Synthesis of 4-{[(2Z)-4-Aryl-1-methoxy-1,4-dioxobut-2-en-2-yl]amino}benzoic acids and their reaction with ninhydrin
- Authors: Gein V.L.1, Chalkov D.V.1, Bobrovskaya O.V.1, Dmitriev M.V.2
-
Affiliations:
- Perm State Pharmaceutical Academy of the Ministry of Health of the Russian Federation
- Perm State National Research University
- Issue: Vol 94, No 11-12 (2024)
- Pages: 1071-1079
- Section: Articles
- URL: https://journal-vniispk.ru/0044-460X/article/view/280850
- DOI: https://doi.org/10.31857/S0044460X24110018
- EDN: https://elibrary.ru/QXSBPC
- ID: 280850
Cite item
Full Text
Abstract
4-{[(2Z)-4-Aryl-1-methoxy-1,4-dioxobut-2-en-2-yl)]amino}benzoic acids were synthesized by reaction methyl esters of aroylpyruvic acids with 4-aminobenzoic (para-aminobenzoic) acid in a mixture of glacial acetic acid–ethanol, 1:1. The obtained compounds reacted with ninhydrin in glacial acetic acid to form 4-{3-aroyl-1ʹ,3ʹ-dihydro-1ʹ,3ʹ,5-trioxo-5H-spiro[furan-2,2ʹ-indan]-4-yl)amino}benzoic acids. The structure of the obtained compounds was determined using IR, NMR 1H and13C{1H} spectroscopy and X-ray crystallography.
Full Text
Введение
В свете решения такой фундаментальной проблемы органического синтеза, как разработка методов, позволяющих быстро и с высокой селективностью получать сложные целевые молекулы, изучение химических свойств 4-{[(2Z)-4-арил-1-метокси-1,4-диоксобут-2-ен-2-ил]амино}бензойных кислот, имеющих в своей структуре несколько реакционноспособных центров, является перспективным.
Ранее нами была изучена реакция 4-аминобензойной (пара-аминобензойной) кислоты с метиловыми эфирами ароилпировиноградных кислот в смеси ледяная уксусная кислота–этанол в соотношении 1:1, которая приводит к 4-{[(2Z)-4-арил-1-метокси-1,4-диоксобут-2-ен-2-ил]амино}бензойным кислотам [1].
В продолжение исследований в этом направлении, а также с целью изучения химических свойств 4-{[(2Z)-4-арил-1-метокси-1,4-диоксобут-2-ен-2-ил]амино}бензойных кислот, нами было изучено их взаимодействие с нингидрином, в результате которого образуются 4-{(3-ароил-1ʹ,3ʹ,5-триоксо-1ʹ,3ʹ-дигидро-5H-спиро[фуран-2,2ʹ-инден]-4-ил)амино}бензойные кислоты.
Синтез спиросоединений является одним из актуальных направлений органической химии [2]. Спираны – соединения, углеродный скелет которых содержит два или более углеродных циклов, имеющих только один общий атом, и при этом циклы не связаны мостиком [3], являются не только фундаментальной структурой для многих природных продуктов [4, 5], лекарств и биологически активных молекул [6], но и незаменимыми катализаторами в асимметрическом синтезе [7]. Примерами широко известных лекарственных средств, содержащих спироэфирный цикл, являются гризеофульвин, дроспиренон, спиронолактон и эплеренон [8].
Функционализированные 3-ацил-4-алкил(арил)амино-5H-спиро[фуран-2,2ʹ-инден]-1ʹ,3ʹ,5-трионы могут быть получены с помощью тандемной реакции первичного или вторичного амина, нингидрина и диалкилацетилендикарбоксилата [9, 10]. Также сообщалось о применении метил-(2Z)-4-арил-4-оксо-2-[(4-сульфамоилфенил)амино]бут-2-еноатов для синтеза 4-ароил-3-[(4-сульфамоилфенил)амино]спиро[2,5-дигидрофуран-5,2ʹ-индан]-2,1ʹ,3ʹ-трионов [11].
