Микроскопический учет общего количества бактерий и метаболически активных бактерий в почвенных образцах: соотношение и осцилляционная динамика численности
- Авторы: Семенов А.М.1, Шаталов А.А.2, Семенова Е.В.1
-
Учреждения:
- Московский государственный университет имени М.В. Ломоносова
- Groundwork BioAG
- Выпуск: Том 144, № 1 (2024)
- Страницы: 111-134
- Раздел: Статьи
- Статья получена: 13.08.2024
- Статья одобрена: 13.08.2024
- Статья опубликована: 13.08.2024
- URL: https://journal-vniispk.ru/0042-1324/article/view/261714
- DOI: https://doi.org/10.31857/S0042132424010085
- EDN: https://elibrary.ru/RXAABU
- ID: 261714
Цитировать
Полный текст
Аннотация
Представлены экспериментальные результаты ежедневного учета под микроскопом в течение 30 сут прокариотических клеток в препаратах из почвенных образцов при окрашивании их разными специфичными красителями и литературные результаты о ежедневном учете бактерий в почве разными методами. Красителем FITC, который окрашивает все множество бактериальных клеток, выявлена волнообразная динамика численности клеток с разным количеством осцилляций в виде пиков во всех экспериментах. С использованием красителя SFDA, который выявляет только живые, метаболически активные клетки, также выявлена волнообразная динамика, однако их осциллирующая численность была значительно меньше. Достоверность осцилляций и различия в численности клеток при использовании разных красителей подтверждены статистически гармоническим анализом. Волнообразная динамика живых, метаболически активных, клеток является следствием циклов роста и отмирания клеток бактерий и краткосрочной трофической сукцессией в микробном сообществе. Внешние нарушающие воздействия не влияли на проявление волнообразной динамики численности как в популяции живых, так и общего количества клеток. Явление волнообразной динамики неживых клеток бактерий и их численного превосходства объяснено тем, что клетки, теряя жизнеспособность, лизируются и дезинтегрируются не сразу после отмирания, а с некоторой задержкой во времени. Это приводит к накоплению и перманентному превосходству пула мертвых клеток при микроскопическом подсчете общего количества бактерий в почве и объясняет расхождение численности бактерий при разных методах подсчета. Представленный экспериментальный и литературный материал послужит для микробиологов и биотехнологов обоснованием необходимости контроля динамики численности интродуцируемых популяций и сообществ микроорганизмов в природную среду, а также источником знаний для успешного управления природными микробными сообществами.
Ключевые слова
Полный текст
ВВЕДЕНИЕ
Со времен С.Н. Виноградского, предложившего учет клеток бактерий в почвенных образцах под микроскопом на препаратах, окрашенных эритрозином, сформировалось устойчивое мнение, что в природе, особенно в почве, содержится огромное количество, до 2 × 109 и более, бактериальных клеток (Виноградский, 1952). Эти открытия С. Н. Виноградского и его предложения использовать элективные среды и условия были направлены на наиболее полное выделение микроорганизмов из природных источников и выявление микроорганизмов с неизвестным ранее метаболизмом, микроорганизмов со специфическими свойствами и функциями, что стимулировало дальнейший поиск сред и условий культивирования. Однако значительное численное превышение бактериальных клеток, обнаруживаемых в почвенных образцах при учете под светлопольным, а потом люминесцентным и электронным микроскопами, над численностью при учете посевом оставалось по многим причинам не объясненным или не убедительным (Сомова и др., 2020; Trolldenier, 1972; Stevens, 1995; van Bruggen, Semenov, 2001).
Метод выявления и учета жизнеспособных форм микроорганизмов высевом на соответствующие среды считается среди микробиологов самым надежным, но при этом имеются ссылки на публикацию Стейли, одного из редакторов наиболее полного определителя бактерий Берджи, где говорится, что на традиционно используемых средах вырастает не более 1% от количества клеток бактерий (Staley, Kanopka, 1985; Holt et al., 1994).
Попытка решить проблему несоответствия имеющихся результатов о численности и биоразнообразии бактерий в природных субстратах, неясности об их состоянии (все живые или часть), желание найти корреляции численности и активности микроорганизмов в природных средах стимулировали специалистов к использованию разных подходов. Проводился поиск универсального метода, маркера, который бы позволял выявлять и идентифицировать все микроразнообразие (Blagodatskaya, Kuzyakov, 2013). Таким маркером был избран генетический материал микроорганизмов, были предложены молекулярно-биологические методы (МБМ) определения биоразнообразия, таксономии и даже активности микроорганизмов. Одновременно с этим, успехи в познании биохимии клетки бактерий и успехи в химическом синтезе веществ создали возможность такого воздействия на бактериальную клетку, которое позволяло определять активность клеток бактерий, не выделяя их из среды обитания — почвы, воды и др. Были разработаны методы дифференцированного окрашивания клеток бактерий с определением жизнеспособности всего множества прокариот при минимальном воздействии на них. Такие методы в отличие от МБМ не требуют разрушения клеток микроорганизмов и основываются на использовании всей их организменной структуры (Юршенас, Каширская, 2022; Haugland, 1996).
Здесь необходимо сделать несколько очень важных заметок. Первое, как учил выдающийся теоретик и удачливый “охотник за микробами”, академик Г. А. Заварзин — только в том случае процесс значим и заметен, если микроорганизмов его осуществляющих — много и они активны (Семенов, Джукич, 2019; Semenov, Đukić, 2020). Второе, как уже было отмечено ранее для выявления и учета жизнеспособных форм микроорганизмов, — самый надежный метод — высев на соответствующие среды. Третье, все технологические процессы, известные на конец первой четверти XXI в., в которых используют микроорганизмы, основаны на их культивируемых формах. Четвертое, все известные опасные (для человека и животных) патогенные микроорганизмы культивируемы и поддерживаются в коллекциях. Пятое, в природных субстратах, образцы которых используются для выявления микроорганизмов, определения их численности и разнообразия, популяции находятся в стадии поздней стационарной фазы роста (Semenov et al., 2022). В этой фазе клетки большинства популяций существуют в состоянии голодания и переживания (Эль-Регистан и др., 2022). Нахождение и тем более обнаружение в природной среде популяции клеток бактерий в стадии экспоненты — явление очень краткосрочное и редкое, а поэтому трудно фиксируемое (Звягинцев, 1987). При появлении субстрата клетки могут возвратиться из “стадии голодания” в активное состояние или не возвратиться и, перейдя в “отмершее царство”, пополнить органическое вещество почвы, почвенной экосистемы (Семенов, Когут, 2015). Таким образом, многогранная научно-практическая проблема определения количества бактерий в природных средах и соотношения активных, живых и мертвых клеток, обнаруживаемых в природных субстратах микроскопическим учетом по сравнению с количеством клеток бактерий, вырастающих на лабораторных средах, а также несоответствие их функционального и таксономического биоразнообразия данным, получаемым прогностическими методами, то есть, молекулярно-биологическими, продолжает нуждаться в решении.
Задача выявления и учета клеток микроорганизмов с отличием живых клеток от мертвых в природной среде особенно in situ не праздная (Blagodatskaya, Kuzyakov, 2013). Выявление живых, метаболически активных клеток (МАК) важно для успешного применения биопрепаратов в экосистемах для разных общественно полезных целей. Важно знать, сколько в экосистему интродуцировано жизнеспособных МАК и сколько в почве уже содержится живых и метаболически активных клеток аборигенной микробиоты, которые составят конкуренцию интродуцируемой популяции (Лимарь и др., 1984). Знания о количестве МАК важны и для определения рисков распространения патогенных микроорганизмов, которые составляют часть микробного сообщества (МС) в экосистемном цикле микроорганизмов (Куприянов и др., 2010).
Однако определение численности бактериальных клеток в почвенной экосистеме осложняется тем, что их количественная динамика существенно осциллирует не только в пространстве (от образца к образцу), но самое главное — в каждом образце во времени (Семенов и др., 2013, 2022; Semenov et al., 1999; Zelenev et al., 2005b; van Bruggen et al., 2017). Разовое (единичное) определение численности бактериальных клеток в образце почвы приводит к колоссальным (миллионным и более) ошибкам в оценках численности и, как следствие, к принятию ошибочных решений. Следовательно, нужно иметь представления о динамических изменениях численности не столько общего количества клеток, а именно количества живых клеток в почвенной экосистеме.
Для этого разработаны дифференцирующие красители, которые окрашивают не все клетки, как было у С.Н. Виноградского, а только метаболически активные, считающиеся живыми и выявляемыми люминесцентной микроскопией (Haugland, 1996). Довольно современным и распространенным красителем, позволяющим выявить и учесть общее количество клеток, является краситель FITC (fluorescein-5-isothiocyanate). Метод учета бактерий с использованием FITC, описанный в 1970 г., используют до сих пор практически без изменений (Babiuk, Paul, 1970). Дальнейшее усовершенствование и разработка флуоресцентных красителей и углубление знаний о структуре бактериальной клетки, ее мембран и энергетики, привело к тому, что современные красители позволяют проводить дифференцирование, окрашивать или все клетки, как это достигается с помощью FITC, или только метаболически активные, живые — с помощью флуоресцентного красителя FDA (fluorescein diacetate) и SFDA (5-sulfofluorescein diacetate) (Lundgren, 1981; Tsuji et al., 1995).
Следующим шагом в усовершенствовании методов окраски микроорганизмов, позволяющим дифференцировать живые и мертвые клетки в одном препарате, является комплексный витальный краситель Live/Dead kit (Life Technologies, США) (Haugland, 1996). Этот метод, с одной стороны, способствует ускорению процедуры подсчета, но с другой, из-за довольно быстрого обесцвечивания красителей в препарате, и/или если у “оператора” есть проблемы с различением цветов, как показал опыт авторов, при использовании этого метода возникают ощутимые проблемы (Семенов, Шаталов, 2003; Ushakova et al., 2012).
