On Polymer Complexes of Gold(I) with Glutathione in Aqueous Solution
- Authors: Mironov I.V.1, Kharlamova V.Y.1
-
Affiliations:
- Nikolaev Institute of Inorganic Chemistry of the Siberian Branch of the Russian Academy of Sciences
- Issue: Vol 69, No 10 (2024)
- Pages: 1449-1458
- Section: ФИЗИКОХИМИЯ РАСТВОРОВ
- URL: https://journal-vniispk.ru/0044-457X/article/view/281877
- DOI: https://doi.org/10.31857/S0044457X24100117
- EDN: https://elibrary.ru/JIBKNW
- ID: 281877
Cite item
Full Text
Abstract
Processes involving gold(I) glutathionate complexes in aqueous solution at t = 25°C and I = 0.2 M (NaCl) in the pH range 7.20–6.06 (CAu = (5–10 × 10–4 M)) were studied. Using mass spectrometry, it was shown that at CGS > CAu, in addition to monomeric Au(GS)2*, there can exist polymeric forms Au4(GS)4*, as well as Aun(GS)n+1*, where n ≤ 4, the symbol * means the sum of forms of different degrees of protonation. From UV spectroscopy it follows that in the entire region of 0.5 < CGS/CAu < 3, spectra of four forms, including Au(GS)2*, are sufficient to describe all spectra within experimental errors in the form of a linear combination. As pH decreases, the proportion of Au(GS)2* decreases. The equilibrium constant 0.25 Au4(GSH)44– + GSH2– = Au(GSH)23– + H+ is equal to lgK = –4.4 ± 0.1 (I = 0.2 M, NaCl).
Keywords
Full Text
ВВЕДЕНИЕ
Высокоустойчивые комплексы золота(I) с тиолсодержащими лигандами находят широкое применение. Так, они давно используются в медицине в терапии ревматоидного артрита [1–3]. Из них в наибольшей степени изучен тиомалатный комплекс (миокризин), который в водном растворе имеет циклическую тетрамерную структуру. Кроме того, полимерные тиолатные комплексы золота(I) широко применяются для функционализации наночастиц золота, получения слоистых структур и люминесцентных материалов [4–11]. Хотя в большинстве случаев их получают в растворе, данных об их строении и тем более устойчивости мало. В данной работе рассмотрены полимерные (полиядерные) комплексы золота(I) с глутатионом (GSH3) в водном растворе и некоторые процессы с их участием. Выбор лиганда обусловлен как его биологическим значением, так и тем, что по сравнению с другими тиолами он гораздо чаще используется для получения люминесцентных материалов. Некоторые аспекты комплексообразования золота(I) с глутатионом изучены в работе [12]: протонирование, ступенчатое замещение лиганда в комплексе Au(GS)25– на S2O32– и определение его стандартного потенциала. Без детализации отмечено образование полимерных форм в растворе и получение твердой фазы комплекса (–Au(GSH2)–)n. Цель настоящей работы – более детальное исследование системы полимерных комплексов в растворе, а именно: определение вида форм, степени полимеризации, других свойств этих малоизученных соединений, а также изучение возможности определения констант равновесий их образования с учетом того, что общие надежные подходы к изучению полимерных комплексов в растворе отсутствуют.
ЭКСПЕРИМЕНТАЛЬНАЯ ЧАСТЬ
Исходный раствор HAuCl4 готовили согласно [13]. Кроме того, в работе использовали хлористый натрий (ос. ч.), соляную кислоту, безводный сульфит натрия (ч. д. а.), L-глутатион восстановленный (АО “Вектон”, Россия, >98%); раствор NaOH (без CO2), стандарт-титр для pH-метрии (pH 6.86), бидистиллированную воду. Комплекс золота(III) с этилендиамином Au(en)2Cl3 получали по методике [14].
Все эксперименты проводили при 25°C (водный термостат U2) и I = 0.2 M (NaCl). Растворы Na2SO3 (0.2 M) и глутатиона (0.02 M) готовили непосредственно перед экспериментом из безводных реактивов. Для снижения влияния процесса окисления SO32– и GSH3 растворенным кислородом (CO2 max ~ 2.5 × 10–4 M при 25°C) использовали прокипяченную воду, ограничение времени эксперимента (<1 ч), отказ от очень низких концентраций компонентов, небольшой (до 10%) избыток сульфита. Пропускание через раствор Ar в этой системе нежелательно, поскольку это часто приводит к неконтролируемому диспропорционированию: 3AuCl2– = 2Au0 + AuCl4– + 2Cl– с выделением Au(0).
Рабочие растворы для УФ-спектрофотометрических экспериментов готовили восстановлением AuCl4– до AuCl2– (CAu = (1–5) × 10–3 M) рассчитанным количеством сульфита натрия (AuCl4– + SO32– + H2O = AuCl2– + SO42– + 2 H+ + + 2Cl–) в присутствии NaCl (0.2 M) и добавки NaOH (nNaOH/nAu = 3.00) в течение 20–30 мин. Для ускорения процесса возможен небольшой подогрев раствора (<30°C). Полноту восстановления контролировали по УФ-спектру: пробу раствора подкисляли HCl и проверяли поглощение при 314 нм. Полученный раствор имеет pH 5–6 и является метастабильным к диспропорционированию, однако в присутствии NaCl появление Au(0) обычно не наблюдается в течение нескольких часов. После окончания восстановления к точному объему полученного раствора добавляли фосфатный буфер, раствор GSH3 и затем записывали УФ-спектр. Равновесие в системе комплексов золота(I) устанавливается быстро: спектры растворов, снятые сразу после приготовления и затем через 10 и 20 мин, совпадают.
