Influence of Ionic Liquid on the Extraction of Actinides and Lanthanides(III) with Phosphorylureas from Nitric Acid Solutions
- Authors: Turanov A.N.1, Karandashev V.K.2, Goryunov E.I.3, Goryunova I.B.3, Brel V.K.3
-
Affiliations:
- Osipyan Institute of Solid State Physics of the Russian Academy of Sciences
- Institute of Microelectronics Technology and High Pure Materials of the Russian Academy of Sciences
- Nesmeyanov Institute of Organoelement Compounds of the Russian Academy of Sciences
- Issue: Vol 69, No 8 (2024)
- Pages: 1174-1180
- Section: ФИЗИКОХИМИЯ РАСТВОРОВ
- URL: https://journal-vniispk.ru/0044-457X/article/view/274338
- DOI: https://doi.org/10.31857/S0044457X24080107
- EDN: https://elibrary.ru/XJLMSF
- ID: 274338
Cite item
Full Text
Abstract
The effect of the ionic liquid 1-butyl-3-methylimidazolium bis[(trifluoromethyl)sulfonyl]imide on the extraction of U(VI), Th(IV) and lanthanides(III) from nitric acid solutions with phosphorylureas RR'P(O)NHC(O)NHC8H17 n differing in the nature of the substituents at the phosphorus atom was studied. A significant synergistic effect was discovered during the extraction of metal ions in the presence of an ionic liquid in the organic phase. The stoichiometry of the extracted complexes was determined. The influence of the structure of the extractant, the nature of the organic diluent, and the concentration of HNO3 in the aqueous phase on the efficiency of the extraction of metal ions into the organic phase is considered.
Full Text
ВВЕДЕНИЕ
С развитием атомной энергетики возрастает актуальность решения экологических проблем, связанных с переработкой радиоактивных отходов. Экстракционные методы широко используются для извлечения, концентрирования и разделения актинидов и лантанидов в процессах переработки отработанного ядерного топлива [1]. Высокой экстракционной способностью по отношению к этим элементам обладают полидентатные нейтральные фосфорорганические соединения [2–9], в частности диоксиды замещенных метилендифосфинов [8, 9] и оксиды (N,N-диалкилкарбамоилметил)диарилфосфинов (КМФО) [10, 11]. В молекулах этих экстрагентов координирующие Р=О- и Р=О- или С=О-группы соединены метиленовым мостиком, что создает условия для образования шестичленных хелатных комплексов в процессе взаимодействия таких лигандов с ионами металлов. Поэтому увеличение длины алкиленового мостика между координирующими группами приводит к резкому снижению экстракционной способности таких реагентов [8]. Замена алкильных радикалов при одном или двух атомах фосфора молекулы диоксида метилендифосфина или КМФО на арильные, приводящая к снижению основности экстрагента, тем не менее сопровождается значительным увеличением экстракции актинидов и лантанидов из азотнокислых растворов [8]. Причины такого эффекта аномального арильного упрочнения (ЭАУ) экстрагируемых комплексов рассмотрены в [8].
Соединения с имидной группой –NH– между двумя координирующими группами давно привлекают внимание исследователей. Известно, что Ph2P(O)NHP(O)Ph2 – структурный аналог одного из самых мощных экстрагентов Ph2P(O)CH2P(O)Ph2 – существует в таутомерной форме Ph2P(O)N=P(OH)Ph2 и в твердом состоянии находится в полимерной форме вследствие образования водородных связей ОН…О [12]. Это делает его практически нерастворимым в большинстве органических растворителей, что препятствует использованию его в качестве экстрагента. Между тем имидофосфаты (RO)2P(O)NHP(O)(OR)2 (R = Ph, Alk) растворимы в органических растворителях и эффективно экстрагируют ионы Ln(III), Sc(III), Zr(IV) и щелочноземельных металлов по катионообменному механизму как фосфорорганические кислоты [13, 14].