Цель настоящей работы — показать на собственных результатах и литературных данных, что волнообразная динамика изменения количества бактерий в почве — не следствие внешних воздействий, а объектовое явление, происходящее в соответствии с третьим законом экологии существования микробных популяций, предложить объяснение факта волнообразного изменения в почве не только количества живых бактерий, но и мертвых, численно значительно превышающих живые, и продемонстрировать, что количество клеток, выявляемое при тотальном микроскопическом учете, значительно превышающее количество, учитываемое в виде КОЕ, — следствие того, что большинство клеток бактерий при тотальном микроскопическом учете являются просто не жизнеспособными.
МАТЕРИАЛЫ И МЕТОДЫ
Постановка и проведение экспериментов
Почву отбирали в Ботаническом саду МГУ им. М.В. Ломоносова вблизи растения облепихи (Hippophae rhamnoides L.). Образец гумусово-аккумулятивного горизонта почвы отбирали с глубины 0–10 см. Удаляли корни, камешки, почвенных животных, просеивали через сито с размером пор 2 мм. Почву для первого эксперимента отбирали в июне. Ее влажность сразу после отбора составляла около 20%. Для второго и третьего экспериментов почву отбирали в сентябре того же года в том же месте. Влажность отобранной почвы составляла 22%. Первый и второй эксперименты с воздействием на почву и последующем учете бактерий в образцах были проведены сразу после отбора почвы. Третий эксперимент проведен в январе следующего года, то есть после нескольких месяцев хранения почвы. Почву хранили в полиэтиленовом пакете при 4°С. После хранения влажность почвы равнялась 21%. Непосредственно перед учетом почву делили на две части по 0.5 кг и определяли исходную влажность. Для определения влажности навески почвы высушивали при 105 градусах в течение 5 ч. Влажность рассчитывали по формуле: m = (a − b)/(a − c), где а — вес влажной почвы и тары; b — вес высушенной почвы и тары; с — вес тары. Далее одна часть почвы использовалась как контроль, а вторая часть подвергалась подсушиванию. В первом эксперименте почва подсушивалась при 45°С в течение суток. Во втором и третьем экспериментах почву подсушивали в течение того же времени, но при 70°С. Цель подсушивания двойственная — уничтожение возможных простейших и нематод, чтобы исключить их возможное воздействие на численность почвенных микроорганизмов выеданием последних и проверка предположения о том, что внешние нарушающие воздействия не являются причиной осциллирующей динамики численности и функциональной активности микроорганизмов в природных субстратах, а высушивание, возникающее при прогревании и последующее увлажнение, и есть природное воздействие. Для подсушивания почву рассыпали тонким слоем ~ 0.5–1.0 см в сушильном шкафу. После высушивания почвы определяли ее влажность и восстанавливали влажность до исходного состояния дистиллированной водой, стерилизованной фильтрацией. После увлажнения почву обоих вариантов быстро расфасовывали в 90 пробирок для каждого варианта, по 5 г/пробирку и закрывали каждую пробирку пищевой пленкой для предотвращения высыхания. Пробирки инкубировали при 25°C в течение времени эксперимента.
Приготовление, окрашивание препаратов и учет клеток
Использовали красители FITC (fluorescein-5-isothiocyanate) (Babiuk, Paul, 1970) и SFDA (5-(and 6-)sulfofluorescein diacetate) (Tsuji et al., 1995). Принцип действия используемых красителей следующий. Краситель FITC реагирует с белками клеток как с поверхностными, так и с внутриклеточными. Краситель SFDA проникает в клетки бактерий пассивной диффузией. Нефлуоресцирующий SFDA при действии внутриклеточных эстераз превращается во флуоресцирующий продукт — FSA (fluorescein-5-(6-)sulfonic acid), накапливающийся в цитоплазме. В мертвых клетках не происходит аккумуляции красителя, даже если эстеразы активны и продолжают работать, так как в мертвых клетках происходит деградация мембран и флуоресцирующий краситель легко выходит (вымывается) из клетки. При использовании SFDA более 98% живых клеток оказываются окрашенными, что позволяет с большой точностью различить мертвые и живые микроорганизмы. Более того, степень флуоресценции у SFDA в 3 раза выше, чем у FDA (Tsuji et al., 1995).
Ежедневно отбирали по 3 пробирки из контрольного и опытного вариантов методом случайной выборки. В почве из каждой пробирки определяли влажность. Готовили препараты для люминесцентной микроскопии. Для этого почвенные суспензии подвергали ультразвуковой обработке по Д.Г. Звягинцеву (Звягинцев, 1987). Почвенную суспензию готовили на водопроводной воде, стерилизованной фильтрацией, используя разведение до 10–4 для тотального подсчета клеток при окрашивании флуоресцентным красителем FITC и до 10–3 для учета живых клеток с использованием флуоресцентного красителя SFDA. Учитывали общее количество клеток бактерий после окрашивания почвенной суспензии FITC (Babiuk, Paul, 1970) и количество живых МАК после окрашивания с помощью SFDA (Tsuji et al., 1995).
Учет бактерий проводили с использованием люминесцентного микроскопа “Микмед 2” Люмам РПО-11 (оао “ЛОМО” Санкт-Петербург, Россия) при длине возбуждающего света 480 нм, объектив х100, окуляр х10. Учет общего количества клеток бактерий в образцах почвы проводили в 20 полях зрения. Расчет количества клеток (М) в почве производился по формуле:
М = (((S/s × N/n) × D)/V)/(1 − m/100),
где M — количество клеток на 1 г сухой почвы; S — площадь фильтра, мкм2; s — площадь поля зрения микроскопа, мкм2; (S/s — все количество полей зрения для данного фильтра); N — количество клеток на данном фильтре; n — количество полей зрения; (N/n — среднее количество клеток в одном поле зрения); D — разведение, использованное для учета клеток; V — объем фильтруемого образца, мл (если использовали объем не равный 1 мл); m — влажность почвы в процентах.
Определение водорастворимого органического вещества в почве
В третьем эксперименте в почве кроме учета общего количества и количества живых клеток проводили ежедневное определение растворимого органического вещества (РОВ). Концентрацию РОВ определяли бихроматным методом (Семенов и др., 2013).
Статистическая обработка результатов
За время проведения трех экспериментов произведен учет бактерий на 1080 фильтрах и просчитано 21600 полей зрения. Статистическая обработка результатов проведена аналогично сделанному и изложенному в публикации с участием одного из авторов (Zelenev et al., 2005b). На графиках представлено среднее значение со стандартным отклонением на рассчитанное в программе Excel.
Для подтверждения достоверности осцилляций в полученных экспериментальных данных был применен статистический гармонический Фурье-анализ (Смирнов, 1974; Горбенко, Крышев, 1985). Такой анализ используют для выявления периодичности в динамических процессах, и, в частности, он позволяет выявить периодичность в динамике роста микробных популяций. Более подробно суть такого анализа описана в предыдущей публикации авторов (Семенов и др., 2022).
РЕЗУЛЬТАТЫ
Было проведено несколько последовательных экспериментов с ежедневым учетом численности клеток бактерий в препаратах, приготовленных из образцов почв, отобранных из одного локуса, но в разные климатические сезоны. Это было проделано сознательно для исключения возможных объяснений полученных результатов следствием влияния таких природных факторов как температура, влажность, солнечная радиация и др. (Семенов, 2005; Семенов и др., 2013; van Bruggen, et al., 2006).
Учет общей численности бактерий в почвенных образцах под люминесцентным микроскопом, окрашенных красителем FITC
Обнаружено, что численность бактерий при ежедневном учете характеризуется значительным варьированием. При этом как возрастание численности, так и убывание в подавляющем большинстве наблюдений продолжалось сутки или более, тем самым уже указывая на закономерность явления, а не на случайность (рис. 1). Д.Г. Звягинцев и Г.Н. Зайцева (1979) в своих наблюдениях предлагали рассматривать как наиболее значимые пики, образованные по меньшей мере тремя значениями (точками) на восходящих или нисходящих сторонах. Такой подход, по-видимому, был предложен из-за отсутствия возможности провести соответствующую статистическую оценку, которая уместна для обработки длинных рядов данных. Однако при подходе, предложенном этими авторами, может быть не учтена и даже вынужденно проигнорирована часть экспериментальных данных, а именно будут не учтены пики, образованные быстрорастущими популяциями и состоящие только из трех точек. При этом на графиках будут учитываться только пики, образованные четырьмя или большим количеством экспериментальных точек, медленно растущих популяций. В результате такого подхода происходит формализация биологической сути процессов, происходящих в микромире почвенной экосистемы. Эту проблему авторы настоящей публикации решили, используя гармонический анализ, результаты которого приведены на рис. 4–7.