Основные исследования проводили при pH 7.20, 6.66, 6.36 и 6.06, создаваемых при помощи фосфатных буферов (Cбуф = 0.1 M), которые готовили из стандарт-титра для pH-метрии (pH 6.86) добавлением щелочи или кислоты (HCl). Несколько измерений было выполнено при pH 2.00 и 10.5, создаваемых HCl или щелочью.
Измерения pH проводили при помощи стеклянного комбинированного электрода ЭСК 10301/7 на приборе Radelkis OP-208. Электрод калибровали по растворам сильной кислоты HCl в 0.2 M NaCl, и, следовательно, измеряемые величины имели смысл pH = –lg [H+].
УФ-спектры поглощения записывали на спектрофотометре СФ-2000 в диапазоне длин волн 250–400 нм, l = 0.05–1 см, раствор сравнения – вода.
Растворы для масс-спектрометрии готовили без буфера и NaCl. К раствору комплекса золота(III) (Au(en)2Cl3 или AuCl4–, CAu = 1.0 × 10–3 M) добавляли глутатион GSH3 (до CGS = 2.0 × 10–3 или 5.0 × 10–3 M), частично нейтрализованный щелочью (CNaOH/CGSH3 = 2). Масс-спектры снимали через ~1 ч после приготовления растворов на приборе Agilent 6130 в ЦКП ИНХ СО РАН.
Для определения числа поглощающих форм находили число линейно независимых УФ-спектров, необходимых для описания всего массива (обычно 20 спектров при каждом значении pH для всего интервала соотношений CGS/CAu ~ 0.5–3); λ = 270–400 нм, Δλ = 1 нм. По сравнению с обычным методом Уоллеса и Каца [15], мы предпочли способ, использующий линейную регрессию: поиск минимального набора спектров {Ai(λ)} из всего массива спектров, пригодного для описания остальных спектров в виде Aj(λ) = Σai Ai(λ) со стандартным отклонением аппроксимации (sA), близким к погрешности определения A. Приемлемым описанием считалось, если sA < 0.01.
Расчет констант проводили при помощи нелинейного метода наименьших квадратов. Детали описаны в работе [13]. Разложение УФ-спектров на отдельные гауссианы проводили согласно [16]: вначале при помощи синтезатора спектров, добавляя гауссианы и изменяя их характеристики, визуально передается форма выбранного спектра, а затем проводится уточнение параметров полос (A0i, ν0i, δ1/2i) с помощью нелинейного МНК.
РЕЗУЛЬТАТЫ И ОБСУЖДЕНИЕ
Для золота(I) (а также серебра(I) и меди(I)) в растворе и в твердом виде наиболее характерны два вида комплексов с тиолсодержащими лигандами (RS–): полимерные (–AuS(R)–)n, в которых мостиковыми атомами выступают атомы серы, и обычные мономерные бис-тиолаты RS–Au–SR. Координационный узел S–Au–S является почти линейным, кроме нечастых случаев, когда к атому золота(I) координированы три лиганда, например два тиолата и фосфин [17].
В растворах полимерные комплексы обычно доминируют при невысоких соотношениях CRSH/CAu, а также в области низких pH. Следует отметить, что значение полимерного строения тиолатных комплексов для медицинского применения сильно преувеличено. При попадании в физиологические условия, где в большом избытке по отношению к золоту присутствуют другие тиолаты (цистеинсодержащие пептиды и белки), из-за быстрого обмена лигандов полимерные комплексы золота(I) быстро переходят в мономерные бис-тиолатные формы с лигандами, взятыми из окружающего раствора [18]. В работах по функционализации наночастиц тиолатами золота(I) и получению люминесцирующих материалов, наоборот, важны именно полимерные комплексы, поскольку с ними связана способность к люминесценции [7, 8, 10, 11, 19]. В части этих работ сделаны попытки охарактеризовать образующиеся комплексы в растворе, в первую очередь их размер. Однако используемые процессы получения конечного материала трудно описать точным набором реакций и продуктов, поскольку процедура включает не только восстановление HAuCl4 до золота(I) тиолом (что уже приводит ко многим продуктам [20]), но и дальнейшую обработку полученной смеси большим избытком NaBH4 для получения нанокластеров.
Строение полимерных тиолатов золота(I) в твердом виде разнообразно. Так, в [17] представлены данные DFT-расчетов в сравнении с литературными данными для циклических структур цикло-(–M–S(R) –)n. При этом в структурах с n = 4 [21, 22], например [(t-BuO)3SiSAu]4, наличие объемных лигандов не мешает образованию почти правильного квадрата: углы AuSAu близки к 90°, SAuS – к 180°; расстояния Au–S равны 2.28–2.29 Å. Есть примеры с n = 5 и 6 (SR = ButPhS– и 2,4,6(i-Prop)PhS–) и смешанных 5 + 6 (SR – тетраацетилтиоглюкоза) [23–25]. Помимо циклических возможны другие варианты. В работах [11, 26] показано, что комплекс [Au(SPh)]n в твердом виде образует бесконечные полимерные двойные спирали с тетрагональным сечением. В работе [19] сообщают о структуре [Au(p-SPhCO2H)]n в виде полимерных зигзагообразных цепей с необычными углами SAuS и расстояниями Au–S (2.27–2.37 Å).
