Осаждение и флотационное концентрирование ионов неодима, эрбия и тулия алкилбензолсульфокислотой
- Авторы: Заболотных С.А.1, Денисова С.А.2, Кочнева Я.К.2, Райзер А.Е.2
-
Учреждения:
- “Институт технической химии Уральского отделения Российской академии наук” – филиал Пермского федерального исследовательского центра Уральского отделения Российской академии наук
- Пермский государственный национальный исследовательский университет
- Выпуск: Том 79, № 5 (2024)
- Страницы: 479-485
- Раздел: ОРИГИНАЛЬНЫЕ СТАТЬИ
- Статья получена: 09.12.2024
- Статья одобрена: 09.12.2024
- URL: https://journal-vniispk.ru/0044-4502/article/view/272523
- DOI: https://doi.org/10.31857/S0044450224050066
- EDN: https://elibrary.ru/utaaxp
- ID: 272523
Цитировать
Полный текст
Аннотация
Исследована возможность применения промышленно выпускаемого анионного поверхностно-активного вещества алкилбензолсульфокислоты для осаждения и флотационного извлечения ионов неодима(III), эрбия(III) и тулия(III). Рассмотрено влияние концентрации и соотношения реагирующих компонентов, содержания серной кислоты и гидроксида натрия на степень осаждения ионов металлов. Установлен состав образующихся соединений и рассчитаны их условные произведения растворимости. Оптимизированы условия флотации ионов металлов с алкилбензолсульфокислотой.
Ключевые слова
Полный текст
Академик А.Е. Ферсман еще в 40-е годы XX века назвал редкоземельные металлы “витаминами промышленности”. Действительно, материалы, содержащие редкоземельные элементы (РЗЭ), являются ключевыми компонентами самых разных материалов и технологий. Их используют в производстве мощных постоянных магнитов, катализаторов для крекинга нефти, синтеза каучука и др. Введение РЗЭ в состав выпускаемой продукции придает ей уникальные свойства, которые используются в металлургии, приборостроении, машиностроении, радиоэлектронике, химической и оборонной промышленности, оптике и т.д. [1–4].
Источниками редкоземельных металлов преимущественно являются лопаритовые нефелиновые сиениты и апатит-нефелиновые руды, в которых РЗЭ присутствуют в качестве примесей [1, 2, 5]. Существуют методы непосредственного обогащения данных руд флотацией [1], но также целесообразно попутное извлечение РЗЭ из продуктов переработки (растворов выщелачивания) [6]. Одним из наиболее распространенных методов выделения РЗЭ является жидкостная экстракция [7–10], что обусловлено возможностью проведения экстракционных процессов в автоматическом режиме, а также применением трибутилфосфата и его аналогов как дешевых и эффективных экстрагентов. В зависимости от условий производства применяют также сорбционные [11] и осадительные методы [12], селективное окисление или восстановление [3]. Не менее перспективным для извлечения РЗЭ из продуктов переработки различного сырья является метод ионной флотации, который позволяет эффективно извлекать целевой продукт при его относительно низких концентрациях, характеризуется высокой скоростью процесса и экологической безопасностью.
В связи с тем, что редкоземельные элементы в растворах находятся преимущественно в виде катионов или гидроксокатионов, для их флотации выбирают соединения, содержащие анион, с которым ионы РЗЭ образуют малорастворимые гидрофобные комплексы или соли. В Санкт-Петербургском горном университете проведены обширные исследования процессов флотации соединений ионов редкоземельных элементов с анионогенным ПАВ додецилсульфатом натрия [4, 13]. Установлены формы существования РЗЭ в водных растворах в зависимости от рН [14, 15], рассчитаны термодинамические параметры ионной флотации из азотнокислых и хлоридных растворов [16–19], найдены условия разделения РЗЭ при их совместном присутствии [20–22]. Недостаток данного реагента – достаточно высокое значение pH извлечения ионов РЗЭ из растворов (рН > 6.0), в то время как источниками редкоземельных элементов являются растворы сернокислотного или азотнокислотного выщелачивания.
Нами в качестве реагента для ионной флотации редкоземельных элементов, рассмотрено близкое по составу к додецилсульфату натрия анионогенное поверхностно-активное вещество – алкилбензолсульфокислота (АБСК). Данное ПАВ предложено в качестве компонента расслаивающихся систем для экстракции [23, 24] и пенообразующей добавки в обогатительной флотации апатита [25]. Важным преимуществом АБСК является осаждение РЗЭ из растворов с рН < 6.0 [26]. В нашей предыдущей работе [27] показана возможность флотационного извлечения La(III), Sm(III) и Tb(III) с АБСК в виде простых солей состава РЗЭ(CnH2n+1C6H4SO3)3 в интервале рН от 1.5 до 5.0.