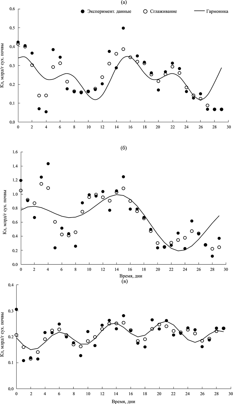
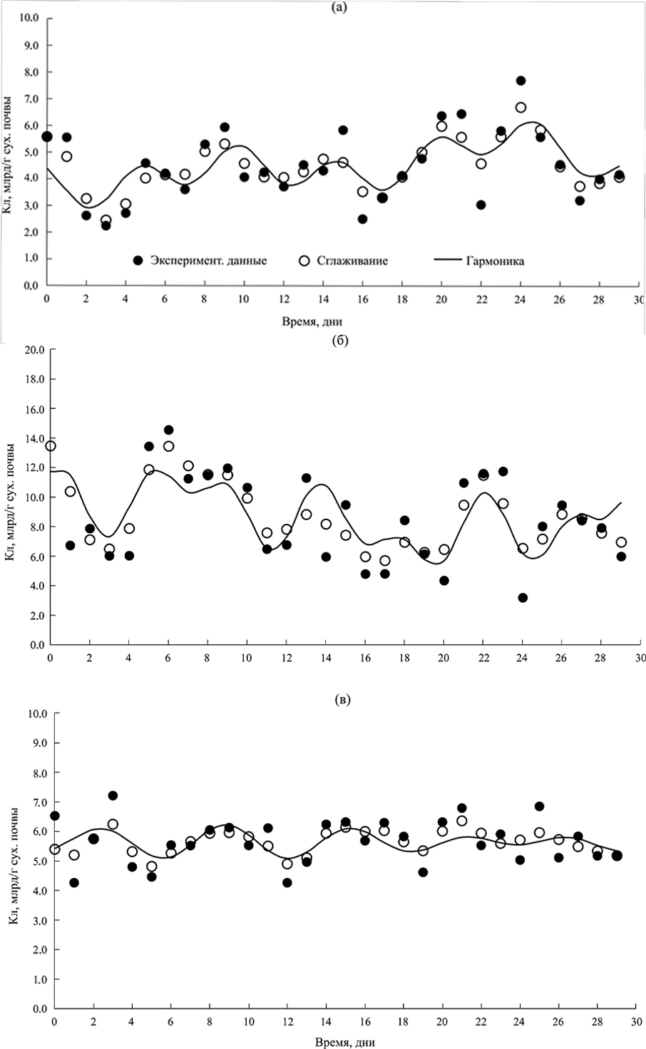
Рис. 1. Учет общего количества клеток бактерий в почве с использованием красителя FITC в опытном и контрольном вариантах в трех экспериментах (а), (б) и (в) соответственно. Величины, обозначенные на рисунках 1–3 точками, представлены средними арифметическими, величины отклонений на графиках представлены как результаты, рассчитанные в стандартной программе Excel.
В первом эксперименте, который проводили в июне–июле со свежеотобранной почвой, в контроле (без прогревания почвы) в первый день эксперимента наблюдалось падение общей численности клеток с 5.60 × 109 до 2.06 × 109 на третий день, а с третьего по пятый — наблюдался рост количества клеток до 4.59 × 109 (рис. 1а). За весь период наблюдения в почве контроля были выявлены пики максимумов на 5, 9, 15, 20–21, 24 и, возможно, после 29 дня, а минимумов — на 3, 7, 12, 16, 22 и 27 дни. В почве опытного образца, подвергнутого подсушиванию при 45оС с первого дня эксперимента до третьего дня так же, как и в контроле, шло падение численности клеток до уровня 2.07 × 109, а первый пик максимума был зафиксирован на пятый день и составлял 4.18 × 109 клеток на грамм абсолютно сухой (ГАС) почвы. В дальнейшем в динамике опытного образца были обнаружены максимумы численности бактерий на 5, 8, 11, 14, 20, 24 и 28 дни, а минимумы соответствовали 3–4, 6, 9, 13, 18, 22, 27 дням. Минимальное количество клеток за время наблюдений учета численности в контрольном образце почвы составляло 2.06 × 109, максимальное — 7,71 × 109, а в опытном образце составило 1.29 × 109 и 7.06 × 109 соответственно.
Во втором эксперименте подсчет клеток проводили в сентябре–октябре, то есть сразу после отбора образцов. При ежедневном учете бактерий также были обнаружены колебания общего количества клеток, как в опыте, так и в контроле. С первого дня эксперимента в контрольном образце происходило снижение численности клеток, а затем — возрастание (рис. 1б). Максимальные значения численности клеток в контроле приходятся на 6, 9, 13, 15, 18, 23, 26 день, а дни минимумов в контроле соответствуют 3–4, 7, 11, 14, 16, 20, 24 и 29 дням. В опытном образце максимумы количества клеток приходятся на 3, 6, 10, 13, 15, 19, 21, 25 и 29 дни эксперимента и минимальные значения в почве опыта соответствуют 1, 4, 9, 12, 14, 18, 20, 24 и 28 дням. Минимальное количество клеток за время наблюдений в контрольном образце почвы составляло 3.14 × 109, а максимальное — 1.45 × 1010, а в опытном образце составило 5.04 × 109 и 1.33 × 1010 соответственно.
В третьем эксперименте в контрольном образце почвы численность бактерий уменьшалась с первого дня эксперимента до 4.26 × 109, а затем начинала возрастать до 7.20 × 109 на третий день эксперимента (рис. 1в). В ходе эксперимента были отмечены пики максимумов численности клеток на 4, 7, 9, 11, 15, 17, 21, 25 и 27 дни, а минимальные значения — на 1, 5, 10, 12, 16, 19, 24, 26, 28 дни. В опытном образце почвы с начала эксперимента происходил рост численности микроорганизмов с 6.87 × 109 до 8.00 × 109 на первый день эксперимента. В опытном варианте пики максимумов соответствовали: 1, 3, 8–10, 13, 17, 19, 23, 25 и 29 дням, а пики минимумов соответствовали 2, 7, 12, 15, 18, 21, 24, и 27 дням эксперимента. Минимальное количество клеток в третьем эксперименте за время наблюдений в контрольном образце почвы составляло 4.27 × 109, а максимальное — 7.20 × 109. Минимальное количество клеток за время наблюдений в почве опыта составляло 4.57 × 109, а максимальное — 8.00 × 109.
Итак, визуальный анализ ежедневной динамики общего количества клеток в почвенных образцах показывает, что имеется выраженная волнообразная динамика во всех трех экспериментах не зависимо от времени отбора образцов почвы, времени хранения образцов и времени проведения учета бактерий. Все это подтверждает объективность явления волнообразных осцилляций количества бактерий в почве. При сравнительном визуальном анализе можно отметить следующие закономерности в представленных результатах: возрастание количества пиков от первого эксперимента к третьему. В пиках максимумов можно отметить заметное увеличение количества клеток только во втором (осеннем) эксперименте. Это совпадает с известным фактом сезонной изменчивости количества микроорганизмов в естественных субстратах (Самцевич, 1955; Чернов, Железова, 2020). Количество клеток, как в контрольных образцах, так и в опытных во всех экспериментах мало отличается в точках минимумов. Не зависимо от факторов, отмеченных выше, сроки отбора, время хранения образцов, проведенные экспериментальные нарушающие воздействия в виде прогревания почвы, не приводят к катастрофическим изменениям в общем количестве бактериальных клеток в почвенных образцах, что и показал тотальный учет клеток.
Учет количества живых, МАК бактерий в препаратах почвенных образцов, окрашенных красителем SFDA
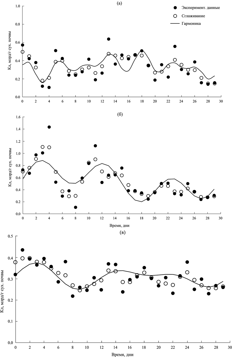
Динамика численности МАК, живых бактерий при ежедневном учете так же, как и динамика тотального учета, характеризуется значительным варьированием численности. В месячной динамике учета численности, выявленные возрастания или убывания клеток длились несколько дней, тем самым указывая на закономерность процессов волнообразных осцилляций (рис. 2). Подход к учету значимых пиков в динамике численности живых клеток использовали такой же, как и при подсчете общего количества клеток.
В первом эксперименте, в контрольном образце в динамике численности наблюдали снижение количества живых клеток с первого по четвертый день с 5.71 × 108 до 1.06 × 108 (рис. 2а). В дальнейшем были обнаружены минимумы количества клеток на 7, 11, 14, 16, 20, 22, 25, 28 сутки. Максимумы обнаружены на 5, 10, 13, 15, 18, 21, 23 и 26 сутки. В опытном образце было также зафиксировано падение числа клеток в первые дни эксперимента с 4.23 × 108 до 5.45 × 107 на четвертый день. В дальнейшем были обнаружены минимумы количества клеток, соответствующие дням: 8–10, 14, 16, 20, 25, 27–29. Пики максимумов приходились на 5, 13, 15, 17, 22, 26 дни. Минимальное количество живых клеток за время наблюдений в контрольном образце составляло 1.06 × 108, максимальное — 6.36 × 108. В опытном образце такие показатели были — 5.45 × 107 и 4.97 × 108 соответственно.
Рис. 2. Учет количества физиологически активных клеток бактерий в почве с использованием красителя SFDA в опытном и контрольном вариантах в трех экспериментах (а), (б) и (в) соответственно.
Во втором эксперименте в контрольном образце в первый день наблюдалось незначительное падение численности клеток с 7.28 × 108 до 6.72 × 108, и затем рост численности до 1.43 × 109 на четвертый день (рис. 2б). Наблюдаемые затем пики максимумов соответствовали 11, 15, 21–22, 25 дням, а пики минимумов — 8, 12, 19, 23–24, 27 дням. В опытном образце так же, как в контрольном, происходил спад численности клеток с начала эксперимента от 1.19 × 109 до 6.66 × 108 на второй день. Затем происходило возрастание численности клеток до 1.43 × 109 на четвертый день опыта. В дальнейшем пики минимумов наблюдаются на 5, 8, 13, 20–21, 24, 28 день, а пики максимумов — на 4, 6, 12, 15, 23, 25, 29 дни. Минимальное количество живых клеток за время наблюдений в контрольном образце почвы составляло 1.09 × 108, максимальное количество в контроле — 1.43 × 109. В опытном образце такие показатели были 1.15 × 108 и 1.43 × 109 соответственно.
В третьем эксперименте в контрольном варианте наблюдался рост живых клеток на первый день эксперимента от 3.05 × 108 до 4.35 × 108 клеток, а затем идет медленный спад, и на третий день эксперимента численность составляет 3.65 × 108. (рис. 2в). В дальнейшем наблюдались колебания численности живых клеток с максимумами на 4, 7, 11, 13–14, 18, 24, 26 и 28 дни и минимумами — на 6, 8, 12, 15, 20, 22, 25, 27 дни эксперимента. В то время как в контроле численность живых клеток в первые сутки росла, в почве опытного образца численность живых клеток падала с 3.05 × 108 до 1.08 × 108. В дальнейшем численность клеток имела максимумы на 6, 10, 13, 15, 19, 21, 24–25, 28–29 дни, а минимумы — на 1–3, 9, 11, 14, 18, 20, 22, 26 дни. Минимальное количество живых клеток за время наблюдений в контрольном образце почвы составляло 2.19 × 108, максимальное количество в контроле — 4.35 × 108. В опытном образце такие показатели были 1.08 × 108 и 3.06 × 108 соответственно.