Для биологически активных тиолатов известны данные только для комплекса с тиомалатом (Na2CsH)0.5n[AuTM]n, где TM = –O2C–CH2–CH(S–)–CO2– [27]. Как и в случае [Au(SPh)]n, структура состоит из полимерных –S(R)–Au–S(R)–Au– спиралей, имеющих близкое к тетрагональному сечение. Для тиомалата есть данные о структуре и мономерного комплекса [(NH4)5Au(TM)2] [28]. Несмотря на совершенно разный характер связи Au–S в полимере и мономере (мостиковый атом S или обычная монодентатная координация), различие длин связей очень невелико и не превышает 0.02–0.03 Å, а возможно и меньше.
При растворении структура комплекса может меняться. Так, отмеченное выше соединение тетраацетилтиоглюкозы с n = 5 + 6, по данным ЯМР и МС, переходит в (AuRS)4 (растворители C6H6, CH2Cl2 и CH3CN). В целом о строении полимерных комплексов в растворе известно мало, и имеющиеся данные противоречивы. Показательным примером являются многочисленные исследования структуры тиомалатного комплекса. Комплекс Na2n(AuTM)n хорошо растворяется в воде и не проявляет себя в реакциях замещения лигандов. Уже из этого факта следует, что, скорее всего, в растворе он образует полимерный циклический анион (–AuTM–)n–2n. Долгое время существовало устойчивое представление, что комплекс в растворе является гексагональным, (–AuTM–)612–, причем данные различных спектроскопий не противоречили этой гипотезе. Другие авторы [27, 29, 30], указывая на близость кривых радиального распределения для полимерного тиомалатного комплекса в твердом виде и в растворе, предполагали одинаковое (спиральное) строение комплексов в этих состояниях. И лишь в работах [31, 32], большей частью с помощью масс-спектрометрии, было показано, что основной формой этого комплекса в растворе является тетрамерная. Учитывая также примеры в работах [21, 24], можно предположить, что для многих тиолатных комплексов в растворе, имеющих состав RS/Au = 1/1, в том числе с объемными лигандами, тетрамерное строение является наиболее устойчивым. С другой стороны, при изменении соотношения CRS/CAu присутствие в растворе лишь одной (даже устойчивой) формы маловероятно. Так, переход от (–AuRS–)n к мономеру Au(RS)2 с ростом CRS/CAu должен проходить через раскрытие цикла и появление в растворе промежуточных форм (Aui(RS)i+1, n ≥ i >1), которые могут быть только линейными полимерами (олигомерами). При добавлении недостатка тиола к раствору AuCl2– [12] возможно образование линейных форм Aui(RS)i–1Cl2 с концевым расположением хлоридных лигандов Cl–.
Изученность циклического комплекса с тиомалатом (–AuTM–)4–8 [3, 13, 31–34] вызвана его реальным длительным медицинским применением. Однако более перспективными для медицинских исследований являются комплексы с глутатионом – одним из основных компонентов цитоплазмы.
В данной работе для нейтральной молекулы глутатиона мы используем обозначение GSH3 вместо общепринятого GSH. Депротонированный остаток глутатиона (GS3–)
содержит 4 группы, способные присоединять ионы H+: две –CO2–, –NH2 и –S–:
. (1)
В водном растворе при 25°C и I = 0.2 M (NaCl) lgKHi = 9.58 (i = 1), 8.76 (i = 2), 3.58 (i = 3), 2.58 (i = 4) [12]. Величины KH1 и KH2 относятся к протонированию –S–- и –NH2-групп, KH3 и KH4 – карбоксильных групп. В координации к золоту(I) участвует только –S–-группа, остальные (–NH2 и две –CO2–) остаются свободными и могут присоединять ионы H+. Из величин констант следует, что карбоксильные группы –CO2– протонируются только в кислой области. В нейтральной области у свободного глутатиона протонированы амино- и тиольная (–NH3+, –SH) группы, у комплексов – только аминогруппа, поскольку тиольная занята в координации. Константа протонирования группы –NH2 в комплексах на 0.7 лог. ед. выше, чем у свободного глутатиона, что связано с высокими отрицательными зарядами комплексов. В дальнейшем для глутатиона и комплексов обозначения GS* и Aun(GS)n* (без указания заряда) будут относиться к сумме форм разной степени протонирования, например [GS*] = [GS3–] + [GSH2–] + [GSH2–]+ … .
В кислой среде (pH 2–5) при CGS/CAu > 0.9 взаимодействие AuCl2– c GSH3 приводит к образованию белого осадка (–Au(GSH2)–)n [12], который растворяется при добавлении щелочи. При CGS /CAu = 1 и pH > 5.5 в растворе присутствует основная форма Aun(GSH)n–n с протонированными –NH2- и депротонированными –CO2–-группами.
