Synthesis, structure and photoluminescent properties of complexes manganese(II) based on 3-chloro-6-(3,5-dimethyl-1Н-pyrazol-1-yl)pyridazine
- Authors: Nafikov M.D.1,2, Rakhmanova M.I.2, Pervukhina N.V.2, Naumov D.Y.2, Syrokvashin M.M.2, Vinogradova К.А.2
-
Affiliations:
- Novosibirsk State University (National Research University)
- Nikolaev Institute of Inorganic Chemistry, Siberian Branch of Russian Academy of Sciences
- Issue: Vol 70, No 2 (2025)
- Pages: 244-261
- Section: КООРДИНАЦИОННЫЕ СОЕДИНЕНИЯ
- URL: https://journal-vniispk.ru/0044-457X/article/view/289474
- DOI: https://doi.org/10.31857/S0044457X25020109
- EDN: https://elibrary.ru/ICGZGH
- ID: 289474
Cite item
Abstract
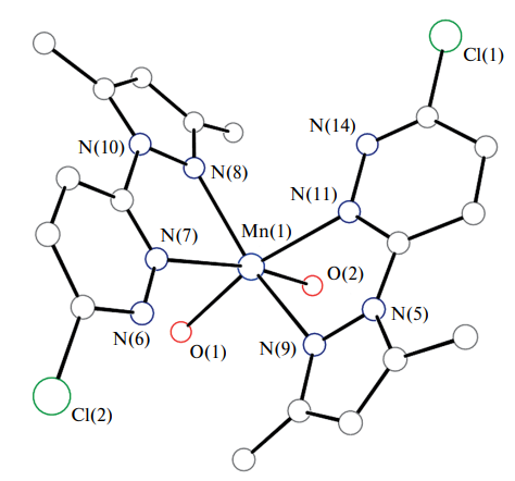
Manganese(II) complexes based on 3-chloro-6-(3,5-dimethyl-1H-pyrazol-1-yl)pyridazine (L) with different anions (bromide, perchlorate and salicylate) have been synthesized and structurally characterized. Complex compounds [MnL2Br2] (I), [MnL2(H2O)2](ClO4)2 (II) and [Mn3L2(Sal)6] · 2CH3CN (III) have been obtained by a reaction of appropriate manganese(II) salts and L in organic media at a molar ratio of 1 : 1. According to the single-crystal X-ray diffraction analysis, complexes I and II have mononuclear molecular structure and ionic structure, respectively, and complex III has a trinuclear molecular structure. The Mn centers in these solids exhibit a distorted octahedral coordination geometry, the coordination polyhedron in I is MnN4Br2, in II is MnN4O2, in III is Mn(1)N2O4 or Mn(2)O6. For the complexes I–III the photoluminescent (PL) properties have been studied in the solid state and in solution. The absorption spectrum of III in compared to the spectrum of L shows new bands at 310 and 340 nm; upon excitation in this region a dual-band emission with maxima at 390 and 445 nm with nanosecond lifetimes is observed. Solid complex III shows weak phosphorescence (λmax = 420 nm). Upon cooling at 77 K, in the PL spectrum of III two additional bands (520 and 585 nm) appear, while in the excitation spectrum bands at 460 and 520 nm appear. Probably, this emission occurs due to transitions in the Mn2+ ion. The effective magnetic moments of I–III have been measured at room temperature. For complex I the value is 5.82 B.M., which is typical of high-spin d5 configuration, where the predicted spin only value is 5.90 B.M. For complex III it is 5.70 B.M., which seems to be due to magnetic exchange interactions in the Mn3O12N4 cluster.