Визуальный анализ ежедневной динамики количества МАК показывает, что так же, как и при учете общего количества клеток, имеется выраженная волнообразная динамика во всех трех экспериментах не зависимо от нарушающего воздействия. Прогревание образцов почвы не повлияло на волнообразность динамики и количество живых бактерий в почве. Сравнительный анализ значений амплитуд колебаний количества живых клеток в этих экспериментах, как и в экспериментах общего учета, показывает, что отклонения значений амплитуд от среднего сокращаются, то есть колебания “выравниваются”.
О соотношении количества живых и мертвых клеток в почвенных образцах
Сравнение динамик численности клеток при тотальном учете (рис. 1) и МАК (рис. 2) однозначно показывает, что общая численность бактерий в почве значительно — минимум на порядок — превосходит количество живых бактерий. Вычитание количества живых из общего числа клеток дает количество мертвых клеток, которое также значительно превосходит количество живых бактерий. Динамика численности живых клеток, количество которых будучи на порядок меньше общего количества, также имеет волнообразный вид, который не повторяет динамику общей численности клеток, но и не находится с ней в противофазе. При этом колебания и пики максимумов и минимумов мертвых клеток повторяют динамику колебаний общего количества клеток (рис. не приводится). Значительное количественное превосходство мертвых клеток над МАК можно объяснить предположением, что мертвые клетки не сразу деструктурируются, теряя интактность клеточных стенок и электрохимическую функцию мембран, поэтому какое-то время могут окрашиваться FITC и другими общими красителями. Как известно, краситель FITC реагирует с белками клетки, а учитывая физико-химические условия в почве, вполне объективно можно полагать, что клетка, даже потерявшая свой электрохимический потенциал мембраны, умершая, будет сохранять некоторое время свою интактность (Babiuk, Paul, 1970).
Таким образом, в микробиологической практике исследователи при учете бактерий в почве, применяя традиционные, распространенные в микроскопии флуоресцентные красители, выявляют огромное количество бактерий, но большая их часть — это мертвые клетки. Учитывая замечание Г.А. Заварзина, что только в том случае процесс значим и заметен, если микроорганизмов, его осуществляющих, много, и они активны, получается, что биосферные процессы осуществляются всего лишь десятью процентами от общего числа обнаруживаемых при общем учете бактерий, что и подчеркивают другие исследователи с другими методами (Blagodatskaya, Kuzyakov, 2013).
При учете бактерий путем посева суспензий на разнообразные агаризованные среды исследователи получают их количество в виде КОЕ, которое, как правило, на порядок или более ниже общего количества, определяемого микроскопическим учетом. Напрашивается очевидный вывод, что на результаты оценки численности бактерий в почве влияет используемый метод учета. Окрашивание препаратов общими красителями дает завышенные результаты, а учет высевом на среды — существенно заниженные. При этом, проводя единичный, одноразовый учет, а не в динамике, исследователи могут “попасть” на пик максимума или минимума численности, что существенно увеличивает ошибку. Использование специфических красителей, действие которых происходит через функциональную активность клеток, дает наиболее объективное представление о численности живых клеток, значимых для оценки биосферных процессов, что подчеркивают и другие исследователи (Blagodatskaya, Kuzyakov, 2013).
Определение концентрации растворимого органического вещества и влажности почвы при ежедневном учете численности клеток в образце третьего эксперимента
Основным механизмом волнообразной динамики численности клеток являются периодические циклы отмирания части клеток и возобновление роста живых клеток, в частности, и за счет растворимого органического вещества (РОВ) отмерших клеток. Было решено исследовать ежедневную динамику концентрации РОВ в почве анализируемого образца. Авторы понимали, что используемый аналитический метод определения концентрации РОВ и предполагаемые величины концентраций РОВ в анализируемых образцах могут создать значительные трудности в интерпретации результатов, если результаты ежедневной динамики концентраций РОВ будут противоречить волнообразной динамике численности клеток. Определение концентрации РОВ в динамике провели только в образцах третьего эксперимента (рис. 3). Как в контрольном образце почвы, так и в почве после подсушивания (опыт) обнаружены впечатляющие колебания концентрации РОВ. По аналогии с анализом результатов учета численности клеток в образцах почвы отметим величины минимума и максимума концентрации РОВ в контроле и опыте анализируемого образца. Минимальная концентрация РОВ в контрольном образце обнаружена на пятый день и равна 315.73 мкг/г.с.п., максимальная концентрации обнаружена на 14 день и равна 1899.11 мкг/г.с.п. В опытном образце минимальная концентрации РОВ обнаружена на 23 день и равнялась 356.71 мкг/г.с.п., максимальная концентрация РОВ обнаружена на 19 день и равнялась 1869.12 мкг/г.с.п. Для подтверждения роли мортмассы бактерий как субстрата для роста живых бактерий были рассчитаны концентрации органического углерода в массе мертвых клеток для контрольного и опытного образцов в точках минимумов и максимумов РОВ. Расчеты показали, что на пятый день динамики концентрация углерода составила 411мгк/г.с.п., а на 14 день (максимум) — 585 мкг/г.с.п. В опытном образце аналогичные показатели равны: 436 мкг/г.с.п. (минимум биомассы) и 789 мкг/г.с.п. (максимум биомассы). Таким образом, экспериментальные и расчетные данные не только не противоречат, но показывают наличие значительных колебаний концентрации углерода обусловливающих волнообразную динамику микробных популяций.
Рис. 3. Динамика РОВ в почве в контроле и опыте в 3-м эксперименте.
Во всех анализируемых образцах ежедневно перед проведением учета численности клеток определяли влажность почвы, т.к. значительное, не контролируемое, изменение влажности почвы может создать серьезные сложности с интерпретацией получаемых результатов численности клеток (рис. не приводятся). Влажность почвы в используемых для учета бактерий образцах колебалась в интервале от 17.5 до 20.5%. С этими данными провели корреляционное сравнение динамики количества живых клеток. Коэффициенты корреляции варьировали от 0.04 до 0.22 в контроле и от 0.12 до 0.16 в опыте при уровне значимостей во всех экспериментах — 0.95. Таким образом, изменение влажности в указанных пределах не может рассматриваться как один из факторов нарушающих воздействий, вызывающих колебательную динамику численности бактерий.
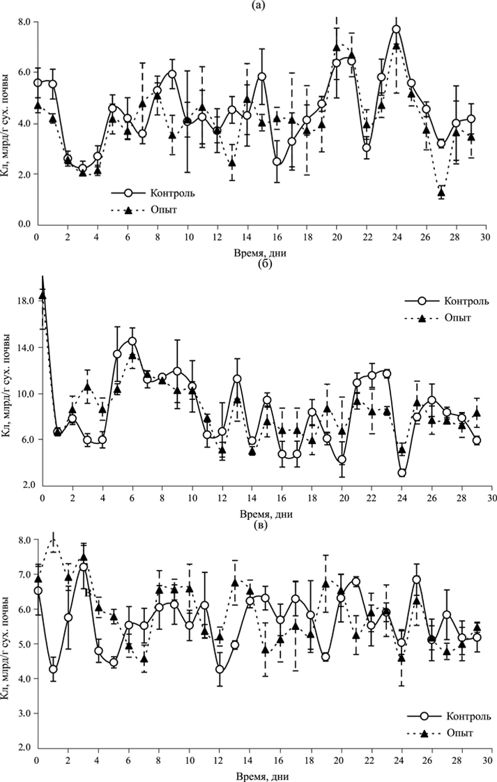
Гармонический анализ экспериментальных данных численности бактерий в препаратах, окрашенных FITC
Для статистической обработки результатов был использован гармонический анализ, который подтвердил достоверность колебаний численности микроорганизмов в почвенных образцах. Важными характеристиками гармонического анализа являются такие параметры, как количество гармоник, амплитуда, фаза и период колебаний, а также F-критерий (Смирнов, 1974; Горбенко, Крышев, 1985). Гармонический анализ результатов общего учета клеток в контроле первого эксперимента выявил три гармоники с порядками 1, 2 и 6 и с близкими амплитудами, но значительно отличающимися периодами и фазами осциллирования (рис. 4а; табл. 1). Поскольку гармонический анализ “отбраковывает” (скрывает) все те гармоники, которые не соответствуют заданному уровню критерия значимости, то количество гармоник на графике после гармонического анализа может не совпадать с количеством пиков на кривых динамики до гармонического анализа. Гармонический анализ результатов численности клеток опытного образца первого эксперимента выявил только две гармоники 1-го и 2-го порядков (рис. 5а). При этом первый пик гармоники образован двумя точками, соответствующими 7–8 дням, а второй пик образован тремя точками и выявляется гармоническим анализом на 20–24 дни (табл. 1). Таким образом, гармонический анализ выявил, что нарушающее воздействие в виде подсушивания привело к снижению амплитуд и к некоторому удлинению периода колебаний численности клеток. С точки зрения микробной экологии это указывает на сукцессию в МС почвы со “сменой” доминирующих популяций, хотя визуально, без гармонического анализа, различия в динамиках численности клеток в контрольном и опытном образцах не впечатляют (рис. 1).