Масс-спектрометрические измерения. Как отмечено выше, основную роль в установлении строения (–AuTM–)n–2n (миокризина) в растворе сыграли масс-спектрометрические исследования. Однако если тиомалатный комплекс с TM/Au = 1/1 хорошо растворим в воде и может быть исследован практически в чистом виде без каких-либо добавок, для аналогичного комплекса с GS* есть ограничения. Во-первых, он малорастворим в кислой области. Во-вторых, при его получении из AuCl2– раствор должен содержать NaCl во избежание быстрого диспропорционирования AuCl2– до Au(0) и Au(III). Однако присутствие NaCl в относительно высокой концентрации резко усложняет применение масс-спектрометрии из-за влияния заряженных кластеров (NaCl)n ∙ Cl– и (NaCl)n ∙ Na+. Поэтому комплексы золота(I) с GS* получали в растворе восстановлением AuCl4– или Au(en)23+ самим глутатионом при X = CGS*/CAu = 2 и 5 c добавкой щелочи, чтобы сохранить pH ~ 7. Такие растворы содержат целый набор форм [20, 35]: комплексные полимеры Aun(GS)n*, мономер Au(GS)2*, комплекс золота(III) Au(GS)4*, окисленные формы тиола GSSG*, GSO2*, GSO3*. Это усложняло масс-спектры, тем более что каждой форме соответствовало несколько пиков, обусловленных распределением различных количеств ионов H+ и Na+ по карбоксильным и аминогруппам GS*. Серьезным осложнением была также значительная и не всегда понятная фрагментация глутатиона [36]. Например, во всех спектрах, как с GS*, так и с TM*, присутствовала линия с m/z = 301, которую мы приписали аддукту Au(HS)2– ∙ Au(SCH3)– ∙ 2(Na+, H+). Масс-спектры содержали большое число пиков, особенно в частях отрицательных ионов, относящихся к растворам с исходным соотношением X = 2, вследствие чего для них в расчет принимались только пики с интенсивностью выше 30%. Наиболее интенсивные наборы линий относятся к дисульфиду GSSG, другие продукты окисления глутатиона (GSO3– и GSO2–) тоже присутствуют. Для стартового комплекса Au(en)23+ при X = 5 как для положительных, так и для отрицательных ионов присутствуют наборы линий небольшой интенсивности, относящиеся к полимерным формам NaiHjAun(GS)n+1(i+j–2n–3) (n = 2–4), NaiHjAu4(GS)4(i+j–8) и комплексу золота(III) NaiHjAu(GS)4(i+j–9). При X = 2 (AuCl4–, Au(en)23+) в области отрицательных ионов присутствуют пики этих же комплексов несколько большей интенсивности. В то же время среди положительных присутствуют только пики окисленных форм тиола. Идентифицированные пики масс-спектров приведены в табл. S1 (см. Приложение).
Таким образом, несмотря на отмеченные выше трудности, в области CGS > CAu масс-спектры подтверждают возможность наличия в растворе практически всех предполагаемых полимерных форм: Au4(GS)4* и Aun(GS)n+1*, где n = 2–4.
УФ-спектры. На рис. 1а показаны спектры растворов с переменным соотношением X = CGS/CAu для pH 7.20. Уже из их общего вида следует, что форма спектров заметно различается для X > 1 и X < 1. Это же подтверждает зависимость ε* = A/lCAu от X (рис. 1б), которая резко (практически с изломом) меняет направление изменения при X ~ 1.0–1.1. Похожие изломы наблюдаются и для других длин волн. При других значениях pH (6.66, 6.36, 6.06) зависимости имеют аналогичный вид: излом находится в том же месте, максимальные значения ε* = 1750 ± 20 M–1 см–1 практически совпадают. Также совпадают зависимости ε* от X при X < 1 для всех pH. В области 2 > X > 1 зависимости практически линейны, но с ростом кислотности становятся более пологими.
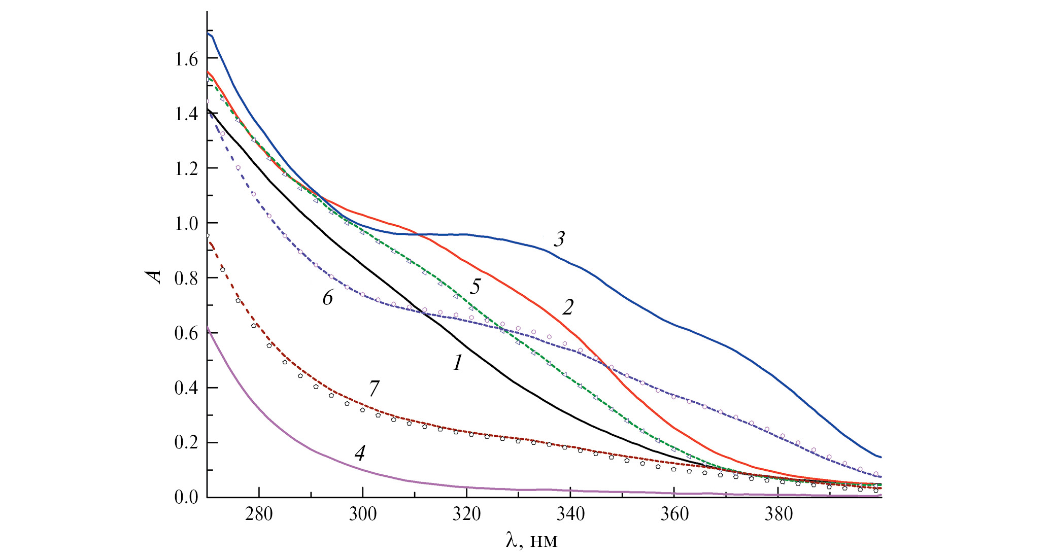
Рис. 1. а) УФ-спектры растворов для pH 7.20. CAu = (7.0–5.4) × 10–4, CGS = (3.5–13.9) × 10–4 M. X = 0.5 (1), 0.75 (2), 0.84 (3), 0.93 (4), 1.19 (5), 1.36 (6), 1.53 (7), 1.84 (8), 2.13 (9), 2.56 (10). б) зависимости ε* (= A/lCAu) от X (= CGS/CAu) для pH: 7.20 (1), 6.66 (2), 6.36 (3), 6.06 (4).