В последние десятилетия вырос интерес к использованию в экстракционной практике фосфорилмочевин R2P(O)NHC(O)NHR′ [15–20] – соединений, молекула которых содержит Р=О- и C=O-группы, соединенные имидным линкером. Синтез этих соединений отличается большей простотой по сравнению с используемыми в настоящее время КМФО. Экстракционная способность таких реагентов существенно зависит от природы заместителей при атоме фосфора и терминальном атоме азота. Наиболее высокую эффективность при экстракции U(VI), Am(III) и Eu(III) проявляет Ph2P(O)NHC(O)NHC8H17-н (1) [19]. Отмечалось, что экстракционная способность этого соединения в хлороформе выше, чем его аналога с линкером –CH2– между функциональными группами Р=О и C=O [15]. Результаты квантово-химического моделирования показали, что это связано с уменьшением торсионного угла между функциональными группами Р=О и C=O в комплексах Ph2P(O)NHC(O)NHC8H17-н с ионами металлов и увеличением ширины зоны молекулярных электростатических полей вокруг Р=О- и C=O-групп по сравнению с КМФО [15, 20].
Ph2P(O)NHC(O)NHC8H17-н 1 | Me(Ph)P(O)NHC(O)NHC8H17-н 2 |
(ц-C6H11)2P(O)NHC(O)NHC8H17-н 3 | Me(PhO)P(O)NHC(O)NHC8H17-н 4 |
Ph2P(O)CH2C(O)NHC9H19-н 5 |
В последнее время наблюдается большой интерес к использованию ионных жидкостей (ИЖ) в экстракционной практике концентрирования и разделения ионов металлов в качестве не смешивающейся с водой фазы [21–26]. Было показано, что экстракция актинидов и Ln(III) растворами КМФО в ИЖ (гексафторфосфатах и бис[(трифторметил)сульфонил]имидах метилалкилимидазолия) значительно возрастает по сравнению с экстракцией растворами КМФО в традиционных растворителях [26]. Кроме того, для эффективного извлечения РЗЭ(III) из растворов HNO3 и HCl достаточно даже небольшой концентрации ИЖ в органическом растворителе, содержащем КМФО [27–29]. Это позволяет рассматривать ИЖ как компонент синергетической смеси. Ранее нами исследовано влияние строения КМФО на экстракцию ионов Ln(III), U(VI) и Th(IV) в присутствии ИЖ [27].
Цель настоящей работы – исследование влияния ионной жидкости бис[(трифторметил)сульфонил]имида 1-бутил-3-метилимидазолия на экстракцию U(VI), Th(IV) и лантанидов(III) из азотнокислых растворов фосфорилмочевинами 1–4, различающимися природой заместителей при атоме фосфора. Экстракционная способность соединения 1 в присутствии ИЖ сопоставлена с экстракционной способностью его аналога 5 [29] с линкером –CH2– между функциональными группами Р=О и C=O.
ЭКСПЕРИМЕНТАЛЬНАЯ ЧАСТЬ
Синтез соединений 1–4 описан в работах [15, 17]. Ионную жидкость бис[(трифторметил)сульфонил]имид 1-бутил-3-метилимидазолия (bmimTf2N) (Merck) использовали без дополнительной очистки. В качестве органических растворителей использовали хлороформ, нитробензол и 1,2-дихлорэтан марки “х. ч.” (Вектон). Растворы экстрагентов готовили по точным навескам.
Распределение U(VI), Th(IV) и лантанидов(III) в экстракционных системах изучали на модельных 0.5–7.0 М растворах HNO3. Исходные водные растворы с концентрацией каждого элемента 4 × 10–6 моль/л готовили растворением соответствующих нитратов в воде с последующим добавлением HNO3 до требуемой концентрации. Все Ln(III), кроме Pm, присутствовали в исходных водных растворах. Используемые реактивы соответствовали марке “х. ч.”.
Опыты по экстракции проводили в пробирках с притертыми пробками при температуре 21 ± 1°С и соотношении объемов органической и водной фаз 1 : 1. Перемешивание осуществляли на роторном аппарате со скоростью 60 об/мин в течение 1 ч. Предварительно установлено, что этого времени достаточно для установления постоянных значений коэффициентов распределения. Расслаивание фаз осуществляли центрифугированием.
Содержание U(VI), Th(IV) и лантанидов(III) в исходных и равновесных водных растворах определяли методом масс-спектрометрии с ионизацией пробы в индуктивно связанной плазме с использованием масс-спектрометра XSeriesII (ThermoScientific, США), содержание элементов в органической фазе – по разнице концентраций в водном растворе до и после экстракции. В тех случаях, когда эта разница была <10%, содержание элементов в органической фазе определяли после реэкстракции 0.1 М раствором оксиэтилидендифосфоновой кислоты. Коэффициенты распределения элементов рассчитывали как отношение их концентраций в равновесных фазах. Не менее трех параллельных опытов проводили при определении коэффициентов распределения. Погрешность их определения не превышала 10%. Концентрацию HNO3 в равновесных водных фазах определяли потенциометрическим титрованием 0.1 М раствором NaOH.
