Исследование спектров поглощения изотопологов NNO в области 4200–6500 см–1
- Autores: Синица Л.Н.1, Сердюков В.И.1, Емельянов Н.М.1
-
Afiliações:
- Институт оптики атмосферы им. В. Е. Зуева СО РАН
- Edição: Volume 98, Nº 6 (2024)
- Páginas: 58-65
- Seção: ЭКСПЕРИМЕНТАЛЬНАЯ И ТЕОРЕТИЧЕСКАЯ СПЕКТРОСКОПИЯ ГАЗОВОЙ ФАЗЫ
- ##submission.dateSubmitted##: 29.12.2024
- ##submission.dateAccepted##: 29.12.2024
- ##submission.datePublished##: 29.12.2024
- URL: https://journal-vniispk.ru/0044-4537/article/view/274850
- DOI: https://doi.org/10.31857/S0044453724060107
- EDN: https://elibrary.ru/PXLYBR
- ID: 274850
Citar
Texto integral
Resumo
Спектры поглощения семи изотопологов NNO (14N14N16O, 15N14N16O, 14N15N16O, 14N14N18O, 15N15N16O, 15N15N18O и 15N14N18O) исследованы в области 4200–6500 см–1 с помощью фурье-спектрометра Bruker FS-125M, используя образец, состоящий из NO (80%15N18O и 20%14N16O), а также небольшого количества изотопологов N2O. Погрешность измерения центров линий составила 0.0003 см–1, погрешность измерения интенсивностей линий 5–15%. Спектроскопические постоянные 27 полос определены при фитинге параметров контура линии к набору измеренных данных. Отмечено, что среднеквадратичное отклонение измеренных центров линий от рассчитанных (0.0005 см–1–0.0027 см–1) было близко к экспериментальной погрешности.
Texto integral
Исследование спектров поглощения изотопологов NNO в области 4200–6500 см–11
ВВЕДЕНИЕ
N2O один из наиболее важных атмосферных газов, играющий значительную роль в парниковом эффекте атмосферы. Наиболее распространенными изотопологами закиси азота являются изотопологи 14N14N16O (с содержанием в естественной смеси согласно [1] 9.903×10–1), 15N14N16O (3.641×10–3), 14N15N16O (3.641×10–3), 14N14N18O (1.986×10–3), 15N15N16O (3.654×10–3), 15N15N18O (0.00145%) и 15N14N18O (0.00145%). Современные исследования показывают, что основной изотополог изучен очень хорошо, в то время как редкие изотопологи нуждаются в исследовании, либо в уточнении данных, хотя они могут быть информативны для анализа определенных газовых смесей.
В базе данных HITRAN [1] имеется информация о линиях поглощения пяти изотопологов. Для изотополога 14N14N18O в диапазоне 3000–6000 см–1 эта информация взята из работ [2, 3], а для остальных изотопологов представлены данные табуляции работы [2]. Амио [4] изучил семь полос изотополога 15N14N18O в диапазоне 2000–3500 см–1, а также девяти полос 15N15N16O в диапазоне 4200–6400 см–1. Совсем недавно шесть полос изотополога 15N14N18O были изучены Вангом и др. [5] в немного более широком диапазоне 1200–3500 см–1, в области более высоких волновых чисел наблюдались две полосы 15N14N18O. Григс и др.[6] зарегистрировали на дифракционном спектрометре четыре полосы 15N15N18O в диапазоне 4200–4600 см–1. Манц и др. [7] зарегистрировали полосу 2ν3 при 4358 см–1, а также пять полос 15N15N18O в диапазоне 4200–4900 см–1. Полоса 3ν3 изотополога 15N14N18O вблизи 6492 см–1 изучалась Лю и др. [8]. Люлин и др. [9] зарегистрировали недавно на фурье-спектрометре 10 полос 15N15N16O в области 5800–7500 см–1. В работе [10] на основе всех имеющихся экспериментальных данных затабулирован лист линий изотопологов 15N15N16O и 15N15N18O.