Таблица 1. Характеристики гармоник общего числа и числа физиологически активных клеток в почве в трех экспериментах, полученные с помощью анализа Фурье при уровнях значимости в 0.1 и 0.05
Номер экспер. | Характеризуемый объект | № гармоники | Амплитуда, млрд | Фаза | Период, дни | Частота | Коэф. вариации, % | F эксп. | F таб 0.1 ур. зн. | Кол-во анализ. точек | F таб 0.05 ур. зн. |
1 | Клетки_контр_тотал | 1 | 5.76 | 21.50 | 30.00 | 0.03 | 18.32 | 2.66 | 2.50 | 30 | 3.30 |
Клетки_контр_тотал | 2 | 6.54 | 8.82 | 15.00 | 0.07 | 23.65 | 3.43 | 2.50 | 30 | 3.30 | |
Клетки_к онтр_тотал | 6 | 6.21 | –0.30 | 5.00 | 0.20 | 21.34 | 3.09 | 2.50 | 30 | – | |
Клетки_экспер_тотал | 1 | 7.68 | 19.40 | 30.00 | 0.03 | 29.96 | 4.34 | 2.50 | 30 | 3.30 | |
Клетки_экспер_тотал | 2 | 6.97 | 7.44 | 15.00 | 0.07 | 24.69 | 3.58 | 2.50 | 30 | 3.30 | |
Клетки_контр_жив | 1 | 0.62 | 15.45 | 30.00 | 0.03 | 19.60 | 2.84 | 2.50 | 30 | 3.30 | |
Клетки_контр_жив | 5 | 0.62 | 0.29 | 6.00 | 0.17 | 19.18 | 2.78 | 2.50 | 30 | 3.30 | |
Клетки_контр_жив | 7 | 0.63 | 0.81 | 4.29 | 0.23 | 20.33 | 2.95 | 2.50 | 30 | 3.30 | |
Клетки_экспер_жив | 2 | 0.71 | 2.17 | 15.00 | 0.07 | 25.81 | 3.74 | 2.50 | 30 | 3.30 | |
Клетки_экспер_жив | 4 | 0.60 | 0.14 | 7.50 | 0.13 | 18.36 | 2.66 | 2.50 | 30 | 3.30 | |
2 | Клетки_контр_тотал | 1 | 15.69 | 4.87 | 30.00 | 0.03 | 23.75 | 3.44 | 2.50 | 30 | 3.30 |
Клетки_контр_тотал | 4 | 15.49 | –0.57 | 7.50 | 0.13 | 23.14 | 3.35 | 2.50 | 30 | 3.30 | |
Клетки_контр_жив | 7 | 14.09 | 0.67 | 4.29 | 0.23 | 19.17 | 2.78 | 2.50 | 30 | 3.30 | |
Клетки_контр_тотал | 1 | 17.98 | 4.29 | 30.00 | 0.03 | 52.60 | 7.62 | 2.50 | 30 | 3.30 | |
Клетки_контр_жив | 1 | 1.81 | 6.65 | 30.00 | 0.03 | 26.73 | 3.88 | 2.50 | 30 | 3.30 | |
Клетки_контр_жив | 3 | 2.22 | 2.48 | 10.00 | 0.10 | 40.30 | 5.84 | 2.50 | 30 | 3.30 | |
Клетки_экспер_жив | 1 | 2.53 | 9.53 | 30.00 | 0.03 | 33.10 | 4.80 | 2.50 | 30 | 3.30 | |
Клетки_экспер_жив | 2 | 2.24 | 0.38 | 15.00 | 0.07 | 25.77 | 3.74 | 2.50 | 30 | 3.30 | |
3 | Клетки_контр_тотал | 4 | 2.44 | 1.29 | 7.50 | 0.13 | 19.17 | 2.78 | 2.50 | 30 | 3.30 |
Клетки_контр_тотал | 5 | 3.37 | 2.82 | 6.00 | 0.17 | 36.60 | 5.30 | 2.50 | 30 | 3.30 | |
Клетки_экспер_тотал | 3 | 6.37 | 1.27 | 10.00 | 0.10 | 39.20 | 5.69 | 2.50 | 30 | 3.30 | |
Клетки_контр_жив | 2 | 0.38 | 2.54 | 15.00 | 0.07 | 36.40 | 5.28 | 2.50 | 30 | 3.30 | |
Клетки_контр_жив | 3 | 0.29 | 3.10 | 10.00 | 0.10 | 21.79 | 3.16 | 2.50 | 30 | 3.30 | |
Клетки_экспер_жив | 1 | 0.25 | 18.12 | 30.00 | 0.03 | 28.13 | 4.08 | 2.50 | 30 | 3.30 | |
Клетки_экспер_жив | 4 | 0.32 | –1.52 | 7.50 | 0.13 | 45.50 | 6.60 | 2.50 | 30 | 3.30 |
Рис. 4. Гармонический анализ результатов учета общего количества клеток бактерий в почве в контрольном варианте в трех экспериментах (а), (б) и (в) соответственно.
Рис. 5. Гармонический анализ результатов учета общего количества клеток бактерий в почве в опытном варианте в трех экспериментах (а), (б) и (в) соответственно.
В результатах контрольного образца почвы второго эксперимента гармонический анализ выявил три значимые гармоники 1-го, 4-го и 7-го порядков (рис. 4б; табл. 1). Отметим, что гармонический анализ предполагает “поглощение” гармоник более низких порядков гармониками более высоких порядков, и поэтому на рисунках гармоники более низких порядков не отражены. Такое “поглощение” отражается и на периодах колебаний, где период первой гармоники равен 30 дням, период четвертой гармоники равен 7.5 дням, а период седьмой гармоники — 4.29 дня, хотя такие показатели как коэффициенты вариации и коэффициент Фишера (Fэкспер) отличаются только для седьмой гармоники. Гармонический анализ результатов опытного образца почвы второго эксперимента показал только одну гармонику 1-го порядка с периодом 30 дней и значительным коэффициентом вариации (рис. 5б; табл. 1). Отметим, что в динамике численности клеток при анализе второго эксперимента как при общем учете, так и при учете МАК, выявлялись гармоники 1-го порядка.
Гармонический анализ результатов численности клеток контрольного образца третьего эксперимента (рис. 4в; табл. 1) обнаружил две гармоники 4-го и 5-го порядков с периодами 7.5 и 6.0 дней. При этом визуальный анализ показывает, что амплитуда колебания заметно снижается от первого к тридцатому дню наблюдения. Гармонический анализ результатов опытного образца почвы третьего эксперимента выявляет только одну гармонику 3-го порядка с периодом в 10 дней (рис. 5в; табл. 1). Таким образом, воздействие на МС почвы подсушиванием образцов приводит к некоторому уменьшению количества осцилляций (гармоник), снижению амплитуд осцилляций и к удлинению периодов колебаний, но в то же время — это не приводит к значимому снижению численности клеток бактерий в этих образцах. С точки зрения проявления функциональной активности МС, выражающейся в скорости роста и численности бактерий в почве, выявленные факты, полученные в результате гармонического анализа, свидетельствуют об изменении доминирующих популяций в бактериальном сообществе, изменении доступности питательного ресурса, а возможно других биотических и абиотических факторов.
Гармонический анализ экспериментальных данных учета численности бактерий в препаратах, окрашенных SFDA
Гармонический анализ результатов учета численности живых клеток бактерий контрольного образца почвы первого эксперимента (рис. 6а; табл. 1) выявил три гармоники 1-го, 5-го и 7-го порядков с периодами 30.0; 6.0; и 4.29 дней. Параметры анализа МАК в основном совпадают с параметрами гармонического анализа общего учета бактерий в почве первого эксперимента за исключением величин амплитуд колебаний. Значения амплитуд численности при общем учете клеток находится в пределах от 5.76 до 6.54 млрд, а при учете живых клеток значения амплитуд на порядок меньше — от 0.62 до 0.63 млрд, что представляет собой статистическое подтверждение меньшей численности живых клеток. Гармоническим анализом результатов учета численности клеток живых бактерий в опытном образце почвы первого эксперимента (рис. 7а; табл. 1) обнаружены две гармоники — 2-го и 4-го порядков с периодами 15.0 и 7.5 дней. Значения амплитуд численности живых клеток составили 0.60 и 0.71 млрд, тогда как в опытном образце при общем учете — 6.97 и 7.68 млрд, то есть представляет собой статистическое подтверждение меньшей численности живых клеток на порядок.
Рис. 6. Гармонический анализ результатов учета количества физиологически активных клеток бактерий в почве в контрольном варианте в трех экспериментах (а), (б) и (в) соответственно.
При гармоническом анализе результатов численности живых бактерий в контрольном образце почвы второго эксперимента обнаружены две гармоники — 1-го и 3-го порядков с периодами 30 и 10 дней соответственно (рис. 6б; табл. 1). Амплитуды гармоник живых клеток в контрольном образце второго эксперимента составляют 1.81 и 2.22 млрд против 14.09 и 15.69 млрд при учете общего количества. Таким образом, амплитуды гармоник количества живых клеток меньше таковых общего количества не на порядок, а в 7–8 раз. Гармонический анализ результатов учета численности живых клеток бактерий в опытном образце второго эксперимента (рис. 7б; табл. 1) выявил две гармоники 1-го и 2-го порядков с периодами 30 и 15 дней. Амплитуды живых клеток равнялись 2.24 и 2.53 млрд, амплитуда единственной гармоники общего количества клеток составляла 17.98 млрд, то есть в 7–8 раз превышала амплитуды гармоник численности живых клеток, как и в контроле этого эксперимента.
Гармоническим анализом результатов численности живых бактерий в контрольном образце третьего эксперимента (рис. 7в; табл. 1) обнаружено две гармоники 2-го и 3-го порядков с периодами 15 и 10 дней. Амплитуды живых клеток были равны 0.29 и 0.38 млрд, при этом амплитуды гармоник общего количества клеток составляли 2.44 и 3.37 млрд, то есть почти на порядок больше, что также наблюдалось в первом эксперименте. Гармоническим анализом результатов учета живых клеток в опытном образце почвы третьего эксперимента выявлены две гармоники 1-го и 4-го порядков с периодами 30.0 и 7.5 дней (рис. 7в; табл. 1), с амплитудами 0.25 и 0.32 млрд. Амплитуда гармоники общего количества клеток составляла 6.37 млрд. В этом эксперименте амплитуды гармоник численности живых клеток в 20–25 раз меньше, чем амплитуды гармоник учета общего количества клеток. Таким образом, учет общей численности клеток бактерий выявил значимое превышение их численности — порядок или более над численностью живых бактерий. Гармонический анализ подтвердил закономерность волнообразной динамики изменения численности клеток бактерий в почве как следствие отмирания части микробного сообщества и последующего прироста.