Цель данного исследования – оптимизация условий эффективного извлечения ионов Nd(III), Er(III) и Tm(III) алкилбензолсульфокислотой при осаждении и ионной флотации.
ЭКСПЕРИМЕНТАЛЬНАЯ ЧАСТЬ
Реактивы. Анионогенное ПАВ алкилбензолсульфокислота, марка А (ООО “КИНЕФ”, Россия) ТУ 2481-026-05766480-2006, общая формула CnH2n+1C6H4SO3Н, где n = 10–14, средняя молекулярная масса 320.9 г/моль, содержание основного вещества 96.8%. Раствор с концентрацией 0.1 М готовили растворением навески АБСК в дистиллированной воде. Точную концентрацию ПАВ устанавливали потенциометрически и титрованием раствором NaOH в присутствии бромкрезоловогого зеленого [28]. Растворы с концентрациями 0.01, 0.001, 0.0001 М получали соответствующим разбавлением.
Использовали нитраты неодима Nd(NО3)3, эрбия Er(NО3)3 и тулия Tm(NО3)3 ч. д. а (ТУ 6-09-4676-83). Растворы с концентрацией иона РЗЭ 0.1 М готовили растворением точной навески в дистиллированной воде. Концентрацию ионов редкоземельного элемента устанавливали комплексонометрическим титрованием с ксиленоловым оранжевым в присутствии уротропинового буферного раствора с рН 5.1 [29]. Растворы меньшей концентрации получали соответствующим разбавлением в день использования, во избежание гидролиза подкисляли раствором HNO3 до слабокислой реакции среды.
Растворы серной кислоты готовили разбавлением конц. H2SO4 х. ч., ρ = 1.83 г/мл (Сигма Тек, Россия), 0.1 М раствор NaOH готовили из фиксанала.
Процессы осаждения ионов РЗЭ с АБСК изучали в зависимости от мольного соотношения иона металла и реагента, концентраций компонентов, времени перемешивания растворов, кислотности среды. В химический стакан емк. 50.0 мл вносили 2.0 мл раствора РЗЭ, рассчитанные количества раствора АБСК, дистиллированную воду до общего объема 20.0 мл и перемешивали в течение 1–10 мин. Раствор отделяли через фильтр “синяя лента”, измеряли рНравн иономером Мультитест-101 и определяли остаточную концентрацию ионов РЗЭ.
Содержание ионов РЗЭ в различных образцах определяли фотометрически по градуировочному графику (ЮНИКО-1201, λ = 652–654 нм, l =1.0 см) [30].
Степень осаждения ионов РЗЭ (S, %) рассчитывали по формуле:
(1)
где cоРЗЭ – начальная концентрация ионов РЗЭ, М; cРЗЭ – концентрация ионов РЗЭ в фильтрате после осаждения, М.
Определение условного произведения растворимости. В фильтрате после осаждения устанавливали остаточное содержание ионов РЗЭ и АБСК. Концентрацию АБСК определяли спектрофотометрически по градуировочному графику (СФ-2000, λ = 224 нм, l =1.0 см) [31].
Значение условного произведения растворимости (ПРусл) находили по уравнению:
ПРусл=[РЗЭ3+ ]⋅[АБС–]3, (2)
где [РЗЭ3+] и [АБС–] – равновесные концентрации ионов редкоземельного металла и алкилбензолсульфонат-ионов в растворе над осадком, М.
Полученные осадки ионов РЗЭ с АБСК высушивали на воздухе до постоянной массы. Для термогравиметрического анализа осадков применяли термоанализатор TGA/DSC 1 (Mettler Toledo, Швейцария). Элементный анализ проводили на элементном анализаторе Vario EL Cube (Elementar, Германия).
Ионная флотация. Применяли механическую флотомашину ФМЛ 0.3 с объемом камеры 200.0 мл. Сбор пены осуществляли автоматически. В мерную колбу емк. 200 мл вносили 2.0 мл 0.1 М раствора иона РЗЭ, доводили до метки дистиллированной водой. Полученный раствор переносили во флотационную ячейку, вводили рассчитанное количество 0.1 М раствора АБСК, выдерживали в течение 3 мин для созревания осадка при постоянном перемешивании со скоростью 25 об/с, включали подачу воздуха с объемной скоростью 40 мл/мин и собирали пену, содержащую сублат. По окончании флотации в камерном растворе определяли рНравн и остаточное содержание ионов РЗЭ. Степень извлечения ионов РЗЭ (R, %) в сублате рассчитывали по формуле (1), где cоРЗЭ – начальная концентрация ионов РЗЭ, М; сРЗЭ – концентрация ионов РЗЭ в ячейке после флотации, М.