Результаты и обсуждение
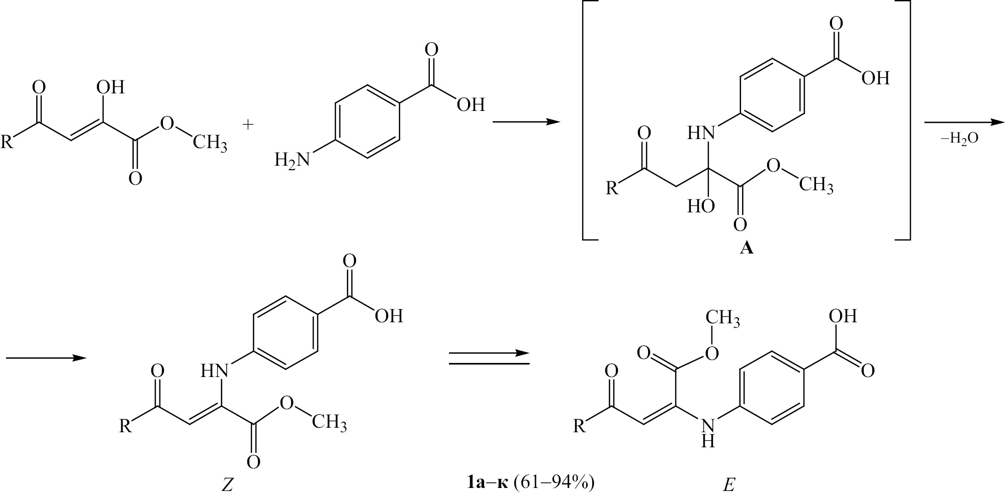
В данной работе представлен синтез новых спирогетероциклических соединений фуранонового ряда 2a–к, содержащих в своей структуре остаток 4-аминобензойной кислоты в положении 4 гетероцикла, для получения которых нами синтезированы как новые (1a, д–и), так и описанные ранее 4-{[(2Z)-4-арил-1-метокси-1,4-диоксобут-2-ен-2-ил]амино}бензойные кислоты (1б–г, к) [1] взаимодействием метиловых эфиров ароилпировиноградных кислот с 4-аминобензойной кислотой в смеси ледяная уксусная кислота–этанол в соотношении 1:1.
Реакция протекает по механизму, описанному ранее [11, 12]. На первой стадии ароматическая аминогруппа 4-аминобензойной кислоты присоединяется по двойной связи α-карбонильной группы исходного метилового эфира ароилпировиноградной кислоты с образованием промежуточного соединения А (карбиноламина), дегидратация которого приводит к соединениям 1a–к (схема 1).
Схема 1.
R = C6H5 (1a), 4-MeC6H4 (1б), 4-MeOC6H4 (1в), 4-EtOC6H4 (1г), 4-FC6H4 (1д), 4-ClC6H4 (1е),
2,4-(Cl)2C6H3 (1ж), 4-BrC6H4 (1з), 4-NO2C6H4 (1и), 3-NO2C6H4 (1к).
Выходы и спектральные характеристики ранее полученных соединений 1б–г, к представлены в работе [1].
Синтезированные соединения 1a–к представляют собой ярко-желтые кристаллические вещества, растворимые в ДМФА, ДМСО, при нагревании – в этаноле, изопропаноле, диоксане, уксусной кислоте, ацетоне, нерастворимые в воде. В ИК спектрах соединений 1a, 1д–и наблюдаются полосы, обусловленные валентными колебаниями связи N–H (3469–3362 см–1), карбоксильной группы (3074–3056 см–1), сложноэфирной и С=О групп (1740–1732 и 1685–1678 см–1 соответственно), кетонной карбонильной группы (1621–1606 см–1).
В спектрах ЯМР 1Н соединений 1a, д–и, кроме сигналов ароматических протонов и связанных с ароматическим кольцом групп, присутствуют синглеты трех метоксильных протонов (3.75–3.79 м. д.), метилиденового протона (6.15–6.66 м. д.), протонов аминогрупп NНЕ-форма (9.99–10.26 м. д.) и NНZ-форма (11.45–11.83 м. д.), уширенный синглет протона карбоксильной группы (12.73–12.81 м. д.).
По данным ЯМР 1Н, соединения 1a, д–и существуют в виде Z- и Е-изомеров с преобладанием Z-формы. Исходя из соотношения значений интегральных интенсивностей сигналов протона группы NH, а также сигналов метилиденового протона и метоксильных протонов, на Z-форму приходится ~56–76%, на Е-форму − ~24–44%. Большая устойчивость Z-формы объясняется тем, что она по аналогии с ранее полученными енаминоэфирами ароилпировиноградных кислот может стабилизироваться за счет образования внутримолекулярной водородной связи, в то время как в форме Е такая связь не может реализоваться, что приводит к меньшей устойчивости данной формы.
В спектрах ЯМР 13С соединений 1a, д–и наблюдаются сигналы химических сдвигов ядер атомов углерода метоксигруппы (52.74–53.11 м. д.), метилиденовой (94.59–101.62 м. д.), сложноэфирной (163.75–165.73 м. д.), карбоксильной (166.47–166.60 м. д.) и кетонной карбонильной групп (185.26–190.21 м. д.).
Исследуя реакционную способность 4-{[(2Z)-4-арил-1-метокси-1,4-диоксобут-2-ен-2-ил]амино}бензойных кислот 1a–к по отношению к нингидрину, мы установили, что при кипячении эквимолярных количеств указанных соединений в ледяной уксусной кислоте в течение 15 мин образуются 4-{(3-ароил-1ʹ,3ʹ,5-триоксо-1ʹ,3ʹ-дигидро-5H-спиро[фуран-2,2ʹ-инден]-4-ил)амино}бензойные кислоты 2a–к (схема 2).
Схема 2.
R = C6H5 (2a), 4-MeC6H4 (2б), 4-MeOC6H4 (2в), 4-EtOC6H4 (2г), 4-FC6H4 (2д),
4-ClC6H4 (2е), 2,4-(Cl)2C6H3 (2ж), 4-BrC6H4 (2з), 4-NO2C6H4 (2и), 3-NO2C6H4 (2к).