Рис. 7. Гармонический анализ результатов учета количества физиологически активных клеток бактерий в почве в опытном варианте в трех экспериментах (а), (б) и (в) соответственно.
ОБСУЖДЕНИЕ
Чтобы подчеркнуть значимость и важность представленных в настоящей работе результатов, авторы считают необходимым кратко упомянуть и обсудить некоторые свои экспериментальные результаты, полученные и опубликованные ранее (Низовцева и др., 1995; Лаврентьева и др., 2009; Семенов и др., 2013; Эмер и др., 2014; Семенов, Семенова, 2018; Semenov et al., 1999; van Bruggen et al., 2000, 2006, 2008, 2017; Zelenev et al., 2005a, 2005b; van Diepeningen et al., 2005; Hе et al., 2017; Semenov et al., 2022).
Для объективности, авторы настоящей работы приводят некоторый минимум экспериментальных результатов других авторов, проводивших подобные эксперименты много лет назад, в первую очередь под руководством Т.В. Аристовской, и опубликованные в сборнике под ее редакцией (Аристовская, 1974). Этим коллективом проведены широкие исследования численности бактерий в почве и ризосфере путем длительного ежедневного учета общего количества клеток под микроскопом, а некоторые из авторов осуществляли подсчет бактерий также в виде КОЕ. В этих исследованиях убедительно показана осцилляционная динамика численности бактерий в сообществах разных почв. Особенность этих результатов заключается в том, что в некоторых публикациях авторы приводят результаты не только в виде графиков, на которых ярко видна осцилляционная динамика численности бактериальных клеток в образцах почв, но и цифровые данные в виде таблиц, что позволяет подвергнуть их дополнительной статистической обработке (Егорова, 1974; Ефремова, 1974; Зыкина, 1974; Щапова, 1974).
Ранее одним из авторов настоящей публикации с коллективом исследователей были изучены связи комплексного естественного нарушающего воздействия на почвенное микробное сообщество и динамика ответной реакции МС при ежедневном учете численности бактерий и некоторых метаболитов МС в этой почве (Zelenev et al., 2005b). Естественным нарушающим воздействием было одноразовое внесение в почву свежесобранной клеверно-травяной смеси как источника органического углерода и азота. Ответную реакцию бактериального сообщества фиксировали путем ежедневного учета общей численности бактерий под микроскопом с использованием разных люминесцентных красителей и численности метаболически активных бактерий (живых) с ежедневным учетом КОЕ, а также отслеживали ежедневную динамику концентраций NO3, NH4, pH, Rh в почве. Ежедневную динамику концентрации РОВ в этих экспериментах не определяли, потому что в почву со свежесобранной клеверно-травяной смесью было внесено так много органического углерода, что выявлять колебания РОВ из-за отмирания части бактерий доступными методами было бессмысленно. В этих исследованиях всеми методами учета численности бактерий выявили достоверную волнообразную динамику бактерий, подтвержденную гармоническим анализом. Так как учет КОЕ проводили из образцов почвы сразу после внесения в эту почву большего количества свежей клеверо-травяной смеси, численность КОЕ в первую половину месячного эксперимента была даже больше численности, учитываемой под люминесцентным микроскопом с окраской красителем FDA. Численность бактерий, учтенных под люминесцентным микроскопом окраской FITC, была на порядок больше численности КОЕ, а в первую половину месячного эксперимента — даже на два порядка больше, чем численность при окраске препаратов FDA. При этом ежедневное определение концентраций NO3, NH4, и значений pH, Rh не выявило их волнообразную динамику.
Таким образом, приведенные выдержки результатов из публикаций подтверждают и дополняют представленные в настоящей работе экспериментальные результаты. Первым очень значащим дополнением и подтверждением результатов о том, что большинство бактерий, учитываемых при подсчете общего их количества с неспецифичными красителями, представлено мертвыми клетками. Следующим, не менее значимым подтверждением того факта, что численность бактерий, выявляемых и учитываемых в почве посевом почвенной суспензии на среду и в условия, которые наиболее соответствуют той среде по составу и условиям культивирования, из которых производится высев бактерий, определяется в первую очередь состоянием доминирующих бактериальных популяций, их жизнеспособностью и активностью. Состав используемых сред и условия культивирования — это только условия для реализации стратегии активности организма. Как продолжение сказанного уместен вывод, о том, что при учете бактерий в почве высевом суспензий на соответствующие среды можно учесть большинство или все живые клетки, или получить численность, соизмеримую с численностью, получаемую при микроскопическом учете с соответствующими флуоресцентными “витальными” красителями. Эти результаты так же подтверждают, что только живые организмы и непосредственные продукты их метаболизма, которые прямо зависят от жизнедеятельности организмов, проявляют волнообразную динамику (Semenov et al., 2019).
Подтверждающие и дополняющие выводы получены и в других публикациях авторов (Семенов и др., 2013). Авторы проводили ежедневный в течение месяца учет КОЕ бактерий в почвенных суспензиях, приготовленных из образцов почв с участков, которые обрабатывали по технологии биологического или интенсивного земледелия, определяли ежедневную эмиссию СО2 и ежедневную динамику состава ампликонов, полученных после ПЦР- и ДГГЭ-анализа образцов ДНК, выделенной из образцов почвы (Семенов и др., 2013). Учет КОЕ проводили с использованием дифференцирующих сред для копиотрофов (солевая среда с 2.5 г/л глюкозы и 0.2 энзиматического гидролизата казеина) и олиготрофов (солевая среда содержала в 100 раз меньше глюкозы и энзиматического гидролизата казеина, использовали высокочистый Noble Agar). Учет КОЕ копиотрофов производили через 60 ч инкубации, а олиготрофов — через 14 сут. Численность КОЕ бактерий и динамика эмиссии СО2 была волнообразной не зависимо от трофической принадлежности бактерий и не зависимо от технологии обработки почв. Достоверность волнообразной динамики КОЕ копиотрофных и олиготрофных бактерий, подтверждена гармоническим анализом. В этом учете численность КОЕ копиотрофов в некоторые сезонные периоды эксперимента варьировало от 1.44 × 107 (КОЕ/г сух. почвы) до 1.19 × 108, а численность КОЕ олиготрофов — от 5.53 × 107 до 2.81 × 108 (КОЕ/г сух. почвы). Анализ ежедневной динамики ампликонов, полученных после ПЦР- и ДГГЭ-анализа образцов ДНК, выявил волнообразные изменения в структуре МС (Семенов и др., 2013). При этом аналитические показатели ампликонов одинаковым образом изменялись в пределах каждого пика при сравнении динамики ампликонов с динамикой численности КОЕ как копиотрофов, так и олиготрофов. Изменение динамики ампликонов в пределах каждого пика, а не от пика к пику, указывает на циклический характер изменения не только в структуре МС, но и в численности популяций. Отметим, что такое же явление было показано при исследовании динамики ампликонов МС вдоль корня растений пшеницы (van Diepeningen et al., 2005). Осцилляционные изменения в активности и обилии генов во времени наблюдаются в микробных сообществах и других экосистем (Gómez-Brandón et al., 2020). Таким образом, методом посева суспензий из образцов природных сред на подобранные лабораторные среды можно выявить и учесть количество клеток бактерий, сравнимое с количеством, выявляемым при микроскопическом учете с флуоресцирующими красителями, такими как FDA и SFDA. Подчеркнем, что исследователи, проводившие обзор методов определения и выявления активных микроорганизмов в почве, заключили, что из трех наиболее значимых методов выявления активных микроорганизмов в почве первый метод — это микроскопический учет со специфичными флуоресцирующими красителями, а третий — учет микроорганизмов на средах (Blagodatskaya, Kuzyakov, 2013). Следовательно, критическим моментом при подсчете клеток бактерий в почвенных образцах любыми методами является жизнеспособность микроорганизмов. Если большое количество клеток бактерий в природных средах в момент учета оказываются мертвыми, но еще не дезинтегрированными, то именно они и обеспечивают то большинство, которое выявляется при учете бактерий под микроскопом с неспецифичными красителями.
Дополнительным подтверждением того, что при тотальном учете клеток под микроскопом могут учитываться уже мертвые клетки, являются наши данные, приведенные в статье А.М. Семенова с соавт. (Semenov et al., 2022). В этой публикации приведены данные о длительном (60 сут) ежедневном учете клеток чистой культуры Pseudomonas fluoresces 32 gfp, меченый способностью синтезировать зеленый флюоресцирующий белок (GFР). Было показано, что при анализе одного и того же отобранного из среды образца культуры, количество клеток, учтенных под микроскопом, было гораздо больше, чем количество клеток с GFР, вырастающих на агаризованной среде в чашках Петри в виде КОЕ. Следовательно, клетки, не способные к росту на среде, вправе назвать мертвыми, а возможность их выявления под микроскопом просто подтверждает, что они еще не дезинтегрированные!
ЗАКЛЮЧЕНИЕ
Темы и вопросы о численности бактериальных клеток, прокариотических клеток в природе и в первую очередь в почвенной экосистеме, их жизнеспособности, количестве истинно живых, но не размножающихся (не растущих, переживающих) клеток бактерий, соотношении живых, переживающих и мертвых клеток, о методах учета клеток бактерий в природных образцах и методах распознавания живых, переживающих и мертвых клеток, — давние и далеко не закрытые темы для исследований в микробиологии (Blagodatskaya, Kuzyakov, 2013). Важность этих тем очевидна и не требует обоснований и убеждений в их актуальности. Представленными результатами авторы, конечно, не в состоянии осветить все темы и ответить на все вышеперечисленные вопросы, однако полагают, что приведенные результаты убедительно объясняют часть из них.
