значений пластических признаков и их индексов. Выявление конкретных параметров в естественной среде не проводилось, результаты интерпретированы с учетом общих представлений об экологии рыб.
Выборки (1)–(2). Отсутствие статистически значимых различий до и после стандартизации не противоречит гипотезе о принадлежности выборок к одной генеральной совокупности (локальной популяции). Обе выборки взяты предположительно из одного биотопа, что определило схожесть времени вылупления, начальной длины молоди и скорости роста (Никольский, 1974; Дгебуадзе, 2001).
Выборки (1)–(3). Значимые различия между средними значениями пластических признаков не сохраняются при переходе к сравнению их индексов, что свидетельствует о различиях, вызванных сдвигами по временной и/или размерной шкале. Подобные сдвиги могут быть связаны с небольшими различиями величин факторов среды, определивших в данных биотопах разницу во времени вылупления и/или в размере ооцитов, однако не затронувших темпы роста (Никольский, 1974; Дгебуадзе, 2001). Случай принадлежит графикам (а–г) рис. 3; в силу нехватки эмпирических данных конкретный вариант указать нельзя.
Выборки (1)–(4). Статистически значимые различия у сеголетков из двух водоемов сохраняются как между величинами пластических признаков, так и между их индексами, что, помимо возможных различий в начальной длине и времени вылупления, указывает на различия в темпах роста. Здесь можно допустить прямую связь между скоростью роста и существенными различиями в величинах параметров среды разных водоемов, оказавших влияние на рост молоди как непосредственно, так и через переуплотнение, кормность и, возможно, плотность хищника в соответствии с концепцией о “триотрофе” (Никольский, 1974; Дгебуадзе, 2001). Если допустить, что в водоеме меньшего объема (р. Неклюдовка) из-за переуплотнения и более бедной кормовой базы средний размер производителей меньше – что определит и меньшую начальную длину окуня, – то данный случай соответствует одному из вариантов на графиках (ж) или (и) рис. 3.
Обобщая, можно отметить, что статистически значимые различия в средних величинах морфометрических параметров могут быть у групп одного вида, обитающих как в одном водоеме, так и в разных водоемах одной климатической зоны, и тем более в водоемах разных климатических зон (Никольский, 1974; Дгебуадзе, 2001). Биотопы даже одного водоема различаются по ряду величин параметров среды, из которых – без учета загрязнения – ключевую роль играют кормность, температура воды и концентрация растворенного кислорода (Баранов, 1971; Никольский, 1974; Бигон и др., 1989; Дгебуадзе, 2001). Для разных водоемов различия будут усугубляться как в силу пространственной неоднородности, так и по мере приближения к границам ареала (Одум, 1986; Бигон и др., 1989). Начальный размер признака (), время вылупления () и скорость роста () тесно коррелируют друг с другом и задаются совокупно параметрами среды и физиологическим состоянием производителей (Никольский, 1974; Мина, Клевезаль, 1976; Weatherley, 1990; Gashkina, 2017). Начальная длина при вылуплении связана с качеством гонад, определяемым физиологическим состоянием самки – соответственно, ее возрастом, временем достижения половой зрелости, повторностью нереста, обеспеченностью пищей, составом корма, плотностью популяции и т.д. (Никольский, 1974). Время вылупления обусловливается преимущественно абиотическими параметрами среды, среди которых ключевую роль играет температура и связанный с ней параметр “градусо-дни” (Иванова, Свирская, 2005; Кузищин и др., 2008; Мякишев и др., 2019). Наконец, рост рыбы опосредуется как биотическими, так и абиотическими факторами; к первым можно отнести качество и доступность корма и пресс хищничества, ко вторым относятся температура, кислотность, концентрация кислорода, гидрологический режим, наличие загрязнения, степень эвтрофикации и т.д. (Дгебуадзе, 2001). С учетом того, что соматический рост тесно коррелирует с качеством половых продуктов, он напрямую определяет и начальную длину при вылуплении.