В данной работе представлены результаты исследования спектра NNO в области 4200–6500 см–1. Спектр образца, состоящего из NO (80% 15N18O и 20% 14N16O) и следовых количеств изотопологов N2O, регистрировали на фурье-спектрометре Bruker IFS-125M. Было обнаружено, что образец содержал множество изотопологов закиси азота в повышенных концентрациях. В работе [11] мы провели исследование пяти полос изотополога 15N14N18O. В данной статье мы проводим анализ полос семи остальных изотопологов, зарегистрированных в спектре.
ЭКСПЕРИМЕНТАЛЬНАЯ ЧАСТЬ
Спектр поглощения закиси азота в диапазоне 4200–6500 см–1 зарегистрирован с помощью фурье-спектрометра Bruker IFS-125M со спектральным разрешением 0.0056 см–1 и многолучевой газовой кюветой с базой 60 см. Общий путь пути луча в кювете составил 2400 см. Спектрометр был оснащен галогенной лампой, германиевым фотодетектором и светоделителем из CaF2. Давление пробы измерялось датчиком АИР-20/М2-Н с погрешностью 0.03 гПа. К усредненной интерферограмме применялся метод фазовой коррекции Мерца с фазовым разрешением 1 см–1. Аподизация не применялась. Термостабилизация помещения позволяла осуществлять длительную запись (до 10 суток). Отношение сигнал/шум в записанных спектрах составляло около 3000 для сильных линий в области измерений. Это обеспечило хорошую точность определения параметров контура линий с интенсивностью выше 10–26 см/молекулу при 296 К. Спектр поглощения смеси закиси азота регистрировали при давлении газа 16 мбар. Условия измерений приведены в табл. 1.
Таблица 1. Условия эксперимента
Спектральное разрешение | 0.0056 см–1 |
Оптическая длина пути | 2400 см |
Давление | 16 мбар |
Температура | 24± 1°C |
Отношение сигнала к шуму | 3000 |
Источник излучения | Галогеновая лампа |
Диафрагма | 0.7 мм |
Длительность измерений | 10 дней |
Фотоприемникr | InGaAs |
Мы использовали образцы NO фирмы ИЗОТОП (80% 15Н18О и 20% 14Н16О), содержащий небольшое количество изотопологов N2O. Химические процессы внутри образца приводят к появлению ряда изотопологов закиси азота. Парциальное давление компонентов смеси определялось путем сравнения экспериментальных интенсивностей линий изотопологов NO и N2O в зарегистрированном спектре с интенсивностями линий из базы данных HITRAN2020 [1]. Установлено, что парциальное давление всех изотопологовN2O составляло около 1 мбар. Записанный спектр был очень плотным. В спектре обнаружили полосы поглощения девяти изотопологов N2O. На рис. 1 показан фрагмент записанного спектра. Большинство обнаруженных полос уже исследовано в литературе.
Рис. 1. Состав записанного спектра в области 4400–4800см–1. Указана полосы 2ν3 14N216O (446), 15N218O (558), 15N216O (556), 14N15N16O (456) и 15N14N18O (548)
Доплеровская полуширина на полувысоте (HWHM) составляла 0.0039 см–1 для NNO при температуре измерения, что было меньше разрешения спектрометра 0.0056 см–1. Это ограничивает точность измерений, особенно интенсивности и полуширины линии. На погрешность измерения центра линии разрешение оказывает меньшее влияние. Для измерений мы выбрали изолированные линии, рядом с которыми не было соседних линий в пределах 3 полуширин γ от центра линии. За изоляцией линий дополнительно следили по плавности относительного распределения интенсивности линий в полосе.
Параметры линий (центры линий, интенсивности) определялись с помощью программного пакета Wxspe, который позволяет осуществлять автоматический поиск пиков с использованием алгоритмов распознавания образов [12]. Этот программный пакет также позволяет подгонять параметры контура линии к набору измеренных данных с использованием процедуры регуляризации Тихонова. Параметры линии определялись по профилю Фойгта. Помимо подгонки измеренного профиля линии, программа определяла параметры инструментальной функции.