РЕЗУЛЬТАТЫ И ИХ ОБСУЖДЕНИЕ
Осаждение ионов редкоземельных элементов. При взаимодействии ионов неодима(III) с АБСК образуется сиреневый аморфный осадок, эрбия(III) – бледно-розовый, а тулия(III) – белый. Осадки легко коагулируются, после высушивания темнеют и представляют собой полупрозрачную пасту. Плохо растворимы в воде, но легко растворяются в 1.0 М растворе серной кислоты или органических растворителях (этанол, ацетон).
Увеличение содержания АБСК по отношению к ионам РЗЭ приводит к росту степени осаждения неодима, эрбия и тулия (табл. 1) при их концентрации в смеси 0.01 и 0.001 М. Для ионов Nd(III) и Er(III) степень осаждения максимальна при мольном соотношении РЗЭ : АБСК, равном 1 : 3, для Tm(III) 1 : 3.5. Дальнейшее увеличение содержания ПАВ приводит к образованию устойчивых суспензий, стабилизируемых избытком АБСК. При концентрациях ионов РЗЭ менее 0.001 М степень их осаждения существенно уменьшается вследствие растворимости и образования устойчивых суспензий. После осаждения ионов РЗЭ алкилбензолсульфокислотой при различных концентрациях и соотношениях компонентов рНравн фильтрата находится в интервале от 1.5 до 2.9. Для максимального осаждения неодима и эрбия достаточно 3 мин перемешивания, для тулия – 1 мин.
Таблица 1. Зависимость степени осаждения (S, %) ионов Nd(III), Er(III) и Tm(III) от мольных соотношений РЗЭ : алкилбензолсульфокислота (τ = 3 мин (Nd, Er), 1 мин (Tm))
РЗЭ : АБСК | Nd(III) | Er(III) | Tm(III) | |||||||||
1.0 × 10–3 М | 1.0 × 10–2 М | 1.0 × 10–3 М | 1.0 × 10–2 М | 1.0 × 10–3 М | 1.0 × 10–2 М | |||||||
pHравн | S, % | pHравн | S, % | pHравн | S, % | pHравн | S, % | pHравн | S, % | pHравн | S, % | |
1 : 1 | 3.0 | 19.92 | 2.0 | 19.09 | 2.9 | 43.76 | 2.0 | 36.78 | 2.9 | 38.60 | 2.0 | 27.29 |
1 : 2 | 2.7 | 53.56 | 1.7 | 53.50 | 2.7 | 60.87 | 1.7 | 60.08 | 2.7 | 65.15 | 1.7 | 58.86 |
1 : 3 | 2.7 | 86.41 | 1.5 | 91.88 | 2.7 | 91.05 | 1.6 | 91.83 | 2.5 | 88.66 | 1.6 | 88.83 |
1 : 3.5 | Суспензия | 1.5 | 98.24 | |||||||||
1 : 4 | Суспензия | |||||||||||
Образующиеся осадки выделены препаративно и исследованы методами химического, термогравиметрического и элементного анализа. Мольные соотношения иона металла и аниона ПАВ в соединениях для всех элементов близко к 1 : 3.3 (табл. 2). Можно предположить, что наличие небольшого избытка АБСК объясняется ее адсорбцией на поверхности осадка. Таким образом, образующиеся осадки представляют собой простые соли состава РЗЭ(CnH2n+1C6H4SO3)3. Предполагаемое уравнение реакции осаждения ионов редкоземельных элементов АБСК можно представить следующим образом:
РЗЭ3+ + 3CnH2n+1C6H4SO3– = РЗЭ(CnH2n+1C6H4SO3)3↓.