На первой стадии соединения 1a–к присоединяются по двойной связи карбонильной группы нингидрина в положении 2 с образованием промежуточного соединения Б, в котором спиртовая гидроксильная группа у четвертичного углеродного атома остатка нингидрина атакует углеродный атом сложноэфирной карбонильной группы с циклизацией в интермедиат В, из которого выталкивается метанол и формируется лактонная карбонильная группа в соединениях 2a–к.
Соединения 2a–к – светло-желтые или желтые кристаллические вещества, растворимые в ДМСО, ДМФА, при нагревании – в этаноле, метаноле, ацетонитриле, изопропаноле, диоксане, уксусной кислоте и нерастворимые в воде.
В ИК спектрах соединений 2a–к наблюдаются полосы, обусловленные валентными колебаниями NH связи (3391–3275 см–1), гидроксила карбоксильной группы (3317–3182 см–1), лактонной карбонильной группы (1792–1768 см–1), карбоксильной карбонильной группы (1757–1752 см–1), карбонильных групп фрагмента индендиона (1725–1719 см–1) и кетонной карбонильной группы боковой цепи (1685–1673 см–1).
В спектрах ЯМР 1Н соединений 2a–к присутствуют сигналы ароматических протонов боковой цепи в виде мультиплета (6.64–8.14 м. д.), синглет четырех ароматических протонов фрагмента индендиона (8.14–8.19 м. д.), синглет протона группы NН (9.89–10.28 м. д.) и уширенный синглет протона карбоксильной группы (12.51–12.62 м. д.).
В спектрах ЯМР 13С соединений 2a–к наблюдаются сигналы химических сдвигов ядер атомов углерода Сспиро (82.54–83.03 м. д.), лактонной карбонильной группы (166.06–166.51 м. д.), карбоксильной группы (168.16–168.86 м. д.), кетонной карбонильной группы боковой цепи (186.79–188.90 м. д.), карбонильных групп фрагмента индендиона (192.72–192.81 м. д.).
Для установления пространственного строения соединений 2a–к медленной кристаллизацией из смеси ацетонитрил–метанол, 1:1 получен монокристалл соединения 2a и проведен его рентгеноструктурный анализ (рис. 1).
Рис. 1. Общий вид молекулы соединения 2a по данным РСА в представлении тепловыми эллипсоидами 30%-ной вероятности.
Соединение 2a кристаллизуется в центросимметричной пространственной группе моноклинной сингонии. Кристаллографически независимая часть элементарной ячейки состоит из трех независимых молекул 2a (на рисунке показана только одна из них). Кратные связи в енаминокетонном фрагменте локализованы. Конформация бензоильных и аминогрупп во всех трех независимых молекулах такова, что внутримолекулярных водородных связей, ожидаемых для енаминокетона, не образуется. Вместо них группы NH связаны межмолекулярными водородными связями с бензоильными карбонильными группами соседних молекул. Карбоксильные группы соседних молекул связывают их в димеры за счет характерных межмолекулярных водородных связей друг с другом.
Выводы
Таким образом, разработан препаративный способ синтеза 4-{(3-ароил-1ʹ,3ʹ,5-триоксо-1ʹ,3ʹ-дигидро-5H-спиро[фуран-2,2ʹ-инден]-4-ил)амино}бензойных кислот 2a–к, имеющих в своей структуре несколько реакционноспособных центров, что позволяет получать на их основе различные производные. Исходя из данных литературы, как сами спирофураноны 2a–к, так и полученные на их основе соединения могут рассматриваться как потенциально биологически активные вещества.
Экспериментальная часть
Спектры ЯМР 1H и 13С записаны на приборе Bruker Avance III HD (Bruker, США) в ДМСО-d6 (400 и 100 МГц соответственно), внутренний стандарт – ТМС. ИК спектры сняты на Фурье-спектрометре ИнфраЛЮМ ФТ-08 (Люмэкс-маркетинг, Россия) в дисках с KBr. Элементный анализ проведен на приборе PerkinElmer 2400 (PerkinElmer, США). Температуры плавления определены на приборе MeltingPoint M-565 (BuchiLabortechnik AG, Швейцария).
Рентгеноструктурный анализ соединения 2a выполнен на дифрактометре XcaliburRuby (AgilentTechnologies) с ССD-детектором [MoKα-излучение, 295(2) K, ω-сканирование c шагом 1°]. Поглощение учтено эмпирически с использованием алгоритма SCALE3 ABSPACK [13]. Структура расшифрована с помощью программы SHELXT [14] и уточнена полноматричным МНК по F2 в анизотропном приближении для всех неводородных атомов с помощью программы SHELXL [15] с графическим интерфейсом OLEX2 [16]. Атомы водорода включены в уточнение в модели наездника (за исключением атомов водорода групп NH и OH, уточненных независимо в изотропном приближении).