РЕЗУЛЬТАТЫ И ОБСУЖДЕНИЕ
Рассмотрено влияние концентрации HNO3 в равновесной водной фазе на изменение коэффициентов распределения U(VI) и Th(IV) при экстракции растворами соединений 1–4 в хлороформе (рис. 1, 2). Полученные при этом зависимости D–[HNO3] с максимумом соответствуют экстракции координационно-сольватированных нитратов U(VI) и Th(IV) и обусловлены высаливающим действием ионов NO3– и связыванием экстрагентов азотной кислотой. Положение максимума на кривых зависимостей D–[HNO3] смещается в область большей кислотности водной фазы по мере снижения основности экстрагента, т.е. его способности экстрагировать HNO3, в ряду 3 > 2 > 1 > 4. При экстракции из 3 М растворов HNO3 величины DU возрастают в ряду экстрагентов 4 < 1 < 2 < 3 (рис. 1) по мере уменьшения суммы электроотрицательностей заместителей при атоме фосфора. Эти данные указывают на то, что ЭАУ не проявляется при экстракции U(VI) фосфорилированными мочевинами. Следует отметить, что увеличение DU не наблюдалось и в случае экстракции U(VI) при переходе от тетраоктил- к тетрафенилзамещенному диоксиду метилендифосфина в качестве экстрагента [8].
Рис. 1. Зависимость коэффициентов распределения U(VI) от концентрации HNO3 в равновесной водной фазе при экстракции 0.01 М растворами соединений 1–4 в хлороформе
Рис. 2. Зависимость коэффициентов распределения Th(IV) от концентрации HNO3 в равновесной водной фазе при экстракции 0.01 М растворами соединений 1–4 в хлороформе
При экстракции Th(IV) из 3 М растворов HNO3 величины DTh возрастают в ряду экстрагентов 4 < < 3 < 2 < 1 (рис. 2). Замена двух циклогексильных заместителей в лиганде 3 на фенильные сопровождается увеличением DTh, при этом отношение DTh(1)/DTh(3) увеличивается от 1.3 до 60 с ростом концентрации HNO3 в водной фазе от 0.5 до 7 моль/л. Это свидетельствует о проявлении ЭАУ в указанной системе. При замене одного фенильного заместителя в лиганде 1 на метильный наблюдается увеличение DTh при экстракции соединением 2 в диапазоне концентраций HNO3 0.5–2 моль/л и лишь при [HNO3] > 3 моль/л DTh(1) > DTh(2) (рис. 2).
Методом сдвига равновесия определены стехиометрические соотношения металл : экстрагент в комплексах, экстрагируемых растворами соединений 1–4 в хлороформе из 3 М растворов HNO3. При экстракции U(VI) угловой наклон зависимостей lgDU–lg[L] составляет 2.40 ± 0.1, 2.71 ± 0.1, 2.78 ± ± 0.1 и 2.21 ± 0.1 при экстракции растворами соединений 1, 2, 3 и 4 соответственно (рис. 1S), что отвечает переходу ионов U(VI) в органическую фазу в условиях избытка экстрагента в виде смеси ди- и трисольватов. Угловой наклон зависимостей lgDTh–lg[L] в тех же условиях составляет 2.70 ± 0.1, 3.0 ± ± 0.1, 2.0 ± 0.1 и 1.78 ± 0.1 при экстракции растворами соединений 1, 2, 3 и 4 соответственно (рис. 1S). Это указывает на переход Th(IV) при экстракции соединениями 1 и 2 в органическую фазу в виде ди- и трисольватов, а при экстракции соединениями 3 и 4 в основном в виде дисольватов.