Таблица 2. Характеристики осадков лантанидов с алкилбензолсульфокислотой
Элемент | Содержание, мас.% | РЗЭ : АБСК | ПРусл | |||||||
РЗЭ | C | H | S | |||||||
теор.1 | эксп. | теор. | эксп. | теор. | эксп. | теор. | эксп. | |||
Nd | 13.07 | 11.432, 15.463 | 56.84 | 56.894 | 7.17 | 7.694 | 8.56 | 8.424 | 1 : 3.52 | 3.53 × 10–10 |
Er | 14.84 | 14.692, 15.563 | 55.68 | 54.234 | 7.02 | 7.584 | 8.38 | 8.054 | 1 : 3.32 | 3.74 × 10–10 |
Tm | 14.97 | 15.313 | 57.41 | 57.964 | 7.18 | 8.104 | 8.52 | 8.374 | 1 : 3.22 | 1.04 × 10–10 |
1Молярную массу (М) соединения рассчитывали для состава РЗЭ(CnH2n+1C6H4SO3)3; М алкилбензолсульфонат-иона равна 319.9 г/моль.
2Результаты спектрофотометрического анализа.
3Результаты термогравиметрического анализа. Считали, что в результате получаются оксиды РЗЭ (термоанализатор TGA/DSC 1 (Mettler Toledo)).
4Результаты элементного анализа (элементный анализатор Vario EL Cube (Elementar)).
Рассчитанные условные произведения растворимости полученных соединений для разных ионов близки, что затрудняет разделение РЗЭ за счет процессов осаждения−растворения.
При соотношении компонентов 1 : 3 изучено влияние содержания гидроксида натрия или серной кислоты на осаждение ионов. Зависимости степени осаждения ионов РЗЭ АБСК от рН среды имеют схожий вид (рис. 1):
- в интервале рН 2.0–6.0 степень осаждения составляет 85–95%, образуются преимущественно аморфные, легко коагулирующиеся осадки соединений ионов РЗЭ с алкилбензолсульфонат-ионами;
- при рН 8.0–12.0 степень осаждения составляет 89–97%, осадки также аморфные, но не коагулирующиеся, рыхлые, представляют собой преимущественно гидроксиды ионов РЗЭ;
- при рН 6.0–8.0 степень осаждения падает, что вызвано изменением состава образующихся осадков.
Рис. 1. Зависимость степени осаждения ионов Nd(III), Er(III) и Tm(III) алкилбензолсульфокислотой от рН среды (РЗЭ : АБСК = 1 : 3, cРЗЭ = 1.0 × 10–3 М, τ = 3 мин).
При введении серной кислоты в смеси 0.01 М растворов ионов Er(III) и Tm(III) c АБСК до концентрации 0.005 М наблюдается небольшой рост степени осаждения. Дальнейшее увеличение концентрации H2SO4 приводит к постепенному растворению осадков (табл. 3).
Таблица 3. Зависимость степени осаждения соединений ионов Er(III) и Tm(III) с алкилбензолсульфокислотой от концентрации серной кислоты (cРЗЭ = 1.0 × 10–2 М, РЗЭ : АБСК = 1 : 3)
Er(III) | Tm(III) | ||
c(H2SO4), М | S, % | c(H2SO4), М | S, % |
– | 91.83 | – | 88.83 |
0.005 | 98.37 | 0.005 | 95.13 |
0.05 | 90.33 | 0.05 | 89.46 |
0.1 | 84.45 | 0.1 | 79.97 |
0.2 | 79.08 | 0.2 | 72.67 |
0.5 | Суспензия | 0.5 | Суспензия |
Флотация солей ионов редкоземельных элементов с алкилбензолсульфокислотой. В табл. 4 представлены результаты флотационного извлечения ионов Nd(III), Er(III) и Tm(III) алкилбензолсульфокислотой в зависимости от мольного соотношения компонентов. Как видно, при увеличении количества АБСК при флотации до трехкратного избытка по отношению к ионам РЗЭ наблюдается рост степени извлечения РЗЭ. Дальнейшее повышение концентрации ПАВ приводит к обильному пенообразованию, что плохо сказывается на качестве флотации.