Соединение 2a: моноклинная сингония, пространственная группа P21/c, C26H15NO7, M = 453.39, a = 20.767(3) Å, b = 20.923(2) Å, c = 14.8152(17) Å, β = 98.989(11)°, V = 6358.2(12) Å3, Z = 12, dвыч = 1.421 г/см3, μ = 0.105 мм–1. Окончательные параметры уточнения: R1 = 0.0557 [для 9411 отражений с I > 2σ(I)], wR2 = 0.1447 (для всех 15133 независимых отражений, Rint = 0.0385), S = 1.026. Результаты РСА зарегистрированы в Кембриджском центре кристаллографических данных (CCDC 2402544).
4-{[(2Z)-1-Метокси-1,4-диоксо-4-фенилбут-2-ен-2-ил]амино}бензойная кислота (1a). К 1.37 г (0.01 моль) 4-аминобензойной кислоты, растворенной при нагревании в 15 мл этанола, добавляли раствор 2.06 г (0.01 моль) метилового эфира бензоилпировиноградной кислоты в 15 мл ледяной уксусной кислоты. Реакционную смесь кипятили 10 мин. Выпавший при охлаждении осадок отфильтровали и перекристаллизовали из этанола. Выход 1.98 г (61%), т. пл. 223–224°С (EtOН). ИК спектр, ν, см–1: 3390 (NH), 3056 (COOH), 1732 (СООCH3), 1678 (COOH), 1606 (C=O). Спектр ЯМР 1H, δ, м. д.: 3.79 с и 3.84 с (3H, COOCH3), 6.63 c и 6.66 с (1H, N‒С=CH), 7.12–8.02 м (9Н, CHAr), 9.99 с (0.24H, NHE-форма), 11.75 с (0.76H, NHZ-форма), 12.76 уш. с (1H, СООН). Спектр ЯМР 13C{1H}, δC, м. д.: 52.56, 53.11, 95.51, 98.49, 119.88, 120.14, 125.91, 126.22, 127.40, 128.45, 128.71, 130.54, 130.87, 132.00, 132.63, 137.84, 138.39, 143.19, 143.22, 147.28, 148.51, 164.11, 165.73, 166.60, 186.93, 190.21. Найдено, %: C 66.51; H 4.71; N 4.39. C18H15NO5. Вычислено, %: C 66.46; H 4.65; N 4.31.
Соединения 1д–и получали аналогично.
4-{[(2Z)-1-Метокси-4-(4-фторфенил)-1,4-диоксобут-2-ен-2-ил]амино}бензойная кислота (1д). Выход 3.23 г (94%), т. пл. 240–241°С (EtOН). ИК спектр, ν, см–1: 3398 (NH), 3070 (COOH), 1736 (СООCH3), 1680 (COOH), 1609 (C=O). Спектр ЯМР 1H, δ, м. д.: 3.78 с и 3.83 с (3H, COOCH3), 6.62 с и 6.63 с (1H, N–С=CH), 7.11–8.11 м (8Н, CHAr), 10.00 с (0.28H, NHE-форма), 11.71 с (0.72H, NHZ-форма), 12.76 уш. с (1H, СООН). Спектр ЯМР 13C{1H}, δС, м. д.: 52.57, 53.11, 95.14, 98.21, 115.25, 115.47, 115.57, 115.79, 119.90, 120.21, 125.96, 126.25, 130.28, 130.38, 130.53, 130.85, 134.44, 134.47, 134.96, 134.99, 143.13, 147.43, 148.69, 163.47, 164.06, 165.66, 165.97, 166.58, 185.52, 188.75. Найдено, %: C 62.97; H 4.16; N 4.03. C18H14FNO5. Вычислено, %: C 62.97; H 4.11; N 4.08.
4-{[(2Z)-1-Метокси-4-(4-хлорфенил)-1,4-диоксобут-2-ен-2-ил]амино}бензойная кислота (1е). Выход 3.31 г (92%), т. пл. 245–246°С (EtOН). ИК спектр, ν, см–1: 3463 (NH), 3071 (COOH), 1737 (СООCH3), 1684 (COOH), 1621 (C=O). Спектр ЯМР 1H, δ, м. д.: 3.78 с и 3.83 с (3H, COOCH3), 6.60 с и 6.61 с (1H, N‒С=CH), 7.12–8.04 м (8Н, CHAr), 10.05 с (0.30H, NHE-форма), 11.74 с (0.70H, NHZ-форма), 12.72 уш. с (1H, СООН). Спектр ЯМР 13C{1H}, δС, м. д.: 52.60, 53.14, 94.89, 98.05, 120.02, 120.33, 126.08, 126. 36, 128.52, 128.80, 129.32, 130.52, 130.85, 136.51, 136.85, 137.06, 137.55, 143.02, 143.04, 147.69, 148.98, 163.99, 165.59, 166.59, 185.66, 188.83. Найдено, %: C 60.18; H 3.86; N 3.95. C18H14ClNO5. Вычислено, %: C 60.09; H 3.92; N 3.89.