Частотная шкала фурье-спектрометра калибровалась по положениям 84 линий H216O в области 4000–6000 см–1 с интенсивностями более 3×10–25 см/молекулу. Положения линий взяты из работы [1]. Отклонение калиброванных центров линий от данных в базе данных HITRAN [1] не превышало 0.0003 см–1, что определяет точность измерений фурье-спектрометра. Дополнительная проверка точности измерений центров линий была проведена с помощью наиболее точных измерений линий поглощения NNO, выполненных в последнее время. На рис. 2 показаны различия между наблюдаемыми и расчетными значениями положения линий в зависимости от квантового числа m, где m = –J для P-ветви и m = J + 1 для R-ветви полосы 448. Отличие измеренных центров линий 448 от данных работы [3] не превышает 0.0003 см–1, что и определяет погрешность измерений центров линий на данном спектрометре.
Рис. 2. Отличие измеренных центров линий 448 в данной работе (черные квадраты) и данных работы [3] (красные кружки) от рассчитанных значений
ОБСУЖДЕНИЕ РЕЗУЛЬТАТОВ
Анализ зарегистрированного спектра
В спектре мы обнаружили полосы семи изотопологов: 14N14N16O, 15N14N16O, 14N15N16O, 14N14N18O, 15N15N16O, 15N15N18O и 15N14N18O. Линии были идентифицированы с использованием комбинационных разностей(КР) основных состояний, которые достаточно различны для разных изотопологов. В табл. 2 показаны комбинационные разности КР(J) = R(J–2)–P(J) изотопологов NNO для двух значений вращательного квантового числа J основного состояния. Изотопологи 15N14N16O и 15N15N16O, а также 15N14N18O и 15N15N18O, различающиеся массой второго атома азота, имеют наиболее близкие комбинационные разности. При J = 20 КД (J) различаются на 0.0016 см–1, тогда как при J = 30 эта разница достигает 0.006 см–1 и может быть надежно зарегистрирована спектрометром.
Таблица 2. Комбинационные разности NNO, см–1
J | 15N14N18O | 14N15N16O | 14N216O | 14N218O | 15N216O | 15N218O | 15N14N16O |
20 | 29.781 | 32.67006 | 32.67239 | 30.84564 | 31.56935 | 29.77666 | 31.56915 |
30 | 45.036 | 49.40357 | 49.40709 | 46.64563 | 47.73983 | 45.02978 | 47.73953 |
С помощью комбинационных разностей основных состояний были определены положения линий 30 колебательно-вращательных полос различных изотопологов. Для расчета комбинационных различий мы использовали спектроскопические константы из [2]. Наблюдаемые положения линий этих полос были использованы для аппроксимации спектроскопических констант верхних колебательных состояний, полученных по известному уравнению
, (1)
где GV – значение колебательного члена, BV – постоянная вращения, DV – константа центробежного искажения. Подполосы e-e- и f-f-полосы рассматривались отдельно. Подогнанные значения спектроскопических констант для полос представлены в табл. 3. Среднеквадратические значения разности подгонки (RMS), которые также показаны в таблицах, близки к погрешности наблюдений. Наблюдаемые и рассчитанные положения линий, а также их различия приведены в дополнительном материале. Колебательное отнесение следует рассматривать как предварительное из-за сильного перемешивания собственных функций гармонического осциллятора из-за резонансных колебательных взаимодействий в закиси азота.