Различия в средних значениях величин пластических признаков и длин у групп I и II в момент взятия проб достоверно свидетельствуют о наличии хотя бы одной из трех причин, вызвавших эти различия; однако сходство средних значений и в выборках в ряде случае не гарантирует отсутствия значимых различий в начальной длине , времени вылупления и/или скорости роста . Как видно из графиков (е), (з), (л) и (н) рис. 3, кривые динамики величин A и L в определенный момент времени имеют тенденцию пересечься, что определит равенство и при том, что величины по крайней мере двух из трех факторов, , или Gr, значимо различаются. Регистрация таких случаев, тем не менее, должна носить эпизодический характер в силу интенсивного роста молоди и, следовательно, достаточно быстрого “прохождения” величин A и L через точки совпадения средних значений.
Анализ результатов статистического сравнения пластических признаков у рыб старших возрастных групп требует отдельного рассмотрения, однако из общих соображений очевидно, что результат будет проще интерпретировать, когда сравниваются группировки одного возраста. Если линейный рост описывается, например, функцией Берталанфи (Бивертон, Холт, 1969; Почтарь, 2020; Куцын, 2021), то у рыб даже из смежных возрастных классов, принадлежащих изначально к одной совокупности, темпы роста будут разными вследствие асимптотического роста. Статистически значимые различия в случае сравнения двух разновозрастных групп, таким образом, могут быть вызваны как объективной разницей в скорости роста, то есть разными величинами коэффициента роста k у двух групп, так и общей тенденцией к снижению темпов роста у рыб из старшей возрастной группы при равенстве k у двух групп. И в том, и в другом случае значимые различия сохранятся и до, и после стандартизации, но выделить конкретный случай будет достаточно сложно. Результат становится еще более неопределенным, если анализируются “смеси” различных возрастных классов.
Как известно, при изучении относительного роста частей тела рыб часто применяется формула простой аллометрии:
, (15)
где M и D – соответственно масса тела, коррелирующая с длиной тела L, и масса части тела, коррелирующая с величиной пластического признака A, а a и b – коэффициенты, где b определяет степень “кривизны” графика аллометрической зависимости (Мина, Клевезаль, 1976; Мустаев и др., 2020). При переходе к пластическим признакам формула (15) запишется в виде:
, (16)
где и – коэффициенты ( и ), причем величина часто близка к 1, что приближает функцию (16) к линейной. Функция (16), очевидно, отлична от используемой в модели линейной зависимости для описания аллометрии. Принципиальное различие данных подходов в том, что в случае (16) признак A является функцией длины L, тогда как в естественной среде величины A и L в любой момент времени являются прежде всего функциями начальных размеров и скорости роста, а также (косвенно) функциями параметров среды, влияющих на начальный размер и рост. Параметризация этих характеристик позволит выявлять особенности динамики A и L в природных популяциях, в частности через статистическое сравнение средних значений, и делать необходимые прогнозы.
ЗАКЛЮЧЕНИЕ
Предложенный подход будет полезен в любых направлениях биологических исследований, где для выявления межгрупповой изменчивости используются биометрические методы. Отталкиваясь от сохранения или исчезновения статистически значимых различий при переходе от сравнения величин признаков к их индексам, можно глубже судить о факторах, определивших данные различия, поскольку результаты статистического анализа до и после стандартизации могут быть интерпретированы более объемно, нежели в случае сравнения только величин индексов или, наоборот, только величин пластических признаков.
ФИНАНСИРОВАНИЕ
Финансовая поддержка отсутствует.
КОНФЛИКТ ИНТЕРЕСОВ
Автор заявляет об отсутствии конфликтов интересов.
СОБЛЮДЕНИЕ ЭТИЧЕСКИХ СТАНДАРТОВ
Все применимые международные, национальные и/или институциональные принципы ухода и использования животных были соблюдены. Исследование было проведено в соответствии с руководящими принципами ARRIVE arriveguidelines.org.
Sobre autores
F. Lobyrev
Lomonosov Moscow State University
Autor responsável pela correspondência
Email: lobyrev@mail.ru
Rússia, Moscow
Bibliografia
- Авастхи М., Кашьяп А., Сераджуддин М. Зависимости между длиной и массой тела, а также коэффициенты упитанности в пяти субпопуляциях лялиуса Trichogaster lalius (Osphronemidae) Центрального и Восточного регионов Индии // Вопр. ихтиол. 2015. Т. 55 (6). С. 676. https://doi.org/10.7868/S004287521506003X
- Баранов Ф.И. Избранные труды: Теория рыболовства. М.: Пищ. пром-cть, 1971. Т. 3. 303 с.