Full Text
About the authors
M. D. Nafikov
Novosibirsk State University (National Research University); Nikolaev Institute of Inorganic Chemistry, Siberian Branch of Russian Academy of Sciences
Email: kiossarin@mail.ru
Russian Federation, Novosibirsk, 630090; Novosibirsk, 630090
M. I. Rakhmanova
Nikolaev Institute of Inorganic Chemistry, Siberian Branch of Russian Academy of Sciences
Email: kiossarin@mail.ru
Russian Federation, Novosibirsk, 630090
N. V. Pervukhina
Nikolaev Institute of Inorganic Chemistry, Siberian Branch of Russian Academy of Sciences
Email: kiossarin@mail.ru
Russian Federation, Novosibirsk, 630090
D. Yu. Naumov
Nikolaev Institute of Inorganic Chemistry, Siberian Branch of Russian Academy of Sciences
Email: kiossarin@mail.ru
Russian Federation, Novosibirsk, 630090
M. M. Syrokvashin
Nikolaev Institute of Inorganic Chemistry, Siberian Branch of Russian Academy of Sciences
Email: kiossarin@mail.ru
Russian Federation, Novosibirsk, 630090
К. А. Vinogradova
Nikolaev Institute of Inorganic Chemistry, Siberian Branch of Russian Academy of Sciences
Author for correspondence.
Email: kiossarin@mail.ru
Russian Federation, Novosibirsk, 630090
References
- Kumar K. // React. Chem. Eng. 2024. V. 9. № 3. P. 496. https://doi.org/10.1039/d3re00410d
- Бочкарев М.Н., Витухновский А.Г., Каткова М.А. Органические светоизлучающие диоды (OLED). М., 2011. 359 с.
- Mal’tsev E.I., Lypenko D.A., Dmitriev A.V. et al. // Russ. J. Coord. Chem. 2023. V. 49. P. S2. https://doi.org/10.1134/S107032842360078X
- Wang Z.B., Helander M.G., Qiu J. et al. // Nat. Photonics. 2011. V. 5. № 12. P. 753. https://doi.org/10.1038/nphoton.2011.259
- Li X., Xie Y., Li Z. // Chem. Asian. J. 2021. V. 16. № 19. P. 2817. https://doi.org/10.1002/asia.202100784
- Yersin H. // Triplet Emitters for OLED Applications. Mechanisms of Exciton Trapping and Control of Emission Properties, in: Top. Curr. Chem., 2004. P. 1–26. https://doi.org/10.1007/b96858
- Yersin H., Rausch A.F., Czerwieniec R. et al. // Coord. Chem. Rev. 2011. V. 255. № 21–22. P. 2622. https://doi.org/10.1016/j.ccr.2011.01.042
- Zhang J., Ye H., Jin Y. et al. // Top. Curr. Chem. 2022. V. 380. № 1. https://doi.org/10.1007/s41061-021-00357-3
- Alsaeedi M.S. // J. Saudi Chem. Soc. 2022. V. 26. № 2. P. 101442. https://doi.org/10.1016/j.jscs.2022.101442
- Li T.Y., Zheng S.J., Djurovich P.I. et al. // Chem. Rev. 2023. V. 124. № 7. P. 4332. https://doi.org/10.1021/acs.chemrev.3c00761
- Holler M., Delavaux-Nicot B., Nierengarten J.F. // Chem. Eur. J. 2019. V. 25. № 18. P. 4543. https://doi.org/10.1002/chem.201805671
- Yuan L., Zhang Y.P., Zheng Y.X. // Sci. China. Chem. 2024. V. 67. P. 1097. https://doi.org/10.1007/s11426-023-1910-1
- Patil V.V., Hong W.P., Lee J.Y. // Adv. Energy Mater. 2024. https://doi.org/10.1002/aenm.202400258
- Xiao Y., Wang H., Xie Z. et al. // Chem. Sci. 2022. V. 13. № 31. P. 8906. https://doi.org/10.1039/d2sc02201j