Первое, в почвенной экосистеме при микроскопическом учете с неспецифичными красителями выявляемое высокое множество бактерий представлено в основном не живыми клетками. Наши результаты и литературные данные демонстрируют, что численность метаболически активных, живых клеток, как минимум, на порядок меньше общей численности бактериальных клеток при тотальном их учете под микроскопом. Такое явление объясняется тем, что бактериальные клетки при отмирании не мгновенно лизируются и дезинтегрируются, а используемые красители какое-то время “удерживаются” структурами полимеров клетки, что и обеспечивает их множество. С.Н. Виноградский сто лет назад, проводя учет клеток бактерий в почвенных образцах, не мог знать, что обнаруженная им колоссальная численность бактерий представлена в основном не живыми клетками, но его открытие дало мощный стимул для изучения количества и многообразия микроорганизмов в природе и для развития методов познания микромира.
Отметим, что известные в микробиологии явления, такие как VBNC (viable but not cultured cells), клетки-персисторы и явление персистентности, имеют место быть. Однако распространить эти явления, обнаруженные в чистых культурах в лабораторных условиях, на все природные популяции прокариот, а тем более на все микробные сообщества и применять эти явления для объяснения существенного превышения количества клеток при тотальном учете бактерий в почве с неспецифичными красителями и, тем самым, по существу перевести все учтенные таким способом клетки в разряд жизнеспособных на текущий временной период не логично и не правомерно. При распространении явлений некультивируемости и персистенции на все результаты, полученные с использованием специфичных красителей, такие результаты придется признавать недействительными, а также признать отсутствие методов, которые бы помогли различать мертвые бактериальные клетки в природных субстратах. Распространение выше упомянутых явлений на оценку всего множества бактерий в природе приводит к признанию всего этого множества жизнеспособным и, тем самым, дезавуирует экологические понятия о пуле организмов и о размере экониши и др., а также к признанию не существующей волнообразную динамику микроорганизмов, которая зиждиться на циклическом отмирании и росте оставшихся живых клеток за счет биомассы в первую очередь отмерших клеток и др. (Гендугов и др., 2011; Эль Регистан и др., 2022; Blazewicz et al., 2020).
Следующей достаточно важной темой, обсуждаемой в этой работе, является эффект меньшего количества бактерий, выявляемый при посевах почвенных суспензий на агаризованные среды и учитываемый в виде КОЕ, по сравнению с количеством бактерий, выявляемым при учете бактерий из тех же образцов при окрашивании суспензий общими красителями. Это объяснено тем, что большинство бактериальных клеток, наблюдаемых под микроскопом в препаратах из почвенных суспензий, являются не жизнеспособными, а просто мертвыми. В работе приведены примеры и ссылки на результаты о сравнимой численности клеток бактерий, выявляемой при микроскопическом учете с использованием специфичных красителей и в виде КОЕ, когда высев производится на среды, обогащенные разнообразными субстратами или когда посев производился на среды, которые по составу и условиям соответствуют физиологическому состоянию высеваемого сообщества бактерий. В работе приведены не только ссылки на публикации, но и выдержки из результатов публикаций. Нередко цитируемая специалистами обзорная публикация Стейли и Канопка (1985) (Staley, Kanopka, 1985) инициировала разработку методов определения численности и микроразнообразия. Однако необходимо отметить, что предположение авторов о выявлении на средах лишь 1% от всего многообразия микроорганизмов было сделано на основании наблюдений и данных, полученных при использовании традиционных по составу копиотрофных лабораторных сред, а учение об олиготрофах и о значительном превышении количества олиготрофов над копиотрофами ко времени написания и опубликования этого обзора еще не сформировалось (Poindexter, 1981; Semenov, 1991; Zelenev et al., 2005a).
Отметим еще раз центральную тему настоящей работы — это объективность явления волнообразной динамики бактерий в популяциях и сообществах микроорганизмов. Волнообразная динамика имеет место быть и при микроскопическом учете всех микроорганизмов или только живых при подсчете клеток в виде КОЕ в почвенных образцах и чистых культурах, и при определении некоторых физиологических функций микроорганизмов: N2-фиксации, целлюлозолитической активности, а самое главное — дыхании в сообществах микроорганизмов, что позволило обосновать, разработать и предложить для практического использования метод определения здоровья почвы, почвенной экосистемы (Семенов, Семенова, 2018).
Наши экспериментальные результаты с прогреванием почвенных образцов убеждают, что внешние нарушающие воздействия на микробные сообщества не являются причиной осцилляций численности и функциональной активности МП и МС. Наши экспериментальные результаты и множество результатов из литературных источников с очевидностью подтверждают волнообразную динамику микроорганизмов как следствие циклов роста и отмирания популяций бактерий и краткосрочной трофической сукцессии в микробных сообществах (Гендугов и др., 2011). Это и подтверждает, и подтверждается концепцией Д.Г. Звягинцева “о превышении количества бактерий над количеством доступного бактериям субстрата в конкретной микронише и как следствие голодание части популяций и сообществ”. Именно проявлением трофической сукцессии в МС объясняется “разновеликость” по высоте и длительности возникающих пиков в МС. Разная скорость нарастания пиков и высота пиков (то есть численность клеток) являются следствием локального, временного доминирования микроорганизмов разной трофической (экологической) стратегии, и в первую очередь — копиотрофов и олиготрофов в МС (Semenov, 1991; Zelenev et al., 2005a), что определяется наличием доступной концентрации и соответствующим качеством субстратов для роста микроорганизмов, как это еще раз подтвердили исследователи (Blagodatskaya, Kuzyakov, 2013; Stone et al., 2023). Объективность явления волнообразной динамики бактерий показана не только численностью клеток МС и их активностью, но и осцилляциями ампликонов, полученных после ПЦР- и ДГГЭ-анализа ДНК, выделенной из образцов почвы.
БЛАГОДАРНОСТИ
Авторы благодарят к.б.н. В.В. Зеленева (Россия) и профессора A.H.C. van Bruggen (Нидерланды) за сотрудничество.
ФИНАНСИРОВАНИЕ
Исследование выполнено в рамках Научного проекта Государственного заказа Правительства РФ Московскому государственному университету им. М.В. Ломоносова № 121032300094-7.
КОНФЛИКТ ИНТЕРЕСОВ
Авторы заявляют об отсутствии конфликта интересов.
СОБЛЮДЕНИЕ ЭТИЧЕСКИХ СТАНДАРТОВ
Настоящая статья не содержит каких-либо исследований с участием людей или животных в качестве объектов.
Об авторах
А. М. Семенов
Московский государственный университет имени М.В. Ломоносова
Автор, ответственный за переписку.
Email: amsemenov@list.ru
биологический факультет
Россия, МоскваА. А. Шаталов
Groundwork BioAG
Email: amsemenov@list.ru
Израиль, Mazor
Е. В. Семенова
Московский государственный университет имени М.В. Ломоносова
Email: amsemenov@list.ru
биологический факультет
Россия, МоскваСписок литературы
- Аристовская Т.В. О некоторых итогах работ по международной биологической программе в области почвенной микробиологии // Закономерности развития почвенных микроорганизмов / Ред. Т.В. Аристовская. Л.: Зоол. ин-т АН СССР, Центр. музей почвоведения, 1974. С. 5–14.
- Виноградский С.Н. Микробиология почвы. Проблемы и методы: пятьдесят лет исследований. М.: Изд-во АН СССР, 1952. 897 с.
- Гендугов В.М., Глазунов Г.П., Евдокимова М.В. Макрокинетика роста и отмирания микробов в почве // Микробиология. 2011. Т. 80 (4). С. 1–5.
- Горбенко Ю.А., Крышев И.И. Статистический анализ динамики морской экосистемы микроорганизмов. Киев: Наукова думка, 1985. 144 с.
- Егорова С.В. Изучение размеров биомассы бактерий в почвах лесов // Закономерности развития почвенных микроорганизмов / Ред. Т.В. Аристовская. Л.: Зоол. ин-т АН СССР, Центр. музей почвоведения, 1974. С. 70–76.
- Ефремова Т.Н. Динамика кратковременных колебаний численности бактерий в некоторых почвах полупустыни // Закономерности развития почвенных микроорганизмов / Ред. Т.В. Аристовская. Л.: Зоол. ин-т АН СССР, Центр. музей почвоведения, 1974. С. 77–86.
- Звягинцев Д.Г. Почва и микроорганизмы. М.: МГУ, 1987. 256 с.
- Звягинцев Д. Г., Зайцева В. Е. Динамика численности почвенных бактерий, учитываемых разными методами // Микробиология. 1979. Т. 48 (5). С. 915–919.
- Зыкина Л.В. Ежедневная динамика численности бактерий в дерново-подзолистых почвах под луговыми угодьями // Закономерности развития почвенных микроорганизмов / Ред. Т.В. Аристовская. Л.: Зоол. ин-т АН СССР, Центр. музей почвоведения, 1974. С. 168–177.
- Куприянов А.А., Семенов А.М., ван Бругген А.Х.К. Перемещение энтеропатогенных и сапротрофных бактерий в цикле экониш: животные–экскременты–почва–растения–животные // Изв. РАН. Сер. биол. 2010. № 3. С. 318–323.
- Лаврентьева Е.В., Семенов А.М., Зеленев В.В. и др. Ежедневная динамика целлюлазной активности в пахотной почве в зависимости от обработки // Почвоведение. 2009. № 8. С. 952–961.
- Лимарь Т.Е., Полянская Л.М., Кожевин П.А., Звягинцев Д.Г. Приемы повышения численности клубеньковых бактерий в почве // Микробиология. 1984. Т. 53 (5). С. 830–832.