Таблица 4. Зависимость степени извлечения (R, %) ионов Nd(III), Er(III) и Tm(III) от количества алкилбензолсульфокислоты (cРЗЭ = 1.0 × 10–3 М, РЗЭ : АБСК = 1 : 3, τфл = 5 мин (Nd, Er), 7 мин (Tm))
РЗЭ : АБСК | Nd(III) | Er(III) | Tm(III) | |||
pHравн | R, % | pHравн | R, % | pHравн | R, % | |
1 : 1 | 3.0 | 17.86 | 3.3 | 38.95 | 2.8 | 44.03 |
1 : 2 | 2.8 | 55.97 | 2.9 | 67.27 | 2.4 | 61.55 |
1 : 3 | 2.7 | 90.54 | 2.6 | 92.62 | 2.2 | 88.08 |
1 : 3.5 | Избыток пены | Избыток пены | 2.2 | 85.42 | ||
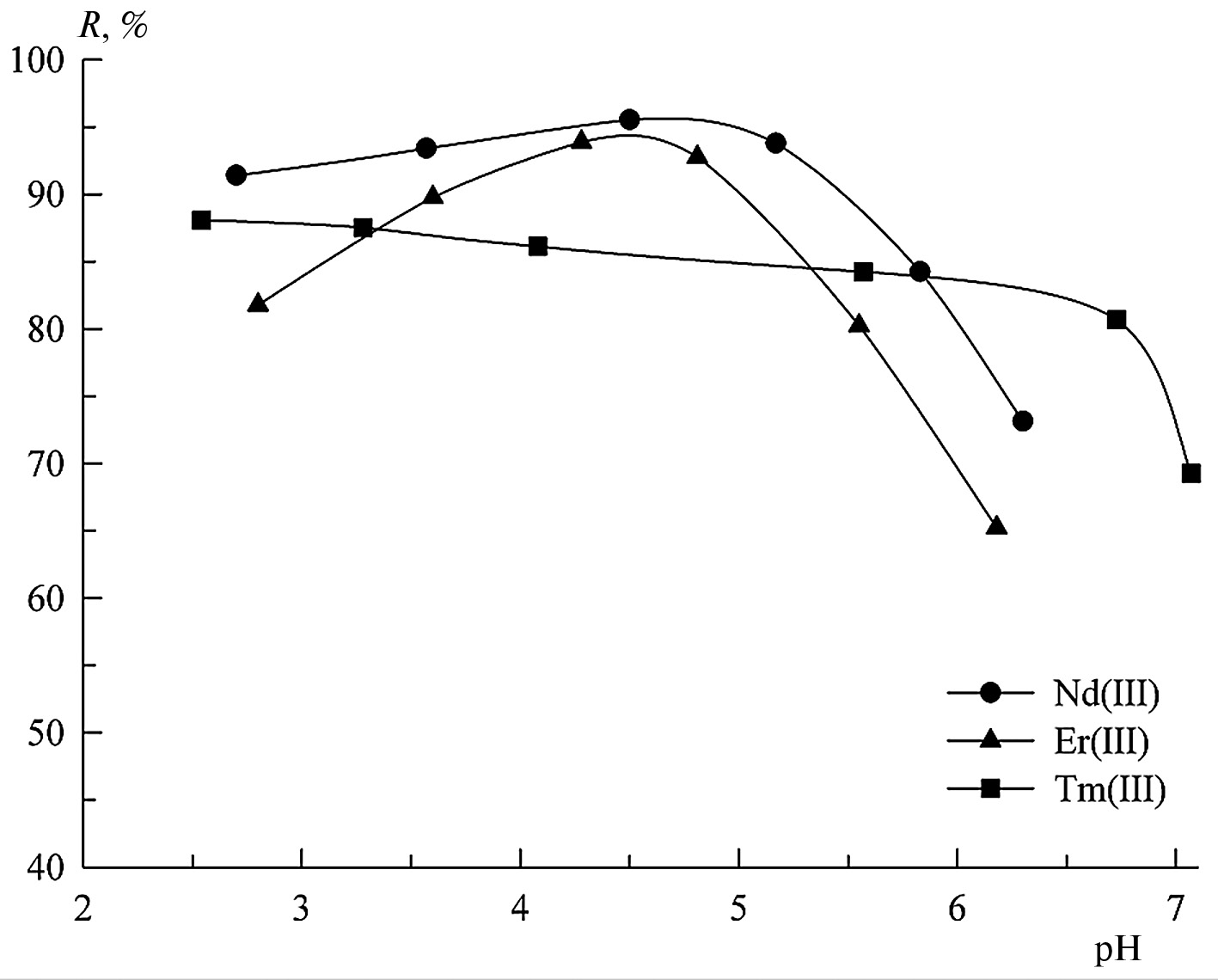
Согласно полученным результатам, извлечение ионов неодима(III), эрбия(III) и тулия(III) происходит в кислой среде (рН 2.2–3.3). Однако, как отмечено выше, флотационное извлечение редкоземельных элементов додецилсульфатом натрия в кислой среде практически не происходит, а начинается при рН > 6.0 за счет извлечения гидроксидодецилсульфатов [4]. В связи с этим изучена флотация рассматриваемых ионов РЗЭ алкилбензолсульфокислотой при подщелачивании растворов.