- Monkman A. // Photophysics of Thermally Activated Delayed Fluorescence, 2019, Chapter 12. P. 425. https://doi.org/10.1002/9783527691722.ch12
- Binnemans K. // Chem. Rev. 2009. V. 109. № 9. P. 4283. https://doi.org/10.1021/cr8003983
- Bünzli J.C.G. // Coord. Chem. Rev. 2015. V. 293–294. P. 19. https://doi.org/10.1016/j.ccr.2014.10.013
- Hasegawa Y., Kitagawa Y., Nakanishi T. // NPG Asia Mater. 2018. V. 10. № 4. P. 52. https://doi.org/10.1038/s41427-018-0012-y
- Wang L., Zhao Z., Wei C. et al. // Adv. Opt. Mater. 2019. V. 7. № 11. P. 1801256. https://doi.org/10.1002/adom.201801256
- Nehra K., Dalal A., Hooda A. et al. // J. Mol. Struct. 2022. V. 1249. P. 131531. https://doi.org/10.1016/j.molstruc.2021.131531
- Tao P., Liu S.J., Wong W.Y. // Adv. Opt. Mater. 2020. V. 8. № 20. P. 2000985. https://doi.org/10.1002/adom.202000985
- Qin Y., She P., Huang X. et al. // Coord. Chem. Rev. 2020. V. 416. P. 213331. https://doi.org/10.1016/j.ccr.2020.213331
- Xu L.J., Sun C.Z., Xiao H. et al. // Adv. Mater. 2017. V. 29. № 10. P. 1605739. https://doi.org/10.1002/adma.201605739
- Wu Y., Zhang X., Zhang Y.Q. et al. // Chem. Commun. 2018. V. 54. № 99. P. 13961. https://doi.org/10.1039/c8cc08665f
- Wu Y., Zhang X., Xu L.J. et al. // Inorg. Chem. 2018. V. 57. № 15. P. 9175. https://doi.org/10.1021/acs.inorgchem.8b01205
- Artemev A.V., Davydova M.P., Berezin A.S. et al. // Dalton Trans. 2019. V. 48. № 43. P. 16448. https://doi.org/10.1039/c9dt03283e
- Gong L.K., Hu Q.Q., Huang F.Q. et al. // Chem. Commun. 2019. V. 55. № 51. P. 7303. https://doi.org/10.1039/c9cc03038g
- O’Toole N., Lecourt C., Suffren Y. et al. // Eur. J. Inorg. Chem. 2019. V. 2019. № 1. P. 73. https://doi.org/10.1002/ejic.201801104
- She P., Ma Y., Qin Y. et al. // Matter. 2019. V. 1. № 6. P. 1644. https://doi.org/10.1016/j.matt.2019.08.016
- Sun M.E., Li Y., Dong X.Y. et al. // Chem. Sci. 2019. V. 10. № 13. P. 3836. https://doi.org/10.1039/c8sc04711a
- Berezin A.S. // Dyes and Pigments. 2021. V. 196. P. 109782. https://doi.org/10.1016/j.dyepig.2021.109782
- Berezin A.S. // Int. J. Mol. Sci. 2021. V. 22. № 13. P. 687. https://doi.org/10.3390/ijms22136873
- Berezin A.S., Selivanov B., Danilenko A. et al. // Inorganics (Basel). 2022. V. 10. № 12. P. 245. https://doi.org/10.3390/inorganics10120245
- Zhou Z., Meng H., Li F. et al. // Inorg. Chem. 2023. V. 62. № 14. P. 5729. https://doi.org/10.1021/acs.inorgchem.3c00273
- Nikolić K., Burić I., Aleksić A. // Czechoslovak J. Phys. 1984. V. 34. № 6. P. 589. https://doi.org/10.1007/BF01595715
- Hardy G.E., Zink J.I. // Inorg. Chem. 1976. V. 15. № 12. P. 3061. https://doi.org/10.1021/ic50166a026
- Morad V., Cherniukh I., Pöttschacher L. et al. // Chem. Mater. 2019. V. 31. № 24. P. 10161. https://doi.org/10.1021/acs.chemmater.9b03782
- She P., Zheng Z., Qin Y. et al. // Adv. Opt. Mater. 2024. V. 12. № 10. P. 2302132. https://doi.org/10.1002/adom.202302132
- Lu J., Gao J., Wang S. et al. // Nano Lett. 2023. V. 23. № 10. P. 4351. https://doi.org/10.1021/acs.nanolett.3c00503