Все эти особенности имеют объяснение. Наличие излома A при спектрофотометрическом титровании обычно означает количественное образование формы с определенным соотношением компонентов (например, 1/1). При значительном вкладе других форм или небольших константах образования излом отсутствует и наблюдается плавный переход. Различие формы спектров при X < 1 и X > 1 вызвано очень разным составом комплексов: при недостатке GS3– преобладают формы Cl–Au–GS–…–Au–Cl*, при избытке – GS–Au–GS…–Au–GS* и некоторое количество Au(GS)2*. В переходной области существует форма состава 1/1 Aun(GS)n*, для которой, по данным МС, n = 4. Одинаковая зависимость ε* от X при X < 1 для растворов с разным pH (7.20–6.06) свидетельствует об очень высокой устойчивости соответствующих полимерных форм. При λ = 330 нм (рис. 1) поглощают только полимерные формы, а Au(GS)2* и GS* не поглощают. Снижение величины ε* с ростом X при X > 1 обусловлено постепенным переходом полимерных комплексов в форму Au(GS)2*. Однако касательные к зависимостям A/CAu от X даже при pH 7.20 пересекают ось X при значениях X > 2.0, что указывает на присутствие в системе свободного GS*. В рассматриваемой области pH карбоксильные группы лиганда депротонированы, и основными формами комплексов являются Aun(GSH)mn–2m (m = n + 1 или n) и Au(GSH)23– с протонированными аминогруппами, а свободного лиганда – GSH2– с протонированными амино- и тиольной группами. Уменьшение наклона зависимости A/CAu от X при снижении pH свидетельствует о снижении доли Au(GSH)23– при CGS = const вследствие сдвига равновесий, например
, (2)
влево. В более кислой области эти сдвиги еще больше, и бис-тиолатная форма Au(RS)2* там практически не проявляется. В то же время устойчивость полимерных форм настолько высока, что на их образование снижение pH практически не влияет.
В области недостатка GS* (X < 1) касательная к зависимости ε* от X пересекает ось X вблизи X = 0, т.е. из-за очень высокой устойчивости форм в этой области, свободного GS* здесь практически нет.
Как следует из данных на рис. 1, при X > 1 форма спектров изменяется мало. Не изменяется она и при снижении pH: на рис. 2 показаны УФ-спектры растворов с разными значениями pH, но одинаковым поглощением при λ = 330 нм. Наблюдается их полное совпадение, кроме области низких длин волн, где заметно поглощает Au(GS)2*. Это совпадение могло бы указывать на то, что при изменении pH относительное содержание различных полимерных форм не изменяется. Однако в общем случае это невозможно, поскольку их концентрации связаны равновесиями, например 0.25 Au4(GS)4* + Au(GS)2* = Au2(GS)3*. Как показано выше, концентрация Au(GS)2* с уменьшением pH значительно снижается, что должно приводить к изменению концентраций и полимерных форм. Таким образом, либо в рассматриваемой области доминирует одна полимерная форма, а остальные присутствуют в малых количествах, либо все полимерные формы имеют близкие спектры (на один атом Au(I)) и мало различимы в спектрофотометрическом исследовании.
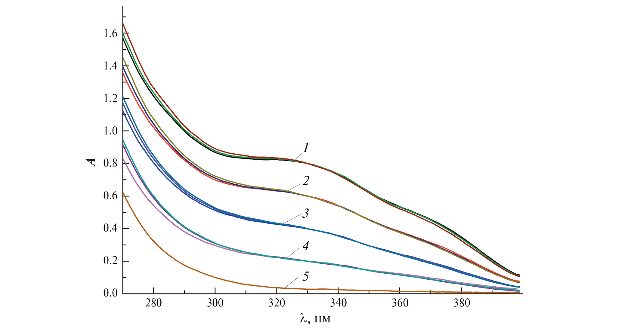
Рис. 2. Спектры растворов, имеющих разный pH (6.66, 6.36, 6.06), но одинаковое поглощение A330 при λ = 330 нм. A330 = 0.800 (1), 0.600 (2), 0.400 (3), 0.200 (4). 5 – спектр Au(GS)2* (CAu = 5.0 × 10–4 M); l = 1 см. При λ < 310 нм различие нарастает из-за разного количества Au(GS)2*.
Такой же результат следует из разложения спектров на гауссовы полосы [16]. Хотя при наличии многих форм такое разложение имеет чисто формальный характер, в данном случае оказалось, что спектры всех растворов с X > 0.85 состоят из практически одинаковых полос (ν10 = (30.2 ± 0.2) × 103, ν20 = (26.8 ± 0.2) × 103, ν30 = (40.5 ± 0.5) × 103 см–1), интенсивности которых изменяются пропорционально. Только в области X < 0.85 характеристики полос резко изменяются (ν10 = (29.5 ± 0.5) × 103, ν20 = (32.3 ± 0.5) × 103 см–1), что связано с резким изменением состава комплексов (см. выше).