Таблица 3. Спектроскопические постоянные (в см–1) для полос 14N14N16O
Колебательное состояние V1V2l2V3 | Линии | RMS ×103 см–1 | GV | BV | DV × 107 | RMS × 103 см–1 | Ссылки |
00°0 | 0 | 0.4190111 | 1.7609193 | [2] | |||
12°1 | P31/R28 | 0.06 | 4630.1614(2)a) | 0.4147609(1) | 2.378(1) | ||
4630.16115 | 0.414761758 | 2.405560 | 0.218222 | [2] | |||
20°1 | P33/R34 | 0.036 | 4730.8253(8) | 0.4121180(4) | 1.610(4) | ||
4730.82505 | 0.412118560 | 1.620142 | 0.224375 | [2] | |||
24°0 | P31/R21 | 0.089 | 4910.9962(4) | 0.4168956(2) | 3.482(3) | ||
4910.99555 | 0.416899659 | 3.603352 | 0.431905 | [2] | |||
10°2 | P40/R36 | 0.056 | 5646.7406(1) | 0.4103077(6) | 1.706(4) | ||
5646.74019 | 0.410308009 | 1.711981 | 0.448 | [2] | |||
22°1 | P27/R32 | 0.092 | 5888.1066(3) | 0.4129280(2) | 2.329(2) | ||
5888.10587 | 0.412930176 | 2.372173 | 0.513077 | [2] | |||
30°1 | P31/R34 | 0.054 | 5974.8456(2) | 0.4106711(9) | 1.362(8) | ||
5974.84507 | 0.410671277 | 1.364569 | 0.518974 | [2] | |||
42°0 | P20/R31 | 0.12 | 6295.4483(9) | 0.4124065(5) | 2.095(4) | ||
6295.44763 | 0.412409340 | 2.159055 | 0.392353 | [2] | |||
00°3 | P43/R44 | 0.098 | 6580.8541(2) | 0.4086356(8) | 1.745(4) | ||
6580.85370 | 0.408635527 | 1.745407 | 0.447458 | [2] | |||
32°0 | P32/R35 | 0.22 | 5026.3033(2) | 0.4143710(1) | 2.2811(9) | ||
5026.30292 | 0.414404152 | 2.349362 | [2] |
a) В скобках дана погрешность в единицах последней значащей цифры.
14N14N16O. Все зарегистрированные полосы 14N14N16O наблюдались ранее Тосом [2]. Положения центров линий в работе [2] имеют довольно большие неопределенности. Нам удалось улучшить позиции линий поглощения полос 14N14N16O. В табл. 3 приведены значения колебательной энергии и вращательных постоянных верхних колебательных уровней. Значения вращательных постоянных, полученные в настоящей работе, близки к данным работы [2], в то время как колебательная энергия GV верхних состояний отличается на 0.0003…0.0005 см–1. Среднеквадратичное значение отклонений наших измерений, приведенное в 3 колонке табл. 3 на 1–2 порядка меньше данных работы [2] (колонка 7).
На рис. 3 показаны различия между наблюдаемыми и расчетными значениями положения линий полосы ν1+2ν3 14N14N16O. Рассчитанные положения линий были получены с использованием спектроскопических констант, представленных в табл. 3.
Рис. 3. Отличие измеренных центров линий полосы ν1 + 2ν3 изотополога 446 в данной работе (черные квадраты) и измерений работы [2] (красные кружки) от рассчитанных значений
Рисунок показывает, что неопределенность в наблюдаемых нами положениях линий в 4 раза лучше, чем опубликованная в [2].
15N15N18O. Из пяти зарегистрированных полос 15N15N18O четыре полосы наблюдались ранее Григгсом и Манцом [6, 7]. Положения центров линий в работах [6, 7] имеют довольно большие неопределенности. В табл. 4 приведены значения колебательной энергии и вращательных постоянных верхних колебательных уровней. Значения вращательных постоянных, полученные в настоящей работе, близки к данным работы [6, 7], в то время как колебательная энергия GV верхних состояний отличается на 0.0003…0.0005 см–1. Среднеквадратичное значение отклонений наших измерений, приведенное в 3 колонке табл. 4 на 1–2 порядка меньше данных работ [6, 7] (колонка 7).
Таблица 4. Спектроскопические постоянные (в см–1) для полос 15N15N18O
Колебательное состояние V1V2l2V3 | Линии | RMS × 103 см–1 | GV | BV | DV × 107 | RMS × 103 см–1 | Ссылки |
00°0 | 0 | 0.381865(2) | 1.4673(9) | [6] | |||
00°2 | P57/R51 | 0.071 | 4266.9816(1) | 0.375806(3) | 1.458(1) | ||
4266.9827(8) | 0.38184(2) | 1.46(6) | 1.35 | [6] | |||
12°1 | P35/R33 | 0.072 | 4455.0750(2)) | 0.378100(1) | 1.910(9) | ||
4455.0788(10) | 0.37803(2) | 1.71(8) | 3.51 | [7] | |||
20°1 | P45/R41 | 0.085 | 4541.9581(2) | 0.375968(6) | 1.278(3) | ||
4541.9597(12) | 0.38192(3) | 1.65(9) | 2.5 | [6] | |||
32°0 | P40/R37 | 0.19 | 4808.7252(5) | 0.377763(2) | 1.816(1) | ||
4808.7327(13) | 0.37795(4) | 3.06(16) | –1.34 | [7] | |||
00°3 | P37/R37 | 0.11 | 6358.1417(3) | 0.372770(1) | 1.461(1) |
На рис. 4 показаны различия между наблюдаемыми и расчетными значениями положения линий полосы ν1 + 2ν2 + ν3 изотополога 15N15N18O. Рассчитанные положения линий были получены с использованием спектроскопических констант, представленных в табл. 4.