- Golovnev N.N., Gerasimova M.A., Ostapenko I.A. et al. // J. Mol. Struct. 2023. V. 1277. https://doi.org/10.1016/j.molstruc.2022.134851
- Gao C., Zhang X., Liang W. et al. // Inorg. Chem. Commun. 2023. V. 155. P. 111031. https://doi.org/10.1016/j.inoche.2023.111031
- Enikeeva K.R., Shamsieva A.V., Kasimov A.I. et al. // Inorg. Chim. Acta. 2023. V. 558. P. 121741. https://doi.org/10.1016/j.ica.2023.121741
- Davydova M.P., Meng L., Rakhmanova M.I. et al. // Adv. Mater. 2023. V. 35. № 35. P. 2303611. https://doi.org/10.1002/adma.202303611
- Zhang Z.C., Zhang T., Su C.Y. et al. // Inorg. Chem. 2022. V. 61. № 34. P. 13322. https://doi.org/10.1021/acs.inorgchem.2c01182
- Nikolič K., Lignou F., de la Garanderie H.P. // J. Lumin. 1973. V. 8. № 2. P. 137. https://doi.org/10.1016/0022-2313(73)90100-2
- Vijaya G.S., Atanu J., Cho S.C. et al. // Chem. Eng. J. 2023. V. 474. P. 145936. https://doi.org/10.1016/j.cej.2023.145936
- Chandra B.P., Khokhar M.S.K., Gupta R.S. et al. // Pramana. 1987. V. 29. № 4. P. 399. https://doi.org/10.1007/BF02845778
- Zhang Y.Z., Sun D.S., Chen X.G. et al. // Chem. Asian. J. 2019. V. 14. № 21. P. 3863. https://doi.org/10.1002/asia.201901150
- Jana A., Sree V.G., Ba Q. et al. // J. Mater. Chem. C. Mater. 2021. V. 9. № 34. P. 11314. https://doi.org/10.1039/d1tc02550c
- Jana A., Myung C.W., Sree V.G. et al. // Mater. Chem. Front. 2022. V. 6. № 20. P. 3102. https://doi.org/10.1039/d2qm00447j
- Qin Y., Tao P., Gao L. et al. // Adv. Opt. Mater. 2019. V. 7. № 2. P. 1801160. https://doi.org/10.1002/adom.201801160
- Suffren Y., O’Toole N., Hauser A. et al. // Dalton Trans. 2015. V. 44. № 17. P. 7991. https://doi.org/10.1039/c5dt00827a
- Berezin A.S., Samsonenko D.G., Brel V.K. et al. // Dalton Trans. 2018. V. 47. № 21. P. 7306. https://doi.org/10.1039/c8dt01041b
- Vinogradova K.A., Shekhovtsov N.A., Berezin A.S. et al. // Inorg. Chem. Commun. 2019. V. 100. P. 11. https://doi.org/10.1016/j.inoche.2018.12.002
- Bose D., Mostafa G., Fun H.K. et al. // Polyhedron. 2005. V. 24. № 6. P. 747. https://doi.org/10.1016/j.poly.2005.01.021
- Yang L., Yu W., Zhang T.L. et al. // Z. Anorg. Allg. Chem. 2007. V. 633. № 11–12. P. 2046. https://doi.org/10.1002/zaac.200700292
- Roy A.S., Biswas M.K., Weyhermüller T. et al. // Dalton Trans. 2011. V. 40. № 1. P. 146. https://doi.org/10.1039/C0DT00883D
- Yang Y.-Q., Zhang M.-B., Chen M.-S. et al. // Z. Naturforsch., B: Chem. Sci. 2012. V. 67. № 3. P. 209. https://doi.org/10.1515/znb-2012-0305
- Bera M., Jana S.K., Rana A. et al. // J. Inorg. Organomet. Polym. Mater. 2013. V. 23. № 3. P. 736. https://doi.org/10.1007/s10904-013-9840-y
- Chen J.X., Yang Z., Zhao S. et al. // Synth. React. Inorg. Met.-Org. Chem. 2013. V. 43. № 7. P. 897. https://doi.org/10.1080/15533174.2012.750672
- Zou J.H., Tian H., Wang Z. et al. // Z. Anorg. Allg. Chem. 2014. V. 640. № 12–13. P. 2566. https://doi.org/10.1002/zaac.201400252