- Бивертон Р., Холт С. Динамика численности промысловых рыб. М.: Пищ. пром-cть, 1969. 248 с.
- Бигон М., Харпер Д., Таунсенд К. Экология. Особи, популяции, сообщества. В 2-х т. М.: Мир, 1989; Т. 1. 667 с. Т. 2. 478 с.
- Дгебуадзе Ю. Ю. Экологические закономерности изменчивости роста рыб. М.: Наука, 2001. 279 с.
- Есин Е.В. Ручьевая мальма Salvelinus malma полуострова Камчатка // Вопр. ихтиол. 2015. Т. 55 (2). С. 180–195. https://doi.org/10.7868/S0042875215020083
- Иванова М.Н., Свирская А.Н. Рост мелких и крупных сеголеток щуки Esox lucius в последующие годы жизни в мелководных прудах // Вопр. ихтиол. 2005. Т. 45 (3). С. 380–388.
- Кузищин К.В., Мальцев А.Ю., Груздева М.А. и др. Размножение микижи Parasalmo mykiss в реке Коль (Западная Камчатка) и факторы среды, его определяющие // Вопр. ихтиол. 2008. Т. 48 (1). С. 50–61.
- Куцын Д.Н. Жизненный цикл ставриды Trachurus mediterraneus (Carangidae) Крыма (Черное море) // Вопр. ихтиол. 2021. Т. 61 (2). С. 143–152. https://doi.org/10.31857/S0042875221020144
- Мальцев А.В., Меркулов Я.Г. Биометрический метод определения пола осетровых, в частности – русского осетра Scopemeter gueldenstaedtii (Acipenseridae) Азовской популяции // Вопр. ихтиол. 2006. Т. 46 (4). С. 536–540.
- Мина Г.А., Клевезаль Г.А. Рост животных. М.: Наука, 1976. 292 с.
- Молчанова К.А., Хрусталев Е.И. Определение морфометрических показателей радужной форели, выращиваемой в разнотипных рыбоводных хозяйствах // Изв. КГТУ. 2017. Вып. 44. С. 38–45.
- Мустаев С.Б., Панов В.П., Сафонов А.В. и др. Рост соматических структур двухлеток карпа (Cyprinus Carpio L.) при использовании двух видов кормов // Изв. Тимирязевской с.-х. акад. 2020. Вып. 6. С. 49–61. https://doi.org/10.26897/0021-342X-2020-6-49-61
- Мякишев М.С., Иванова М.А., Киселев В.А., Зеленников О.В. Экспериментальный анализ современного состояния воспроизводства симы Oncorhynchus masou на рыбоводных заводах Сахалинской области // Изв. ТИНРО. 2019. Т. 198. С. 195–208. https://doi.org/10.26428/1606-9919-2019-198-195-208
- Никольский Г.В. Теория динамики стада рыб. М.: Пищ. пром-сть, 1974. 448 с.
- Одум Ю. Экология. М.: Мир, 1986. Т. 2. 376 с.
- Островская Е.В., Касаткина А.П. Морфобиологическая характеристика и видовой статус вьюна рода Misgurnus Пади Большой (среднее течение р. Амур) // Изв. ТИНРО. 2021. Т. 201 (1). С. 124–137. https://doi.org/10.26428/1606-9919-2021-201-124-137
- Почтарь М.В. Особенности роста морских окуней рода Sebastes на банке Флемиш-Кап // Вопр. ихтиол. 2020. Т. 60 (1). С. 63–73. https://doi.org/10.31857/S0042875220010129
- Правдин И.Ф. Руководство по изучению рыб. М.: Пищ. пром-сть, 1966. 376 с.
- Романов В.И., Петлина А.П., Шаропина И.Б. Методы исследования пресноводных рыб Сибири: учебное пособие. Томск: Изд-во Томского ун-та, 2009. 220 с.
- Семенченко А.А. Особенности биологии амурского хариуса Thymallus arcticus grubii Dybowski реки Самарга // Чтения памяти В.Я. Леванидова. 2005. Вып. 3. С. 519–526.
- Симонов В.М. Виноградов Е.В. Зависимость морфологических особенностей карпа Cyprinus carpio (L.) от его устойчивости к воздействию неблагоприятных условий среды // Вестн. рыбохоз. науки. 2019. Т. 6. Вып. 1 (21). С. 16–26.