Рис. 4. Отличие измеренных центров линий полосы ν1 + 2ν2 + ν3 изотополога 15N15N18O в данной работе (черные квадраты) и измерений работы [7] (красные кружки) от рассчитанных значений
Рис. 5. Отличие измеренных центров линий полосы 2ν3 изотополога 14N14N18O в данной работе (черные квадраты) и измерений работы [3] (красные кружки) от рассчитанных значений
Из рис. 4 следует, что неопределенность в наблюдаемых нами положениях линий на два порядка лучше, чем опубликованная в [7].
14N14N18O. В табл. 5 приведены значения колебательной энергии и вращательных постоянных колебательного уровня. 00°2. Значения вращательных постоянных, полученные в настоящей работе, близки к данным работы [3].
Таблица 5. Спектроскопические постоянные (в см–1) для полос 14N14N18O
Колебательное состояние V1V2l2V3 | Линии | RMS × 103 см–1 | GV | BV | DV × 107 | RMS × 103 см–1 | Ссылки |
00°0 | 0 | 0.3955784(2) | 1.584(3) | [4] | |||
00°2 | P36/R46 | 0.089 | 4403.0276(2) | 0.3891191(6) | 1.5776(3) | ||
4403.02759 | 0.389117140 | 1.580975 | –0.112586 | [3] |
14N15N16O. Все три зарегистрированные полосы 14N15N16O наблюдались ранее Тосом [2]. Затабулированные положения центров линий [2] дают синосоидальное отличие от наших данных (рис. 6), что вызвано неправильными значениями вращательных постоянных. В табл. 6 приведены значения колебательной энергии и вращательных постоянных верхних колебательных уровней.
Рис. 6. Отличие измеренных центров линий полосы 2ν3 изотополога 14N15N16O в данной работе (черные квадраты) и измерений работы [2] (красные кружки) от рассчитанных значений
Таблица 6. Спектроскопические постоянные (в см–1) для полос 14N15N16O
Колебательное состояние V1V2l2V3 | Линии | RMS × 103 см–1 | GV | BV | DV × 107 | RMS × 103 см–1 | Ссылки |
0 | 0.418981810 | 1.763264 | [2] | ||||
00°2 | P40/R48 | 0.055 | 4326.61709(1) | 0.4123156(4) | 1.7463(2) | ||
4326.61717 | 0.412317083 | 1.748183 | –0.021666 | [2] | |||
20°1 | P48/R48 | 0.076 | 4677.7978(1) | 0.4119500(5) | 1.7074(2) | ||
4677.79785 | 0.411950301 | 1.689002 | –0.093771 | [2] | |||
30°1 | P34/R33 | 0.13 | 5914.7101(5) | 0.4101664(3) | 1.6229(2) | ||
5914.70926 | 0.410158758 | 1.453565 | [2] |
Таблица 7. Спектроскопические постоянные (в см–1) для полос 15N14N16O
Колебательное состояние V1V2l2V3 | Линии | RMS × 103 см–1 | GV | BV | DV × 107 | RMS × 103 см–1 | Ссылки |
00°0 | 0 | 0.404857965 | 1.642938 | [2] | |||
00°2 | P47/R44 | 0.08 | 4373.6060(2) | 0.3981326(6) | 1.631(3) | ||
4373.60609 | 0.398130258 | 1.630547 | 0.0426415 | [2] | |||
30°1 | P45/R38 | 0.096 | 5849.4677(3) | 0.396633(9) | 1.459(5) |
Таблица 8. Спектроскопические постоянные (в см–1) для полос 15N14N18O
Колебательное состояние V1V2l2V3 | Линии | RMS × 103 см–1 | GV | BV | DV × 107 | Ссылки |
00°0 | 0 | 0.3819194(4) | 1.467(1) | [11] | ||
00°2 | P47/R45 | 0.049 | 4358.2314(1) | 0.375636(3) | 1.465(1) | |
P45/R43 | 0.5 | 4358.2172(1) | 0.3756359(4) | 1.467(2) | [11] | |