- Hazari D., Jana S.K., Puschmann H. et al. // Transition Met. Chem. 2015. V. 40. № 6. P. 595. https://doi.org/10.1007/s11243-015-9952-z
- Liu D. // J. Coord. Chem. 2015. V. 68. № 10. P. 1655. https://doi.org/10.1080/00958972.2015.1021344
- Li X.Y., Zhang P., Tian H. et al. // Z. Anorg. Allg. Chem. 2015. V. 641. № 11. P. 1948. https://doi.org/10.1002/zaac.201500134
- Manna S.C., Mistri S., Jana A.D. // CrystEngComm. 2012. V. 14. № 21. P. 7415. https://doi.org/10.1039/c2ce25916h
- Vinogradova K.A., Berezin A.S., Taigina M.D. et al. // Inorg. Chim. Acta. 2024. V. 569. P. 122137. https://doi.org/10.1016/j.ica.2024.122137
- Adamski A., Wałȩsa-Chorab M., Kubicki M. et al. // Polyhedron. 2014. V. 81. P. 188. https://doi.org/10.1016/j.poly.2014.05.081
- Suckert S., Terraschke H., Reinsch H. et al. // Inorg. Chim. Acta. 2017. V. 461. P. 290. https://doi.org/10.1016/j.ica.2017.03.002
- Berezin A.S., Vinogradova K.A., Nadolinny V.A. et al. // Dalton Trans. 2018. V. 47. № 5. P. 1657. https://doi.org/10.1039/c7dt04535b
- Achelle S., Hodée M., Massue J. et al. // Dyes and Pigments. 2022. V. 200. P. 110157. https://doi.org/10.1016/j.dyepig.2022.110157
- Berezin A.S., Vinogradova K.A., Nadolinny V.A. et al. // Dalton Trans. 2018. V. 47. № 5. P. 1657. https://doi.org/10.1039/C7DT04535B
- Blake A.J., Hibbs D.E., Hubberstey P. et al. // Polyhedron. 1998. V. 17. № 20. P. 3583. https://doi.org/10.1016/S0277-5387(98)00153-3
- Blake A.J., Hubberstey P., Li W.-S. et al. // J. Chem. Soc., Dalton Trans. 1998. № 4. P. 647. https://doi.org/10.1039/a706105f
- Li X.R., Zhang Z.H., Liu X.F. et al. // J. Chem. Crystallogr. 2008. V. 38. № 10. P. 781. https://doi.org/10.1007/s10870-008-9390-2
- An C.X., Li X.R., Zhang Z.H. // Transition Met. Chem. 2009. V. 34. № 3. P. 255. https://doi.org/10.1007/s11243-009-9187-y
- Gupta G., Prasad K.T., Das B. et al. // J. Organomet. Chem. 2009. V. 694. № 16. P. 2618. https://doi.org/10.1016/j.jorganchem.2009.03.043
- Gupta G., Prasad K.T., Anna V.R. et al. // Inorg. Chim. Acta. 2010. V. 363. № 10. P. 2287. https://doi.org/10.1016/j.ica.2010.03.052
- Ather A.Q., Tahir M.N., Khan M.A. et al. // Acta. Crystallogr., Sect. E: Struct. Rep. Online. 2010. V. E66. № 10. P. o2493. https://doi.org/10.1107/S1600536810034756
- Dai F.-R., Ye H.-Y., Li B. et al. // Dalton Trans. 2009. № 40. P. 8696. https://doi.org/10.1039/b908798b
- Guetzoyan L., Ingham R.J., Nikbin N. et al. // Med. Chem. Commun. 2014. V. 5. № 4. P. 540. https://doi.org/10.1039/C4MD00007B
- Süküroglu M., Ergün B.Ç., Ünlü S. et al. // Arch. Pharm. Res. 2005. V. 28. № 5. P. 509. https://doi.org/10.1007/BF02977751
- Rissanen K., Valkonen J., Kokkonen P. et al. // Acta. Chem. Scand. 1987. V. 41a. P. 299. https://doi.org/10.3891/acta.chem.scand.41a-0299
- Devereux M., McCann M., Casey M.T. et al. // J. Chem. Soc., Dalton Trans. 1995. V. 77. № 5. P. 771. https://doi.org/10.1039/DT9950000771
- Bruker Apex3 software suite: Apex3, SADABS-2016/2 and SAINT, version 2018.7-2; Bruker AXS Inc.: Madison, WI. 2017.