При экстракции ионов U(VI) и Th(IV) растворами соединений 1–4 в хлороформе, содержащем bmimTf2N, происходит значительное увеличение их экстракции в органическую фазу. Предварительно установлено, что растворы bmimTf2N в хлороформе не экстрагируют U(VI), Th(IV), а также Ln(III) из азотнокислых растворов (величина D не превышает 10–2). Наблюдаемый синергетический эффект связан, по-видимому, с вхождением гидрофобных анионов Tf2N– в состав экстрагируемых комплексов, что приводит к увеличению их гидрофобности по сравнению с сольватированными нитратами U(VI) и Th(IV). В присутствии bmimTf2N в органической фазе существенно изменяется характер зависимости эффективности экстракции U(VI) и Th(IV) растворами соединений 1–4 от концентрации HNO3 в водной фазе (рис. 3). В присутствии ИЖ наблюдается снижение DU и DTh с ростом [HNO3], которое отмечалось ранее и при экстракции растворами КМФО и других нейтральных экстрагентов в ИЖ [27, 28]. Такой характер зависимости D–[HNO3] может быть вызван снижением концентрации свободного экстрагента в органической фазе вследствие его взаимодействия как с HNO3, так и с HTf2N, присутствующей в равновесной водной фазе вследствие заметного перехода ионов ИЖ в водную фазу [30].
Рис. 3. Зависимость коэффициентов распределения Th(IV) (1–3) и U(VI) (4–6) от концентрации HNO3 в равновесной водной фазе при экстракции 0.003 М растворами соединений 1 (1, 5), 2 (3, 6) и 3 (2, 4) в хлороформе, содержащем 0.1 моль/л bmimTf2N
Величина синергетического эффекта SС = D/Do (D и Do – коэффициенты распределения в присутствии и в отсутствие ИЖ в органической фазе) уменьшается с ростом [HNO3], однако синергизм наблюдается даже в сильно кислых средах.
Для сравнения экстракционной способности соединений 1–4 по отношению к U(VI) и Th(IV) в табл. 1 приведены данные по экстракции этих ионов из азотнокислых растворов. Видно, что в присутствии ИЖ в органической фазе соединение 1 экстрагирует U(VI) более эффективно, чем 2. Величина SС возрастает в ряду экстрагентов 4 < 2 < 3 < 1 и значительно выше в системах с Th(IV), чем с U(VI).
Таблица 1. Коэффициенты распределения U(V) и Th(IV) при экстракции из 3 М раствора HNO3 0.003 М растворами соединений 1–4 в хлороформе (Do) и в хлороформе, содержащем 0.1 моль/л bmimTf2N (D)
Экстрагент | U(VI) | Th(IV) | ||||
lgDo | lgD | SC | lgDo | lgD | SC | |
1 | –0.72 | 1.38 | 126 | 0.07 | 2.98 | 1122 |
2 | –0.31 | 0.93 | 17.4 | –0.21 | 1.84 | 112 |
3 | –0.15 | 1.83 | 95.5 | –0.25 | 2.31 | 363 |
4 | <–1.5 | –0.54 | –0.95 | 0.67 | 42.7 | |
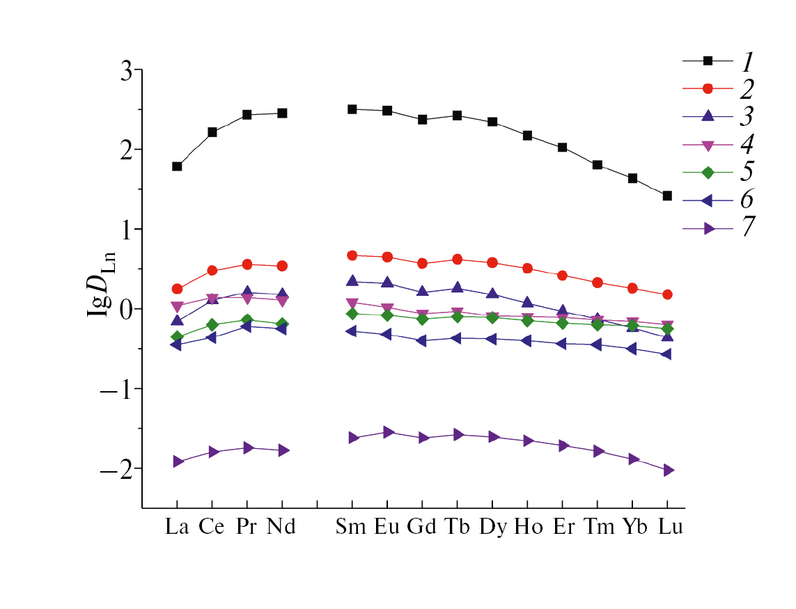
Экстракция ионов Ln(III) растворами соединений 1–4 в хлороформе возрастает в ряду 4 < 3 < 2 < < 1, при этом соединение 4 с феноксильным заместителем при атоме фосфора практически не экстрагирует ионы Ln(III) (DLn < 10–2). Это свидетельствует о том, что в указанной системе проявляется ЭАУ. Значительный синергетический эффект наблюдается в присутствии ИЖ (рис. 4, табл. S1). Этот эффект наиболее заметно проявляется в системе с лигандом 1. Величина SС при экстракции Eu(III) возрастает в ряду экстрагентов 3 (2.2) < 2 (5.4) < 1 (148).