Тем не менее, несмотря на сходство спектров, более точное рассмотрение показало, что при используемых в эксперименте соотношениях X = CGS/CAu > 0.5 и pH 7.20–6.06 для представления в пределах ошибок (sA < 0.01) всех спектров в диапазоне λ = 270–400 нм требуется линейная комбинация не 3-х, а 4-х независимых (базисных) спектров, включая спектр A(λ)1 раствора с минимальным X (~0.5) и спектр A(λ)2 мономерного Au(GS)2*. При этом спектр A(λ)1 требуется только в области X < 0.9. Примеры описаний спектров показаны на рис. 3.
Рис. 3. Примеры разложений спектров, pH 7.20. Базисные спектры (CAu (10–4 M), X): 7.0, 0.50 (1); 6.7, 0.84 (2); 6.4, 1.19 (3); 4 – спектр Au(GS)2* (5.0 × 10–4 M). Разлагаемые спектры (значки – расчет): 6.75, 0.75 (5); 6.11, 1.53 (6); 5.79, 2.0 (7). X = CGS/CAu. l = 1 см.
Обычный вывод из подобной обработки заключается в том, что найденное число линейно независимых спектров равно числу поглощающих свет форм. При этом подразумевается уникальность их спектров. Однако в данном случае, принимая во внимание результаты МС (см. выше) о наличии многих форм, мы вынуждены заключить, что УФ-спектры различных форм (по нашему мнению, линейных полимеров Aun(GS)n+1*) близки в расчете на один атом Au, и их вклад в поглощение A при разложениях эффективно передается одним из четырех спектров.
Для полного количественного описания системы требуется набор констант устойчивости для каждого комплекса. Формально для их определения требуется присутствие в материальном балансе системы как самих комплексных форм, так и GS*, что выполняется при X > 1. Однако вследствие большого количества форм и малой различимости спектров для некоторых из них определение такого полного набора констант невозможно. Тем не менее некоторые расчеты были выполнены. Рассматриваемые равновесия имели вид:
. (3)
Равновесие с m = 1 было основным и присутствовало во всех вариантах. К нему добавляли равновесия образования других форм с mдоб = 2, 3, 4. Обработку проводили для известных CAu, CGS, A330 при помощи нелинейного МНК [13] (S 2 = Σ(Aэксп – Aрасч)2 → min), приняв на основании данных рис. 1, что для полимеров ε330 = 1450 M–1 см–1 на один атом Au. Спектр Au(GSH)23– был получен отдельно при большом избытке GS*. Результаты приведены в табл. 1.
Таблица 1. Результаты расчетов констант равновесий (3)
pH | mдоб | –lg(K12) | –lg(Km,m+1) | S2min |
7.20 | – | 5.7 | – | 7 × 10–2 |
2 | 4.3 | 3.3 | 1.6 × 10–2 | |
3 | 4.5 | 1.8 | 8 × 10–3 | |
2 + 3 | 4.5 | 4.2 + 1.9 | 7.5 × 10–3 | |
4 | 4.3 | –1.3 | 5.9 × 10–3 | |
6.66 | 2 | 4.3 | 3.3 | 9 × 10–3 |
3 | 4.5 | 2.2 | 1.6 × 10–2 | |
6.36 | 2 | 4.3 | 3.1 | 1.1 × 10–2 |
3 | 4.5 | 1.9 | 1.1 × 10–2 | |
6.06 | 2 | 4.3 | 2.8 | 1.7 × 10–2 |
3 | 4.5 | 1.6 | 1.1 × 10–2 |
В последней колонке приведены величины остаточных сумм квадратов S2min. Статистически значимым (по критерию Фишера для Pдов = 0.95) в данном случае является различие S2min приблизительно в два раза. Следовательно, первая модель, содержащая только формы Au4(GS)4* и Au(GS)2*, дает значительно худшее описание эксперимента по сравнению с моделями, включающими дополнительные формы, и должна быть отброшена. Однако вид добавляемого равновесия (3) (введение формы Au2(GS)3*, Au3(GS)4* или Au4(GS)5*) практически не имел значения – добавление любого из них резко улучшало описание, но не давало значимого различия S2min между ними. Этот результат согласуется с выводом, сделанным выше о неразличимости форм. Тем не менее, величины lgK12 устойчивы во всех вариантах (кроме первого), среднее равно lgK12 = –4.4 ± 0.1. Переходя к равновесию депротонированных форм, 0.25 (Au4GS4)8– + GS3– = Au(GS)25–, KGS, и учитывая, что для комплексов и свободного глутатиона lgKH = 9.5 и lgK1HK2H = 18.34 [12], получим lgKGS = 4.4, что вполне сравнимо с аналогичной величиной lgKTM = 4.9 для тиомалатных комплексов, определенной потенциометрически [13].