- Низовцева Д.В., Семенов А.М., Паников Н.С. Влияние влажности на целлюлазную активность микроорганизмов в верховом торфе // Микробиология. 1995. Т. 64 (6). С. 827–832.
- Самцевич С.А. О сезонности и периодичности развития микроорганизмов в почве // Микробиология. 1955. Т. 24 (5). С. 615–625.
- Семенов А.М. Трофическое группирование и динамика развития микробных сообществ в почве и ризосфере: Дис. … докт. биол. наук. М.: МГУ имени М.В. Ломоносова, 2005. 68 с.
- Семенов А.М., Джукич Д.А. Микробные сообщества в почвообразовательных процессах и здоровье почвы // Эволюция биосферы с древнейших времен до наших дней. Сер. “Геобиологические системы в прошлом”. М.: ПИН РАН, 2019. С. 171–189.
- Семенов В.М., Когут Б.М. Почвенное органическое вещество. М.: ГЕНОС, 2015. 233 с.
- Семенов А.М., Семенова Е.В. Почва как биологическая система и ее новая категория — здоровье // Успехи соврем. биол. 2018. Т. 138 (2). С. 115–125.
- Семенов А.М., Шаталов А.А. Флуоресцентно-микроскопические методы учета микроорганизмов в экологических исследованиях. Метод. пособие. М.: МАКС Пресс, 2003. 24 с.
- Семенов А.М., Бубнов И.А., Семенов В.М. др., Ежедневная динамика численности бактерий и эмиссии СО2 почвы и связь их волнообразных колебаний с сукцессией микробного сообщества // Почвоведение. 2013. № 8. С. 963–979.
- Семенов А.М., Шаталов А.А., Семенова Е.В. О периодических колебаниях численности клеток микроорганизмов в природе и в чистой культуре; к третьему закону популяционной экологии в микробиологии // Успехи соврем. биол. 2022. Т. 142 (6). С. 591–602. [Semenov A.M., Shatalov A.A., Semenova E.V. About periodic oscillations of the microorganisms cells number in nature and in pure culture: to the third law of population ecology in microbiology // Biol. Bull. Rev. 2022. V. 12 (2). P. 151–161.]
- Смирнов В.И. Курс высшей математики. Т. 2. М.: Наука, 1974. 655 с.
- Сомова Л.М., Андрюков Б.Г., Ляпун И.Н. Гетероморфизм клеточной персистенции возбудителей сапронозов в различных условиях среды обитания // Журн. микробиол. эпидемиол. иммунол. 2020. Т. 97 (1). С. 62–71.
- Чернов Т.И., Железова А.Д. Динамика микробных сообществ почвы в различных диапазонах времени (обзор) // Почвоведение. 2020. № 5. С. 590–600.
- Щапова Л.Н., Ежедневная динамика численности микроорганизмов в некоторых почвах приморья // Закономерности развития почвенных микроорганизмов / Ред. Т.В. Аристовская. Л.: Зоол. ин-т АН СССР, Центр. музей почвоведения // 1974. С. 126–136.
- Эль-Регистан Г.И., Лойко Н.Г., Николаев Ю.А. Выживание стареющих микробных популяций при летальных воздействиях // Микробиология. 2022. Т. 91 (6). С. 708–719.
- Эмер Н.Р., Семенов А.М., Зеленев В.В. и др. Ежесуточная динамика численности и активности азотфиксирующих бактерий на участках залежной и интенсивно возделываемой почвы // Почвоведение. 2014. № 8. С. 963–970.
- Юршенас Д.А., Каширская Н.Н. Обзор основных таксономических групп микроорганизмов в почвах зонального ряда по данным метагеномного анализа и флуоресцентной гибридизации in situ // Успехи соврем. биол. 2022. T. 142 (6). С. 578–590.
- Babiuk L.A., Paul E.A. The use of fluorescein isothiocyanate in the determination of the bacterial biomass of the grassland soil // Can. J. Microbiol. 1970. V. 16. P. 57–62.
- Blagodatskaya E., Kuzyakov Y. Active microorganisms in soil: critical review of estimation criteria and approaches // Soil Biol. Biochem. 2013. V. 67. P. 192–211.
- Blazewicz S.J., Hungate B.A., Koch B.J. et al. Taxon-specific microbial growth and mortality patterns reveal distinct temporal population responses to rewetting in a California grassland soil // ISME J. 2020. V. 14 (6). P. 1520–1532. https://doi.org/10.1038/s41396-020-0617-3
- Gómez-Brandón M., Aira M., Santana N., Pérez-Losada M. et al. Temporal dynamics of bacterial communities in a pilot-scale vermireactor fed with distilled grape marc // Microorganisms. 2020. V. 8. P. 1–19. https://doi.org/10.3390/microorganisms8050642
- Haugland R.P. Handbook of fluorescent probes and research chemicals. Sixth ed. Eugene. OR, USA: Molecular Probes Inc., 1996. 679 p.
- He M., Ma W., Zelenev V.V. et al. Short-term dynamics of greenhouse gas emissions and cultivable bacterial populations in response to induced and natural disturbances in organically and conventionally managed soils // Appl. Soil Ecol. 2017. V. 119. P. 294–306.
- Holt J.G., Krieg N.R., Sneath P.H.A. et al. Bergey’s manual of determinative bacteriology. Ninth ed. Published in 4 volumes. Baltimore, USA: Williams & Wilkins, 1994. P. 786–788.
- Lundgren B. Fluorescein diacetate as a stain of metabolically active bacteria in soil // Oikos. 1981. V 36. P. 17–22.
- Poindexter J.S. Oligotrophy. Feast and famine existence // Adv. Microbiol. Ecol. 1981. V. 5. P. 63–89.
- Semenov A.M. Physiological bases of oligotrophy of microorganisms and concept of microbial community // Microb. Ecol. 1991. V. 22. P. 239–247.
- Semenov A.M., Đukić D.A. The role of microbial communities in soil formation and soil ecosystem health // Paleontol. J. 2020. V 54 (8). P. 35–44.
- Semenov, A.M., van Bruggen, A.H.C., Zelenev, V.V. Moving waves of bacterial populations and total organic carbon along roots of wheat // Microb. Ecol. 1999. V. 37. P. 116–128.
- Semenov A.M., Khvatov I.L., Olenin A.V. Determination of the number of ammonification bacteria and activity of the ammonification process in soils and their relevance for the development of the of soil health parameter // Curr. Invest. Agricult. Curr. Res. 2019. V. 6 (2). P. 715–722.
- Stone B.W.G., Dijkstra P., Finley B.K. et al. Life history strategies among soil bacteria – dichotomy for few, continuum for many // ISME J. 2023. P. 1–9. https://doi.org/10.1038/s41396-022-01354-0
- Staley J.T. Kanopka A.K. Measurement of in situ activities of nonphotosynthetic microorganisms in aquatic and terrestrial habitats. Literature review // Ann. Rev. Microbiol. 1985. V. 39 (1). P. 321–346.
- Stevens T.O. Optimization of media for enumeration and isolation of aerobic heterotrophic bacteria from the deep terrestrial subsurface // J. Microbiol. Methods. 1995. V. 21. P. 293–303.
- Tsuji T., Kawasaki Y., Takeshima S., Sekiya T. et al. A new fluorescence staining assay for visualizing of living microorganisms in soil // Appl. Environ. Microbiol. 1995. V. 61. P. 3415–342.
- Trolldenier G. The use fluorescence microscopy for counting soil microorganisms // Modern methods in the study of microbial ecology / Proc. symposium held at the Agriculture college, Uppsala, Sweden, June 19–23, 1972. P. 53–59.
- Ushakova N.A., Abramov V.M., Khlebnikov V.S. et al. Properties of the probiotic strain Lactobacillus plantarum 8-RA-3 grown in a biofilm by solid substrate cultivation method // Prob. Antimicrob. Prot. 2012. V. 4 (3). P. 180–186.
- van Bruggen A.H.C, Semenov A.M. Relation between oligotrophic and copiotrophic bacterial colonies on agar plates and direct microscopic counts during initial stages of cover crop decomposition in soil // Ninth int. symposium on microbial ecol. collection of abstracts. The Netherlands, 2001. P. 126–126.
- van Bruggen A.H.C, Semenov A.M., Zelenev V.V. Wave-like distributions of microbial populations along an artificial root moving through soil // Microb. Ecol. 2000. V. 40. P. 250–259.
- van Bruggen A.H.C., Semenov A.M., van Diepeningen A.D. et al. Relation between soil health, wavelike fluctuations in microbial populations, and soil borne plant disease management // Eur. J. Plant Pathol. 2006. V. 115. P. 105–122.
- van Bruggen A.H.C, Semenov A.M., Zelenev V.V. et al. Wave-like distribution patterns of gfp-marked Pseudomonas fluorescens along roots of wheat plants drown in two soils // Microb. Ecol. // 2008. V. 55 (3). P. 466–475.
- van Bruggen A.H.C., He M., Zelenev V.V. et al. Relationships between greenhouse gas emissions and cultivable bacterial populations in conventional, organic and long-term grass plots as affected by environmental variables and disturbances // Soil Biol. Biochem. 2017. V. 114. P. 145–159.
- van Diepeningen A.D., de Vos O.J., Zelenev V.V. et al. DGGE fragments oscillate with or counter to fluctuations in cultivable bacteria along wheat roots // Microb. Ecol. 2005. V. 50 (4). P. 506–517.
- Zelenev V.V., van Bruggen A.H.C., Semenov A.M. Modelling wave-like dynamics of oligotrophic and copiotrophic bacteria along wheat roots in response to nutrient input from a growing root tip // Ecol. Modell. 2005a. V. 188 (2–4). P. 404–417.
- Zelenev V.V., van Bruggen A.H.C., Semenov A.M. Short-term wavelike dynamics of bacterial populations in response to nutrient input from fresh plant residues // Microb. Ecol. 2005b. V. 49. P. 83–93.
Дополнительные файлы