4-{[(2Z)-1-Метокси-4-(2,4-дихлорфенил)-1,4-диоксобут-2-ен-2-ил]амино}бензойная кислота (1ж). Выход 2.99 г (76%), т. пл. 222–223°С (EtOН). ИК спектр, ν, см–1: 3362 (NH), 3069 (COOH), 1736 (СООCH3), 1680 (COOH), 1612 (C=O). Спектр ЯМР 1H, δ, м. д.: 3.75 с и 3.84 с (3H, COOCH3), 6.15 с и 6.16 с (1H, N‒С=CH), 7.16–7.96 м (7Н, CHAr), 10.18 с (0.44H, NHE-форма), 11.45 с (0.56H, NHZ-форма), 12.79 уш. с (1H, СООН). Спектр ЯМР 13C{1H}, δС, м. д.: 52.74, 53.23, 97.92, 101.62, 120.37, 120.69, 126.51, 126.65, 127.44, 127.62, 129.50, 129.74, 130.45, 130.67, 130.73, 130.79, 131.01, 135.14, 135.71, 137.84, 138.69, 142.56, 142.91, 147.12, 148.56, 163.75, 165.16, 166.47, 166.55, 187.00, 190.16. Найдено, %: C 54.73; H 3.26; N 3.59. C18H13Cl2NO5. Вычислено, %: C 54.84; H 3.32; N 3.55.
4-{[(2Z)-4-(4-Бромфенил)-1-метокси-1,4-диоксобут-2-ен-2-ил]амино}бензойная кислота (1з). Выход 3.55 г (88%), т. пл. 240–241°С (EtOН). ИК спектр, ν, см–1: 3464 (NH), 3067 (COOH), 1736 (СООCH3), 1684 (COOH), 1621 (C=O). Спектр ЯМР 1H, δ, м. д.: 3.78, 3.84 с (3H, COOCH3), 6.60 с (1H, N‒С=CH), 7.12–7.98 м (8Н, CHAr), 10.06 с (0.30H, NHE-форма), 11.74 с (0.70H, NHZ-форма), 12.76 уш. с (1H, СООН). Спектр ЯМР 13C{1H}, δС, м. д.: 52.61, 53.14, 94.86, 97.99, 120.04, 120.34, 125.90, 126.11, 126.38, 126.66, 129.44, 130.53, 130.86, 131.48, 131.75, 136,84, 137, 41, 143.01, 143.04, 147.72, 149.01, 163.99, 165.59, 166.56, 166.57, 185.83, 188.99. Найдено, %: C 53.59; H 3.54; N 3.42. C18H14BrNO5. Вычислено, %: C 53.49; H 3.49; N 3.47.
4-{[(2Z)-1-Метокси-4-(4-нитрофенил)-1,4-диоксобут-2-ен-2-ил]амино}бензойная кислота (1и). Выход 3.22 г (87%), т. пл. 268–269°С (EtOН). ИК спектр, ν, см–1: 3469 (NH), 3074 (COOH), 1740 (СООCH3), 1685 (COOH), 1620 (C=O). Спектр ЯМР 1H, δ, м. д.: 3.79 с и 3.86 с (3H, COOCH3), 6.62 с и 6.65 с (1H, N‒С=CH), 7.17–8.35 м (8Н, CHAr), 10.26 с (0.34H, NHE-форма), 11.83 с (0.66H, NHZ-форма), 12.81 уш. с (1H, СООН). Спектр ЯМР 13C{1H}, δС, м. д.: 52.72, 53.23, 94.59, 97.89, 120.41, 120.72, 123.60, 123.79, 126.52, 126.79 ,128.74, 128.77, 130.52, 130.86, 142.66, 142.76, 142.79, 143.52, 148.59, 149.20, 149.52, 149.89, 163.81, 165.36, 166.51, 166.53, 185.26, 188.15. Найдено, %: C 58.29; H 3.76; N 7.61. C18H14N2O7. Вычислено, %: C 58.38; H 3.81; N 7.56.
4-{(3-Бензоил-1ʹ,3ʹ,5-триоксо-1ʹ,3ʹ-дигидро-5H-спиро[фуран-2,2ʹ-инден]-4-ил)амино}бензойная кислота (2a). К 1.63 г (0.005 моль) 4-{[(2Z)-1-метокси-1,4-диоксо-4-фенилбут-2-ен-2-ил]амино}бензойной кислоты 1a, растворенной при нагревании в 15 мл ледяной уксусной кислоты, добавляли 0.89 г (0.005 моль) нингидрина, растворенного при нагревании в 10 мл ледяной уксусной кислоты. Реакционную смесь кипятили 15 мин, выпавший при охлаждении осадок отфильтровывали и перекристаллизовали из смеси ацетонитрил–метанол, 1:1. Выход 1.52 г (67%), т. пл. 232–233°С (ацетонитрил–метанол, 1:1). ИК спектр, ν, см–1: 3384 (NH), 3218 (COOH), 1786 (СОлактон), 1753 (COOH), 1720 (2COинден), 1678 (CO). Спектр ЯМР 1H, δ, м. д.: 6.83–7.52 м (9Н, CHAr), 8.17 с (4H, CHинден), 9.96 с (1H, NH), 12.55 уш. с (1H, СООН). Спектр ЯМР 13C{1H}, δС, м. д.: 82.82, 119.24, 119.32, 124.34, 125.30, 128.06, 128.26, 130.10, 132.81, 133.44, 136.58, 137.90, 140.73, 143.80, 166.36, 168.57, 188.90, 192.72. Найдено, %: C 68.98; H 3.37; N 3.16. C26H15NO7. Вычислено, %: C 68.88; H 3.33; N 3.09.