Практически важным является вопрос о том, какая часть золота(I) находится в форме полимеров (αp = CAu p/CAu), а какая в мономерной форме ([Au(GS)2*]/CAu) при данных CAu, CGS и pH. Результат получается близким для расчетов с любым набором констант из табл. 1, включая первый. Так, для одного из экспериментов (CAu = 6.1 × 10–4, CGS = 9.8 × 10–4 M и pH 7.4) получается αp = 0.60 ± 0.04. В то же время расчет CAu p из спектра (например, A330/εp, где εp = 1450 M–1 см–1) дает близкую величину αp = 0.57.
Из величины lgK12 = –4.4 следует, что при pH 7.4 в условиях биологических экспериментов, когда в цитоплазме CGS ~ 10–3 M и CAu ~ 2 × 10–5 M, основная форма золота(I) – это Au(GS)2*, а концентрация Au4(GS)4* лежит на уровне 10–18 M.
В области CGS/CAu < 1 из-за высокой устойчивости комплексов концентрация свободного GS* крайне низкая. Судя по тому, что в большей части этой области все спектры являются линейной комбинацией всего двух линейно независимых спектров, там в основном присутствуют две поглощающие формы. Вероятно, что это Au2GSCl2* и Au4(GS)4*.
ЗАКЛЮЧЕНИЕ
В водном растворе вид полимерных комплексов золота(I) с GS* определяется концентрациями CAu и CGS. Кислотность в основном влияет на количество мономерного бис-тиолата Au(GS)2*. При CGS < CAu возможно образование линейных полимеров типа Aun(GS)n–1Cl2* с концевым расположением хлорид-ионов, а при CGS > CAu – линейных полимеров с избыточным числом тиолатных лигандов Aun(GS)n+1*. По данным масс-спектрометрии, максимальная величина n = 4. В переходной области существует основной полимер состава Au4(GS)4*. На основании результатов использованных методов мы не можем точно утверждать, является ли этот комплекс линейным или циклическим. В случае линейного строения он должен иметь концевой ион Cl–, т.е. иметь вид Au4(GS)4Cl*, хотя в условиях значительного постоянного избытка NaCl присутствие хлоридного лиганда в составе комплекса не выявляется. Тем не менее циклическое тетрамерное строение более вероятно, на что указывают те же аргументы, что использовались для доказательства циклического строения тиомалатного комплекса. Близки и константы образования Au4TM48– и Au4(GS)48–. Однако есть и отличия. Так, УФ-спектр Au4TM4* заметно изменяется при снижении pH [13], в то время как для Au4(GS)4* изменения не отмечены. Вероятно, это связано с более близким к атому S и координационному узлу расположением протонируемых групп –CO2–в TM*. Другое очевидное отличие связано с отсутствием –NH2-группы в TM* по сравнению с GS*, что приводит к различию в протонировании комплексов и в общих зарядах. В области CRS < CAu для RS = TM форма и положение УФ-спектра не изменяются, а его интенсивность снижается пропорционально CTM, что указывает на присутствие в системе только Au4TM4* и AuCl2–. Для RS = GS* анализ формы спектров (рис. 1) и отсутствие осадка в кислой области при X < 0.9 свидетельствуют об образовании дополнительной к Au4(GS)4* формы, которая в самом простом случае может иметь состав Cl–Au–GS–Au–Cl*.
При X >1 близость УФ-спектров полимерных форм на один атом золота(I) позволяет в первом приближении определять его общую концентрацию в составе полимерных форм, используя обобщенный коэффициент экстинкции εp, CAu p = A/lεp. Это может быть полезно при количественном анализе результатов исследований, особенно когда полимерные тиолаты получают восстановлением комплексов золота(III). Кроме того, результаты данной работы могут быть полезны для оптимизации и объяснения процессов получения функциональных люминесцентных материалов.
ФИНАНСИРОВАНИЕ РАБОТЫ
Работа поддержана Министерством науки и высшего образования Российской Федерации, проект № 121031700315-2.
КОНФЛИКТ ИНТЕРЕСОВ
Авторы заявляют, что у них нет конфликта интересов.
ДОПОЛНИТЕЛЬНАЯ ИНФОРМАЦИЯ
Онлайн-версия содержит дополнительные материалы, доступные по адресу https://doi.org/10.31857/S0044457X24100117
About the authors
I. V. Mironov
Nikolaev Institute of Inorganic Chemistry of the Siberian Branch of the Russian Academy of Sciences
Author for correspondence.