Рис. 4. Коэффициенты распределения Ln(III) при экстракции 0.05 М растворами соединений 1 (1, 3), 2 (2, 5), 3 (4, 6) и 4 (7) в хлороформе (3, 5, 6) и в хлороформе, содержащем 0.1 моль/л bmimTf2N (1, 2, 4, 7), из 3 М раствора HNO3
Эффективность экстракции Ln(III) соединениями 1–4 возрастает от La(III) к Sm(III), а затем снижается с увеличением атомного номера лантанида (Z) (рис. 4, табл. S1). Аналогичный характер зависимости lgDLn–Z наблюдался при экстракции Ln(III) из азотнокислых растворов растворами КМФО, что связано с увеличением энергии гидратации ионов Ln3+ с увеличением Z [31].
Характеризуя величину ЭАУ как отношение DLn(1)/DLn(3), можно отметить, что при экстракции Eu(III) этими экстрагентами в хлороформе DEu(1)/DEu(3) = 4.4, тогда как в системе с bmimTf2N DEu(1)/DEu(3) = 295 (рис. 4, табл. S1). Отметим, что в системе с bmimTf2N при экстракции тория DTh(1)/DTh(3) = = 4.7, а при экстракции урана DU(1) < DU(3) (рис. 3). Подобное влияние природы экстрагируемого иона металла на величину ЭАУ отмечалось при экстракции замещенными диоксидами метилендифосфинов из азотнокислых растворов [8].
Как и при экстракции U(VI) и Th(IV), зависимости DLn–[HNO3] при экстракции соединением 1 в хлороформе и в хлороформе, содержащем ИЖ, существенно отличаются (рис. 5). Величина синергетического эффекта уменьшается с ростом [HNO3]. Так, при экстракции Eu(III) величина SС снижается от 3160 до 42 при увеличении [HNO3] от 0.5 до 5 моль/л (рис. 5).
Рис. 5. Зависимость коэффициентов распределения Eu(III) (1, 4), La(III) (2, 5) и Lu(III) (3, 6) от концентрации HNO3 в равновесной водной фазе при экстракции 0.05 М растворами соединения 1 в хлороформе (4–6) и в хлороформе, содержащем 0.1 моль/л bmimTf2N (1–3)
Стехиометрические соотношения Ln(III) : 1 в экстрагируемых комплексах определены методом сдвига равновесия. При экстракции ионов Ln(III) из 3 М растворов HNO3 угловой наклон зависимостей lgDU–lg[L] составляет 3.50 ± 0.1 в системе 1–хлороформ и 3.0 ± 0.1 в системе 1–хлороформ–bmimTf2N (рис. 2S), что соответствует переходу ионов Ln(III) в органическую фазу в условиях избытка экстрагента в виде смеси три- и тетрасольватов. В виде комплексов такого же состава ионы Ln(III) экстрагируются растворами КМФО 5 из азотнокислых растворов [29].
Природа органического растворителя оказывает существенное влияние на экстракцию лантанидов(III) фосфорилмочевинами. При экстракции ионов Ln(III) 0.05 М растворами соединения 1 из 3 М раствора HNO3 величины DEu возрастают в ряду нитробензол (0.063) < 1,2-дихлорэтан (0.43) < хлороформ (2.1) по мере снижения полярности органического разбавителя. В такой же последовательности изменяются величины DLn при экстракции ионов лантанидов(III) растворами соединения 1 в органических растворителях в присутствии ИЖ (рис. 6, табл. S2). Отметим, что при экстракции ионов Ln(III) из азотнокислых растворов растворами КМФО и диоксидов дифосфинов с метиленовым мостиком между функциональными группами Р=О и C=O или Р=О величины DLn, напротив, возрастают с увеличением полярности органического разбавителя [32].