Соединения 2б–к получали аналогично.
4-({3-(4-Метилбензоил)-1ʹ,3ʹ,5-триоксо-1ʹ,3ʹ-дигидро-5H-спиро[фуран-2,2ʹ-инден]-4-ил}амино)бензойная кислота (2б). Выход 1.49 г (64%), т. пл. 218–219°С (ацетонитрил–метанол, 1:1). ИК спектр, ν, см–1: 3391 (NH), 3317 (COOH), 1786 (СОлактон), 1756 (COOH), 1725 (2COинден), 1678 (CO). Спектр ЯМР 1H, δ, м. д.: 2.15 с (3H, CH3), 6.83–7.53 м (8Н, CHAr), 8.16 с (4H, CHинден), 9.93 с (1H, NH), 12.55 уш. с (1H, СООН). Спектр ЯМР 13C{1H}, δС, м. д.: 20.91, 82.90, 119.40, 119.75, 124.32, 125.27, 128.30, 128.79, 129.93, 132.32, 134.13, 137.84, 140.75, 143.68, 144.19, 166.45, 168.69, 188.38, 192.75. Найдено, %: C 69.47; H 3.62; N 2.94. C27H17NO7. Вычислено, %: C 69.38; H 3.67; N 3.00.
4-({3-(4-Метоксибензоил)-1ʹ,3ʹ,5-триоксо-1ʹ,3ʹ-дигидро-5H-спиро[фуран-2,2ʹ-инден]-4-ил}амино)бензойная кислота (2в). Выход 1.57 г (65%), т. пл. 225–226°С (ацетонитрил–метанол, 1:1). ИК спектр, ν, см–1: 3352 (NH), 3292 (COOH), 1784 (СОлактон), 1753 (COOH), 1721 (2COинден), 1673 (CO). Спектр ЯМР 1H, δ, м. д.: 3.67 с (3H, CH3O), 6.67–7.54 м (8Н, CHAr), 8.15 с (4H, CHинден), 9.90 с (1H, NH), 12.56 уш. с (1H, СООН). Спектр ЯМР 13C{1H}, δС, м. д.: 55.44, 83.03, 113.75, 119.35, 120.30, 124.32, 125.17, 129.44, 129.93, 130.76, 131.73, 137.80, 140.83, 143.69, 163.64, 166.51, 168.86, 187.08, 192.77. Найдено,%: C 67.11; H 3.48; N 2.94. C27H17NO8. Вычислено, %: C 67.08; H 3.54; N 2.90.
4-({3-(4-Этоксибензоил)-1ʹ,3ʹ,5-триоксо-1ʹ,3ʹ-дигидро-5H-спиро[фуран-2,2ʹ-инден]-4-ил}амино)бензойная кислота (2г). Выход 1.84 г (74%), т. пл. 231–232°С (ацетонитрил–метанол, 1:1). ИК спектр, ν, см–1: 3275 (NH), 3182 (COOH), 1790 (СОлактон), 1752 (COOH), 1722 (2COинден), 1681 (CO). Спектр ЯМР 1H, δ, м. д.: 1.24 т (3H, CH3CH2O, J 7.0 Гц), 3.96 к (2H, CH3CH2O, J 7.0 Гц), 6.64–7.51 м (8Н, CHAr), 8.16 с (4H, CHинден), 9.89 с (1H, NH), 12.51 уш. с (1H, СООН). Спектр ЯМР 13C{1H}, δС, м. д.: 14.12, 63.47, 82.94,114.13, 119.19, 120.18, 124.28, 125.03, 129.18, 129.80, 130.65, 131.52, 137.81, 140.73, 143.57, 162.83, 166.38, 168.78, 186.91, 192.70. Найдено, %: C 67.52; H 3.91; N 2.76. C28H19NO8. Вычислено, %: C 67.60; H 3.85; N 2.82.
4-({3-(4-Фторбензоил)-1ʹ,3ʹ,5-триоксо-1ʹ,3ʹ-дигидро-5H-спиро[фуран-2,2ʹ-инден]-4-ил}амино)бензойная кислота (2д). Выход 1.81 г (77%), т. пл. 245–246°С (ацетонитрил–метанол, 1:1). ИК спектр, ν, см–1: 3353 (NH), 3192 (COOH), 1789 (СОлактон), 1754 (COOH), 1720 (2COинден), 1681 (CO). Спектр ЯМР 1H, δ, м. д.: 6.85–7.54 м (8Н, CHAr), 8.17 с (4H, CHинден), 10.03 с (1H, NH), 12.59 уш. с (1H, СООН). Спектр ЯМР 13C{1H}, δС, м. д.: 82.74, 115.29, 115.51, 118.46, 119.65, 124.34, 125.52, 130.04, 131.11, 131.21, 133.01, 133.35, 133.37, 137.92, 140.70, 143.65, 163.60, 166.11, 166.30, 168.48, 187.38, 192.72. Найдено, %: C 66.16; H 3.03; N 3.05. C26H14FNO7. Вычислено, %: C 66.25; H 2.99; N 2.97.