При рН > 6.0 степень извлечения ионов РЗЭ АБСК уменьшается (рис. 2), так как в этих условиях из водных растворов солей РЗЭ начинают осаждаться преимущественно гидроксиды, которые флотируются хуже вследствие их гидрофильности. Таким образом, для эффективной флотации необходимо, чтобы образующиеся осадки содержали в составе алкилбензолсульфонат-ион, обеспечивающий их гидрофобность.
Рис. 2. Зависимость степени флотационного извлечения ионов Nd(III), Er(III) и Tm(III) алкилбензолсульфокислотой от рН среды (РЗЭ : АБСК = 1 : 3, cРЗЭ = 1.0 × 10–3 М, τфл = 5 мин).
***
Рассмотрена возможность осаждения и флотационного извлечения ионов неодима(III), эрбия(III) и тулия(III) алкилбензолсульфокислотой. Установлены составы образующихся соединений РЗЭ с АБСК, рассчитаны условные произведения растворимости. Осаждение от 82 до 95% ионов РЗЭ в виде солей состава РЗЭ(CnH2n+1C6H4SO3)3 наблюдается в интервале рН 1.3–6.0. Увеличение pH среды за счет добавления гидроксида натрия приводит к изменению характера осадка. Оптимальным как для осаждения, так и для флотации является мольное соотношение компонентов, равное 1 : 3. Флотационное извлечение соединений ионов РЗЭ с АБСК возможно при рН среды < 6.0, так как в этом случае в составе осадков присутствует алкилбензолсульфонат-ион, обеспечивающий возможность протекания флотации.
ФИНАНСИРОВАНИЕ РАБОТЫ
Работа выполнена при финансовой поддержке Пермского Научно-образовательного центра “Рациональное недропользование” и в рамках государственного задания (номер государственной регистрации темы 124020500033-8).
Работа выполнена с использованием оборудования Центра коллективного пользования “Исследования материалов и вещества” Пермского федерального исследовательского центра Уральского отделения Российской академии наук.
КОНФЛИКТ ИНТЕРЕСОВ
Авторы данной работы заявляют, что у них нет конфликта интересов.
Об авторах
С. А. Заболотных
“Институт технической химии Уральского отделения Российской академии наук” – филиал Пермского федерального исследовательского центра Уральского отделения Российской академии наук
Автор, ответственный за переписку.
Email: zabolotsveta@mail.ru
Россия, Пермь, 614013
С. А. Денисова
Пермский государственный национальный исследовательский университет
Email: zabolotsveta@mail.ru
Россия, Пермь, 614013
Я. К. Кочнева
Пермский государственный национальный исследовательский университет
Email: zabolotsveta@mail.ru
Россия, Пермь, 614013
А. Е. Райзер
Пермский государственный национальный исследовательский университет
Email: zabolotsveta@mail.ru
Россия, Пермь, 614013
Список литературы
- Юшина Т.И., Петров И.М., Гришаев С.И., Черный С.А. Обзор рынка РЗМ и технологий переработки редкоземельного сырья // Горный информационно-аналитический бюллетень (научно-технический журнал). 2015. № S1. С. 577.
- Косынкин В.Д., Трубаков Ю.М., Сарычев Г.А. Прошлое и будущее редкоземельного производства в России // Евразийское научное объединение. 2015. Т. 1. № 6. С. 49.
- Юрасова О.В., Харламова Т.А., Семенов А.А., Василенко С.А., Гасанов А.А., Алафердов А.Ф., Добрынина Т.В., Федулова Т.В. Исследования по извлечению церия из растворов концентратов редкоземельных металлов электрохимическим и экстракционным методами // Изв. вузов. Цветная металлургия. 2016. № 4. С. 34.
- Lobacheva O.L., Dzhevaga N.V. Method for removing valuable components from technogenic solutions by the example of rare earth elements // J. Phys.: Conf. Ser. 2020. P. 42016.
- Кулешевич Л.В., Дмитриева А.В. Минералы и источники редкоземельных элементов в Карелии // Уч. зап. Петрозавод. гос. ун-та. 2012. Т. 125. № 4. С. 62.
- Локшин Э.П., Тареева О.А. Извлечение редкоземельных металлов из фосфогипса и экстракционной фосфорной кислоты, получаемых при переработке Хибинского апатитового концентрата // Цвет. мет. 2016. Т. 883. № 7. С. 52.