Рис. 6. Коэффициенты распределения Ln(III) при экстракции 0.02 М растворами соединений 1 (3, 4, 5) и 5 [29] (1, 2) в дихлорэтане (1, 4), хлороформе (2, 3) и нитробензоле (5), содержащими 0.1 моль/л bmimTf2N, из 3 М раствора HNO3
Сопоставление величин DLn при экстракции соединением 1 и его аналогом 5 с линкером –CH2– показало, что в присутствии ИЖ экстракционная способность 5 значительно выше (рис. 6, табл. S2). Ранее было показано, что в системе с соединением 1 величины DEu почти на два порядка выше, чем величины DEu для соединения Ph2P(O)CH2C(O)NHC8H17-н при использовании хлороформа в качестве растворителя [17].
Установлено, что экстракционная способность фосфорилмочевин сильно зависит от природы заместителей при атоме фосфора. Соединение 1 с фенильными заместителями экстрагирует лантаниды(III) и торий(IV) из азотнокислых растворов более эффективно, чем его аналог 3 с циклогексильными заместителями, что указывает на проявление эффекта арильного упрочнения экстрагируемых комплексов при экстракции фосфорилмочевинами. Эффективность экстракции ионов актинидов и лантанидов фосфорилмочевинами из азотнокислых растворов значительно увеличивается в присутствии ионной жидкости бис[(трифторметил)сульфонил]имида 1-бутил-3-метилимидазолия в органической фазе. При этом ЭАУ проявляется в большей степени, чем при экстракции растворами фосфорилмочевин в молекулярных растворителях.
ФИНАНСИРОВАНИЕ РАБОТЫ
Работа выполнена в рамках государственного задания 2023 г. ИФТТ РАН, ИПТМ РАН и ИНЭОС РАН (№ 075-03-2023-642) Министерства науки и высшего образования Российской Федерации.
КОНФЛИКТ ИНТЕРЕСОВ
Авторы заявляют об отсутствии конфликта интересов.
ДОПОЛНИТЕЛЬНАЯ ИНФОРМАЦИЯ
Онлайн-версия содержит дополнительные материалы, доступные по адресу: https://doi.org/ 10.31857/S0044457X24080107.
About the authors
A. N. Turanov
Osipyan Institute of Solid State Physics of the Russian Academy of Sciences
Author for correspondence.
Email: v_brel@mail.ru
Russian Federation, Chernogolovka
V. K. Karandashev
Institute of Microelectronics Technology and High Pure Materials of the Russian Academy of Sciences
Email: v_brel@mail.ru
Russian Federation, Chernogolovka
E. I. Goryunov
Nesmeyanov Institute of Organoelement Compounds of the Russian Academy of Sciences
Email: v_brel@mail.ru
Russian Federation, Moscow
I. B. Goryunova
Nesmeyanov Institute of Organoelement Compounds of the Russian Academy of Sciences
Email: v_brel@mail.ru
Russian Federation, Moscow
V. K. Brel
Nesmeyanov Institute of Organoelement Compounds of the Russian Academy of Sciences
Email: v_brel@mail.ru
Russian Federation, Moscow
References
- Myasoedov B.F., Kalmykov S.N., Kulyako Yu.M., Vinokurov S.E. // Geochem. Int. 2016. V. 54. № 13. P. 1156. https://doi.org/10.1134/S0016702916130115
- Аляпышев М.Ю., Бабаин В.А., Устынюк Ю.А. // Успехи химии. 2016. Т. 85. № 9. С. 943.
- Leoncini A., Huskens J., Verboom W. // Chem. Soc. Rev. 2017. V. 46. № 23. P. 7229. https://doi.org/10.1039/C7CS00574A
- Wilson A.M., Bailey P.J., Tasker P.A. et al. // Chem. Soc. Rev. 2014. V. 43. № 1. P. 123. https://doi.org/10.1039/C3CS60275C
- Werner E.J., Biros S.M. // Org. Chem. Front. 2019. V. 6. № 12. P. 2067. https://doi.org/10.1039/c9qo00242a
- Matveeva A.G., Vologzhanina A.V., Goryunov E.I. et al. // Dalton Trans. 2016. V. 45. № 12. P. 5162. https://doi.org/10.1039/c5dt04963f
- Сафиулина А.М., Борисова Н.Е., Лизунов А.В. и др. // Журн. неорган. химии. 2022. Т. 67. № 4. С. 513.
- Розен А.М., Крупнов Б.В. // Успехи химии. 1996. Т. 65. № 11. С. 1052.