4-({3-(4-Хлорбензоил)-1ʹ,3ʹ,5-триоксо-1ʹ,3ʹ-дигидро-5H-спиро[фуран-2,2ʹ-инден]-4-ил}амино)бензойная кислота (2е). Выход 1.90 г (78%), т. пл. 259–260°С (ацетонитрил–метанол, 1:1). ИК спектр, ν, см–1: 3387 (NH), 3217 (COOH), 1792 (СОлактон), 1752 (COOH), 1719 (2COинден), 1685 (CO). Спектр ЯМР 1H, δ, м. д.: 6.85–7.55 м (8Н, CHAr), 8.17 с (4H, CHинден), 10.07 с (1H, NH), 12.59 уш. с (1H, СООН). Спектр ЯМР 13C{1H}, δC, м. д.: 82.69, 118.00, 119.86, 124.34, 125.73, 128.39, 129.88, 130.05, 133.29, 135.38, 137.91, 138.35, 140.68, 143.56, 166.28, 168.42, 187.69, 192.75. Найдено, %: C 64.08; H 2.96; N 2.81. C26H14ClNO7. Вычислено, %: C 64.01; H 2.89; N 2.87.
4-({3-(2,4-Дихлорбензоил)-1ʹ,3ʹ,5-триоксо-1ʹ,3ʹ-дигидро-5H-спиро[фуран-2,2ʹ-инден}-4-ил)амино}бензойная кислота (2ж). Выход 1.72 г (66%), т. пл. 216–217°С (ацетонитрил–метанол, 1:1). ИК спектр, ν, см–1: 3370 (NH), 3290 (COOH), 1787 (СОлактон), 1754 (COOH), 1725 (2COинден), 1682 (CO). Спектр ЯМР 1H, δ, м. д.: 6.91–7.67 м (7Н, CHAr), 8.17 с (4H, CHинден), 10.30 с (1H, NH), 12.68 уш. с (1H, СООН). Спектр ЯМР 13C{1H}, δС, м. д.: 82.29, 117.22, 120.19, 124.33, 126.47, 127.32, 129.83, 129.98, 131.68, 131.97, 134.64, 134.78, 137.12, 137.86, 140.48, 143.35, 166.27, 168.11, 185.44, 192.84. Найдено, %: C 59.69; H 2.57; N 2.74. C26H13Cl2NO7. Вычислено, %: C 59.79; H 2.51; N 2.68.
4-({3-(4-Бромбензоил)-1ʹ,3ʹ,5-триоксо-1ʹ,3ʹ-дигидро-5H-спиро[фуран-2,2ʹ-инден]-4-ил}амино)бензойная кислота (2з). Выход 1.84 г (69%), т. пл. 232–233°С (ацетонитрил–метанол, 1:1). ИК спектр, ν, см–1: 3358 (NH), 3304 (COOH), 1768 (СОлактон), 1757 (COOH), 1723 (2COинден), 1683 (CO). Спектр ЯМР 1H, δ, м. д.: 6.85–7.56 м (8Н, CHAr), 8.17 с (4H, CHинден), 10.07 с (1H, NH), 12.60 уш. с (1H, СООН). Спектр ЯМР 13C{1H}, δC, м. д.: 82.68, 117.92, 119.90, 124.34, 125.78, 127.56, 129.92, 130.04, 131.35, 133.31, 135.71, 137.91, 140.68, 143.54, 166.28, 168.42, 187.88, 192.76. Найдено, %: C 58.77; H 2.69; N 2.71. C26H14BrNO7. Вычислено, %: C 58.67; H 2.65; N 2.63.
4-({3-(4-Нитробензоил)-1ʹ,3ʹ,5-триоксо-1ʹ,3ʹ-дигидро-5H-спиро[фуран-2,2ʹ-инден]-4-ил}амино)бензойная кислота (2и). Выход 1.55 г (62%), т. пл. 285–286°С (ацетонитрил–метанол, 1:1). ИК спектр, ν, см–1: 3372 (NH), 3259 (COOH), 1787 (СОлактон), 1754 (COOH), 1719 (2COинден), 1681 (CO). Спектр ЯМР 1H, δ, м. д.: 6.87–7.94 м (8Н, CHAr), 8.19 с (4H, CHинден), 10.27 с (1H, NH), 12.62 уш. с (1H, СООН). Спектр ЯМР 13C{1H}, δС, м. д.: 82.54, 116.38, 120.57, 123.27, 124.38, 126.21, 129.52, 130.24, 134.55, 137.98, 140.61, 141.76, 143.45, 149.36, 166.14, 168.18, 187.44, 192.81. Найдено, %: C 62.57; H 2.79; N 5.71. C26H14N2O9. Вычислено, %: C 62.66; H 2.83; N 5.62.