- Bruker AXS Inc., APEX2 (Version 1.08), SAINT (Version 7.03), and SADABS (Version 2.11). Bruker Advanced X-ray Solutions. 2004.
- Sheldrick G.M. // Acta Crystallogr, A. 2015. V. 71. № 1. P. 3. https://doi.org/10.1107/S2053273314026370
- Costa P.J. // Phys. Sci. Rev. 2017. V. 2. № 11. P. 20170136. https://doi.org/10.1515/psr-2017-0136
- Cavallo G., Metrangolo P., Milani R. et al. // Chem. Rev. 2016. V. 116. № 4. P. 2478. https://doi.org/10.1021/acs.chemrev.5b00484
- Kessissoglou D.P., Kirk M.L., Lah M.S. et al. // Inorg. Chem. 1992. V. 31. № 26. P. 5424. https://doi.org/10.1021/ic00052a018
- Zhao P.-Z., Yan F.-M., Wang J.-G. // Acta Crystallogr., Sect. E: Struct. Rep. Online. 2009. V. 65. № 2. P. M194. https://doi.org/10.1107/S1600536809000981
- Xiang D.F., Duan C.Y., Tan X.S. et al. // J. Chem. Soc., Dalton Trans. 1998. № 7. P. 1201. https://doi.org/10.1039/a707433f
- Tan X.S., Tang W.X., Chen J. et al. // Polyhedron. 1996. V. 15. № 12. P. 2087. https://doi.org/10.1016/0277-5387(95)00440-8
- Tan X.S., Sun J., Hu C.H. et al. // Inorg. Chim. Acta. 1997. V. 257. № 2. P. 203. https://doi.org/10.1016/S0020-1693(96)05476-X
- Lutter J.C., Boron T.T., Chadwick K.E. et al. // Polyhedron. 2021. V. 202. P. 115190. https://doi.org/10.1016/j.poly.2021.115190
- Wang G.-F., Sun S.-W., Bao W.-J. // Crystallogr. Rep. 2021. V. 66. № 7. P. 1247. https://doi.org/10.1134/S1063774521070191
- Seth P., Figuerola A., Jover J. et al. // Inorg. Chem. 2014. V. 53. № 17. P. 9296. https://doi.org/10.1021/ic501425x
- Gupta M.P., Ashok J. // Curr. Sci. 1978. V. 47. № 15. P. 534.
- Chu H.A., Sackett H., Babcock G.T. // Biochemistry. 2000. V. 39. № 47. P. 14371. https://doi.org/10.1021/bi001751g
- Kishore K., Nagarajan R. // Fire. Saf. J. 1989. V. 15. № 5. P. 391. https://doi.org/10.1016/0379-7112(89)90028-3
- Alambar E.S., Carlisle J.A., Carlisle G.O. // Inorg. Chim. Acta. 1983. V. 78. P. L65. https://doi.org/10.1016/S0020-1693(00)86479-8
Supplementary files