- Строганов А.Н., Малютина А.М., Зуйкова Н.В., Жукова К.А. Краткая морфобиологическая характеристика трески Gadus macrocephalus (Gadidae) прибрежных вод Командорских островов // Вопр. ихтиол. 2017. Т. 57 (4). С. 485–489. https://doi.org/10.7868/S004287521704018X
- Терентьев П.М. Березина Н.А. Эколого-морфологические характеристики и особенности питания окуня (Percа fluviatilus) в осенне-зимний период в дистрофном и олиготрофном озерах Северной Карелии (Россия) // Биол. внутр. вод. 2022. Вып. 6. С. 818–832. https://doi.org/10.31857/S0320965222060183
- Черноиванова Л.А. Рост молоди сельди Clupea pallasii залива Петра Великого (Японское море) // Вопр. ихтиол. 2017. Т. 57 (3). С. 282–289. https://doi.org/10.7868/S004287521702005
- Чудновская Г.В., Саловаров В.О., Демидович А.П. Биометрия в ихтиологии: учебное пособие. Иркутск: Изд-во Иркутского ГАУ, 2018. 156 с.
- Bernard D.R. Multivariate analysis as a means of comparing growth in fish // Can. J. Fish. Aquat. Sci. 1981. V. 38 (2). P. 233–236. https://doi.org/10.1139/f81-030
- Bouchard C., Fortier L. Circum-arctic comparison of the hatching season of polar cod Boreogadus saida: a test of the freshwater winter refuge hypothesis // Prog. Oceanogr. 2011. V. 90. P. 105–116. https://doi.org/10.1016/j.pocean.2011.02.008
- Fortier L., Sirois P., Michaud J., Barber D. Survival of Arctic cod larvae (Boreogadus saida) in relation to sea ice and temperature in the Northeast Water Polynya (Greenland Sea) // Can. J. Fish. Aquat. Sci. 2006. V. 63 (7). P. 1608–1616. https://doi.org/10.1139/f06-064
- Gashkina N.A. Essential elements in the organs and tissues of fish depending on the freshwater toxicity and physiological state // Geochem. Int. 2017. V. 55 (10). P. 927–934. https://doi.org/10.1134/S0016702917100056
- Lugert V., Thaller G., Tetens J. et al. A review on fish growth calculation: multiple functions in fish production and their specific application // Rev. Aquac. 2014. V. 6. P. 1–13. https://doi.org/10.1111/raq.12071
- Olden D.D., Jackson D.A. A comparison of statistical approaches for modelling fish species distributions // Freshw. Biol. 2002. V. 47 (10). P. 1976–1995. https://doi.org/10.1046/j.1365-2427.2002.00945.x
- Renzo P., Loreto M., Aurelio O., Germán E.M. Descriptive morphology and allometric growth of the larval development of Sarda chiliensis chiliensis (Cuvier, 1832) in a hatchery in northern Chile // Aquac. Rep. 2021. V. 19. https://doi.org/10.1016/j.aqrep.2020.100576
- Rice W.R. Analyzing tables of statistical tests // Evolution. 1989. V. 43. P. 223–225. https://doi.org/10.2307/2409177
- Sigourney D.B., Lecter B.H., Obedzinski M., Cunjak R.A. Size-independent growth in fishes: patterns, models and metrics // J. Fish Biol. 2008. V. 72 (10). P. 2435–2455. https://doi.org/10.1111/j.1095-8649.2008.01830.x
- Thorarensen H., Kubiriza G., Imsland A. Experimental design and statistical analyses of fish growth studies // Aquac. 2015. V. 448. P. 483–490. https://doi.org/10.1016/j.aquaculture.2015.05.018
- Vestfals C.D., Mueter F.J., Duffy-Anderson J.T. et al. Spatio-temporal distribution of polar cod (Boreogadus saida) and saffron cod (Eleginus gracilis) early life stages in the Pacific Arctic // Polar. Biol. 2019. V. 42. P. 969–990. https://doi.org/10.1007/s00300-019-02494-4
- Weatherley A.H. Approaches to understanding fish growth // Trans. Am. 1990. V. 119 (4). P. 662–672. https://doi.org/10.1577/1548-8659(1990)119<0662:ATUFG>2.3.CO;2
Arquivos suplementares