Email: imir@niic.nsc.ru
Russian Federation, Novosibirsk, 630090
V. Yu. Kharlamova
Nikolaev Institute of Inorganic Chemistry of the Siberian Branch of the Russian Academy of Sciences
Email: imir@niic.nsc.ru
Russian Federation, Novosibirsk, 630090
References
- Shaw III C.F. // Chem. Rev. 1999. V. 99. P. 2589. https://doi.org/10.1021/cr980431o
- Singh N., Sharma R., Bharti R. // Mater. Today: Proc. 2023. V. 81. P. 876. https://doi.org/10.1016/j.matpr.2021.04.270
- Darabi F., Marzo T., Massai L. et al. // J. Inorg. Biochem. 2015. V. 149. P. 102. https://doi.org/10.1016/j.jinorgbio.2015.03.013
- Vaidya S., Hawila S., Zeyu F. et al. // ACS Appl. Mater. Interfaces. 2024. V. 16. P. 22512. https://doi.org/10.1021/acsami.4c01958
- Голованова С.А., Садков А.П., Шестаков А.Ф. // Кинетика и катализ. 2020. Т. 61. № 5. С. 664. https://doi.org/10.31857/S0453881120040097
- Zhang Q., Wang J., Meng Z. et al. // Nanomaterials. 2021. V. 11. P. 2258. https://doi.org/10.3390/nano11092258
- Brinas R.P., Hu M., Qian L. et al. // J.Am. Chem. Soc. 2008. V. 130. P. 975. https://doi.org/10.1021/ja076333e
- Luo Z., Yuan X., Yu Y. et al. // J.Am. Chem. Soc. 2012. V. 134. P. 16662. https://doi.org/10.1021/ja306199p
- Veselska O., Vaidya S., Das C. et al. // Angew. Chem. Int. Ed. Engl. 2022. V. 61. P. e202117261. https://doi.org/10.1002/anie.202117261
- Ao H., Feng H., Li K. et al. // Sens. Actuators B: Chem. 2018. V. 272. P. 1. https://doi.org/10.1016/j.snb.2018.05.151
- Vaidya S., Veselska O., Zhadan A. et al. // Chem. Sci. 2020. V. 11. P. 6815. https://doi.org/10.1039/D0SC02258F
- Mironov I.V., Kharlamova V.Yu. // J. Solution Chem. 2020. V. 49. P. 583. https://doi.org/10.1007/s10953-020-00994-0
- Mironov I.V., Kharlamova V.Yu. // J. Solution Chem. 2018. V. 47. P. 511. https://doi.org/10.1007/s10953-018-0735-y
- Block B.P., Bailar J.C. // J.Am. Chem. Soc. 1951. V. 73. P. 4722. https://doi.org/10.1021/ja01154a071
- Берштейн И.Я., Каминский Ю.Л. Спектрофотометрический анализ в органической химии. Л.: Химия, 1986. 198 с.
- Mironov I.V., Tsvelodub L.D. // J. Appl. Spectrosc. 1997. V. 64. P. 470. https://doi.org/10.1007/BF02683888
- Howell J.A.S. // Polyhedron. 2006. V. 25. P. 2993. https://doi.org/10.1016/j.poly.2006.05.014
- Mironov I.V., Kharlamova V.Yu., Makotchenko E.V. // Biometals. 2024. V. 37. P. 233. https://doi.org/10.1007/s10534-023-00545-2
- Veselska O., Okhrimenko L., Guillou N. et al. // J. Mater. Chem. С. 2017. V. 5. P. 9843. https://doi.org/10.1039/c7tc03605a
- Mironov I.V., Kharlamova V.Yu. // Inorg. Chim. Acta. 2021. V. 525. P. 120500. https://doi.org/10.1016/j.ica.2021.120500
- Wojnowski W., Becker B., Saßmannshausen J. et al. // Z. Anorg. Allg. Chem. 1994. V. 620. P. 1417. https://doi.org/10.1002/zaac.19946200816
- Bonasia P.J., Gindelberger D.E., Arnold J. // Inorg. Chem. 1993. V. 32. P. 5126. https://doi.org/10.1021/ic00075a031
- Wiseman M.R., Marsh P.A., Bishop P.T. et al. // J.Am. Chem. Soc. 2000. V. 122. P. 12598. https://doi.org/10.1021/ja0011156
- Chui S.S.-Y., Chen R., Che C.-M. // Angew. Chem. Int. Ed. 2006. V. 45. P. 1621. https://doi.org/10.1002/anie.200503431
- Schröter I., Strähle J. // Chem. Ber. 1991. V. 124. P. 2161. https://doi.org/10.1002/cber.19911241003
- Lavenn C., Okhrimenko L., Guillou N. et al. // J. Mater. Chem. С. 2015. V. 3. P. 4115. https://doi.org/10.1039/c5tc00119f
- Bau R. // J.Am. Chem. Soc. 1998. V. 120. P. 9380. https://doi.org/10.1021/ja9819763
- LeBlanc D.J., Smith R.W., Wang Z. et al. // J. Chem. Soc. Dalton Trans. 1997. P. 3263. https://doi.org/10.1039/A700827I
- Elder R.C., Jones W.B., Zhao Z. et al. // Met. Based Drugs. 1994. V. 1. P. 363. https://doi.org/10.1155/MBD.1994.363
- Mazid M.A., Razi M.T., Sadler P.J. et al. // J. Chem. Soc., Chem. Commun. 1980. P. 1261. https://doi.org/10.1039/C39800001261
- Howard-Lock H.E., LeBlanc D.J., Lock C.J.L. et al. // Chem. Commun. 1996. P. 1391. https://doi.org/10.1039/CC9960001391
- Howard-Lock H.E. // Met. Based Drugs. 1999. V. 6. P. 201. https://doi.org/10.1155/MBD.1999.201
- Isab A.A., Sadler P.J. // J. Chem. Soc., Dalton Trans. 1981. P. 1657. https://doi.org/10.1039/DT9810001657
- Isab A.A., Ahmad S. // Spectroscopy. 2006. V. 20. P. 109. https://doi.org/10.1155/2006/314052
- Mironov I.V., Kharlamova V.Yu. // ChemistrySelect. 2023. V. 8. P. e202301337. https://doi.org/10.1002/slct.202301337
- Feng S., Zheng X., Wang D. et al. // J. Phys. Chem. A. 2014. V. 118. P. 8222. https://doi.org/10.1021/jp501015k
Supplementary files