- Эрлих Г.В., Лисичкин Г.В. Сорбция в химии редкоземельных элементов // Журн. общ. химии. 2017. Т. 87. № 6. С. 1001. (Ehrlich G.V., Lisichkin G.V. Sorption in the chemistry of rare earth elements // Russ. J. Gen. Chem. 2017. Т. 87. № 6. P. 1220.)
- Иванова И.С., Криворотько Е.С., Илюхин А.Б., Демин С.В., Пятова Е.Н., Баулин В.Е., Цивадзе А.Ю. Экстракция редкоземельных элементов в системе 1,1,7-тригидрододекафторгептанол – вода фосфорилподандами, производными дифосфоновых кислот // Журн. неорг. химии. 2019. Т. 64. № 5. С. 538. (Ivanova I.S., Ilyukhin A.B., Demin S.V., Pyatova E.N., Krivorotko E.S., Baulin V.E., Tsivadze A.Y. Extraction of rare earth elements in 1,1,7-trihydrododecafluoroheptanol – water system with phosphoryl podands derived from diphosphonic acids // Russ. J. Inorg. Chem. 2019. V. 64. № 5. P. 666.)
- Радушев А.В., Никитина В.А., Батуева Т.Д. Гидразиды α-разветвленных третичных карбоновых кислот как экстрагенты ионов редкоземельных металлов из сульфатных сред // Журн. прикл. химии. 2021. Т. 94. № 5. С. 590. (Radushev A.V., Nikitina V.A., Batueva T.D. α-Branched tertiary carboxylic acid hydrazides as extractants of rare-earth metal ions from sulfate media // Russ. J. Appl. Chem. 2021. V. 94. № 5. P. 595.)
- Шишкин Д.Н., Петрова Н.К. Разделение РЗЭ(III) и Am(III) экстракцией соединениями циркония и дибутилфосфорной кислоты из растворов азотной и соляной кислот // Радиохимия. 2021. Т. 63. № 4. С. 381. (Shishkin D.N., Petrova N.K. Separation of REE(III) and Am(III) by extraction with compounds of zirconium and dibutyl phosphoric acid from solutions of nitric and hydrochloric acids // Radiochemistry. 2021. V. 63. № 4. P. 470.)
- Сайкина О.Ю., Юрасова О.В., Василенко С.А. Сорбционное извлечение редкоземельных металлов в процессе переработки фосфогипса // Цвет. мет. 2016. Т. 888. № 12. С. 44.
- Эркинбаева Н.А., Ысманов Э.М., Ташполотов Ы. Технология получения редкоземельных элементов из шлака Кадамжайского сурьмяного комбината с применением неорганических и органических реагентов методом осаждения // Тенденции развития науки и образования. 2021. № 74-2. С. 143.
- Карпова А.Ю., Лобачева О.Л. Ионная флотация самария (3+) // Фундаментальные и прикладные исследования в современном мире. 2018. Т. 22. С. 62.
- Чиркст Д.Э., Лобачева О.Л., Джевага Н.В. Термодинамика образования гидроксидов и гидроксокомплексов лантана(III) и гольмия(III) // Журн. физ. химии. 2011. Т. 85. № 11. С. 2011. (Chirkst D.E., Lobacheva O.L., Dzhevaga N.V. Thermodynamic properties of lanthanum (III) and holmium (III) hydroxo compounds // Russ. J. Phys. Chem. A. 2011. V. 85. № 11. P. 1872.)
- Чиркст Д.Э., Лобачева О.Л., Берлинский И.В. Энергии Гиббса образования гидроксидов лантаноидов и иттрия // Журн. физ. химии. 2010. Т. 84. № 12. С. 2241. (Chirkst D.E., Lobacheva O.L., Berlinskii I.V. Gibbs energies of formation of hydroxides of lanthanides and yttrium // Russ. J. Phys. Chem. A. 2010. V. 84. № 12. P. 2047.)
- Берлинский И.В., Лобачева О.Л., Луцкий Д.С. Определение термодинамических характеристик ионной флотации Ce(III), Eu(III), Sm(III) из водных растворов // Естественные и технические науки. 2018. Т. 118. № 4. С. 14.
- Чиркст Д.Э., Лобачева О.Л., Берлинский И.В., Черемисина О.В. Термодинамическое исследование ионной флотации иттербия // Вестник СПбГУ. Физика и химия. 2010. № 2. С. 137.