- Platt A.W.G. // Coord. Chem. Rev. 2017. V. 340. P. 62. https://doi.org/10.1016/j.ccr.2016.09.012
- Чмутова М.К., Литвина М.Н., Прибылова Г.А. и др. // Радиохимия. 1999. Т. 41. № 4. С. 331.
- Goud E.V., Sivaramakrishna A., Vijayakrishna K. // Top Curr. Chem. (Z). 2017. V. 375. № 1 (10). https://doi.org/10.1007/s41061-016-0090-7
- Noth H. // Z. Naturforsch., B. 1982. V. 37. P. 1491.
- Navratil O., Herrmann E., Grossmann G. // Collect. Chesh. Chem. Commun. 1990. V. 55. № 2. P. 364. https://doi.org/10.1135/cccc19900364
- Sladec P., Navratil O., Herrmann E. // Czech. J. Phys. 1999. V. 49. Suppl. 1. P. 747. https://doi.org/10.1007/s10582-999-1058-4
- Тананаев И.Г., Летюшов А.А., Сафиуллина А.М. и др. // Докл. АН. 2008. Т. 422. № 6. С. 762. https://doi.org/10.1134/S0012500808100054
- Горюнов Е.И., Шипов А.Э., Горюнова И.Б. и др. // Докл. АН. 2011. Т. 438. № 4. С. 480. https://doi.org/10.1134/S0012500811060012
- Safiulina A.M., Goryunov E.I., Letyushov A.A. et al. // Mendeleev Commun. 2009. V. 19. № 5. P. 263. https://doi.org/10.1016/j.mencom.2009.09.010
- Горюнов Е.И., Баулина Т.В., Горюнова И.Б. и др. // Изв. АН. Сер. хим. 2014. № 1. С. 141.. https://doi.org/10.1007/s11172-014-0408-y
- Горюнов Е.И., Горюнова И.Б., Баулина Т.В. и др. // Рос. хим. журн. 2010. Т. 54. № 3. С. 45.
- Сафиулина А.М., Лизунов А.В., Семенов А.А. и др. // Аналитика. 2022. Т. 12. № 2. С. 114. https://doi.org/10.22184/2227-572X.2022.12.2.114.128
- Riano S., Foltova S.S., Binnemans K. // RSC Adv. 2020. V. 10. № 1. P. 307. https://doi.org/10.1039/c9ra08996a
- Raut D.R., Sharma S., Ghosh S.K., Mohapatra P.K. // Sep. Sci. Technol. 2017. V. 52. № 8. P. 1430. https://doi.org/10.1080/01496395.2017.1290112
- Khodakarami M., Alagha L. // Sep. Purif. Technol. 2020. V. 232. P. 115952. https://doi.org/10.1016/j.seppur.2019.115952
- Iqbal M., Waheed K., Rahat S.B. et al. // J. Radioanal. Nucl. Chem. 2020. V. 325. № 1. P. 1. https://doi.org/10.1007/s10967-020-07199-1
- Белова В.В. // Радиохимия. 2021. Т. 63. № 1. С. 3.
- Sun T., Zhang Y., Wu Q. et al. // Solvent Extr. Ion Exch. 2017. V. 35. P. 408. https://doi.org/10.1080/07366299.2017.1379142
- Туранов А.Н., Карандашев В.К., Яркевич А.Н. // Радиохимия. 2022. Т. 64. № 2. С. 164.
- Turanov A.N., Karandashev V.K., Sharova E.V. et al. // Radiochim. Acta. 2023. V. 111. № 8. P. 601. https://doi.org/10.1515/ract-2022-0096
- Туранов А.Н., Карандашев В.К., Артюшин О.И. и др. // Радиохимия. 2021. Т. 63. № 2. С. 132. https://doi.org/10.1134/S106636222100020953
- Gaillard C., Boltoeva M., Billard I. et al. // ChemPhysChem. 2015. V. 16. № 12. P. 2653. https://doi.org/ 10.1002/cphc.201500283
- Horwitz E.P., Martin K.A., Diamond H., Kaplan L. // Solvent Extr. Ion Exch. 1986. V. 4. № 3. P. 449. https://doi.org/10.1080/07366298608917877
- Шадрин А.Ю., Бабаин В.А., Киселева Р.Н. // Радиохимия. 1993. Т. 35. № 1. С. 45.
Supplementary files