12°1 | P42/R40 | 0.1 | 4601.9871(3) | 0.376559(1) | 1.046(7) | |
2.7 | 4601.9716(8) | 0.3765592(2) | 1.015(7) | [11] | ||
32°0 | P33/R38 | 0.21 | 4853.4279(5) | 0.377868(2) | 1.2952(2) | |
P50/R50 | 1.2 | 4853.4284(3) | 0.3778613(6) | 1.250(2) | [11] |
15N14N16O. Из двух зарегистрированных полос 15N14N16O полоса с центром 4373.6060 см–1 наблюдались ранее Тосом [2]. Затабулированные положения центров линий [2] дают резкое отличие от наших данных на высоких значениях вращательного квантового числа (рис. 7), что свидетельствует о неправильном значении постоянной центробежного искажения, полученной в работе [2]. В табл. 6 приведены значения колебательной энергии и вращательных постоянных верхних колебательных уровней.
Рис. 7. Отличие измеренных центров линий полосы 2ν3 изотополога 15N14N16O в данной работе (черные квадраты) и измерений работы [2] (красные кружки) от рассчитанных значений
Рис. 8. Отличие измеренных центров линий полосы 2ν3 изотополога 15N14N18O
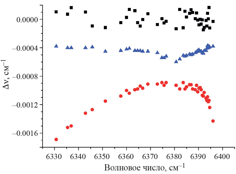
Рис. 9. Отличие измеренных центров линий полосы 3ν3 изотополога15N15N16O в данной работе (черные квадраты), измерений работы [13] (красные кружки) и [9] (синие треугольники) от рассчитанных значений
15N14N18O. Полосы 15N14N18O уже наблюдались в работе [11]. В настоящей работе уточнены значения вращательных постоянных.
15N15N16O. Все четыре зарегистрированные полосы 15N15N18O наблюдались ранее Тосом [2]. Полоса 3ν3 была исследована ранее в работе [9], экспериментальные данные которой отличаются от наших данных в среднем на –0.0004 см–1 (рис. 6), а также в работе [13], затабулированные данные которой отличаются от наших данных от –0.0008 см–1 до –0.0018 см–1. В табл. 9 приведены значения колебательной энергии и вращательных постоянных верхних колебательных уровней.
Таблица 9. Спектроскопические постоянные (в см–1) для полос 15N15N16O
Колебательное состояние V1V2l2V3 | Линии | RMS × 103 см–1 | GV | BV | DV × 107 | RMS × 103 см–1 | Ссылки |
00°0 | 0 | 0.4048602(6) | 1.6356 | [13] | |||
00°2 | P57/R49 | 0.065 | 4281.3405(1) | 0.398367(3) | 1.625(1) | ||
4281.340720(47) | 0.398367192(60) | 1.62414(16) | 0.21 | [13] | |||
12°1 | P41/R38 | 0.2 | 4511.8803(5)) | 0.400897(2) | 2.320(1) | ||
4511.88041(15) | 0.40089427(42) | 2.2934(21) | 0.73 | [13] | |||
20°1 | P50/R48 | 0.11 | 4625.6042(2) | 0.398221(6) | 1.565(3) | ||
4625.604249(50) | 0.39822187(12) | 1.57392(67) | 0.25 | [13] | |||
00°3 | P41/R45 | 0.097 | 6379.8592(3) | 0.395112(8) | 1.620(5) | ||
6379.858640(9) | 0.39511266(7) | 1.625(1) | 0.51 | [9] | |||
6379.858650(85) | 0.39511246(11) | 1.61983(31) | 0.32 | [13] |
ЗАКЛЮЧЕНИЕ
В настоящей работе зарегистрирован спектр поглощения образца, состоящего из NO, обогащенного до 80% 15N18O и незначительным количеством изотопологов N2O. Благодаря химическим процессам внутри образца семь изотопологов закиси азота вносят вклад в записанный спектр, демонстрируя значительные значения их концентраций.