4-({3-(3-Нитробензоил)-1ʹ,3ʹ,5-триоксо-1ʹ,3ʹ-дигидро-5H-спиро[фуран-2,2ʹ-инден]-4-ил}амино)бензойная кислота (2к). Выход 1.57 г (63%), т. пл. 248–249°С (ацетонитрил–метанол, 1:1). ИК спектр, ν, см–1: 3360 (NH), 3278 (COOH), 1782 (СОлактон), 1753 (COOH), 1722 (2COинден), 1680 (CO). Спектр ЯМР 1H, δ, м. д.: 6.84–8.14 м (8Н, CHAr), 8.19 с (4H, CHинден), 10.28 с (1H, NH), 12.61 уш. с (1H, СООН). Спектр ЯМР 13C{1H}, δC, м. д.: 82.55, 116.57, 120.27, 122.31, 124.39, 126.13, 127.14, 130.22, 130.30, 134.01, 134.58, 138.00, 138.08, 140.65, 143.47, 147.18, 166.06, 168.16, 186.79, 192.72. Найдено, %: C 62.75; H 2.88; N 5.56. C26H14N2O9. Вычислено, %: C 62.66; H 2.83; N 5.62.
Финансовая поддержка
Работа выполнена в рамках государственного задания Пермской государственной фармацевтической академии (тема № 720000Ф.99.1.БН62АБ05000, 2024 г.).
Конфликт интересов
Авторы заявляют об отсутствии конфликта интересов.
About the authors
V. L. Gein
Perm State Pharmaceutical Academy of the Ministry of Health of the Russian Federation
Author for correspondence.
Email: geinvl48@mail.ru
ORCID iD: 0000-0002-8512-0399
Russian Federation, 614990, Perm
D. V. Chalkov
Perm State Pharmaceutical Academy of the Ministry of Health of the Russian Federation
Email: geinvl48@mail.ru
ORCID iD: 0009-0001-0367-3863
Russian Federation, 614990, Perm
O. V. Bobrovskaya
Perm State Pharmaceutical Academy of the Ministry of Health of the Russian Federation
Email: geinvl48@mail.ru
ORCID iD: 0000-0002-3394-9031
Russian Federation, 614990, Perm
M. V. Dmitriev
Perm State National Research University
Email: geinvl48@mail.ru
ORCID iD: 0000-0002-8817-0543
Russian Federation, 614990, Perm
References
- Гейн В.Л., Чалков Д.В., Бобровская О.В., Зыкова С.С., Намятова К.В. // ЖОХ. 2024. Т. 94. Вып. 5. С. 544. doi: 10.31857/S0044460X24050011
- Smith L.K., Baxendale I.R. // Org. Biomol. Chem. 2015. Vol. 13. N 39. P. 9907. doi: 10.1039/C5OB01524C
- Moss G.P. // Pure Appl. Chem. 1999. Vol. 71. N 3. P. 531. doi: 10.1351/pac199971030531
- Blunt J.W., Carroll A.R., Copp B.R., Davis R.A., Keyzers R.A., Prinsep M.R. // Nat. Prod. Rep. 2015. Vol. 32. N 2. P. 116. doi: 10.1039/C4NP00144C
- Singh G.S., Desta Z.Y. // Chem. Rev. 2012. Vol. 112. N 11. P. 6104. doi: 10.1021/cr300135y
- Zheng Y., Tice C.M., Singh S.B. // Bioorg. Med. Chem. Lett. 2014. Vol. 24. N 16. P. 3673. doi 10.1016/ j.bmcl.2014.06.081
- Ding. K., Han Z., Wang Z. // Chem. Asian J. 2009. Vol. 4. N 1. P. 32. doi: 10.1002/asia.200800192
- Регистр лекарственных средств России. https://www.rlsnet.ru
- Yavari I., Arab-Salmanabadi S., Aminkhani A. // J. Iran. Chem. Soc. 2012. Vol. 9. N 4. P. 503. doi: 10.1007/s13738-011-0061-4
- Safaei-Ghomi J., Salimi F., Ahmadi Y., Ramazani A., Nasrabadi F.Z. // Chemija. 2012. Vol. 23. N 1. P. 43.
- Гейн В.Л., Бобровская О.В., Дмитриев М.В. // ЖОрХ. 2017. Т. 53. Вып. 6. С. 881; Gein V.L., Bobrovskaya O.V., Dmitriev M.V. // Russ. J. Org. Chem. 2017. Vol. 53. N 6. P. 898. doi: 10.1134/S1070428017060148
- Козлов А.П., Варкентин Л.И., Андрейчиков Ю.С. // ЖОрХ. 1984. Т. 20. Вып. 10. С. 2198.
- CrysAlisPro, Rigaku Oxford Diffraction, 2022, Version 1.171.42.74a.
- Sheldrick G.M. // Acta Crystallogr. (A). 2015. Vol. 71. P. 3. doi: 10.1107/S2053273314026370
- Sheldrick G.M. // Acta Crystallogr. (C). 2015. Vol. 71. P. 3. doi: 10.1107/S2053229614024218
- Dolomanov O.V., Bourhis L.J., Gildea R.J., Howard J.A.K., Puschmann H. // J. Appl. Cryst. 2009. Vol. 42. P. 339. doi: 10.1107/S0021889808042726
Supplementary files