- Чиркст Д.Э., Лобачева О.Л., Джевага Н.В. Ионная флотация лантана (III) и гольмия (III) из нитратных и нитратно-хлоридных сред // Журн. прикл. химии. 2012. Т. 85. № 1. С. 28. (Chirkst D.E., Lobacheva O.L., Dzhevaga N.V. Ion flotation of lanthanum (III) and holmium (III) from nitrate and nitrate-chloride media // Russ. J. Appl. Chem. 2012. V. 85. № 1. P. 25.)
- Чиркст Д.Э., Лобачева О.Л., Берлинский П.В., Джевага Н.В. Влияние хлоридов на ионную флотацию церия (III) и самария (III) // Журн. прикл. химии. 2011. Т. 84. № 2. С. 345. (Chirkst D.E., Lobacheva O.L., Berlinskii I.V., Dzhevaga N.V. Effect of chlorides on cerium (III) and samarium (III) ionic flotation // Russ. J. Appl. Chem. 2011. V. 84. № 2. P. 341.)
- Lutsky D.S., Dzhevaga N.V., Lobacheva O.L. Extraction, removal and separation of rare-earth elements in aqueous solutions // Nat. Tech. Sci. 2019. V. 130. № 4. P. 17.
- Лобачева О.Л., Чиркст Д.Э., Джевага Н.В., Бажин В.Ю. Ионная флотация катионов цериевой группы // Журн. прикл. химии. 2013. Т. 86. № 12. С. 1914. (Lobacheva O.L., Chirkst D.E., Dzhevaga N.V., Bazhin V.Yu. Ion flotation of cations of cerium group // Russ. J. Appl. Chem. 2013. V. 86. № 12. P. 1862.)
- Чиркст Д.Э., Лобачева О.Л., Джевага Н.В. Ионная флотация редкоземельных металлов с додецилсульфатом натрия // Журн. прикл. химии. 2011. Т. 84. № 9. С. 1424. (Chirkst D.E., Lobacheva O.L., Dzhevaga N.V. Ion flotation of rare-eaerth metals with sodium dodecyl sulfate // Russ. J. Appl. Chem. 2011. V. 84. № 9. P. 1476.)
- Заболотных С.А., Леснов А.Е., Денисова С.А., Гилева К.О. Экстракция ионов Pd(II), Ni(II), Co(II), Cu(II), Fe(III) и Zn(II) 1,2,3-бензотриазолом в системах на основе анионных ПАВ // Изв. вузов. Хим. и хим. технология. 2019. Т. 62. № 7. С. 38.
- Заболотных С.А., Гилева К.О., Леснов А.Е., Денисова С.А. Сравнение экстракционных возможностей систем на основе сульфонола, додецилсульфата натрия или алкилбензолсульфокислоты // Журн. прикл. химии. 2019. Т. 92. № 4. С. 516. (Zabolotnykh S.A., Gileva K.O., Lesnov A.E., Denisova S.A. Comparison of extractive capacities of systems based on sulfonol, sodium dodecyl sulfate or alkyl benzene sulfonic acid // Russ. J. Appl. Chem. 2019. V. 92. № 4. P. 555.)
- Брыляков Ю.Е., Быков М.Е., Кострова М.А., Паламарчук Г.К. Применение алкилбензолсульфокислоты при флотации апатита из руд Хибинского месторождения // Обогащение руд. 2003. № 5. С. 19.
- Заболотных С.А., Денисова С.А., Наговицын Р.Р. Осаждение ионов La(III), Sm(III) и Tb(III) анионогенным ПАВ алкилбензолсульфокислотой // Вестник ПГНИУ. Химия. 2021. Т. 11. № 4. С. 234.
- Zabolotnykh S.A., Denisova S.A., Nagovitsyn R.R., Vaulina V.N. Alkylbenzenesulfonic acid as a reagent for flotation extraction of lanthanum (III), samarium (III) and terbium (III) ions // ChemChemTech. 2023. V. 66. № 3. С. 45.
- Заболотных С.А., Денисова С.А. Определение алкилбензолсульфокислоты в водных растворах // Вестник ПГНИУ. Химия. 2021. Т. 11. № 1. С. 17.
- Шварценбах Г., Флашка Г. Комплексонометрическое титрование. М.: Химия. 1970. 360 c.
- Заболотных С.А., Денисова С.А. Спектрофотометрическое определение лантана (III) в присутствии алкилбензолсульфокислоты // Вестник ПГНИУ. Химия. 2020. Т. 10. № 3. С. 268.
- Заболотных С.А., Денисова С.А. Определение алкилбензолсульфокислоты в водных растворах // Вестник ПГНИУ. Химия. 2021. Т. 11. № 1. С. 17.
Дополнительные файлы