Для двадцати семи изученных полос семи изотопологов NNO получены более точные чем ранее значения положений центров линий и определены спектроскопические постоянные верхних колебательных состояний переходов. Две полосы зарегистрированы впервые: полоса 3ν1+ν3 изотополога 15N14N16O с центром 5849.4677 см–1 и полоса 3ν3 изотополога 15N15N18O с центром 6358.1417 см–1.
Работа выполнена при поддержке РНФ (грант № 23-23-00184).
1 Иркутская обл., пос. Чара, 3–7 июля 2023 года.
Sobre autores
Л. Синица
Институт оптики атмосферы им. В. Е. Зуева СО РАН
Autor responsável pela correspondência
Email: sln@iao.ru
Rússia, Томск
В. Сердюков
Институт оптики атмосферы им. В. Е. Зуева СО РАН
Email: serd49@mail.ru
Rússia, Томск
Н. Емельянов
Институт оптики атмосферы им. В. Е. Зуева СО РАН
Email: nikita.emelyanov.92@mail.ru
Rússia, Томск
Bibliografia
- Gordon I.E., Rothman L.S., Hargreaves R.J. et al. // J. of QuantitativeSpectroscopy and Radiative Transfer. 2022. Т. 277. С. 107949. https://doi.org/10.1016/j.jqsrt.2021.107949
- Toth R.A. Linelist of N2O Parameters from 500 to 7500 cm–1 // JPL online. 2004.
- Tashkun S.A., Perevalov V.I., Karlovets E.V. et al. // J. of Quantitative Spectroscopy and Radiative Transfer. 2016. Т. 176. С. 62. https://doi.org/10.1016/j.jqsrt.2016.02.020
- Amiot C. // J. of Molecular Spectroscopy. 1976. Т. 59. № . 2. С. 191. https://doi.org/10.1016/0022-2852(76)90290-3
- Wang C.Y., Liu A.W., Perevalov V.I. et al. // Ibid. 2009. Т. 257. № . 1. С. 94. https://doi.org/10.1016/j.jms.2009.06.012
- Griggs Jr J.L., Rao K.N., Jones L.H., Potter R.M. // Ibid.1967. Т. 22. № . 1–4. С. 383. https://doi.org/10.1016/0022-2852(67)90185-3
- Mantz A.W., Rao K.N., Jones L.H., Potter R.M. // Ibid.1969. Т. 30. № . 1–3. С. 513. https://doi.org/10.1016/0022-2852(69)90283-5
- Hu C.L., Perevalov V.I., Cheng C.F. et al. // The J. of Physical Chemistry Letters. 2020. Т. 11. № . 18. С. 7843. https://doi.org/10.1021/acs.jpclett.0c02136
- Lyulin O.M., Jacquemart D., Lacome N. et al. // J. of Quantitative Spectroscopy and Radiative Transfer. 2010. Т. 111. № . 3. С. 345. https://doi.org/10.1016/j.jqsrt.2009.10.010
- Tashkun S.A., Perevalov V.I., Liu A.W., Hu S.M. // Ibid. 2016. Т. 175. С. 1. https://doi.org/10.1016/j.jqsrt.2016.01.038
- Sinitsa L.N., Serdyukov V.I., Perevalov V.I. // Molecular Physics. 2022. Т. 120. № . 15–16. С. 2078744. https://doi.org/10.1080/00268976.2022.2078744
- Kruglova T.V, Shcherbakov A.P. // Optics and Spectroscopy. 2011. V. 111. P. 353. doi/10.1134/s0030400x1109013x.
- Gao B., Wang C.Y., Lu Y. et al.// J. of Molecular Spectroscopy. 2010. Т. 259. № . 1. С. 20. https://doi.org/10.1016/j.jms.2009.10.006
Arquivos suplementares











